Sign in to use this feature.

Years

Between: -

Subjects

remove_circle_outline
remove_circle_outline
remove_circle_outline
remove_circle_outline
remove_circle_outline
remove_circle_outline
remove_circle_outline
remove_circle_outline
remove_circle_outline

Journals

remove_circle_outline
remove_circle_outline
remove_circle_outline
remove_circle_outline
remove_circle_outline

Article Types

Countries / Regions

remove_circle_outline
remove_circle_outline
remove_circle_outline

Search Results (504)

Search Parameters:
Keywords = phosphorus transporters

Order results
Result details
Results per page
Select all
Export citation of selected articles as:
32 pages, 7529 KB  
Article
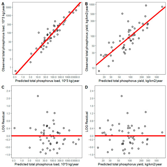
The Development of Long-Term Mean Annual Total Nitrogen and Total Phosphorus Load Models for Mississippi, U.S., Using RSPARROW
by Victor L. Roland, Emily Gain and Matthew Hicks
Water 2026, 18(3), 292; https://doi.org/10.3390/w18030292 - 23 Jan 2026
Viewed by 114
Abstract
Water-quality degradation from nutrient pollution remains a major challenge for resource managers. Developing effective strategies requires tools to characterize nutrient sources and transport. This study used the RSPARROW framework to develop and assess new, smaller-scale models for Total Nitrogen (TN) and Total Phosphorus [...] Read more.
Water-quality degradation from nutrient pollution remains a major challenge for resource managers. Developing effective strategies requires tools to characterize nutrient sources and transport. This study used the RSPARROW framework to develop and assess new, smaller-scale models for Total Nitrogen (TN) and Total Phosphorus (TP) transport across Mississippi (MS). These state-level models were built using 15 years (2005–2020) of observation data and considered variables including multiple nutrient sources, land characteristics, and attenuation processes. The MS models demonstrated comparable accuracy to larger regional SPARROW models, validating the use of smaller-scale models for local management. Results showed agricultural sources are the major contributors to TN, dominated by fertilizer in northern MS and livestock manure in the south. Urban land cover also significantly influenced TN and was the second most significant source of TP, following geologic material (background P). Fertilizer and manure were also important TP sources. This study provides valuable, spatially explicit data on nutrient distribution in MS streams, supporting the state’s nutrient reduction planning. It concludes by highlighting the need for future model improvements via updated source data and mean annual flow estimates. Full article
(This article belongs to the Section Water Quality and Contamination)
Show Figures

Figure 1

17 pages, 2380 KB  
Article
Photosynthetic Performance and Physiological Assessment of Young Citrus limon L. Trees Grown After Seed Priming
by Valentina Ancuța Stoian, Ștefania Gâdea, Florina Copaciu, Anamaria Vâtcă, Vlad Stoian, Melinda Horvat, Alina Toșa and Sorin Daniel Vâtcă
Horticulturae 2026, 12(1), 99; https://doi.org/10.3390/horticulturae12010099 - 17 Jan 2026
Viewed by 134
Abstract
In the current context of climate change, special attention should be paid to assuring the security of food and fruits. Lemon trees struggle to keep their physiological traits stable in the context of all the cumulated challenges originating from climate stress. Therefore, our [...] Read more.
In the current context of climate change, special attention should be paid to assuring the security of food and fruits. Lemon trees struggle to keep their physiological traits stable in the context of all the cumulated challenges originating from climate stress. Therefore, our aim was to assess two seed priming methods’ long-term effects on some physiological parameters of young lemon trees. The relative chlorophyll content reveals that hydropriming shows 26% increases from E1 to E6, similar to the control, while osmopriming has a 31% higher value at the beginning and after three years. Leaf stomatal density has 80% lower values due to osmopriming compared to the control, while hydropriming show 15% lower values. Leaf area development was slightly similar between treatments, with more leaves being developed after hydropriming treatments. Guard cell width has similar values for priming, with both being with 40% higher than that of the control. Lemon trees grown after osmotic stress have the highest mass percentages of magnesium and potassium in the leaves. Hydropriming promotes calcium oxalate accumulation and a high mass percentage of phosphorus. The percentage allocation of carbon as dry matter is 32% for osmopriming, significantly higher than for the other treatments. The quantum yield of photosynthetic electron transport is the only significant photosynthetic parameter for osmoprimed lemon young trees. Physiological techniques successfully enhanced the overall growth of three-year-old lemon trees, especially osmopriming treatment. Full article
(This article belongs to the Special Issue Emerging Insights into Horticultural Crop Ecophysiology)
Show Figures

Figure 1

25 pages, 5495 KB  
Article
Coupling Modeling Approaches for the Assessment of Runoff Quality in an Urbanizing Catchment
by Lihoun Teang, Kim N. Irvine, Lloyd H. C. Chua and Muhammad Usman
Hydrology 2026, 13(1), 35; https://doi.org/10.3390/hydrology13010035 - 16 Jan 2026
Viewed by 264
Abstract
The impacts of land use on stormwater runoff quality and Best Management Practices to mitigate these impacts have been investigated since the 1970s, yet challenges remain in providing a modeling approach that concomitantly considers contributions from different land use types. In densely developed [...] Read more.
The impacts of land use on stormwater runoff quality and Best Management Practices to mitigate these impacts have been investigated since the 1970s, yet challenges remain in providing a modeling approach that concomitantly considers contributions from different land use types. In densely developed urban areas, a buildup/washoff approach is often applied, while in rural areas, some type of erosion modeling is employed, as the processes of detachment, entrainment, and transport are fundamentally different. This study presents a coupled modeling approach within PCSWMM, integrating exponential buildup/washoff for impervious surfaces with the Modified Universal Soil Loss Equation (MUSLE) for pervious areas, including construction sites, to characterize water quality in the large mixed urban–rural Sparrovale catchment in Geelong, Australia. The watershed includes an innovative cascading system of 12 online NbS wetlands along one of the main tributaries, Armstrong Creek, to manage runoff quantity and quality, as well as 16 offline NbS wetlands that are tributary to the online system. A total of 78 samples for Total Suspended Solids (TSS), Total Phosphorus (TP), and Total Nitrogen (TN) were collected from six monitoring sites along Armstrong Creek during wet- and dry-weather events between May and July 2024 for model validation. The data were supplemented with six other catchment stormwater quality datasets collected during earlier studies, which provided an understanding of water quality status for the broader Geelong region. Results showed that average nutrient concentrations across all the sites ranged from 0.44 to 2.66 mg/L for TP and 0.69 to 5.7 mg/L for TN, spanning from within to above the ecological threshold ranges for eutrophication risk (TP: 0.042 to 1 mg/L, TN: 0.3 to 1.5 mg/L). In the study catchment, upstream wetlands reduced pollutant levels; however, downstream wetlands that received runoff from agriculture, residential areas, and, importantly, construction sites, showed a substantial increase in sediment and nutrient concentration. Water quality modeling revealed washoff parameters primarily influenced concentrations from established urban neighborhoods, whereas erosion parameters substantially impacted total pollutant loads for the larger system, demonstrating the importance of integrated modeling for capturing pollutant dynamics in heterogeneous, urbanizing catchments. The study results emphasize the need for spatially targeted management strategies to improve stormwater runoff quality and also show the potential for cascading wetlands to be an important element of the Nature-based Solution (NbS) runoff management system. Full article
(This article belongs to the Special Issue Advances in Urban Hydrology and Stormwater Management)
Show Figures

Figure 1

18 pages, 7191 KB  
Article
Characterization of the PHO1 Gene Family in Vigna radiata L. and Its Expression Analysis Under Phosphate-Deficient Stress
by Lina Jiang, Ping Sun, Tingting Zhou, Yang Liu, Zihan Kong, Nan Zhang, Hongli He and Xingzheng Zhang
Genes 2026, 17(1), 25; https://doi.org/10.3390/genes17010025 - 28 Dec 2025
Viewed by 319
Abstract
Background: Phosphorus is an essential nutrient for plant growth and development, playing a multifaceted and vital role in plants. Phosphate Transporter 1 (PHO1) is a class of important functional genes involved in plant phosphorus uptake and transport. We identify PHOSPHATE 1 (PHO1 [...] Read more.
Background: Phosphorus is an essential nutrient for plant growth and development, playing a multifaceted and vital role in plants. Phosphate Transporter 1 (PHO1) is a class of important functional genes involved in plant phosphorus uptake and transport. We identify PHOSPHATE 1 (PHO1) members in mung beans and investigate their response to low phosphorus stress, thereby aiding in the development of stress-tolerant, high-yielding mung bean varieties. Methods: A bioinformatic analysis was performed, which led to the identification of the PHO1 homologue sequence in mung beans. This analysis also elucidated its gene and protein structural characteristics alongside its phylogenetic relationships. qRT-PCR was used to analyze the expression patterns of genes in roots and leaves in response to conditions of prolonged low-phosphorus and phosphorus-deprivation stress. Results: Total PHO1 homologues were identified in mung beans, which can be grouped into 3 groups (Group I-III). Phylogenetic analysis indicates that VrPHO1s shares closer evolutionary relationships with PHO1 in legumes, and exhibits 6 collinear gene pairs with Glycine max (soybean), all with Ka/Ks ratios below 1, suggesting they have undergone purifying selection. The gene promoter region contains multiple cis-acting elements capable of participating in plant growth and development, stress responses, and plant hormone responses. Expression analysis revealed that more VrPHO1 genes responded to phosphorus stress in roots than in leaves; of these, the expression of VrPHO1; H2, VrPHO1; H3, and VrPHO1; H5 genes was significantly induced by continuous phosphorus-deficient stress. Conclusions: This study provides a comprehensive genome-wide identification of the PHO1 family in mung bean and provides valuable candidate gene resources for the future study of their biological functions and regulatory roles in phosphate-deficient stress. Full article
(This article belongs to the Section Plant Genetics and Genomics)
Show Figures

Figure 1

20 pages, 15328 KB  
Article
New Insights into the Formation Mechanism of Continuous Cropping Obstacles in Dioscorea opposita Thunb. cv. Tiegun Yam from Rhizosphere Metabolites and Microflora
by Pengfei Zhang, Wanghui Guan, Lili Han, Xiaoli Hu, Ailing Xu, Hui Wang, Xiaomin Wang and Xiaoyan Jiao
Agronomy 2026, 16(1), 80; https://doi.org/10.3390/agronomy16010080 - 26 Dec 2025
Viewed by 313
Abstract
Continuous cropping (CC) poses serious challenges to the sustainable production of Dioscorea opposita Thunb. cv. Tiegun yam. The aim of this study is to illustrate the formation mechanisms of CC obstacles by analyzing rhizosphere soil from yam fields with 0 to 2 years [...] Read more.
Continuous cropping (CC) poses serious challenges to the sustainable production of Dioscorea opposita Thunb. cv. Tiegun yam. The aim of this study is to illustrate the formation mechanisms of CC obstacles by analyzing rhizosphere soil from yam fields with 0 to 2 years of replanting. Metabolomic and microbiome sequences were used to assess variations in yam yield, underground tuber traits, soil properties, metabolite profiles, and microbial communities. The results show that CC significantly reduced tuber yield, shortened stalk length, and altered tuber morphology, leading to the accumulation of soil available phosphorus and potassium and a notable decrease in pH. A total of 38 differentially expressed metabolites, including organoheterocyclic compounds, lipids, and benzenoids, were identified and linked to pathways such as starch and sucrose metabolism, linoleic acid metabolism, and ABC transporters. Microbial alpha diversity increased with CC duration, and both bacterial and fungal community structures were notably reshaped. Metabolite profiles correlated more strongly with fungal than bacterial communities. Partial least squares path modeling revealed that CC years had a negative indirect impact on tuber yield and morphology (the path coefficient was −0.956), primarily through direct effects on soil properties (p < 0.01) and metabolites (p < 0.001), which, in turn, influenced microbial diversity. These findings emphasize the vital role of soil properties in reshaping the rhizosphere environment under CC and provide a theoretical basis for mitigating CC obstacles through rhizosphere regulation. Full article
(This article belongs to the Section Farming Sustainability)
Show Figures

Figure 1

15 pages, 1819 KB  
Article
Application of a Parsimonious Phosphorus Model (SimplyP) to Two Hydrologically Contrasting Agricultural Catchments
by Daniel Hawtree, Per-Erik Mellander, Russell Adams, Golnaz Ezzati, Leah Jackson-Blake, Ognjen Zurovec, Magnus Norling and Jason Galloway
Water 2026, 18(1), 6; https://doi.org/10.3390/w18010006 - 19 Dec 2025
Viewed by 404
Abstract
Understanding how water-quality models perform across different hydrological and biogeochemical contexts is essential for managing nutrient losses in agricultural catchments. This study evaluated SimplyP, a parsimonious phosphorus model, adapted to better represent Irish agricultural catchments and implemented within the flexible Mobius2 framework. Long-term, [...] Read more.
Understanding how water-quality models perform across different hydrological and biogeochemical contexts is essential for managing nutrient losses in agricultural catchments. This study evaluated SimplyP, a parsimonious phosphorus model, adapted to better represent Irish agricultural catchments and implemented within the flexible Mobius2 framework. Long-term, high-frequency monitoring data from the Agricultural Catchments Programme (ACP) were used for two sites: Ballycanew, a grassland catchment dominated by surface runoff, and Castledockrell, an arable, groundwater-driven catchment. Model calibration and validation were performed for streamflow (Q), suspended sediment (SS), and multiple phosphorus (P) fractions, with performance assessed using Kling–Gupta efficiency (KGE). In Ballycanew, the model reproduced Q, SS, and total P load well, with weaker agreement for total reactive phosphorus (TRP), likely reflecting unaccounted point sources during low flows. In Castledockrell, performance was moderate for Q and SS, but TRP and other P fractions were not adequately captured, highlighting the need for more detailed representation of subsurface P pathways in groundwater-dominated systems. Overall, SimplyP is well-suited to surface-runoff-dominated catchments with conventional phosphorus mobilisation. Its flexible implementation in Mobius2 allows relatively straightforward modifications, such as including groundwater-mediated P processes, to extend applicability to more complex systems. High-resolution ACP datasets were crucial for identifying model strengths and limitations, supporting refinement for improved nutrient management across diverse agricultural landscapes. Full article
(This article belongs to the Special Issue New Technologies for Hydrological Forecasting and Modeling)
Show Figures

Figure 1

19 pages, 9978 KB  
Article
Research on Water Pollution Monitoring and Qualitative Source Identification in a Typical Coastal River Network
by Shuangshuang Ying, Pengcheng Yao, Ziming Wang, Yangyang Luo, Baichang Zhao, Ruoxuan Guan, Min Cao, Mingyu Xuan, Ranyun Xu, Yunfei He, Hangjun Zhang and Jiafeng Ding
Environments 2026, 13(1), 1; https://doi.org/10.3390/environments13010001 - 19 Dec 2025
Viewed by 574
Abstract
This study focuses on a rapidly urbanizing coastal plain where river networks serve as critical pathways for pollutant transport to nearshore waters. Under frequent sluice control and sluggish hydrodynamics, pollutants accumulate in channels and are subsequently flushed during intense rainfall or sluice-opening events, [...] Read more.
This study focuses on a rapidly urbanizing coastal plain where river networks serve as critical pathways for pollutant transport to nearshore waters. Under frequent sluice control and sluggish hydrodynamics, pollutants accumulate in channels and are subsequently flushed during intense rainfall or sluice-opening events, increasing pollutant loads in downstream estuaries. Based on 2017–2024 water quality monitoring data, integrated multi-source environmental factor analysis and unmanned patrol boat technology, systematic water quality assessment and pollution source identification were conducted. Significant spatial heterogeneity was observed: phosphorus and nitrogen pollution dominated in the eastern region, whereas the permanganate index was more prominent in the western part of the network. Identification of abrupt water quality change sections revealed industrial wastewater as the primary contributor to phosphorus and nitrogen, whereas permanganate index pollution originated widely from aquaculture, agriculture, and industrial discharges. Atmospheric deposition likely provides a non-negligible contribution to phosphorus and nitrogen input, with fluxes strongly correlated to rainfall. Sediment release posed internal risks of carbon and phosphorus, with intensity positively linked to pollution levels. This study elucidates the water quality characteristics and multi-source pollution mechanisms in typical coastal river networks under rapid economic development. Therefore, it provides a scientific basis for precise regional water environment management and coastal water quality protection. Full article
Show Figures

Figure 1

15 pages, 3538 KB  
Article
Carbon Dots Synergizing with Phosphate Starch to Construct Dual Conduction Pathways for High-Performance Smart Packaging Films
by Xiaoxu Zhang, Chengguo Liu, Xiaoqin Yang, Qian Jiang, Can Liu, Ping Zhao and Jingyan Liu
Materials 2025, 18(24), 5644; https://doi.org/10.3390/ma18245644 - 16 Dec 2025
Viewed by 316
Abstract
The advancement of smart packaging technology demands high-performance and sustainable sensing materials. While starch is a biodegradable natural polymer, its inherent high crystallinity restricts charge transport capability. This study developed a novel smart sensing film by incorporating ellagic acid-derived blue, fluorescent carbon dots [...] Read more.
The advancement of smart packaging technology demands high-performance and sustainable sensing materials. While starch is a biodegradable natural polymer, its inherent high crystallinity restricts charge transport capability. This study developed a novel smart sensing film by incorporating ellagic acid-derived blue, fluorescent carbon dots (CDs) into phosphate starch (PS), which is rich in phosphorus. The effects of silver ions (Ag+), sodium carboxymethyl cellulose (CMC), and CDs on the film properties were systematically investigated. Results indicate that CDs act as flexible nano-crosslinkers, forming hydrogen bonds with PS molecular chains and effectively balancing strength and toughness—achieving a tensile strength of 5.1 MPa and an elongation at break of 24.1%. Phosphorus, in synergy with CDs, facilitates an efficient dual conduction pathway for ions and electrons: phosphate groups enable ion transport, while the conjugated carbon cores of the CDs provide electron transport channels. This synergistic effect significantly reduces the film’s electrical impedance from 6.93 × 106 Ω to 1.12 × 106 Ω (a reduction of 84%) and enhances thermal stability, increasing the char residue from 1.1% to 18.3%. The PS/CDs composite film exhibits a strong linear current response to pH in the range of 2–7 (R2 = 0.9450), and shows enhanced discrimination between fresh orange juice (pH = 3.38) and spoiled orange juice (pH = 2.68), with a current change of 0.62 × 10−5 A. Moreover, the film exhibits strong blue fluorescence at 427 nm, with an intensity that shows a pronounced pH-dependent response. This study elucidates the mechanism by which phosphorus and CDs synergistically enhance the sensing performance of starch-based films, offering a new strategy for developing high-performance starch-based materials for smart packaging. Full article
Show Figures

Graphical abstract

16 pages, 2963 KB  
Article
Preparation and Evaluation of an Organic Value-Added Suspension Fertilizer Using Liquid Waste
by Yaoli Su, Yang Luo, Lu Xu, Dehua Xu, Zhengjuan Yan and Xinlong Wang
Agriculture 2025, 15(24), 2568; https://doi.org/10.3390/agriculture15242568 - 11 Dec 2025
Viewed by 336
Abstract
Suspension fertilizers offer high concentration, excellent fluidity, an eco-friendly production process, and ease of precise and even application, making them ideal for modern fertigation systems. However, stability remains a significant challenge. This study aims to develop an organic value-added suspension fertilizer (VSuF) based [...] Read more.
Suspension fertilizers offer high concentration, excellent fluidity, an eco-friendly production process, and ease of precise and even application, making them ideal for modern fertigation systems. However, stability remains a significant challenge. This study aims to develop an organic value-added suspension fertilizer (VSuF) based on the filtrate of acid–base-treated soybean residue, which can ensure stability during transportation and storage while promoting efficient nutrient utilization in agriculture. The stabilizers were optimized by comparing the effects of various types and dosages on particle size, zeta potential, viscosity, and thixotropy of the suspension fertilizer. Meanwhile, the stability and agricultural effects of the fertilizer were evaluated. Results showed that with 0.40% sodium lignosulfonate, 0.40% xanthan gum, and 0.20% organic silicon defoamer, VSuF remained stable during centrifugation (2000 r·min−1, 30 min) and storage at 0 °C and 50 °C for 14 days. Additionally, agricultural evaluation indicated that VSuF significantly increased the dry weight and phosphorus uptake of crop shoots by 17.40% and 21.00%, respectively, relative to the solid fertilizer without the value-added compound. Meanwhile, VSuF enhanced the fresh weight, length, and surface area of crop roots by 83.10%, 74.47%, and 69.34%, respectively, along with shoots’ phosphorus uptake by 19.80%, compared to the glucose value-added solid fertilizers. Full article
(This article belongs to the Section Agricultural Technology)
Show Figures

Figure 1

25 pages, 55574 KB  
Article
From Land to Rivers: Exploring Landscape Connectivity and Nutrient Transport in River Basins
by Sofía Paná, Víctor Hugo Gauto, Matias Bonansea, Vera Camacho, Ines del Valle Asís and Anabella Ferral
Sustainability 2025, 17(23), 10680; https://doi.org/10.3390/su172310680 - 28 Nov 2025
Cited by 1 | Viewed by 484
Abstract
Landscape spatial patterns are critical drivers of ecological processes, including nutrient cycling from terrestrial to aquatic systems, which ultimately modulate microorganism biodiversity. The emergence of robust spatial analysis tools now makes it possible to disentangle these complex relationships through controlled scenario generation. This [...] Read more.
Landscape spatial patterns are critical drivers of ecological processes, including nutrient cycling from terrestrial to aquatic systems, which ultimately modulate microorganism biodiversity. The emergence of robust spatial analysis tools now makes it possible to disentangle these complex relationships through controlled scenario generation. This study assesses the influence of land use and land cover (LULC) configuration on the export of total nitrogen (TN) and total phosphorus (TP) in an anthropogenically impacted river basin. We characterized the baseline landscape and generated synthetic LULC scenarios using the rflsgen (version 1.2.2) R package. Landscape metrics were calculated with landscape metrics, and nutrient export was modeled with the Nutrient Delivery Ratio (NDR) module of InVEST. The results demonstrate that spatial arrangement of the landscape is a key determinant of nutrient dynamics. Agriculture and urban areas have the greatest impact on nutrient export. Nutrient delivery is maximized when these LULC classes are configured in large, compact, and simply-shaped patches with high connectivity, which facilitates efficient hydrological transport. Conversely, fragmented natural grasslands and aggregated forests with regular shapes are associated with lower nutrient export, highlighting their role as nutrient sinks. This integrative methodology provides a novel framework for reproducible spatial experiments, offering evidence-based insights for land-use planning aiming to mitigate eutrophication and enhance ecosystem health. Full article
(This article belongs to the Special Issue Landscape Connectivity for Sustainable Biodiversity Conservation)
Show Figures

Figure 1

23 pages, 8753 KB  
Article
Deciphering the Relationships Between Soil Enzymatic Activities and N- and P-Cycling Functional Genes Under Long-Term Fertilization
by Dong Xue, Shumiao Jiang, Na Zhao, Mengnan Yao, Enqiang Zhou, Yongqiang Wang, Furong Dong, Xue Gao, Xuejun Wang, Yamei Miao, Libin Wei, Kaihua Wang and Anyong Hu
Microorganisms 2025, 13(12), 2719; https://doi.org/10.3390/microorganisms13122719 - 28 Nov 2025
Viewed by 450
Abstract
Long-term fertilization profoundly influences soil biochemical processes and microbial functionality, yet the coupling mechanisms between soil enzyme activities and functional genes in nutrient cycling remain unclear. This study investigated the effects of different fertilization regimes—nitrogen alone (N), nitrogen–phosphorus–potassium fertilizer (NPK), organic fertilizer (M), [...] Read more.
Long-term fertilization profoundly influences soil biochemical processes and microbial functionality, yet the coupling mechanisms between soil enzyme activities and functional genes in nutrient cycling remain unclear. This study investigated the effects of different fertilization regimes—nitrogen alone (N), nitrogen–phosphorus–potassium fertilizer (NPK), organic fertilizer (M), and combined organic–inorganic fertilizer (MNPK)—on soil properties, enzyme activities, N- and P-cycling-related functional gene abundances, and faba bean (Vicia faba L.) yield in a 45-year ongoing field experiment in subtropical eastern China. Results showed that long-term fertilization significantly affected soil pH, electrical conductivity, nutrient contents, and crop yield. Organic fertilizer addition (M and MNPK) markedly improved soil organic matter, total and available nutrients, and enhanced faba bean grain yield by 75.07–92.79% compared with NPK, whereas NPK had limited benefits on total and available soil nutrients compared with N-only application. Soil enzyme activity analysis revealed that the MNPK treatment achieved the highest urease and neutral protease activities, while acid and alkaline protease activities responded inconsistently. Phosphorus-related enzymes (acid, neutral, and alkaline phosphatases) were strongly stimulated by organic inputs, reflecting enhanced P mineralization potential. Functional gene analysis showed that N-fixation and assimilatory nitrate reduction genes increased under M and MNPK, while N assimilation, N mineralization, anammox, nitrification, denitrification, and dissimilatory nitrate reduction genes were enriched under N treatment. Phosphate uptake and transport genes were upregulated under NPK, M, and MNPK, whereas inorganic P solubilization genes were highest under N. Significant positive correlations were observed among soil enzyme activities, nutrient contents, and faba bean yield, whereas acid and alkaline protease activities showed opposite trends. The relative abundances of N- and P-cycling functional genes exhibited distinct yet coordinated relationships with soil fertility indicators and enzyme activities. These findings provide mechanistic insights into the long-term regulation of soil–microbe interactions and nutrient cycling, offering a scientific basis for sustainable fertilization strategies in agroecosystems. Full article
(This article belongs to the Special Issue Exploring the Diversity of Microbial Applications)
Show Figures

Figure 1

28 pages, 3903 KB  
Article
Evaluation of the Abiotic Components of the Nutrient Balance in the Barents Sea and Its Influence on Primary Production
by Alexey Namyatov, Pavel Makarevich, Ivan Alexandrovich Pastukhov and Veronika V. Vodopyanova
Water 2025, 17(23), 3358; https://doi.org/10.3390/w17233358 - 24 Nov 2025
Viewed by 508
Abstract
This study builds on our prior research to refine the methodology for estimating marine primary production (PP) in the Barents Sea. It examines how abiotic factors—vertical mixing and horizontal advection—affect nutrient concentrations in the euphotic zone and subsequently influence PP. The analysis utilized [...] Read more.
This study builds on our prior research to refine the methodology for estimating marine primary production (PP) in the Barents Sea. It examines how abiotic factors—vertical mixing and horizontal advection—affect nutrient concentrations in the euphotic zone and subsequently influence PP. The analysis utilized salinity and nutrient data from the World Ocean Atlas (NCEI WOA). The δ18O parameter, used in conjunction with salinity, helped quantify the proportion of water from different origins. The results revealed a spatial heterogeneity in nutrient transport, identifying zones of both synchronous and asynchronous nutrient flows. Asynchronous flow was characterized by the removal of phosphorus and silicon alongside the influx of nitrogen. A significant correlation between these physical fluxes and PP was observed in the eastern part of the sea, where asynchronous flow prevails. Our calculations indicate that nitrogen influx increases PP by an average of 38% as high as 68%. The simultaneous fluxes of silicon and phosphorus showed no statistically significant effect. The study concludes that nitrogen is the primary limiting factor for PP in this region. Full article
(This article belongs to the Section Oceans and Coastal Zones)
Show Figures

Figure 1

20 pages, 5924 KB  
Article
Integrating RNA-Seq and Metabolomic Perspectives Reveals the Mechanism of Response to Phosphorus Stress of Potamogeton wrightii
by Caiyun Pan, Bing Zhou, Ming Tang, Jingan Chen, Haiquan Yang and Xiaorong Xu
Plants 2025, 14(23), 3556; https://doi.org/10.3390/plants14233556 - 21 Nov 2025
Viewed by 545
Abstract
Phosphorus is an important nutrient element in aquatic ecosystems, and its concentration directly affects the growth and ecological functions of submerged plants. However, the physiological and molecular mechanisms of P. wrightii’s response to phosphorus stress remain unknown. This study investigated the effects [...] Read more.
Phosphorus is an important nutrient element in aquatic ecosystems, and its concentration directly affects the growth and ecological functions of submerged plants. However, the physiological and molecular mechanisms of P. wrightii’s response to phosphorus stress remain unknown. This study investigated the effects of different phosphorus concentration treatments on P. wrightii through physiological, RNA-seq, and metabolome analysis methods. The results indicated that phosphorus stress affected plant physiology by reducing chlorophyll content, increasing MDA and H2O2 accumulation, and activating the antioxidant enzyme system. Multiple phosphorus transporters (PHT, SPX, and PAP) and the transcription factor PHR1 were identified through RNA-seq and RT-qPCR analysis. The glycerol phospholipids represent a decreasing trend after low or high phosphorus stress. Through the combined analysis of RNA-seq and metabolome analysis, the response differences of 6 DAMs and 19 DEGs to the P. wrightii Glycerolipid metabolism and Glycerophospholipid metabolism pathways under different phosphorus stresses were revealed. Our results provide a scientific basis and guidance for restoring submerged plants in shallow lakes and for preventing and controlling eutrophication. Full article
Show Figures

Figure 1

16 pages, 1991 KB  
Article
Stress Adaptation Phenomena of Rhododendron Species in Alpine Tundra and Timberline of Changbai Mountain: Physiological Traits and Molecular Evolution
by Zhongzan Yang, Jian You, Jiangnan Li, Wei Zhao, Ming Xing, Yujiao Zhang, Cui Ma, Yuqiao Gong, Yueming Zhao, Alimu Wubuli and Xia Chen
Plants 2025, 14(22), 3528; https://doi.org/10.3390/plants14223528 - 19 Nov 2025
Viewed by 650
Abstract
In the context of climate change, Rhododendron species are pivotal in sustaining the stability of alpine ecosystems. Within alpine tundra (elevation > 2200 m) and timberline (elevation ~ 2000 m) regions of Changbai Mountain, the three studied Rhododendron species (Rhododendron aureum, [...] Read more.
In the context of climate change, Rhododendron species are pivotal in sustaining the stability of alpine ecosystems. Within alpine tundra (elevation > 2200 m) and timberline (elevation ~ 2000 m) regions of Changbai Mountain, the three studied Rhododendron species (Rhododendron aureum, Rhododendron lapponicum, and Rhododendron redowskianum) are prevalent; their mechanisms of adaptation to high-altitude environments remain insufficiently understood. This study employed an integrative approach, combining soil chemical analysis, physiological assessments, and molecular evolutionary analysis, to investigate phenotypic plasticity and genetic adaptation of these Rhododendron species. Both habitats demonstrated oligotrophic characteristics, with no significant differences (p > 0.05) observed in the concentrations of soil total organic carbon (TOC), ammonium nitrogen (NH4+-N), nitrate nitrogen (NO3-N), and available phosphorus (AP). Nonetheless, soil nutrient variability was more marked in timberline. Physiological traits, including malondialdehyde (MDA), soluble sugar, proline, and soluble protein, exhibited species-specific patterns; for example, R. redowskianum displayed elevated proline content in the timberline habitat, although no consistent inter-habitat trends were identified. From a total of 1995 orthogroups analysed, we identified 279 positively selected genes (PSGs, dN/dS > 1). These genes were found to be enriched in GO terms associated with DNA replication, amino acid transport, and pathway of nucleocytoplasmic transport. The study highlights tissue development and reproduction as primary evolutionary trajectories, while identifying cold stress as a significant environmental selection pressure. This research elucidates Rhododendron’s alpine adaptability and provides insights into alpine plant adaptation mechanisms and species conservation under climate change. Full article
(This article belongs to the Special Issue Molecular Regulation of Plant Stress Responses)
Show Figures

Figure 1

16 pages, 5196 KB  
Article
Spring Rest-Grazing Time Influenced Soil Phosphorus Fractions by Altering the Abundance of Genes Involved in Phosphorus Cycling in a Subalpine Meadow
by Hong Xiao, Yuanyuan Jing, Kai Ma, Yun Wang, Changlin Xu and Xiaojun Yu
Microorganisms 2025, 13(11), 2618; https://doi.org/10.3390/microorganisms13112618 - 18 Nov 2025
Viewed by 425
Abstract
Soil phosphorus (P) availability is a critical factor limiting plant growth and ecosystem productivity that can be strongly influenced by land use factors, such as grazing by livestock. Seasonal grazing management can benefit grassland productivity and soil nutrient cycling in alpine meadows, but [...] Read more.
Soil phosphorus (P) availability is a critical factor limiting plant growth and ecosystem productivity that can be strongly influenced by land use factors, such as grazing by livestock. Seasonal grazing management can benefit grassland productivity and soil nutrient cycling in alpine meadows, but its effects on soil P availability and the microbial processes driving P transformation remain poorly understood. To address this, a long-term field experiment was conducted with five different spring rest-grazing periods, where soil P fractions were examined and metagenomic sequencing was employed to assess the functional profiles of microbial genes involved in P cycling. Early spring rest-grazing led to higher concentrations of labile P fractions (Resin-P and NaHCO3-Pi), indicating improved soil P availability. Moreover, rest-grazing in early spring significantly reduced HCl-Pi concentration while increased the concentration of conc. HCl-Po. Metagenomic analysis revealed that early spring rest-grazing may have contributed to a higher relative abundance of the organic P mineralization gene phnA but decreasing the relative abundance of inorganic P solubilization genes ppa, and P-uptake and transport gene pstB. The dominant microbial genera involved in P cycling were Rhodopseudomonas and Mesorhizobium. Soil temperature and water infiltration rate, both affected by early rest-grazing, were identified as the main environmental variables correlated with P-cycling functional gene composition. These influenced taxa with functional genes involving organic P mineralization, inorganic P solubilization, and P-uptake and transport, which may associate with enhancing soil labile P. This study provides insights into potential microbial processes under grazing management in grassland ecosystems. Full article
(This article belongs to the Special Issue Soil Microbial Carbon/Nitrogen/Phosphorus Cycling: 2nd Edition)
Show Figures

Figure 1

Back to TopTop