Photosynthetic Performance and Physiological Assessment of Young Citrus limon L. Trees Grown After Seed Priming
Abstract
1. Introduction
2. Materials and Methods
2.1. Experimental Design
2.2. Photosynthetic Parameters
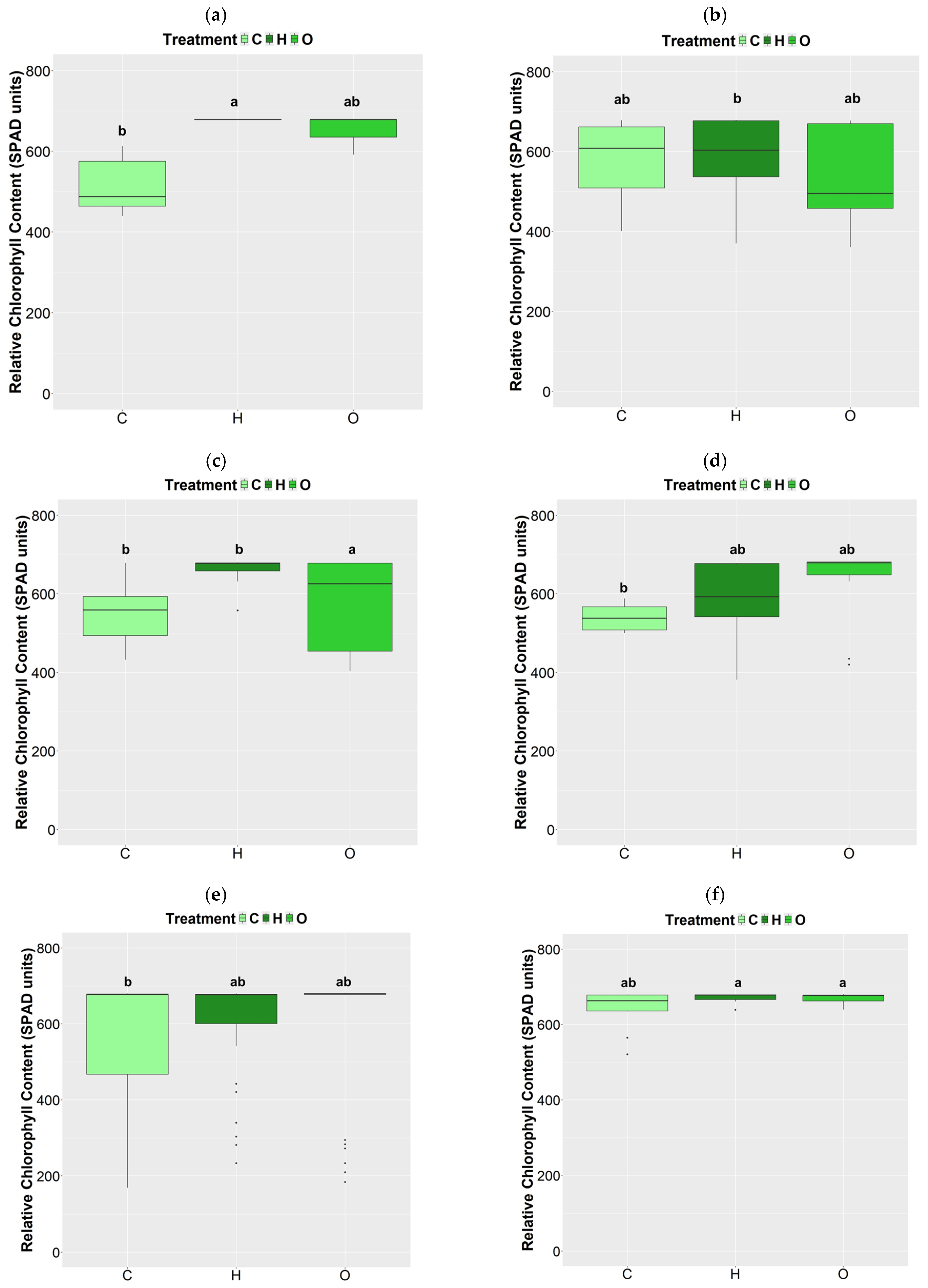
2.3. The Relative Chlorophyll Content
2.4. Stomatal Aperture
2.5. SEM + EDX Analysis
2.6. Leaf Area
2.7. Dry Biomass
2.8. Data Analysis
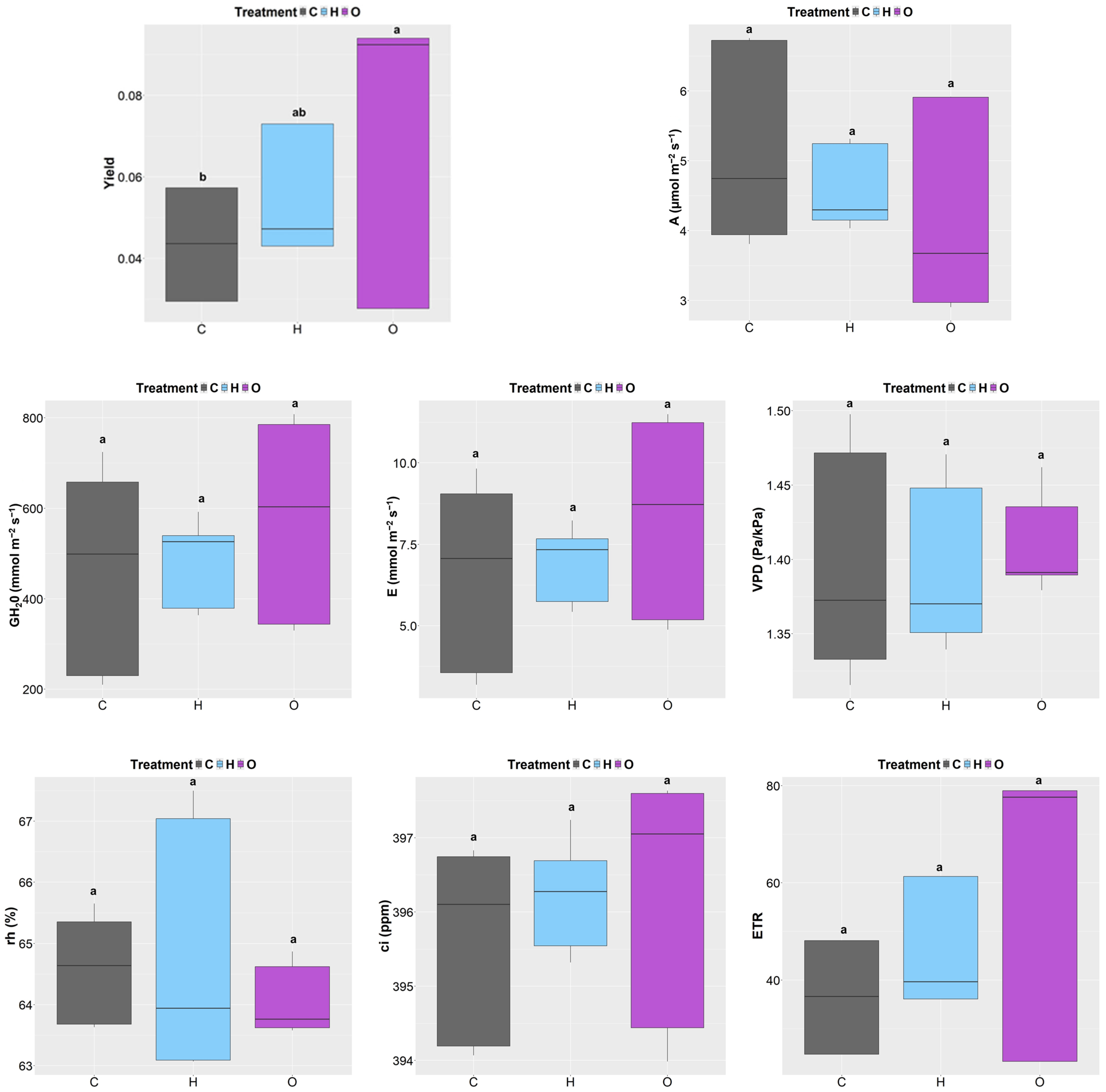
3. Results
4. Discussion
5. Conclusions
Author Contributions
Funding
Data Availability Statement
Acknowledgments
Conflicts of Interest
Appendix A

References
- Kundu, D.; Das, M.; Mahle, R.; Biswas, P.; Karmakar, S.; Banerjee, R. Citrus Fruits. In Valorization of Fruit Processing by-Products; Elsevier: Amsterdam, The Netherlands, 2020; pp. 145–166. [Google Scholar]
- Kotykova, O.; Babych, M.; Yahodzinska, A.; Tabatskova, H. Global Initiatives on Implementation of Zero Hunger Policy. Agric. Resour. Econ. 2022, 8, 30–49. [Google Scholar] [CrossRef]
- Kimball, D.A. Citrus Processing: A Complete Guide; Springer Science & Business Media: Berlin/Heidelberg, Germany, 2012. [Google Scholar]
- Rhaman, M.S.; Rauf, F.; Tania, S.S.; Khatun, M. Seed Priming Methods: Application in Field Crops and Future Perspectives. Asian J. Res. Crop Sci. 2020, 5, 8–19. [Google Scholar] [CrossRef]
- Cerri, M.; Reale, L. Anatomical Traits of the Principal Fruits: An Overview. Sci. Hortic. 2020, 270, 109390. [Google Scholar] [CrossRef]
- Stoian, V.; Rișcou, D.; Gâdea, Ș.; Vâtcă, A.; Trușcă, M.; Vâtcă, S. Tested seed priming methods to stimulate the germination of Citrus limon L. Sci. Pap. Ser. B Hortic. 2023, 67, 854–859. [Google Scholar]
- Lutts, S.; Benincasa, P.; Wojtyla, L.; Kubala, S.; Pace, R.; Lechowska, K.; Quinet, M.; Garnczarska, M. Seed Priming: New Comprehensive Approaches for an Old Empirical Technique. In New Challenges in Seed Biology-Basic and Translational Research Driving Seed Technology; InTechOpen: London, UK, 2016; Volume 46, p. 64420. [Google Scholar]
- Adelani, D.O.; Ariyo, O.C.; Olorukooba, M.M.; Suleiman, R.; Balogun, O.S. Effects of Periods of Priming Methods and Organic Fertilizers on The Germination and Early Seedling Growth of Three Indigenous Agroforestry Tree Species. J. For. Res. Manag. 2021, 18, 11–23. [Google Scholar]
- Hussain, S.; Ali, B.; Saqib, M. Seed Priming to Enhance Salt and Drought Stress Tolerance in Plants: Advances and Prospects. In Climate Change and Crop Stress; Elsevier: Amsterdam, The Netherlands, 2022; pp. 441–464. [Google Scholar]
- Rhaman, M.S. Seed Priming Before the Sprout: Revisiting an Established Technique for Stress-Resilient Germination. Seeds 2025, 4, 29. [Google Scholar] [CrossRef]
- Cañizares, E.; Giovannini, L.; Gumus, B.O.; Fotopoulos, V.; Balestrini, R.; González-Guzmán, M.; Arbona, V. Seeds of Change: Exploring the Transformative Effects of Seed Priming in Sustainable Agriculture. Physiol. Plant. 2025, 177, e70226. [Google Scholar] [CrossRef]
- Chilembwe, E.H.; Castle, W.S.; Cantliffe, D.J. Grading, Hydrating, and Osmotically Priming Seed of Four Citrus Rootstock to Increase Germination Rate and Seedling Uniformity. J. Am. Soc. Hortic. Sci. 1992, 117, 368–372. [Google Scholar] [CrossRef]
- Nicolás, E.; Barradas, V.L.; Ortuño, M.F.; Navarro, A.; Torrecillas, A.; Alarcón, J.J. Environmental and Stomatal Control of Transpiration, Canopy Conductance and Decoupling Coefficient in Young Lemon Trees under Shading Net. Environ. Exp. Bot. 2008, 63, 200–206. [Google Scholar] [CrossRef]
- Fernandez-Zamudio, M.-A.; Barco, H.; Schneider, F. Direct Measurement of Mass and Economic Harvest and Post-Harvest Losses in Spanish Persimmon Primary Production. Agriculture 2020, 10, 581. [Google Scholar] [CrossRef]
- Jyothi, V.; Shilpa, M.E. Citrus Diseases and Their Management. In Diseases of Fruits and Vegetable Crops; Apple Academic Press: Palm Bay, FL, USA, 2020; pp. 41–63. [Google Scholar]
- Peraza-Villarreal, H.; Sánchez-Coronado, M.E.; Lindig-Cisneros, R.; Tinoco-Ojanguren, C.; Velázquez-Rosas, N.; Cámara-Cabrales, L.; Orozco-Segovia, A. Seed Priming Effects on Germination and Seedling Establishment of Useful Tropical Trees for Ecological Restoration. Trop. Conserv. Sci. 2018, 11, 1940082918817886. [Google Scholar] [CrossRef]
- Marthandan, V.; Geetha, R.; Kumutha, K.; Renganathan, V.G.; Karthikeyan, A.; Ramalingam, J. Seed Priming: A Feasible Strategy to Enhance Drought Tolerance in Crop Plants. Int. J. Mol. Sci. 2020, 21, 8258. [Google Scholar] [CrossRef] [PubMed]
- Copaciu, F.; Faur, C.-A.; Bunea, A.; Leopold, L.; Sima, R.M.; Lăcătuș, M.A.; Lupitu, A.; Moisa, C.; Copolovici, D.M.; Copolovici, L. Enhancing UV-B Protection and Abiotic Stress Tolerance in Tomato Plants: The Role of Silicon Nanoparticles in Photosynthetic Parameters, Pigments, and Secondary Metabolite Production. Plants 2025, 14, 2599. [Google Scholar] [CrossRef] [PubMed]
- Trușcă, M.; Stoian, V.; Gâdea, Ș.; Vâtcă, A.; Jug, I.; Brozović, B.; Beinșan, C.; Vâtcă, S. Chlorophyll Content, Phenology and Morphological Traits of Wheat Under Salinity Stress. Sci. Pap. Ser. A Agron. 2024, 67, 433–444. [Google Scholar]
- Trușcă, M.; Gâdea, Ș.; Vâtcă, A.; Stoian, V.; Racz, I.; Vâtcă, S. Morpho-Physiological Characteristics under Salinity Stress of Triticum aestivum L. Var. Alex. Bull. Univ. Agric. Sci. Vet. Med. Cluj-Napoca Agric. 2024, 81, 36–43. [Google Scholar] [CrossRef]
- Digimizer 6.4.3 Software Trial Version. Available online: https://www.digimizer.com/ (accessed on 8 October 2025).
- Stoian, V.A.; Vâtcă, A.; Trușcă, M.; Stoian, V.; Popa, A.L.; Toșa, A.; Gâdea, Ș.; Vidican, R.; Păcurar, F.; Vâtcă, S. Unveiling the Effects of Drought Stress on Maize Hybrids: Changes in Chlorophyll Content, Morphological Traits and Soil-Plant Water Dynamics. Sci. Pap. Ser. A Agron. 2025, 68, 599–607. [Google Scholar]
- R Core Team. R: A Language and Environment for Statistical Computing; R Foundation for Statistical Computing: Vienna, Austria, 2016; Available online: https://www.R-project.org/ (accessed on 8 October 2025).
- Revelle, W. Psych: Procedures for Personality and Psychological Research; Northwestern University: Evanston, IL, USA, 2017; Available online: https://cran.r-project.org/web/packages/psych/index.html (accessed on 8 October 2025).
- de Mendiburu, F. Agricolae: Statistical Procedures for Agricultural Research. R Package Version 1.3-5. 2019. Available online: https://CRAN.R-project.org/package=agricolae (accessed on 8 October 2025).
- Robinson, D.; Hayes, A.; Couch, S. Broom: Convert Statistical Objects into Tidy Tibbles. R Package Version 0.7. 2021. Available online: https://CRAN.R-project.org/package=broom (accessed on 1 December 2025).
- Wickham, H. ggplot2: Elegant Graphics for Data Analysis; Springer: New York, NY, USA, 2016. [Google Scholar]
- Taiyun, W.; Viliam, S. R Package “Corrplot”: Visualization of a Correlation Matrix (Version 0.84). Statistician 2017, 56, e24. [Google Scholar]
- Alzola, C.; Harrell, F. An Introduction to S and the Hmisc and Design Libraries. Online Manuscript. 2006. Available online: https://ftp.kaist.ac.kr/CRAN/doc/contrib/Alzola%2BHarrell-Hmisc-Design-Intro.pdf (accessed on 1 December 2025).
- Johnson, R.; Puthur, J.T. Seed Priming as a Cost Effective Technique for Developing Plants with Cross Tolerance to Salinity Stress. Plant Physiol. Biochem. 2021, 162, 247–257. [Google Scholar] [CrossRef]
- Hilker, M.; Schmülling, T. Stress Priming, Memory, and Signalling in Plants. Plant Cell Environ. 2019, 42, 753–761. [Google Scholar] [CrossRef]
- Gamir, J.; Sánchez-Bel, P.; Flors, V. Molecular and Physiological Stages of Priming: How Plants Prepare for Environmental Challenges. Plant Cell Rep. 2014, 33, 1935–1949. [Google Scholar] [CrossRef] [PubMed]
- Wang, W.-S.; Pan, Y.-J.; Zhao, X.-Q.; Dwivedi, D.; Zhu, L.-H.; Ali, J.; Fu, B.-Y.; Li, Z.-K. Drought-Induced Site-Specific DNA Methylation and Its Association with Drought Tolerance in Rice (Oryza sativa L.). J. Exp. Bot. 2011, 62, 1951–1960. [Google Scholar] [CrossRef]
- Kartika, K.; Lakitan, B.; Ria, R.P. Hydro-and Osmo-Priming Effects on Upland Rice Exposed to Drought Conditions at Vegetative and Reproductive Stages. CMUJ Nat. Sci. 2021, 20, e2021053. [Google Scholar] [CrossRef]
- Decsi, K.; Ahmed, M.; Abdul-Hamid, D.; Rizk, R.; Tóth, Z. Verification of Seed-Priming-Induced Stress Memory by Genome-Wide Transcriptomic Analysis in Wheat (Triticum aestivum L.). Agronomy 2025, 15, 1365. [Google Scholar] [CrossRef]
- Aswathi, K.P.R.; Kalaji, H.M.; Puthur, J.T. Seed Priming of Plants Aiding in Drought Stress Tolerance and Faster Recovery: A Review. Plant Growth Regul. 2022, 97, 235–253. [Google Scholar] [CrossRef]
- Lemmens, E.; Deleu, L.J.; De Brier, N.; De Man, W.L.; De Proft, M.; Prinsen, E.; Delcour, J.A. The Impact of Hydro-Priming and Osmo-Priming on Seedling Characteristics, Plant Hormone Concentrations, Activity of Selected Hydrolytic Enzymes, and Cell Wall and Phytate Hydrolysis in Sprouted Wheat (Triticum aestivum L.). ACS Omega 2019, 4, 22089–22100. [Google Scholar] [CrossRef]
- Lagiotis, G.; Madesis, P.; Stavridou, E. Echoes of a Stressful Past: Abiotic Stress Memory in Crop Plants towards Enhanced Adaptation. Agriculture 2023, 13, 2090. [Google Scholar] [CrossRef]
- Debta, H.; Kunhamu, T.K.; Petrík, P.; Fleischer, P., Jr.; Jisha, K.C. Effect of Hydropriming and Osmopriming on the Germination and Seedling Vigor of the East Indian Sandalwood (Santalum album L.). Forests 2023, 14, 1076. [Google Scholar] [CrossRef]
- Choudhary, B.; Sharma, T.R.; Pandey, S.K.; Singh, R.B. Effect of Seed Priming on Germination and Growth of Rough Lemon and Rangpur Lime Seedlings. Biol. Forum–Int. J. 2023, 15, 164–169. [Google Scholar]
- Papadakis, I.E.; Ladikou, E.-V.; Oikonomou, A.; Chatzistathis, T.; Chatziperou, G. Exploring the Impact of Potassium on Growth, Photosynthetic Performance, and Nutritional Status of Lemon Trees (Cv. Adamopoulou) Grafted onto Sour Orange and Volkamer Lemon Rootstocks. Sustainability 2023, 15, 15858. [Google Scholar] [CrossRef]
- Khoshbakht, D.; Ramin, A.A.; Baninasab, B. Effects of Sodium Chloride Stress on Gas Exchange, Chlorophyll Content and Nutrient Concentrations of Nine Citrus Rootstocks. Photosynthetica 2015, 53, 241–249. [Google Scholar] [CrossRef]
- Moya, J.L.; Tadeo, F.R.; Gómez-Cadenas, A.; Primo-Millo, E.; Talón, M. Transmissible Salt Tolerance Traits Identified through Reciprocal Grafts between Sensitive Carrizo and Tolerant Cleopatra Citrus Genotypes. J. Plant Physiol. 2002, 159, 991–998. [Google Scholar] [CrossRef]
- Barbosa, R.C.A.; Brito, M.E.B.; da Silva Sá, F.V.; dos Santos Soares Filho, W.; Fernandes, P.D.; de Andrade Silva, L. Gas Exchange of Citrus Rootstocks in Response to Intensity and Duration of Saline Stress. Semin. Ciências Agrárias 2017, 38, 725–738. [Google Scholar] [CrossRef]
- de Sousa, J.R.M.; Gheyi, H.R.; Brito, M.E.B.; Xavier, D.A.; Furtado, G.d.F. Impact of Saline Conditions and Nitrogen Fertilization on Citrus Production and Gas Exchanges. Rev. Caatinga 2016, 29, 415–424. [Google Scholar] [CrossRef]
- Lourkisti, R.; Froelicher, Y.; Morillon, R.; Berti, L.; Santini, J. Enhanced Photosynthetic Capacity, Osmotic Adjustment and Antioxidant Defenses Contribute to Improve Tolerance to Moderate Water Deficit and Recovery of Triploid Citrus Genotypes. Antioxidants 2022, 11, 562. [Google Scholar] [CrossRef] [PubMed]
- Schönbeck, L.; Arteaga, M.; Mirza, H.; Coleman, M.; Mitchell, D.; Huang, X.; Ortiz, H.; Santiago, L.S. Plant Physiological Indicators for Optimizing Conservation Outcomes. Conserv. Physiol. 2023, 11, coad073. [Google Scholar] [CrossRef]
- BiBi, R.; Elahi, N.N.; Danish, S.; Alahmadi, T.A.; Ansari, M.J. Enhancing Germination and Growth of Canola (Brassica napus L.) through Hydropriming and NaCl Priming. Sci. Rep. 2024, 14, 14026. [Google Scholar] [CrossRef] [PubMed]
- Selović, A.; Karalija, E.; Demir, A.; Parić, A.; Šamec, D. The Effect of Hydro-Priming and Proline Priming of Lettuce (Lactuca sativa L.) Seeds on Germination, Photosynthetic Pigments and Metal Metabolism under Cadmium Stress. Agriculture 2023, 13, 1472. [Google Scholar] [CrossRef]
- Nadali, F.; Asghari, H.R.; Abbasdokht, H.; Dorostkar, V.; Bagheri, M. Improved Quinoa Growth, Physiological Response, and Yield by Hydropriming Under Drought Stress Conditions. Gesunde Pflanz. 2021, 73, 53–66. [Google Scholar] [CrossRef]
- Ancuța, S.V.; Gâdea, Ș.; Vâtcă, A.; Vâtcă, S.D. Salvia officinalis L. Leaf Development and Chlorophyll Content on Seedlings Growth after Applied Seed Priming Treatments. ProEnviron. Promediu 2024, 17, 107. [Google Scholar]
- Shen, J.; Yuan, L.; Zhang, J.; Li, H.; Bai, Z.; Chen, X.; Zhang, W.; Zhang, F. Phosphorus Dynamics: From Soil to Plant. Plant Physiol. 2011, 156, 997–1005. [Google Scholar] [CrossRef]
- Malhotra, H.; Vandana; Sharma, S.; Pandey, R. Phosphorus Nutrition: Plant Growth in Response to Deficiency and Excess. In Plant Nutrients and Abiotic Stress Tolerance; Hasanuzzaman, M., Fujita, M., Oku, H., Nahar, K., Hawrylak-Nowak, B., Eds.; Springer: Singapore, 2018; pp. 171–190. ISBN 978-981-10-9043-1. [Google Scholar]
- Raghothama, K.G. Phosphorus and Plant Nutrition: An Overview. In Agronomy Monographs; Thomas Sims, J., Sharpley, A.N., Eds.; Wiley: Hoboken, NJ, USA, 2005; Volume 46, pp. 353–378. ISBN 978-0-89118-157-6. [Google Scholar]
- Tripathi, R.; Tewari, R.; Singh, K.P.; Keswani, C.; Minkina, T.; Srivastava, A.K.; De Corato, U.; Sansinenea, E. Plant Mineral Nutrition and Disease Resistance: A Significant Linkage for Sustainable Crop Protection. Front. Plant Sci. 2022, 13, 883970. [Google Scholar] [CrossRef]
- Nadeem, F.; Hanif, M.A.; Majeed, M.I.; Mushtaq, Z. Role of Macronutrients and Micronutrients in the Growth and Development of Plants and Prevention of Deleterious Plant Diseases-a Comprehensive Review. Int. J. Chem. Biochem. Sci. 2018, 13, 31–52. [Google Scholar]
- Kathpalia, R.; Bhatla, S.C. Plant Mineral Nutrition. In Plant Physiology, Development and Metabolism; Springer Nature: Singapore, 2018; pp. 37–81. ISBN 9789811320224. [Google Scholar]
- Nawaz, J.; Hussain, M.; Jabbar, A.; Nadeem, G.A.; Sajid, M.; Subtain, M.U.; Shabbir, I. Seed Priming a Technique. Int. J. Agric. Crop Sci. 2013, 6, 1373. [Google Scholar]
- Farooq, M.; Usman, M.; Nadeem, F.; Rehman, H.U.; Wahid, A.; Basra, S.M.; Siddique, K.H. Seed Priming in Field Crops: Potential Benefits, Adoption and Challenges. Crop Pasture Sci. 2019, 70, 731–771. [Google Scholar] [CrossRef]
- Snider, J.L.; Pilon, C.; Virk, G. Seed Characteristics and Seedling Vigor. In Cotton Seed and Seedlings; The Cotton Foundation: Cordova, TN, USA, 2020; pp. 9–23. [Google Scholar]
- Walker, A.P.; Beckerman, A.P.; Gu, L.; Kattge, J.; Cernusak, L.A.; Domingues, T.F.; Scales, J.C.; Wohlfahrt, G.; Wullschleger, S.D.; Woodward, F.I. The Relationship of Leaf Photosynthetic Traits—Vcmax and Jmax—To Leaf Nitrogen, Leaf Phosphorus, and Specific Leaf Area: A Meta-analysis and Modeling Study. Ecol. Evol. 2014, 4, 3218–3235. [Google Scholar] [CrossRef]
- Nikolopoulos, D.; Bresta, P.; Daliani, V.; Haghiou, V.; Darra, N.; Liati, M.; Mavrogianni, E.; Papanastasiou, A.; Porfyraki, T.; Psaroudi, V.; et al. Leaf Anatomy Affects Optical Properties and Enhances Photosynthetic Performance under Oblique Light. Plant Cell Environ. 2024, 47, 1471–1485. [Google Scholar] [CrossRef] [PubMed]
- Parry, M.A.; Andralojc, P.J.; Scales, J.C.; Salvucci, M.E.; Carmo-Silva, A.E.; Alonso, H.; Whitney, S.M. Rubisco Activity and Regulation as Targets for Crop Improvement. J. Exp. Bot. 2013, 64, 717–730. [Google Scholar] [CrossRef] [PubMed]
- Parry, M.A.; Keys, A.J.; Madgwick, P.J.; Carmo-Silva, A.E.; Andralojc, P.J. Rubisco Regulation: A Role for Inhibitors. J. Exp. Bot. 2008, 59, 1569–1580. [Google Scholar] [CrossRef]
- Erb, T.J.; Zarzycki, J. A Short History of RubisCO: The Rise and Fall (?) Of Nature’s Predominant CO2 Fixing Enzyme. Curr. Opin. Biotechnol. 2018, 49, 100–107. [Google Scholar] [CrossRef]
- Wright, I.J.; Reich, P.B.; Westoby, M.; Ackerly, D.D.; Baruch, Z.; Bongers, F.; Cavender-Bares, J.; Chapin, T.; Cornelissen, J.H.; Diemer, M. The Worldwide Leaf Economics Spectrum. Nature 2004, 428, 821–827. [Google Scholar] [CrossRef] [PubMed]
- Schaffer, B.; Andersen, P.C. Handbook of Environmental Physiology of Fruit Crops; CRC Press: Boca Raton, FL, USA, 2018. [Google Scholar]
- Ribeiro, R.V.; Machado, E.C.; Santos, M.G.; de Oliveira, R.F. Photosynthesis and Water Relations of Well-Watered Orange Plants as Affected by Winter and Summer Conditions. Photosynthetica 2009, 47, 215–222. [Google Scholar] [CrossRef]
- Jifon, J.L.; Syvertsen, J.P. Moderate Shade Can Increase Net Gas Exchange and Reduce Photoinhibition in Citrus Leaves. Tree Physiol. 2003, 23, 119–127. [Google Scholar] [CrossRef]
- Adams, I.; Adi-Dako, O.; Appiah-Opong, R.; Ofori-Attah, E.; Aning, A.; Ofori, E.K.; Nyankson, E.; Amponsah, S.K. In Vitro Anticancer Activities of Curcumin-Loaded Copper Oxide–Halloysite Nanotubes Composite. J. Nanotechnol. 2025, 2025, 7535486. [Google Scholar] [CrossRef]
- Batterjee, M.G.; Nabi, A.; Kamli, M.R.; Alzahrani, K.A.; Danish, E.Y.; Malik, M.A. Green Hydrothermal Synthesis of Zinc Oxide Nanoparticles for UV-Light-Induced Photocatalytic Degradation of Ciprofloxacin Antibiotic in an Aqueous Environment. Catalysts 2022, 12, 1347. [Google Scholar] [CrossRef]
- Alzahrani, E.; Alkhudaidy, A.T. Eco-Friendly Production of Metal Nanoparticles Immobilised on Organic Monolith for Pepsin Extraction. Pol. J. Chem. Technol. 2020, 22, 18–28. [Google Scholar] [CrossRef]
- Yadav, S.; Sharma, G.; Malik, S.; Khyalia, P.; Gupta, A. Lemon Peel-Extracted Recyclable Copper Oxide Nanoparticles for Methylene Blue Dye Adsorption: Optimization, Isotherms, Kinetics, Thermodynamics, and Reusability Study. ChemistrySelect 2024, 9, e202404178. [Google Scholar] [CrossRef]
- Tamam, N.; Mahadadalkar, M.A.; Aadil, M.; El-Aassar, M.R.; Rafea, M.A.; Zaki, M.E.; Park, N.; Elhadi, M.; Ahmad, Z. Unveiling the Visible-Light-Driven Photocatalytic Aptitude of Nanostructured MgO Semiconductor Synthesized Using Lemon Peel Extract. Ceram. Int. 2025, 51, 25487–25498. [Google Scholar] [CrossRef]
- Joga, S.B.; Korabandi, D.; Lakkaboyana, S.K.; Kumar, V. Synthesis of Iron Nanoparticles on Lemon Peel Carbon Dots (LP-CDs@ Fe3O4) Applied in Photo-Catalysis, Antioxidant, Antidiabetic, and Hemolytic Activity. Inorg. Chem. Commun. 2025, 174, 113960. [Google Scholar] [CrossRef]
- Reshma; Shaik, H.; Venkatesan, K.; Kadeer, M.D.; Somaiah, P.V. Green Synthesis, Characterization, Biological Activities of CuO Nanoparticles and Their Photocatalytic Degradative Mechanistic Study of Methylene Blue Dye Using Mass Spectroscopy. Russ. J. Gen. Chem. 2024, 94, 220–233. [Google Scholar] [CrossRef]
- Almalki, A.S.; Alhadhrami, A.; Alsanie, W.F.; Kamarudin, S.K.; Pugazhendhi, A. Characteristic Studies on Sustainable Upgraded Bio-Oil Produced Using Green TiO2/AlSBA-15 Nano Composite. Fuel 2024, 356, 129645. [Google Scholar] [CrossRef]
- Deogaonkar-Baride, S.; Tandel, T.; Chandel, A. A Green Method of Developing Copper Nanoparticle-Based Antiviral Textiles. Fibers Polym. 2025, 26, 5465–5474. [Google Scholar] [CrossRef]
- Hammood, A.Y.; Albehadili, M.H.; AL-Tememi, M.K.; Majed, A.A.; Radhi, W.A. Use of Nano-Magnetic Materials for Removal of Congo Red Dye from Aqueous Solutions. Adv. Nat. Sci. Nanosci. Nanotechnol. 2025, 16, 025014. [Google Scholar] [CrossRef]
- Hammood, A.Y.; AL-Tememi, M.K.; Abdulnabi, Z.A.; Majed, A.A. Synthesis of Magnetic Spinal Ferrite CrFe2O4 Nanoparticles and Uses Them to Remove Lead and Cadmium Ions from Aqueous Solutions. Adv. Nat. Sci. Nanosci. Nanotechnol. 2024, 15, 045015. [Google Scholar] [CrossRef]
- Horvath, C.; Croitoru, A.-E. Analysis of Precipitation Extremes Related to Agriculture and Water Resources Sectors Based on Gridded Daily Data in Romania. Theor. Appl. Climatol. 2023, 151, 355–373. [Google Scholar] [CrossRef]






| Stomatal Frequency (mm2) | Osteole Opening (µm) | Guard Cells Length (µm) | Guard Cells Width (µm) | Leaf Area (mm2) | |
|---|---|---|---|---|---|
| C | 59.67 ± 0.88 b | 6.71 ± 0.61 a | 14.71 ± 0.92 b | 3.86 ± 0.14 b | 408.67 ± 13.86 a |
| H | 75.67 ± 1.45 a | 5.86 ± 0.26 a | 20.29 ± 0.75 a | 5.43 ± 0.48 a | 496.33 ± 48.22 a |
| O | 64.00 ± 2.08 b | 3.71 ± 0.36 b | 15.86 ± 1.16 b | 5.43 ± 0.30 a | 404.00 ± 48.22 a |
| F | 28.45 | 12.69 | 9.43 | 7.26 | 3.17 |
| p value | p < 0.001 | p < 0.001 | 0.002 | 0.005 | 0.115 |
| Carbon (%) | Oxygen (%) | Magnesium (%) | Phosphorus (%) | Potassium (%) | Calcium (%) | |
|---|---|---|---|---|---|---|
| C | 45.66 ± 0.83 a | 45.44 ± 1.00 a | 0.40 ± 0.03 a | 0.33 ± 0.05 a | 4.73 ± 0.42 a | 3.43 ± 0.41 a |
| H | 45.82 ± 1.15 a | 44.27 ± 0.64 a | 0.42 ± 0.04 a | 0.47 ± 0.08 a | 5.69 ± 0.97 a | 3.31 ± 0.32 a |
| O | 46.61 ± 0.54 a | 44.6 ± 0.57 a | 0.40 ± 0.05 a | 0.4 ± 0.03 a | 5.09 ± 0.47 a | 2.87 ± 0.21 a |
| F | 0.33 | 0.62 | 0.05 | 1.41 | 0.51 | 0.51 |
| p value | 0.72 | 0.552 | 0.955 | 0.276 | 0.608 | 0.608 |
Disclaimer/Publisher’s Note: The statements, opinions and data contained in all publications are solely those of the individual author(s) and contributor(s) and not of MDPI and/or the editor(s). MDPI and/or the editor(s) disclaim responsibility for any injury to people or property resulting from any ideas, methods, instructions or products referred to in the content. |
© 2026 by the authors. Licensee MDPI, Basel, Switzerland. This article is an open access article distributed under the terms and conditions of the Creative Commons Attribution (CC BY) license.
Share and Cite
Stoian, V.A.; Gâdea, Ș.; Copaciu, F.; Vâtcă, A.; Stoian, V.; Horvat, M.; Toșa, A.; Vâtcă, S.D. Photosynthetic Performance and Physiological Assessment of Young Citrus limon L. Trees Grown After Seed Priming. Horticulturae 2026, 12, 99. https://doi.org/10.3390/horticulturae12010099
Stoian VA, Gâdea Ș, Copaciu F, Vâtcă A, Stoian V, Horvat M, Toșa A, Vâtcă SD. Photosynthetic Performance and Physiological Assessment of Young Citrus limon L. Trees Grown After Seed Priming. Horticulturae. 2026; 12(1):99. https://doi.org/10.3390/horticulturae12010099
Chicago/Turabian StyleStoian, Valentina Ancuța, Ștefania Gâdea, Florina Copaciu, Anamaria Vâtcă, Vlad Stoian, Melinda Horvat, Alina Toșa, and Sorin Daniel Vâtcă. 2026. "Photosynthetic Performance and Physiological Assessment of Young Citrus limon L. Trees Grown After Seed Priming" Horticulturae 12, no. 1: 99. https://doi.org/10.3390/horticulturae12010099
APA StyleStoian, V. A., Gâdea, Ș., Copaciu, F., Vâtcă, A., Stoian, V., Horvat, M., Toșa, A., & Vâtcă, S. D. (2026). Photosynthetic Performance and Physiological Assessment of Young Citrus limon L. Trees Grown After Seed Priming. Horticulturae, 12(1), 99. https://doi.org/10.3390/horticulturae12010099

