Abstract
This study addresses the critical challenge of optimizing outdoor thermal comfort for the aging population in old residential communities within China’s Hot-Summer and Cold-Winter (HSCW) climate zones. Against the backdrop of urban regeneration and rapid demographic aging, it investigates how key landscape elements—Square Reflectance, Greening Type, and Pergola Condition—influence the microclimate of community public spaces. The research employed an integrated methodology centered on numerical simulation. Using the ENVI-met 5.9.0 software and an L9(34) orthogonal experimental design, it simulated the microclimatic effects of nine combined scenarios on typical summer and winter days for a case study in Nanjing. The comprehensive thermal comfort index, Physiological Equivalent Temperature (PET), was used as the primary evaluation indicator to assess the thermal comfort performance for elderly occupants, with the assistance of air temperature, wind speed, and relative humidity, and the results were analyzed via range analysis and ANOVA. The key findings indicate that: (1) Greening Type and Pergola Condition are the dominant factors affecting microclimate and annual thermal comfort across seasons, while Square Reflectance has a comparatively minor influence. (2) The combination of deciduous trees with lawn achieves the optimal cross-seasonal PET gain. It provides effective shading and cooling in summer while allowing beneficial solar penetration for warming in winter, substantially outperforming evergreen-dominated configurations. (3) The presence of a pergola consistently enhances comfort by providing essential shade in summer and acting as a windbreak in winter. The combination dominated by deciduous trees + lawn and pergola yields an overall PET gain 1.097 °C higher than that of evergreen trees + shrub without pergola. This study provides evidence-based, elderly specific landscape design strategies to inform the thermal environment optimization of public spaces in old residential areas undergoing renewal.
1. Introduction
China’s urbanization process has entered a deep development stage centered on “quality-oriented stock regeneration” [1]. By 2024, the permanent urbanization rate nationwide had reached 67%, with the urban permanent population exceeding 940 million [2]. This milestone signifies a shift in the focus of urban development from large-scale expansion to the optimization of existing spaces through “urban regeneration” [2]. The State Council of the People’s Republic of China, in its 2024 Five-Year Action Plan for the In-Depth Implementation of the People-Centered New Urbanization Strategy, identifies the renovation of old urban residential communities as the top priority for China’s urbanization development.
Simultaneously, Chinese society is undergoing a rapid and profound demographic transition toward aging. By the end of 2024, the population aged 60 and above exceeded 310 million, accounting for 22.0% of the total population [3]. This demographic shift has created a sharp contradiction with the existing built environment. Surveys indicate that approximately 25% of older adults reside in neighborhoods built before 2000 [4]. These areas commonly suffer from poor-quality public spaces, a lack of age-friendly facilities, and a mismatch between the physical environment and the declining physiological capacities of older adults, significantly increasing safety risks during daily home and community activities [5]. Consequently, the core focus of renovating old neighborhoods must shift from general infrastructure repairs to precisely addressing the specific needs of the large aging population, aiming to create a safe, comfortable, and healthy living environment for older adults [6]. This need is particularly urgent in Hot-Summer and Cold-Winter (HSCW) regions, such as Nanjing, where this case study is located. The climatic characteristics of high heat and humidity in summer and cold dampness in winter pose a dual challenge to the health and comfort of older adults, who generally have a diminished capacity for temperature regulation [7].
The neighborhood microclimate, operating at approximately the one-meter scale, constitutes the human scale dimension for the construction and management of the urban environment [8,9]. This microclimate is closely associated with residents’ daily life, exerting a substantial influence on thermal comfort and human health as well as building energy consumption [10,11,12,13,14]. Existing studies have demonstrated that appropriate landscape design in residential areas can effectively improve the neighborhood microclimate [15,16]. Accordingly, emphasizing the value of landscape design is crucial for promoting public health and achieving sustainable social development [17].
Although microclimate research has been extensively advanced across various urban settings, including urban blocks, campuses, parks, and urban canyons [18,19,20,21,22,23,24], systematic microclimate investigations targeting old residential communities—representing a vast and widely distributed stock of urban space—remain relatively insufficient [25]. Existing studies have mostly focused on macro-level problems in old neighborhoods, such as outdated functional layouts, deteriorated physical facilities, and poor operation and management [26,27,28]. While architectural morphological parameters (e.g., building density, aspect ratio, and orientation) have been proven to exert fundamental impacts on the microclimate, their retrofit potential in built environments is generally very limited [29,30,31]. In contrast, landscape elements (e.g., vegetation, water bodies, and pavement) demonstrate significant potential in regulating outdoor thermal comfort in both winter and summer due to their higher plasticity and implementation flexibility, thus serving as a critical entry point for microclimate optimization in old residential communities [32,33,34,35,36]. Nevertheless, current academic research has not yet sufficiently focused on how to actively and systematically regulate the microclimate of old neighborhoods through the refined design of landscape elements.
In the field of microclimate research, studies related to the HSCW climate represent both a research hotspot and a persistent challenge. This is because, in the HSCW climate zone of central China (e.g., Wuhan, classified as Köppen Cfa), extreme seasonal temperature fluctuations present dual challenges: oppressive heat and high humidity in summer (mean July temperature > 28 °C) and cold winds with low temperatures in winter (mean January temperature 3–5 °C) [37]. These climatic characteristics make conventional greening strategies insufficient for year-round thermal environment regulation. However, existing studies mainly focus on single-season effects, such as summer shading or winter wind protection, and have not yet established cross-seasonal synergistic design models [38]. For instance, during summer, trees serve as the primary contributors to enhanced thermal comfort via shading and evapotranspiration, yet excessively high planting densities can reduce wind speeds by 30–45% [39].
Based on a comprehensive review of existing literature, several limitations in current research can be identified. First, there is an imbalance in seasonal considerations: most studies focus on alleviating summer heat stress, while lacking synergistic consideration of winter thermal comfort requirements, thus failing to effectively address the climatic contradictions between summer and winter in HSCW regions. Second, landscape factors are often analyzed in isolation; many studies only explore the independent effects of a single landscape element (e.g., trees or pavement), without conducting coupled design and comprehensive performance evaluation of key factors such as vegetation configuration, shading structures, and underlying surface albedo in a systematic manner. Third, the target population is insufficiently addressed: as the main permanent residents in old residential communities, the special physiological and behavioral characteristics of the elderly and their impacts on thermal comfort demands have not been fully integrated into the core evaluation system for landscape optimization design.
Against the above background and research gaps, this study aims to develop a landscape microclimate optimization design method for community public spaces that balances both summer and winter conditions and takes the elderly as the core service group. Specifically, this study selects Ganghongyuan, a typical old residential community in Qinhuai District, Nanjing, as the case study area, incorporates key landscape factors including vegetation, shading, and pavement albedo into an orthogonal experimental design, and uses the ENVI-met model to simulate the microclimate responses of different factor combinations on typical summer and winter days. Physiological Equivalent Temperature (PET) is adopted as the core indicator to evaluate the thermal comfort of the elderly, with air temperature, wind speed, and relative humidity as auxiliary indicators for the quantitative analysis of the cross season regulatory performance of each scenario [40], and ultimately, this study intends to propose optimized design strategies that can effectively mitigate seasonal climatic conflicts and improve the annual comprehensive environmental comfort and age-friendliness of public spaces in old residential communities.
2. Research Methodology
2.1. Overview of the Study Area
The case study of this research is the Ganghongyuan residential community, located at No. 56 Qinhong South Road, Qinhuai District, Nanjing City, Jiangsu Province, in the eastern region of China, as shown in Figure 1. It is situated in the southeastern part of Nanjing’s central urban area, with approximate geographic coordinates of 32.02° North latitude and 118.81° East longitude. The community was constructed and delivered for use in 1992 by the Qinhuai District Real Estate Development Company of Nanjing. By 2025, it has been in use for over 30 years, making it one of the typical old residential areas in Nanjing.
Figure 1.
Current situation of the study site. The satellite imagery was obtained from MAP WORLD (www.tianditu.gov.cn).
In terms of physical spatial form, the Ganghongyuan community consists of 17 multi-story residential buildings with brick-concrete structures, each under 7 stories. The total construction area is approximately 25,000 square meters, with a floor area ratio of 3.0 and a greening rate of 20%. Regarding demographic structure, the community exhibits significant aging characteristics. According to statistics from December 2025, the permanent resident population is 1845, among which the elderly population aged 60 and above reaches 774, accounting for 41.95% of the total population. The high proportion of elderly residents makes aging-appropriate retrofitting and the construction of community elderly care service systems important issues in the community’s renewal and governance.
This study focuses on the sole central square public space within the Ganghongyuan community. This area is adjacent to the main entrance, experiences high pedestrian flow, and comprises three key spatial elements: first, a green belt surrounding the square, which contains winding pathways suitable for elderly walking and strolling; second, a white arched concrete pergola similar in function to a pavilion, providing residents with a sheltered space for shade, rain protection, leisure, and conversation; third, a central circular small plaza with decorated and partitioned ground surface, resembling an open fitness activity area suitable for group activities such as square dancing and aerobics. These three types of elements interact to collectively form a composite public space that supports various individual and collective activities for the elderly, including walking, socializing, playing cards, and exercising.
The study area presents a typical introverted enclosed spatial form, defined closely by the interfaces of the surrounding multi-story residential buildings. This spatial characteristic is common in older, compactly planned residential areas built earlier. Furthermore, the area’s size is generally below 3000 square meters, aligning with the common scale of public landscape spaces in most old residential communities in China. These two features—the building-enclosed spatial form and the limited area scale—together grant this case study high typicality. Consequently, the related analyses and conclusions possess broad reference value and applicability for the renewal and design practices of public spaces in similar old residential communities.
2.2. Research Framework
The framework of this study is presented in Figure 2. This work integrates questionnaire surveys, field measurements, and ENVI-met numerical simulations.
Figure 2.
The proposed methodology in this study.
First, a questionnaire is administered to gather information on the activities and dressing habits of the elderly in summer and winter. Concurrently, field surveys collect data on building dimensions, vegetation types, and paving materials, which are compiled into an Area Data Base and used as input for establishing the ENVI-met model geometry and parameters.
Next, on-site microclimate measurements are conducted, and the model is validated by comparing simulated outputs (air temperature, relative humidity, and PET) with measured data, using and to ensure satisfactory agreement.
Nine coupling scenarios are then designed by combining Square Reflectance (0.2, 0.3, 0.5), plant configuration, and Pergola Condition. Simulations are performed for representative summer and winter time periods, driven by meteorological data.
Finally, the simulated results are analyzed to identify the optimal combination of landscape elements that balances seasonal demands and best supports the activities and thermal comfort of the elderly in the public space.
2.3. Questionnaire
To understand the outdoor behavioral characteristics and habits of the elderly around the study site, questionnaire surveys were conducted among residents aged 60 and above in Ganghongyuan Community and its surrounding neighborhoods in January 2026. The original questionnaire was in Chinese, and its English translation is presented in Appendix A. The questionnaire consists of three sections: (1) basic information of respondents (age and gender); (2) activity information and dressing habits in summer; and (3) activity information and dressing habits in winter.
A total of 300 questionnaires were distributed, and 275 valid responses were collected, yielding an effective response rate of 91.67%.
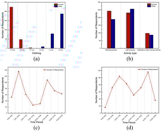
Clothing insulation values were derived by summing the thermal insulation of individual garments based on ANSI/ASHRAE Standard 55-2023 [41,42,43]. Regarding clothing characteristics, as shown in Figure 3a, most elderly individuals clearly preferred lightweight single-layer clothing (0.3 clo, such as short-sleeved shirts, shorts, and sandals) in summer. In winter, due to the cold outdoor temperatures, they predominantly chose heavy clothing (1.8 clo, including thermal underwear, thick sweaters, down jackets, hats, and scarves). In terms of activity types (Figure 3b), rest activities (chatting, playing board games, resting, etc.) and light activities (walking, grocery shopping, childcare) were consistently popular in both seasons, while moderate-to-high intensity activities (jogging, dancing, fitness exercises, etc.) were relatively less common. As illustrated in Figure 3c, the elderly in this area were most likely to engage in outdoor activities during 7:00–10:00 and 17:00–20:00 in summer. In winter, however, as shown in Figure 3d, influenced by sunlight availability, they tended to go out during 8:00–11:00 and 14:00–17:00. These findings provide a basis for establishing relevant parameters in the subsequent model.
Figure 3.
Questionnaire survey results: (a) dressing habits; (b) types of activities; (c) time periods of summer activities; (d) time periods of winter activities.
Based on the above investigation, PET was adopted as the main thermal comfort index in this study. PET is selected because its unique strength lies in establishing a complete mapping chain from the physical environment to human perception, which is highly suitable for interpreting the actual thermal sensation of elderly residents under typical seasonal conditions [37]. Although the Universal Thermal Climate Index emphasizes physiological stress prediction under extreme conditions and is a valuable thermal index, PET is more consistent with the research orientation of this paper, focusing on seasonal thermal comfort and behavioral perception of the elderly [44]. The neutral and acceptable ranges of PET used in this study are specifically defined for the elderly population, and are closely combined with the clothing insulation (0.3 clo in summer and 1.8 clo in winter) and activity levels (mainly resting and light activities) obtained from this survey. Specifically, the PET ranges corresponding to 80% and 90% thermal acceptability for the elderly are 32.4 °C and 25.7 °C, respectively [45].
2.4. Numerical Simulation
2.4.1. Software and Principles
The numerical simulations in this study were conducted using ENVI-met 5.9.0, a three-dimensional microclimate modeling software based on Computational Fluid Dynamics principles. Developed by Michael Bruse and colleagues at the University of Mainz, Germany, this software is specifically designed for the high-resolution simulation of surface-plant-air interactions within urban environments [46]. It is capable of simulating a comprehensive range of environmental physics processes, including air temperature, humidity, wind speed, radiation fluxes, pollutant dispersion, and key human thermal comfort indices such as the Predicted Mean Vote and the PET [47,48]. Its core strength lies in analyzing the impact of various urban landscape elements—such as building geometry, vegetation configuration, and underlying surface materials—on the local microclimate. The study utilizes version 5.9.0, which offers enhanced stability in fluid dynamics and thermodynamic calculations and addresses certain cumulative errors present in earlier versions that could significantly affect simulation outcomes.
2.4.2. Model Configuration and Parameter Settings
For the microclimate simulation of the public space in the Ganghongyuan community, the ENVI-met model was configured with the following key parameters to ensure accuracy and representativeness:
Initial and Boundary Conditions: The initial meteorological conditions for the simulation, including air temperature, relative humidity, wind speed, wind direction, and solar radiation, were input using local Typical Meteorological Year (TMY) data for Nanjing’s Qinhuai District, supplemented by field measurements from the study period where applicable. The initial soil temperature and moisture profiles were defined based on local soil characteristics.
Computational Domain and Grid Settings: The simulation domain encompassed the core study area with a grid resolution set to 1 m in the horizontal plane and the vertical direction. This fine resolution was chosen to accurately capture the geometric details of key landscape elements such as buildings, the pergola, vegetation, and pavement. The final model dimensions were 126 (x) × 96 (y) × 60 (z) grid cells. Time integration was implemented via ENVI-met’s dynamic time-stepping, which satisfies the Courant-Friedrichs-Lewy stability requirement. We enabled vertical telescoping above the tallest building to concentrate grid resolution near the human activity surface. The model-top was set to 60 m (≥2× the height of the tallest building in the study area), in line with ENVI-met’s official guidance for urban microclimate simulations.
Simulation Periods: Based on meteorological data analysis, two typical days were selected to represent seasonal extremes: 3 July 2025, the hottest day in Nanjing that year, for summer conditions, and 8 February 2025, the coldest day in Nanjing that year, for winter conditions. According to the questionnaire survey results, simulations were run from 7:00 AM to 10:00 AM and from 5:00 PM to 8:00 PM on the summer day, and from 8:00 AM to 11:00 AM and from 2:00 PM to 5:00 PM on the winter day. Each daily simulation totaled 6 h, enhancing computational efficiency while capturing relevant thermal conditions.
By comparing with historical meteorological data from 2020 to 2024, the maximum temperature of typical summer days in 2025 (38.4 °C) is consistent with the 5-year average and can well represent the regional extreme high-temperature characteristics. The average minimum temperature of the coldest days during 2020–2024 was −6.3 °C, whereas the minimum temperature of the coldest day in 2025 was −5.7 °C, which is close to the multi-year average. These results confirm that the 2025 meteorological conditions have strong representativeness for the study area.
3D Model Construction and Material Properties: A precise three-dimensional model was built in the ENVI-met SPACES module based on field-measured site plans, as shown in Figure 4. The model included five surrounding residential buildings (shown in gray in Figure 4) and the central square area with its components (green belts shown in green in Figure 4, walkways, pergola, and activity plaza). Building material properties were assigned according to their brick-concrete structure. Parameters for pavement materials (albedo, thermal properties) and vegetation (Leaf Area Density, plant albedo) were set by referencing the software’s built-in database and calibrated with field observations. A summary of the final boundary conditions and key parameter settings is provided in Table 1.
Figure 4.
ENVI-met 3D model of the study area.
Table 1.
Final Boundary Condition and Model Parameter Settings.
Upon completion of the simulations, the spatially averaged air temperature, wind speed, relative humidity, and PET within the red dashed boundary shown in Figure 5 were extracted for range analysis and Analysis of Variance (ANOVA). For each predefined analysis window, variables were calculated as area-time integrated averages following a two-step process: first, the spatial mean of each variable was computed across all grid cells within the polygon at hourly intervals; second, a time-averaging process over the designated simulation period was performed to derive the final representative values. Note that the spin-up output of the simulations was discarded to eliminate transient effects, with only results under stabilized thermal and fluid dynamic conditions retained for analysis.
Figure 5.
Distribution Map of Field Measurement Points.
2.5. Model Validation
This study implemented a validation protocol combining data-driven forcing and result feedback to evaluate the applicability of the ENVI-met microclimate simulation model within the context of the old residential community. The process consisted of three primary steps: field data collection, model parameter calibration, and simulation result validation, adhering to a widely accepted framework for microclimate numerical simulation studies [37].
On-site measurements of air temperature, relative humidity, and wind speed at 1.5 m height were conducted using a JT2020 multi-function tester (Beijing Shiji Jiantong Technology Co., Ltd., Beijing, China). The specifications of the instrument, which meet the data reliability requirements for microclimate observations, are detailed in Table 2.
Table 2.
Specifications of the measurement instruments.
Measurements were taken hourly from 8:00 to 18:00 on 4 February 2026. To validate the model’s accuracy, a meteorological boundary point was established on the eastern side of the study area (Point ④ in Figure 5). Hourly air temperature and relative humidity data from this point over a 24 h period were used as forced boundary conditions to drive the microclimate simulation. The simulated hourly temperature, relative humidity, and wind speed outputs at specific validation points—the square (Point ① in Figure 5), an unshaded paved area with no nearby vegetation; the pergola (Point ② in Figure 5), a shaded site beneath a pergola structure close to build elements; and the greenery zone—a vegetated location adjacent to trees and shrubs (Point ③ in Figure 5), were then systematically compared against the measured data from the corresponding points and time periods. In total, three meteorological variables were evaluated: air temperature, relative humidity, and wind speed. For each variable, a total of 30 samples were obtained, including 10 hourly values (from 9:00 to 18:00) at each of the three validation points.
The Coefficient of Determination (), as shown in Formula (1), and the Root Mean Square Error (), as shown in Formula (2), were employed as quantitative metrics to assess model accuracy by comparing the measured and simulated air temperature and relative humidity.
where is the simulated value, is the measured value at the same time and point, is the average of measured values and is the number of actual measurements. The unit of is identical to that of the measured variable .
2.6. Orthogonal Design of Experiment
2.6.1. Rationale for Factor Selection
This study employed an L9(34) orthogonal experimental design to quantitatively analyze the impact of three key landscape factors—Square Reflectance, Greening Type, and Pergola Condition—on the microclimate of the community public space. The rationale for selecting these specific factors and their levels is detailed below.
- Square Reflectance. As the primary underlying surface, the reflectance of the square’s pavement material directly influences the absorption and reflection of solar radiation, thereby altering the local heat balance [48]. Research indicates that pavement reflectance has a more significant impact on PET than on air temperature, making it a critical variable affecting human thermal perception. Consequently, Square Reflectance was selected as the key variable representing the thermal performance of the square.
- Greening Type. Greenery occupies the largest area within the study zone. Its type and structure play a crucial regulatory role in the microclimate primarily through shading and transpiration [17,49]. Different vegetation configurations (e.g., combinations of trees, shrubs, and lawn) lead to varied cooling and humidifying effects due to differences in canopy density, green volume, and transpiration efficiency. Thus, Greening Type is identified as the core natural element influencing site thermal comfort.
- Pergola Condition. The pergola, serving as an important architectural structure within the community, not only provides functional shaded and sheltered spaces but also further modulates the local microclimate through changes in shadow distribution, ventilation conditions, and evaporative cooling effects, depending on its form (e.g., with or without integrated greenery) [50]. Therefore, Pergola Condition was chosen as the representative variable for architectural element factors.
2.6.2. Factor Level Settings
Each factor was assigned three levels to cover its typical physical or functional range:
- The selection of ground reflectance values (0.2, 0.3, and 0.5) is scientifically justified by referencing empirical data from common outdoor paving materials, as summarized in Table 3. A reflectance of 0.2 corresponds to low-albedo materials such as concrete and dark-colored brick. A value of 0.3 represents medium-albedo surfaces like standard concrete and light-colored brick, which fall within the 0.25–0.35 range. Finally, 0.5 aligns with high-albedo materials, including light-colored stone and high-reflectance concrete coatings, known to achieve reflectance between 0.40 and 0.60. These levels were chosen not only to span the practical spectrum of urban pavement reflectance but also to ensure the model’s applicability across diverse climatic and material contexts [51,52].
Table 3. Experimental Factors and Level Definitions. - Greening Type: Three levels were established: ① Deciduous Trees + Lawn (open type), ② Evergreen Trees + Shrubs (dense type), and ③ 50% Deciduous + 50% Evergreen Trees + 50% Lawn + 50% Shrubs (composite type). These represent the differential regulatory effects on microclimate caused by varying vegetation structures.
- Pergola Condition Form: Three levels were defined: ① No Pergola (open), ② Pergola without Plants (semi-enclosed), and ③ Pergola with Plants (strong shading). These represent different degrees of overhead shading and spatial enclosure.
Through this three-factor, three-level orthogonal experimental design, the main effects of each factor and their interactions on microclimate and thermal comfort indicators can be efficiently identified with a limited number of simulations, thereby providing a quantitative basis for landscape optimization.
An L9(34) orthogonal array ,as detailed in Table 4, was adopted for the experimental design instead of a more comprehensive L27 array, primarily due to a trade-off between research efficiency and objectives. Given the high computational resource consumption of a single ENVI-met microclimate simulation and the study’s aim to preliminarily investigate the main effects of the three factors (Square Reflectance, Plant Configuration, and Pergola Condition) rather than complex interactions, the L9(34) scheme was selected. This approach efficiently covers the representative parameter space of all 27 theoretical combinations with only 9 simulation experiments, significantly reducing computational costs while ensuring analytical reliability, which aligns well with the exploratory goals of this research phase.
Table 4.
Specific Experimental Schemes Based on the L9(34) Orthogonal Array.
3. Results
3.1. Validation Results of Simulation Model in ENVI-Met
The coefficient of determination () and root mean square error () were employed as critical indicators to assess the validity of the simulation model. As shown in Figure 6, the linear correlation between simulated and measured data is strong, with values of 0.9326 for temperature, 0.8785 for wind speed, and 0.9719 for relative humidity, respectively. The corresponding values are 0.6215 °C for temperature, 0.2221 m/s for wind speed, and 1.6804% for relative humidity, all of which are within acceptable ranges [37]. These results confirm that the ENVI-met model can accurately reflect the microclimate variation in the study area, validating the reliability of the model for evaluating the effects of different design strategies on the thermal environment of public spaces in old residential communities. It should be noted that PET was not independently validated in this study, as it is a derived index based on the validated air temperature, wind speed and relative humidity.
Figure 6.
Linear relationships between simulated and measured values: (a) correlation between measured and simulated air temperature; (b) correlation between measured and simulated wind speed; (c) correlation between measured and simulated relative humidity.
3.2. Effect of Various Factors on Temperature
3.2.1. Primary and Secondary Influence and Optimal Level Ranking of Temperature
Based on the orthogonal experimental results, the range analysis method was employed to assess the impact of various factors on the average air temperature within the residential public area. This approach, while preserving statistical validity, utilizes two key metrics: the range (R) and the mean value per factor level (k). A larger R indicates a stronger influence of the factor on the thermal outcome [47]. The mean values (k1, k2, k3) are used to determine the optimal level for the specific seasonal objective: minimizing temperature in summer and maximizing it in winter.
For the summer period, the primary influencing factors on air temperature differ markedly between morning and afternoon, leading to distinct optimal design combinations. In the morning, A-Square Reflectance is the overwhelmingly dominant factor for cooling (R = 0.1070, ρj = 76.90%, Table 5). The optimal level for minimizing temperature is Level 3. Synthesizing the k-values of all factors, the optimal combination for the summer morning is determined to be A3B2C3, where A3 provides the strongest cooling effect from Square Reflectance, supported by specific selections for Greening Type (B2) and Pergola Condition (C3). In the afternoon, the dominant factor shifts completely to Pergola Condition (R = 0.0498, ρj = 98.71%). Here, Level 3 offers the best shading and the lowest temperature. Consequently, the optimal combination for summer afternoon cooling is A3B3C3.
Table 5.
Results of air temperature orthogonal tests in summer and winter.
During winter, when the objective is to raise the temperature, the optimal combinations also vary by time of day. In the morning, Greening Type is the most significant factor for warming (R = 0.1438, ρj = 89.97%), with its Level 1 yielding the highest mean temperature (k1 = −1.2440). The corresponding optimal combination to maximize morning warmth is A1B2C3. Conversely, in the afternoon, the overall influence of all factors is minimal. However, since Greening Type still shows the largest R value (0.0732), and its Level 2 provides the highest mean temperature (k2 = 1.6964), it guides the combination. Thus, the optimal setup for the winter afternoon is A2B3C3.
3.2.2. Significance and Influence Degree Analysis of Temperature
Based on the orthogonal experimental design, Analysis of Variance (ANOVA) was employed to statistically assess the significance of each factor’s impact on the air temperature within the residential public area. This method determines whether the differences in various factors across factor levels are statistically significant, moving beyond the magnitude of influence indicated by range analysis. The significance level (α) was set at 0.05. Given that this study adopted a 4-factor, 3-level orthogonal design (including three research factors and one blank factor), the degrees of freedom (DoF) for each factor is 2. A factor is considered to have a significant effect if its significance value (Sig.) is less than 0.05. Furthermore, the model’s explanatory power is validated by the high coefficients of determination (R2 and Adjusted R2) shown in Table 6, indicating that the model reliably explains the variation in temperature.
Table 6.
ANOVA of air temperature orthogonal tests in summer and winter.
For the summer period, the significance of factors varies distinctly between morning and afternoon, aligning with the objective of minimizing temperature. In the morning, only Square Reflectance exhibits a statistically significant effect (Sig. = 0.017 < 0.05), with a high F-value of 57.72. This confirms it as the primary controllable factor for cooling in the morning. In contrast, the effects of Greening Type (Sig. = 0.512) and Pergola Condition (Sig. = 0.061) are not statistically significant at this time. The situation reverses dramatically in the afternoon. Here, Pergola Condition emerges as the overwhelmingly significant factor (F = 7.65 × 102, Sig. < 0.001), decisively influencing thermal conditions. Meanwhile, neither Square Reflectance (Sig. = 0.493) nor Greening Type (Sig. = 0.111) shows a significant individual effect. The consistently high R2 values (0.9867 and 0.9987) for both periods confirm the model’s excellent fit.
During winter, when the goal is to maximize temperature, the patterns of significance also shift. In the morning (Table 6), Greening Type is the most significant factor (F = 3.52 × 102, Sig. = 0.003), followed by Pergola Condition (Sig. = 0.037). Square Reflectance shows a marginally insignificant effect (Sig. = 0.076). In the afternoon, both Greening Type (Sig. = 0.005) and Pergola Condition (Sig. = 0.007) maintain strong statistical significance, while Square Reflectance remains insignificant (Sig. = 0.326). The very high R2 values (0.9974 and 0.9971) again demonstrate the model’s robustness in explaining temperature variations for the winter season.
3.3. Effect of Various Factors on Wind Speed
3.3.1. Primary and Secondary Influence and Optimal Level Ranking of Wind Speed
For the summer period, where the goal is to enhance wind speed for improved thermal comfort, the primary influencing factors and optimal design combinations differ between morning and afternoon, as detailed in Table 7. In the morning, Greening Type (B) is the dominant factor, with the largest range (R = 0.0293) and a contribution rate (ρj) of 61.73%. To maximize wind speed, its optimal level is Level 1 (k1 = 0.5042). Pergola Condition (C) is the secondary factor (ρj = 38.08%), with its optimal level being Level 2 (k2 = 0.4882). Square Reflectance (A) has a negligible influence (ρj = 0.18%). Therefore, the optimal combination for increasing wind speed in the summer morning is A1B1C2. In the afternoon, Greening Type (B) remains the most influential factor (R = 0.0747, ρj = 70.50%), with Level 1 (k1 = 0.9225) being optimal. Pergola Condition (C) is the secondary factor (ρj = 29.49%), for which Level 1 (k1 = 0.9298) yields the highest wind speed. Consequently, the optimal combination for the summer afternoon is A1B1C1.
Table 7.
Results of wind speed orthogonal tests in summer and winter.
During winter, the objective shifts to reducing wind speed to preserve warmth, and the patterns of influence change accordingly (Table 7). In the morning, both Greening Type (B) and Pergola Condition (C) are significant, with comparable contribution rates (ρj of 47.44% and 51.51%, respectively). To minimize wind speed, the optimal level for Greening Type is Level 3 (k3 = 1.020), and for Pergola condition, it is also Level 3 (k3 = 1.0368). The influence of Square Reflectance (A) is minimal. Thus, the optimal combination for reducing wind speed in the winter morning is A3B3C3. In the afternoon, Pergola Condition (C) becomes slightly more influential (ρj = 55.38%) than Greening Type (B) (ρj = 43.55%). For wind speed reduction, the optimal level for Pergola Condition is Level 3 (k3 = 0.8094), and for Greening Type, it is Level 3 (k3 = 0.8031). The corresponding optimal combination for the winter afternoon is therefore A3B3C3.
3.3.2. Significance and Influence Degree Analysis of Wind Speed
For the summer period, the significance of factors differs between morning and afternoon (Table 8). In the morning, Greening Type (Sig. = 0.0002) and Pergola Condition (Sig. = 0.0003) exhibit statistically significant effects, while Square Reflectance shows a marginally insignificant effect (Sig. = 0.0553). In the afternoon, both Greening Type (Sig. = 0.0001) and Pergola Condition (Sig. = 0.0002) remain significant, whereas Square Reflectance is not significant (Sig. = 0.5112). The R2 and Adjusted R2 values for both periods are 0.9999, confirming an excellent model fit.
Table 8.
ANOVA of wind speed orthogonal tests in summer and winter.
During winter, the statistical patterns are consistent across time periods (Table 8). In the morning, both Greening Type (Sig. = 0.0106) and Pergola Condition (Sig. = 0.0097) are significant factors, but Square Reflectance is not (Sig. = 0.4827). In the afternoon, Greening Type (Sig. = 0.0112) and Pergola Condition (Sig. = 0.0088) maintain significance, while Square Reflectance again shows no significant effect (Sig. = 0.4614). The R2 values for winter are 0.9949 (morning) and 0.9951 (afternoon), and the Adjusted R2 values are 0.9919 and 0.9921, respectively.
For the summer period, the significance of factors differs between morning and afternoon (Table 8). In the morning, Greening Type (Sig. < 0.001) and Pergola Condition (Sig. < 0.001) exhibit statistically significant effects, while Square Reflectance shows a marginally insignificant effect (Sig. = 0.055). In the afternoon, both Greening Type (Sig. < 0.001) and Pergola Condition (Sig. < 0.001) remain significant, whereas Square Reflectance is not significant (Sig. = 0.511). The R2 and Adjusted R2 values for both periods are 0.9999, confirming an excellent model fit.
During winter, the statistical patterns are consistent across time periods (Table 8). In the morning, both Greening Type (Sig. = 0.011) and Pergola Condition (Sig. = 0.010) are significant factors, but Square Reflectance is not (Sig. = 0.483). In the afternoon, Greening Type (Sig. = 0.011) and Pergola Condition (Sig. = 0.009) maintain significance, while Square Reflectance again shows no significant effect (Sig. = 0.461). The R2 values for winter are 0.9949 (morning) and 0.9951 (afternoon), and the Adjusted R2 values are 0.9919 and 0.9921, respectively.
3.4. Effect of Various Factors on Relative Humidity
3.4.1. Primary and Secondary Influence and Optimal Level Ranking of Relative Humidity
Based on the range analysis of relative humidity (Table 9) and considering the human comfort range of approximately 40–60%, the optimization objectives are defined as minimizing humidity in summer and maximizing it in winter. The analysis identifies the primary influencing factors and the corresponding optimal level combinations for each period.
Table 9.
Results of relative humidity orthogonal tests in summer and winter.
For the summer period, the dominant factors affecting humidity vary between morning and afternoon. In the morning, Square Reflectance (A) is the primary factor, with a contribution rate (ρj) of 67.96% and a range (R) of 0.3702. To achieve the goal of lower humidity, the optimal level is Level 1 (k1 = 66.7077). Greening Type (B) and Pergola Condition (C) are secondary factors, for which the optimal levels are Level 3 (k3 = 66.8243) and Level 1 (k1 = 66.8280), respectively. Therefore, the optimal combination for reducing humidity in the summer morning is A1B3C1. In the afternoon, the influence shifts decisively to Pergola Condition (C), which accounts for 98.05% of the effect (R = 0.1594). Its Level 1 (k1 = 59.5949) yields the lowest humidity. The optimal levels for the other two factors are Level 2 for A (k2 = 59.6801) and Level 3 for B (k3 = 59.6710). Consequently, the optimal combination for the summer afternoon is A2B3C1.
During winter, the objective is to increase relative humidity. In the morning, Greening Type (B) is the overwhelmingly dominant factor, with a contribution rate of 98.64% (R = 0.4640). To maximize humidity, the optimal level is Level 1 (k1 = 22.1197). The optimal levels for the less influential factors are Level 3 for both Square Reflectance (A, k3 = 21.8648) and Pergola Condition (C, k3 = 21.8730). Thus, the optimal combination for the winter morning is A3B1C3. In the afternoon, Greening Type (B) remains the most critical factor (ρj = 99.27%, R = 0.4884), with its Level 2 (k2 = 19.2736) providing the highest humidity. The corresponding optimal levels for the other factors are Level 1 for A (k1 = 19.0184) and Level 3 for C (k3 = 19.0315). The resulting optimal combination for the winter afternoon is A1B2C3.
3.4.2. Significance and Influence Degree Analysis of Relative Humidity
For the summer period, the significance of factors affecting relative humidity varies distinctly between morning and afternoon, as shown in Table 10. In the morning, A-Square Reflectance exhibits a statistically significant effect (F = 55.5019, Sig. = 0.0177), while B-Greening Type (Sig. = 0.1326) and C-Pergola Condition (Sig. = 0.0510) are not significant. In the afternoon, C-Pergola Condition emerges as the overwhelmingly significant factor (F = 658.2601, Sig. = 0.0015), whereas A-Square Reflectance (Sig. = 0.4802) and B-Greening Type (Sig. = 0.0832) show no significant individual effect. The R2 and Adjusted R2 values for both periods are 0.9878/0.9804 and 0.9985/0.9976, respectively.
Table 10.
ANOVA of relative humidity orthogonal tests in summer and winter.
During winter, the patterns of significance also shift, as detailed in Table 10. In the morning, B-Greening Type is the most significant factor (F = 1649.8253, Sig. = 0.0006), while C-Pergola Condition approaches significance (Sig. = 0.0586) and A-Square Reflectance is not significant (Sig. = 0.1510). In the afternoon, both B-Greening Type (F = 9414.8621, Sig. = 0.0001) and C-Pergola Condition (F = 65.9606, Sig. = 0.0149) maintain strong statistical significance, while A-Square Reflectance remains insignificant (Sig. = 0.3169). The model fits are excellent, with R2/Adjusted R2 values of 0.9994/0.9990 and 0.9999/0.9998 for morning and afternoon, respectively.
For the summer period, the significance of factors affecting relative humidity varies distinctly between morning and afternoon, as shown in Table 10. In the morning, A-Square Reflectance exhibits a statistically significant effect (F = 55.50, Sig. = 0.018), while B-Greening Type (Sig. = 0.133) and C-Pergola Condition (Sig. = 0.051) are not significant. In the afternoon, C-Pergola Condition emerges as the overwhelmingly significant factor (F = 6.58 × 102, Sig. < 0.001), whereas A-Square Reflectance (Sig. = 0.480) and B-Greening Type (Sig. = 0.083) show no significant individual effect. The R2 and Adjusted R2 values for both periods are 0.9878/0.9804 and 0.9985/0.9976, respectively.
During winter, the patterns of significance also shift, as detailed in Table 10. In the morning, B-Greening Type is the most significant factor (F = 1.65 × 103, Sig. < 0.001), while C-Pergola Condition approaches significance (Sig. = 0.059) and A-Square Reflectance is not significant (Sig. = 0.151). In the afternoon, both B-Greening Type (F = 9.41 × 103, Sig. < 0.001) and C-Pergola Condition (F = 65.96, Sig. = 0.015) maintain strong statistical significance, while A-Square Reflectance remains insignificant (Sig. = 0.317). The model fits are excellent, with R2/Adjusted R2 values of 0.9994/0.9990 and 0.9999/0.9998 for morning and afternoon, respectively.
3.5. Effect of Various Factors on PET
3.5.1. Primary and Secondary Influence and Optimal Level Ranking of PET
Based on the orthogonal experimental results, this section analyzes the PET. PET is a comprehensive thermal comfort index that integrates the effects of multiple environmental parameters, including air temperature, humidity, wind speed, and radiant heat, on human thermal perception. Therefore, compared to individual metrics like temperature, humidity, or wind speed, PET provides a more accurate assessment of actual human thermal stress and serves as a superior benchmark for guiding landscape design optimization. Consequently, the optimization objective is set to minimize PET in summer to alleviate heat stress and maximize PET in winter to enhance the perception of warmth.
For the summer period, the dominant factors influencing PET differ distinctly between morning and afternoon (see Table 11). In the morning, Pergola Condition (C) is the overwhelmingly dominant factor, with a contribution rate (ρj) of 82.87% and a range (R) of 0.6160. To achieve the goal of lowering PET, its optimal level is Level 3 (k3 = 42.6426). The influence of Square Reflectance (A) and Greening Type (B) is comparatively minor, with contribution rates of 12.18% and 4.93%, respectively. Their optimal levels are Level 1 (k1 = 42.7746) for A and Level 3 (k3 = 42.7882) for B. Synthesizing these factors, the optimal design combination for the summer morning is A1B3C3. In the afternoon, the primary influence shifts to Greening Type (B), which becomes the most critical factor with a contribution rate of 96.18% (R = 1.0994). Its Level 2 (k2 = 8.8253) yields the lowest PET value. In contrast, the effects of Pergola Condition (C) and Square Reflectance (A) become negligible (ρj < 4%). Their corresponding optimal levels are Level 3 (k3 = 9.2628) for C and Level 1 (k1 = 9.2037) for A. Thus, the optimal combination for the summer afternoon is A1B2C3.
Table 11.
Results of PET orthogonal tests in summer and winter.
During winter, the objective is to increase the PET value to create a warmer sensation. In the morning, Pergola Condition (C) re-emerges as the predominant factor, with a very high contribution rate of 93.21% (R = 0.1333). Its Level 3 (k3 = 35.2357) produces the highest mean PET value. Greening Type (B) has a secondary influence (ρj = 6.79%), and its optimal level is Level 3 (k3 = 35.3117). The effect of Square Reflectance (A) is negligible. Therefore, the recommended combination for the winter morning is A3B3C3. In the afternoon, Greening Type (B) assumes a dominant role with a contribution rate of 94.84% (R = 0.3565). Its Level 2 (k2 = 9.5796) corresponds to the highest mean PET. The influences of the other two factors are relatively minor, with their optimal levels being Level 3 for C (k3 = 9.7366) and Level 1 for A (k1 = 9.7302). Consequently, the optimal combination for the winter afternoon is A1B2C3.
3.5.2. Significance and Influence Degree Analysis of PET
For the PET in summer, the significance of all three factors is evident in both periods, as detailed in Table 12. In the morning, A-Square Reflectance (F = 1.53 × 103, Sig. < 0.001), B-Greening Type (F = 6.20 × 102, Sig. < 0.001), and C-Pergola Condition (F = 1.04 × 104, Sig. < 0.001) all exhibit statistically significant effects. In the afternoon, A-Square Reflectance (F = 7.73, Sig. = 0.035), B-Greening Type (F = 7.14 × 104, Sig. < 0.001), and C-Pergola Condition (Sig. < 0.001) also show significant effects. The R2 values are 0.9999 and 1.0000 for the morning and afternoon, respectively.
Table 12.
ANOVA of PET orthogonal tests in summer and winter.
For the PET in winter, the patterns of significance are shown in Table 12. In the morning, A-Square Reflectance (F = 6.95 × 102, Sig. < 0.001), B-Greening Type (F = 1.92 × 104, Sig. < 0.001), and C-Pergola Condition (F = 66.65, Sig. = 0.015) are all significant. In the afternoon, B-Greening Type (F = 2.50 × 103, Sig. < 0.001) and C-Pergola Condition (F = 1.23 × 102, Sig. = 0.008) maintain statistical significance, while A-Square Reflectance is not significant (Sig. = 0.078). The R2 values are 0.9999 and 0.9996 for the two periods.
4. Discussion
4.1. Results Analysis
Based on the orthogonal experiment and analysis, this section discusses the influence mechanisms of the three design factors—Square Reflectance, Greening Type, and Pergola Condition—on the microclimate of the residential public area, as summarized by their optimal levels in Table 13.
Table 13.
Summary of Optimal Conditions.
4.1.1. Influence of Square Reflectance (Factor A)
The impact of Square Reflectance (Factor A) is relatively focused, appearing as the optimal factor only for summer morning temperature and relative humidity, both at Level 3 (A3, Reflectance = 0.5). The range values were 0.1070 for temperature and 0.3702 for relative humidity, indicating a moderate but targeted effect. This centrality of influence stems from the plaza’s location within an enclosed building complex. A lower Square Reflectance (e.g., A1 = 0.2) implies high solar radiation absorption by the paved surface, which subsequently heats the near-ground air layer and increases evaporation, thereby elevating ambient temperature and humidity [53]. Conversely, a high-reflectance surface (A3 = 0.5) reflects a greater portion of incoming solar radiation, significantly reducing heat storage and its subsequent release. This effectively minimizes the thermal load added to the surrounding microenvironment during the critical morning hours, explaining why A3 is optimal for mitigating summer morning heat stress.
4.1.2. Influence of Greening Type (Factor B)
Greening Type (Factor B) demonstrates the most extensive influence, being identified as optimal for winter temperature, wind speed across both seasons, winter relative humidity, and winter PET, which aligns with established literature emphasizing vegetation’s critical role in microclimate regulation [17,49,54,55,56].
For winter temperature and PET, the optimal level was B1 (Deciduous Trees + Lawn) for both winter mornings and afternoons, with ranges of 0.1438 and 0.0732 respectively. In winter, deciduous trees shed their leaves, allowing more direct solar radiation to penetrate to the ground and be absorbed by the lawn [57]. This process enhances radiant heating of the near-surface air, effectively raising the air temperature and, consequently, the PET, which is highly sensitive to radiant temperature in cool conditions.
Regarding wind speed, for summer wind speed, both B1 and B2 (Evergreen Trees + Shrubs) were similarly optimal, with ranges of 0.0293 in the morning and 0.0747 in the afternoon. This suggests that the primary canopy layer (trees) in both configurations has a comparable aerodynamic effect on airflow at the pedestrian level [58]. In winter, however, B3 (Mixed 50% Deciduous + 50% Evergreen Trees with Lawn and Shrubs) was optimal for wind reduction, with ranges of 0.0791 and 0.0405. The complex, multi-layered structure of B3 increases surface roughness more effectively, disrupting and slowing near-ground winds within the enclosed plaza.
The influence of Greening Type on winter relative humidity was more complex, with B1 optimal in the morning (range: 0.4640) and B2 optimal in the afternoon (range: 0.4884). In the cold morning, deciduous trees (B1) have minimal transpiration, and sunlight reaching the lawn may promote slight evaporation from the soil. By the warmer afternoon, evergreen trees and shrubs (B2), which remain physiologically active, exhibit stronger transpiration, releasing more moisture into the air and increasing relative humidity. This diurnal shift highlights the intricate interactions between plant physiology and microclimate.
4.1.3. Influence of Pergola Condition (Factor C)
Pergola Condition (Factor C) was optimal in four scenarios: summer afternoon temperature (C3, Range: 0.0498), both summer morning and afternoon PET (C3, Ranges: 0.6160, 0.1333), and summer afternoon relative humidity (C1, Range: 0.1594).
For summer thermal comfort, including temperature and PET, the consistently optimal level C3 (Pergola with Plants) underscores its dual benefit: the structure provides direct shading to reduce mean radiant temperature, while the climbing plants enhance evaporative cooling through transpiration. This combination significantly lowers the PET, making C3 the most critical factor for summer thermal comfort. Interestingly, C1 (No Pergola) was optimal for reducing summer afternoon humidity. The absence of a large overhead structure promotes better air circulation, as shown in Table 7. This allows water vapor to be advected away from the plaza more efficiently than in pergola-equipped scenarios, which may obstruct airflow. Such an effect is particularly pronounced in building-enclosed public spaces and during summer with dense foliage, suggesting a trade-off between shading benefits and air movement.
In summary, Square Reflectance is pivotal for managing morning solar heat gain, vegetation type has the broadest regulatory effect—particularly on wind, winter temperature, and humidity—and the pergola with plants is paramount for summer shading and cooling comfort, though its presence influences ventilation. Thus, the optimal design must integrate these factors strategically based on seasonal and diurnal priorities.
4.1.4. Sensitivity Analysis of Dominant Factors
To address the concern regarding uncertainty quantification with the limited replication inherent in the L9(34) orthogonal design, a sensitivity analysis was performed on the dominant factor identified for each time period. This analysis quantifies the mean change in PET (ΔPET) resulting from a one-level change (±1 level) of the dominant factor, serving as a proxy for outcome robustness. The results are summarized in Table 14.
Table 14.
Sensitivity of PET to one-level changes in the dominant factor across seasons and times.
The sensitivity of PET exhibits notable spatiotemporal variation: the magnitude of change is smallest in the winter morning (0.0521 °C) and largest in the summer morning (0.3080 °C) among the four periods analyzed. This quantification provides crucial context for interpreting the simulation findings, indicating that design decisions require greater precision during summer mornings when PET is most sensitive to changes in the dominant factor. Conversely, the PET response is relatively less sensitive during winter periods. This sensitivity metric effectively compensates for the inability to provide conventional error bars due to the constraints of the orthogonal experimental design.
4.2. Comprehensive Optimal Scheme
Based on the above analysis, different factors exert varying degrees of influence on different microclimate indicators, which brings certain difficulties to the analysis and trade-off of environmental design elements in HSCW regions. The impacts of individual factors often show contradictory effects across different seasons, making direct selection challenging. Therefore, it is necessary to establish a concise evaluation method to quantify the comprehensive effects of various landscape elements on the microthermal-humid environment and support the optimal selection of design schemes.
Accordingly, this study proposes the following evaluation Formula (3):
where is the overall PET gain, is the PET value of a given design or factor in winter, and is the corresponding PET value in summer. It should be emphasized that serves solely for the analysis of various protocols and factor levels, and the value itself has no substantive significance.
Specifically, this study adopts Formula (4) to process the experimental results of PET.
where , , and represent the PET values in winter morning, winter afternoon, summer morning and summer afternoon, respectively. The results are summarized in Table 15 and Table 16.
Table 15.
The overall PET gain across seasons for each factor at each level.
Table 16.
The overall PET gain across seasons for each orthogonal experiment.
As can be seen from Table 15, for the factor of Square Reflectance, the differences among the three levels are relatively small, so the appropriate level can be selected according to actual site conditions. For factor B (Greening Type), however, the differences among different levels are significant. The use of deciduous trees is obviously better than that of evergreen trees, indicating that deciduous trees are superior to evergreen trees in improving thermal comfort in HSCW regions. For factor C (Pergola Condition), the results of C2 (pergola without plants) and C3 (pergola with plants) are close to each other, showing similar effects on the overall PET gain. Therefore, the optimal combination of conditions can be identified as A1/A2/A3 + B1 + C2/C3.
From Table 16, the overall PET gain across seasons for each orthogonal experiment indicates that the optimal experimental combinations are A2B1C2 (Experiment 4, = −29.051 °C) and A3B1C3 (Experiment 7, = −29.055 °C), while the poorest performance is observed in Experiment 8 (A3B2C1, = −30.148 °C). The differences in overall PET gain between the optimal combinations and the worst case are 1.097 °C for A2B1C2 and 1.092 °C for A3B1C3, respectively, which are substantial. This result also validates the aforementioned analysis of the effects of different factors on the overall PET gain.
Factor B (Greening Type) at Level 1 (Deciduous Trees + Lawn) demonstrates superior comprehensive PET gain across seasons in HSCW regions. In summer, deciduous trees develop dense leafy canopies that effectively block solar radiation, reducing surface and air temperatures through shade and evapotranspiration, while the lawn, with its high albedo and evaporative cooling capacity, further mitigates the urban heat island effect, lowering PET and enhancing thermal comfort [37]. The leaf area density of B1 is not significantly different from that of B2 and B3 during this period, resulting in comparable cooling effects, as shown in Table 5. In winter, deciduous trees shed their leaves, allowing more solar radiation to penetrate to the ground and surrounding surfaces, thereby increasing solar absorption and reducing heat loss relative to B2 and B3. This dual effect of summer cooling and winter warming balances seasonal thermal conditions, leading to a superior overall PET gain compared to B2 (Evergreen Trees + Shrubs) and B3 (50% Deciduous + 50% Evergreen + 50% Lawn + 50% Shrubs).
Factor C (Pergola condition) at Levels 2 (Pergola without Plants) and 3 (Pergola with Plants) can be treated as a unified category, as their overall effects are similar. Relative to C1 (No Pergola), both C2 and C3 exhibit superior thermal performance in summer, as indicated in Table 5, primarily due to the shade they provide, which effectively reduces ambient temperatures. In winter, however, C2 and C3 result in slightly lower temperatures than C1, suggesting that C1 allows more solar radiation to penetrate, leading to passive warming. This explains the advantage of C2 and C3 over C1 in summer. As shown in Table 7, the wind speed under C2 and C3 is only 0.01 m/s lower than that under C1 in summer, a negligible difference due to the dense tree foliage and surrounding building enclosure that minimizes the impact of pergola presence on airflow. In contrast, during winter, C2 and C3 reduce wind speed by 0.07 m/s compared to C1, a critical improvement for the thermal comfort and warmth of elderly individuals in cold conditions. Mechanistically, when deciduous trees are selected, the increased solar transmittance in winter also leads to greater wind penetration. In this context, the pergola structure in C2 and C3 acts as a significant barrier to airflow, substantially reducing wind speed and thereby elevating PET values [59]. The wind-breaking effect of the pergola in winter is thus identified as the key mechanism driving the positive PET benefits of C2 and C3 during cold seasons.
In contrast, Experiment 8 (A3B2C1) exhibits the lowest overall PET gain (−30.148 °C), primarily due to the combined limitations of B2 (Evergreen Trees + Shrubs) and C1 (No Pergola). For B2, while evergreen vegetation provides shade in summer, its dense canopy can trap heat and reduce ventilation, leading to higher humidity and less effective cooling compared to deciduous trees, and the limited evapotranspiration from shrubs further restricts heat dissipation. In winter, the persistent foliage blocks solar radiation, reducing solar heating and increasing heat loss, leading to lower temperatures and higher PET, creating a double penalty of compromised summer cooling and winter warming. For C1, the absence of a pergola removes the primary source of shade in summer, exposing surfaces and occupants to direct solar radiation and increasing surface and air temperatures as well as PET. In winter, without a pergola, there is no wind shelter, increasing convective heat loss and reducing thermal comfort. The combination of B2 and C1 in Experiment 8 creates a scenario where summer cooling is compromised and winter warming is inhibited, leading to the overall poor PET gain observed.
4.3. Landscape Recommendations for Renovation of Old Residential Communities
Based on the above findings and analyses, several key recommendations can be derived to guide the renovation of public spaces in old residential communities, particularly in HSCW regions:
First, regarding the selection of ground materials and their surface reflectance, the choice of color (dark, light, or bright) should prioritize the emotional and safety benefits for elderly residents, as this study demonstrates that the impact of surface reflectance on microclimate is relatively limited. This allows for greater flexibility in design decisions, enabling planners to balance aesthetic and functional considerations without significant trade-offs in thermal comfort.
Second, for greening strategies, the results highlight the superior microclimate benefits of prioritizing deciduous trees and lawns in public areas where elderly residents frequently engage in activities. While evergreen trees offer valuable landscape, environmental, and psychological benefits, they should be complemented by a greater proportion of deciduous vegetation in HSCW regions. This combination effectively balances summer cooling and winter warming, leading to more pronounced overall PET gains and enhanced year-round thermal comfort.
Third, the installation of pergola structures is strongly recommended. When conditions permit, roofed pergolas with open sides should be constructed to provide shaded spaces in summer and act as windbreaks in winter, without significantly obstructing solar radiation. Such structures offer dual-season benefits, creating comfortable environments for elderly residents to engage in outdoor activities throughout the year.
4.4. Limitations and Future Directions
Although this study has obtained clear and reliable simulation results, there remain several directions worthy of further improvement in future research.
First, this study only adopted average values as the evaluation indicators, including average air temperature, average relative humidity, average wind speed, and average PET. In actual outdoor environments, thermal conditions usually vary considerably across different monitoring points and spatial positions. For instance, in winter, the presence of a pergola may reduce solar radiation underneath the structure, but it can improve the overall thermal comfort level of adjacent open spaces such as small plazas. Accordingly, this study did not investigate the proportion of space area that meets human thermal comfort requirements, nor did it analyze the distribution of comfortable time periods under different design scenarios. Future research can conduct more refined analyses to determine the specific ranges of comfortable periods and the spatial distribution of favorable monitoring points under different schemes, so as to characterize the actual thermal comfort performance more comprehensively.
Second, this study did not systematically explore the interaction effects among different influencing factors. Based on the simulation results, it can be preliminarily inferred that the combination of deciduous trees and pergolas produces a synergistic beneficial effect on thermal comfort. However, such inference is only derived from an analysis of output results, without solid quantitative evidence or mechanistic explanations. Similarly, interactive effects may also exist among other factors, but they were not clearly identified or verified in this study. Therefore, future research should focus on the coupled and interactive effects of multiple design factors and establish a rigorous analytical framework to quantify their combined influences on microclimate and thermal comfort.
5. Conclusions
Through an integrated approach of simulation, analysis, and discussion, this research evaluated the effects of landscape design on outdoor thermal comfort in old residential districts in HSCW zones. The findings lead to three principal conclusions:
In the public spaces of old residential communities, Greening Type and Pergola Condition exert significant impacts on the microclimate, while Square Reflectance has a relatively weak effect on microclimate and thermal comfort.
In terms of Greening Type, the combination of deciduous trees and lawn achieves the optimal thermal comfort performance, primarily because it provides similar cooling effects to evergreen trees in summer while allowing sufficient solar radiation penetration for better lighting and heating in winter. In contrast, the combination of evergreen trees and shrubs results in the poorest cross-seasonal thermal comfort performance.
Pergola structures, regardless of whether they are covered with plants, can effectively improve microclimate and thermal comfort by providing shade in summer and enhancing thermal comfort through windbreak effects in winter.
The combination dominated by deciduous trees + lawn and pergola yields an overall PET gain 1.0967 °C higher than that of evergreen trees + shrub without pergola.
Author Contributions
Methodology, Q.H.; Software, Q.G.; Validation, Q.H. and Q.G.; Formal analysis, Q.H.; Data curation, Q.H. All authors have read and agreed to the published version of the manuscript.
Funding
This research was funded by Jiangsu Province University Basic/Natural Science Research General Program, Grant No. 23KJD560006.
Institutional Review Board Statement
We are students or teachers from Sanjiang University, conducting research on the outdoor activities of the elderly. This questionnaire is for academic research purposes only, without any political or commercial intentions. All information will be kept confidential and will not be disclosed to any third party. Please answer truthfully and feel at ease. Oral instructions were also provided to ensure that elderly participants fully understood the content of the statement. By completing and returning the questionnaire, participants indicated their informed consent to participate in the study. Moreover, the collected data only included participants’ age and gender, without any identifiable personal information or sensitive private data. Since all participants provided voluntary consent and no personal identifying information was involved, the approval was waived.
Informed Consent Statement
Informed consent was obtained from all subjects involved in the study.
Data Availability Statement
The original contributions presented in this study are included in the article. Further inquiries can be directed to the corresponding author(s).
Conflicts of Interest
The authors declare no conflicts of interest.
Abbreviations
The following abbreviations are used in this manuscript:
| HSCW | Hot-Summer and Cold-Winter |
| PET | Physiological Equivalent Temperature |
| ANOVA | Analysis of Variance |
Appendix A
Questionnaire on Outdoor Activities of the Elderly
Dear Sir/Madam,
We are students from Sanjiang University, conducting research on the outdoor activities of the elderly. This questionnaire is for academic research purposes only, without any political or commercial intentions. All information will be kept confidential and will not be disclosed to any third party. Please answer truthfully and feel at ease.
I. Personal Information
1. Your gender:
☐ Male ☐ Female
2. Your age:
☐ 60–70 ☐ 70–80 ☐ 80–90 ☐ Above 90
II. Summer
1. Please select the option that best describes your outdoor activity in the morning during summer:
☐ 6:00–9:00 ☐ 7:00–10:00 ☐ 8:00–11:00 ☐ 9:00–12:00
2. Please select the option that best describes your outdoor activity in the afternoon during summer:
☐ 16:00–19:00 ☐ 17:00–20:00 ☐ 18:00–21:00 ☐ 19:00–22:00
3. What are your main outdoor activities in summer? (Multiple choices allowed)
☐ Resting activities: chatting, playing cards or chess, resting
☐ Light activities: walking, grocery shopping, looking after children
☐ Moderate to high intensity activities: jogging, dancing, exercising
4. Which option best describes your clothing when going out on the hottest summer days (e.g., 40 °C)?
☐ Short sleeves, shorts, and sandals
☐ Short sleeves, long trousers, and casual shoes
☐ Long sleeves, long trousers, and sports shoes
III. Winter
1. Please select the option that best describes your outdoor activity in the morning during winter (Single choice):
☐ 6:00–9:00 ☐ 7:00–10:00 ☐ 8:00–11:00 ☐ 9:00–12:00
2. Please select the option that best describes your outdoor activity in the afternoon during winter (Single choice):
☐ 12:00–15:00 ☐ 13:00–16:00 ☐ 14:00–17:00 ☐ 15:00–18:00
3. What are your main outdoor activities in winter? (Multiple choices allowed)
☐ Resting activities: chatting, playing cards or chess, resting
☐ Light activities: walking, grocery shopping, looking after children
☐ Moderate to high intensity activities: jogging, dancing, exercising
4. Which option best describes your clothing when going out on the coldest winter days (e.g., −4 °C)?
☐ Long underwear, thin sweater, jacket
☐ Long underwear, thick sweater, cotton-padded coat or thin down jacket
☐ Thermal underwear, thick sweater, heavy down jacket, hat and scarf
References
- Gu, T.; Huang, Q.; Chen, M.; He, C.; Zhu, G.; Hou, Y.; Zhou, Y.; Yue, K.; Zhang, M.; Zhang, S.; et al. Does people oriented urbanization catch up with land and population urbanization. NPJ Urban Sustain. 2025, 5, 61. [Google Scholar] [CrossRef]
- Bai, X.; Shi, P. China’s urbanization at a turning point—Challenges and opportunities. Science 2025, 388, eadw3443. [Google Scholar] [CrossRef]
- Fang, E.F.; Fang, Y.; Chen, G.; Wang, H.-L.; Zhang, J.; Wu, C.; Liao, J.; Xie, C.; Liu, X.; Wang, K.; et al. Adapting health, economic and social policies to address population aging in China. Nat. Aging 2025, 5, 2176–2187. [Google Scholar] [CrossRef]
- Liang, Y.; Qian, Q.K.; Li, B.; An, Y.; Shi, L. A critical assessment on China’s old neighborhood renovation: Barriers analysis, solutions and future research prospects. Energy Build. 2025, 332, 115407. [Google Scholar] [CrossRef]
- Ye, Z.; Ouyang, S.; Gao, X.; Ren, Y. Micro-Renovation Method of Old Residential Areas Based on Parametric Energy Simulation: An Aging Community in Middle China as an Example. Buildings 2025, 15, 758. [Google Scholar] [CrossRef]
- Tian, H.; Chen, S.; Zhang, G.; Hu, C.; Zhang, W.; Feng, J.; Hong, T.; Yu, H. Research on Microclimate Influencing Factors and Thermal Comfort Improvement Strategies in Old Residential Areas in the Post-Urbanization Stage. Sustainability 2025, 17, 3655. [Google Scholar] [CrossRef]
- Xu, X.; Wang, L.; Liu, L.; Wu, S.; Wang, S. Impact study of landscape renewal design on neighborhood microclimate based on a structural analysis framework considering global warming scenarios. J. Asian Archit. Build. Eng. 2025, 1–28. [Google Scholar] [CrossRef]
- Lu, Y.; Wang, Z.; Li, Y.; Yan, S. Optimization of Thermal Comfort Evaluation for Elderly Individuals in Winter Urban Parks Based on Plant Elements Within Landscape Spaces—Taking Beijing Zizhuyuan and Taoranting Parks as Examples. Land 2025, 14, 2440. [Google Scholar] [CrossRef]
- Norman, L.M.; Ruddell, B.L.; Tosline, D.J.; Fell, M.K.; Greimann, B.P.; Cederberg, J.R. Developing Climate Resilience in Aridlands Using Rock Detention Structures as Green Infrastructure. Sustainability 2021, 13, 11268. [Google Scholar] [CrossRef]
- Bouyer, J.; Inard, C.; Musy, M. Microclimatic coupling as a solution to improve building energy simulation in an urban context. Energy Build. 2011, 43, 1549–1559. [Google Scholar] [CrossRef]
- Galli, G.; Vallati, A.; Recchiuti, C.; Botta, F. Passive Cooling Design Options to Improve Thermal Comfort in an Urban District of Rome, Under Hot Summer Conditions. Int. J. Eng. Technol. 2013, 5, 4495. [Google Scholar]
- Yu, H.; Zhang, H.; Qiu, L. Evaluation of existing residential renovation strategies in Shanghai based on coupled microclimate and energy simulation. In Proceedings of the Building Simulation 2023: 18th Conference of IBPSA, Shanghai, China, 4–6 September 2023. [Google Scholar]
- Yu, H.; Zhang, H.; Qiu, L.; Lai, D. Evaluation of renovation strategies for existing residential districts in Shanghai based on coupling calculation of microclimate and energy consumption. Energy Build. 2023, 298, 113569. [Google Scholar] [CrossRef]
- Zhu, S.; Causone, F.; Gao, N.; Ye, Y.; Jin, X.; Zhou, X.; Shi, X. Numerical simulation to assess the impact of urban green infrastructure on building energy use: A review. Build. Environ. 2023, 228, 109832. [Google Scholar] [CrossRef]
- Cao, S.; Wang, Y.; Ni, Z.; Xia, B. Effects of Blue-Green Infrastructures on the Microclimate in an Urban Residential Area Under Hot Weather. Front. Sustain. Cities 2022, 4, 824779. [Google Scholar] [CrossRef]
- Evola, G.; Gagliano, A.; Fichera, A.; Marletta, L.; Martinico, F.; Nocera, F.; Pagano, A. UHI effects and strategies to improve outdoor thermal comfort in dense and old neighbourhoods. Energy Procedia 2017, 134, 692–701. [Google Scholar] [CrossRef]
- Cheng, C.-Y.; Lin, T.-P. Decision tree analysis of thermal comfort in the courtyard of a senior residence in hot and humid climate. Sustain. Cities Soc. 2024, 101, 105165. [Google Scholar] [CrossRef]
- Amani-Beni, M.; Zhang, B.; Xie, G.-D.; Odgaard, A.J. Impacts of the microclimate of a large urban park on its surrounding built environment in the summertime. Remote Sens. 2021, 13, 4703. [Google Scholar] [CrossRef]
- Elshabshiri, A.; Aly, M.; Alharbat, R.; Abdalla, M.J.; Alsyouf, L.; Ghanim, A.; Yahia, M.W. Enhancing the microclimate of outdoor campus spaces in hot humid climates: The example of the University of Sharjah. Comput. Urban Sci. 2025, 5, 35. [Google Scholar] [CrossRef]
- Mousaeipour, M.; Sanaieian, H.; Faizi, M.; Alafchi, A.; Hosseini, S.A. Multi-objective optimization of urban block configuration to enhance outdoor thermal comfort: A case study of district 12, Tehran. Results Eng. 2025, 27, 106012. [Google Scholar] [CrossRef]
- Peng, M.; Huang, H. The synergistic effect of urban canyon geometries and greenery on outdoor thermal comfort in humid subtropical climates. Front. Environ. Sci. 2022, 10, 851810. [Google Scholar] [CrossRef]
- Sun, B.; Zhang, H.; Zhao, L.; Qu, K.; Liu, W.; Zhuang, Z.; Ye, H. Microclimate optimization of school campus landscape based on comfort assessment. Buildings 2022, 12, 1375. [Google Scholar] [CrossRef]
- Xiao, X.; Zhang, L.; Xiong, Y.; Jiang, J.; Xu, A. Influence of spatial characteristics of green spaces on microclimate in Suzhou Industrial Park of China. Sci. Rep. 2022, 12, 9121. [Google Scholar] [CrossRef]
- Zhong, D.; Gao, Y.; Wei, L.; Gu, X.; Li, T.; Xu, J.; Yao, L.; Liu, Z. Street Canyon Microclimate Effect on Thermal Comfort at Entrances and Exits of Underground Commercial Streets: Measured and ENVI-Met Simulation. Buildings 2025, 15, 4147. [Google Scholar] [CrossRef]
- Li, D.; Zhao, K.; Ge, J.; Ren, M. Outdoor environmental investigation of old communities during summer in hot summer and cold winter regions. Indoor Built Environ. 2022, 31, 45–62. [Google Scholar] [CrossRef]
- Li, W. Dilemma and Countermeasures of Safety Management of Old Houses in the Context of Resilient Cities. Soc. Secur. Adm. Manag. 2025, 6, 75–85. [Google Scholar] [CrossRef]
- Wang, K.; Li, M.; Dong, S. Analysis of Risk Factors in the Renovation of Old Underground Commercial Spaces in Resource-Exhausted Cities: A Case Study of Fushun City. Sustainability 2025, 17, 7041. [Google Scholar] [CrossRef]
- Zhang, S.; Liu, L.; Fang, X.; Chen, G.; Ma, S. Barriers to the Renewal of Old Residential Communities in High-Density Urban Areas: Evidence from China. Sustainability 2025, 17, 10745. [Google Scholar] [CrossRef]
- Bedra, K.B.; Zheng, B.; Li, J.; Luo, X. A Parametric-Simulation Method to Study the Interconnections between Urban-Street-Morphology Indicators and Their Effects on Pedestrian Thermal Comfort in Tropical Summer. Sustainability 2023, 15, 8902. [Google Scholar] [CrossRef]
- Zhu, G.; Chen, Y.; Wu, W.; Liu, R.; Tang, Y.; Li, P.; Xu, A. Coupling relationships between urban block spatial morphology and microclimate in severe cold regions. iScience 2023, 26, 108313. [Google Scholar] [CrossRef] [PubMed]
- Zhu, S.; Ma, C.; Wu, Z.; Huang, Y.; Liu, X. Exploring the Impact of Urban Morphology on Building Energy Consumption and Outdoor Comfort: A Comparative Study in Hot-Humid Climates. Buildings 2024, 14, 1381. [Google Scholar] [CrossRef]
- Li, K.; Zhang, H.; Zhao, L. Thermal comfort interventions of landscape elements in a humid and subtropical residential area in China. J. Asian Archit. Build. Eng. 2021, 21, 1106–1123. [Google Scholar] [CrossRef]
- Ma, X.; Chen, H.; Lu, Y.; Luo, Q.; Yan, F.; Li, T.; Zhao, J.; Ding, H. Evaluating blue-green infrastructure for outdoor thermal comfort and energy efficiency in a university campus microclimate: A case study from Xi’an, China. Energy Build. 2026, 350, 116640. [Google Scholar] [CrossRef]
- Tao, Z.; Xu, G.; Li, G.; Zhao, X.; Gao, Z.; Shen, X. Influence and Optimization of Landscape Elements on Outdoor Thermal Comfort in University Plazas in Severely Cold Regions. Plants 2025, 14, 2228. [Google Scholar] [CrossRef]
- Xu, H.; Sheng, K.; Zhang, M.; Zhang, J. Co-benefits balancing of low-impact development facilities on stormwater management and microclimate improvement on the high-rise residential area in Nanjing. Urban Clim. 2024, 55, 101904. [Google Scholar] [CrossRef]
- Chen, Y.-h.; Ji, C.-y.; Huang, L.-y.; Yi, J.-y. Simulation and Analysis on Influence of Permeable Pavement on Micro-region Climate Based on ENVI-met. J. Highw. Transp. Res. Dev. 2021, 38, 46–53. [Google Scholar]
- Qin, H.; Zhou, B. Optimizing Vegetation Configurations for Seasonal Thermal Comfort in Campus Courtyards: An ENVI-Met Study in Hot Summer and Cold Winter Climates. Plants 2025, 14, 1670. [Google Scholar] [CrossRef]
- Halder, N.; Kumar, M.; Deepak, A.; Mandal, S.K.; Azmeer, A.; Mir, B.A.; Nurdiawati, A.; Al-Ghamdi, S.G. The Role of Urban Greenery in Enhancing Thermal Comfort: Systematic Review Insights. Sustainability 2025, 17, 2545. [Google Scholar] [CrossRef]
- Qin, Z.; Zhou, B. The effects of different landscape strategies on outdoor thermal comfort in village squares: A case study in Dayuwan village in Wuhan City. Environ. Sci. Pollut. Res. 2024, 31, 28594–28619. [Google Scholar] [CrossRef] [PubMed]
- Aghamolaei, R.; Lak, A. Outdoor Thermal Comfort for Active Ageing in Urban Open Spaces: Reviewing the Concepts and Parameters. Ageing Int. 2023, 48, 438–451. [Google Scholar] [CrossRef]
- American Society of Heating, R.; Engineers, A.-C. Thermal Environmental Conditions for Human Occupancy; American Society of Heating, Refrigerating and Air-Conditioning Engineers: Atlanta, GA, USA, 2023. [Google Scholar]
- Kuklane, K.; Toma, R. Validation of ISO 9920 clothing item insulation summation method based on an ambulance personnel clothing system. Ind Health 2021, 59, 27–33. [Google Scholar] [CrossRef] [PubMed]
- ISO 9920:2007; Ergonomics of the Thermal Environment—Estimation of Thermal Insulation and Water Vapour Resistance of a Clothing Ensemble. International Organization for Standardization: Geneva, Switzerland, 2007.
- Morel, A.; Vidal-Beaudet, L.; Brialix, L.; Lemesle, D.; Bulot, A.; Herpin, S. Evolution of microclimate following small patch de-sealing and revegetation in urban context. Urban Clim. 2025, 61, 102371. [Google Scholar] [CrossRef]
- Zhang, Z.; Wang, Y.; Wu, Z. Field study of thermal comfort of the elderly in tree-shaded areas of urban parks in the cold area of China. Sci. Rep. 2025, 15, 23276. [Google Scholar] [CrossRef]
- Deng, L.; Jia, X.; Wang, W.; Hussain, S.A. Revealing Impacts of Trees on Modeling Microclimate Behavior in Spaces between Buildings through Simulation Monitoring. Buildings 2022, 12, 1168. [Google Scholar] [CrossRef]
- Zheng, G.; Xu, H.; Liu, F.; Dong, J. Impact of Plant Layout on Microclimate of Summer Courtyard Space Based on Orthogonal Experimental Design. Sustainability 2024, 16, 4425. [Google Scholar] [CrossRef]
- Chen, L.; Zhang, Y.; Luo, Z.; Yao, F. Optimization Design of the Landscape Elements in the Lhasa Residential Area Driven by an Orthogonal Experiment and a Numerical Simulation. Int. J. Environ. Res. Public Health 2022, 19, 6303. [Google Scholar] [CrossRef] [PubMed]
- Ye, Z.; Liu, J.; Huang, Z. Identifying the best combination of vegetation and paving materials to improve the outdoor thermal comfort in a campus courtyard. Sci. Rep. 2025, 15, 20602. [Google Scholar] [CrossRef] [PubMed]
- Chàfer, M.; Pisello, A.L.; Piselli, C.; Cabeza, L.F. Greenery System for Cooling Down Outdoor Spaces: Results of an Experimental Study. Sustainability 2020, 12, 5888. [Google Scholar] [CrossRef]
- Vujovic, S.; Haddad, B.; Karaky, H.; Sebaibi, N.; Boutouil, M. Urban Heat Island: Causes, Consequences, and Mitigation Measures with Emphasis on Reflective and Permeable Pavements. CivilEng 2021, 2, 459–484. [Google Scholar] [CrossRef]
- Sanjuán, M.Á.; Morales, Á.; Zaragoza, A. Precast Concrete Pavements of High Albedo to Achieve the Net “Zero-Emissions” Commitments. Appl. Sci. 2022, 12, 1955. [Google Scholar] [CrossRef]
- Samadpour Shahrak, E.; Sattari Sarbangholi, H.; Moosavi, M.S. Improving Outdoor Thermal Comfort for Elderly in Residential Complexes. Iran. J. Energy Environ. 2022, 13, 55–70. [Google Scholar] [CrossRef]
- Ji, Y.; Feng, X.; Zhao, H.; Xu, X. Study on the elderly’s perception of microclimate and activity time in residential communities. Build. Environ. 2024, 266, 112125. [Google Scholar] [CrossRef]
- Wang, Q.; Liu, S.; Qian, J. A simulation approach to assessing vegetation configuration effects on thermal comfort in cold region pocket parks. Sci. Rep. 2025, 15, 28809. [Google Scholar] [CrossRef]
- Zhang, L.; Liu, H.; Wei, D.; Liu, F.; Li, Y.; Li, H.; Dong, Z.; Cheng, J.; Tian, L.; Zhang, G.; et al. Impacts of Spatial Components on Outdoor Thermal Comfort in Traditional Linpan Settlements. Int. J. Environ. Res. Public Health 2022, 19, 6421. [Google Scholar] [CrossRef]
- Chen, X.; Li, Z.; Wang, Z.; Li, J.; Zhou, Y. The Impact of Different Types of Trees on Annual Thermal Comfort in Hot Summer and Cold Winter Areas. Forests 2024, 15, 1880. [Google Scholar] [CrossRef]
- Kang, G.; Choi, W.; Eum, J.-H.; Kim, J.-J. Cold stress mitigation by urban trees: Computational fluid dynamics analysis of deciduous and evergreen effects in winter environments. Sustain. Cities Soc. 2026, 137, 107131. [Google Scholar] [CrossRef]
- Abdalazeem, M.E.; Hassan, H.; Asawa, T.; Mahmoud, H. Impact of windbreak design on microclimate in hot regions during cold waves: Numerical investigation. Int. J. Biometeorol. 2024, 68, 1315–1326. [Google Scholar] [CrossRef] [PubMed]
Disclaimer/Publisher’s Note: The statements, opinions and data contained in all publications are solely those of the individual author(s) and contributor(s) and not of MDPI and/or the editor(s). MDPI and/or the editor(s) disclaim responsibility for any injury to people or property resulting from any ideas, methods, instructions or products referred to in the content. |
© 2026 by the authors. Licensee MDPI, Basel, Switzerland. This article is an open access article distributed under the terms and conditions of the Creative Commons Attribution (CC BY) license.






