Sign in to use this feature.

Years

Between: -

Subjects

remove_circle_outline
remove_circle_outline
remove_circle_outline
remove_circle_outline
remove_circle_outline
remove_circle_outline
remove_circle_outline
remove_circle_outline
remove_circle_outline

Journals

remove_circle_outline
remove_circle_outline
remove_circle_outline
remove_circle_outline
remove_circle_outline
remove_circle_outline

Article Types

Countries / Regions

remove_circle_outline
remove_circle_outline
remove_circle_outline
remove_circle_outline
remove_circle_outline

Search Results (210)

Search Parameters:
Keywords = phosphorus phenols

Order results
Result details
Results per page
Select all
Export citation of selected articles as:
18 pages, 7570 KB  
Article
Assessment of Soil and Groundwater Contamination from Olive Mill Wastewater Disposal at Ben Aoun, Central Tunisia
by Wissal Issaoui, Imen Hamdi Nasr, Mohamed Hédi Inoubli and Ismael M. Ibraheem
Water 2026, 18(2), 149; https://doi.org/10.3390/w18020149 - 6 Jan 2026
Viewed by 227
Abstract
Olive mill wastewater (OMW) contains high organic loads and phytotoxic polyphenols. In Tunisia, OMW is often stored in unlined evaporation ponds. This practice creates a risk of soil and groundwater contamination. This study evaluates the environmental impact of a long-term OMW evaporation pond [...] Read more.
Olive mill wastewater (OMW) contains high organic loads and phytotoxic polyphenols. In Tunisia, OMW is often stored in unlined evaporation ponds. This practice creates a risk of soil and groundwater contamination. This study evaluates the environmental impact of a long-term OMW evaporation pond in the Ben Aoun area, Sidi Bouzid region. The investigation combines wastewater, soil and groundwater sampling with laboratory physicochemical analyses. Three OMW samples (E1 surface, E2 mixed, E3 recent spill) were collected. Three shallow boreholes (0–5 m) were sampled at 20 cm intervals. In addition, three nearby pumping wells were sampled. All samples were analyzed for pH, electrical conductivity (EC), chemical oxygen demand (COD), total and volatile solids, major cations/anions, total nitrogen, total phosphorus and total polyphenols. Results obtained using the Folin–Ciocalteu method are expressed as mg Eq AG L−1 for liquids and mg Eq AG gMS−1 for soils. OMW samples showed high COD (E1 = 48, E2 = 70, E3 = 80 g/L) and polyphenols (E1 = 5, E2 = 9.7, E3 = 14 g/L). Soil profiles inside the pond exhibited increased EC with peak of 15.48 mS cm−1 at 0.4 m depth. Near-surface layers showed low pH and increased organic matter and polyphenols to depths of ~5 m. Groundwater samples collected near the pond contained measurable polyphenols (up to 41 mg/L in the closest well), indicating subsurface migration. Evidence indicates lateral migration of about 20 m and vertical infiltration to a depth of approximately 5 m beneath the pond. The findings demonstrate that unlined OMW evaporation ponds act as a persistent source of organic and phenolic contamination. This poses a potential risk to shallow groundwater. Full article
Show Figures

Figure 1

20 pages, 978 KB  
Article
Development and Characterization of Pinhão Extract Powders Using Inulin and Polydextrose as Prebiotic Carriers
by Karine Marafon, Ana Caroline Ferreira Carvalho, Amanda Alves Prestes, Carolina Krebs de Souza, Dayanne Regina Mendes Andrade, Cristiane Vieira Helm, Fernanda Nunes Pereira, Paola Tedeschi, Jefferson Santos de Gois and Elane Schwinden Prudencio
Processes 2026, 14(1), 119; https://doi.org/10.3390/pr14010119 - 29 Dec 2025
Viewed by 280
Abstract
Araucaria angustifolia produces seeds known as Pinhão, which are valued for their nutritional composition and potential use in functional foods. This study investigated the production and characterization of spray-dried Pinhão extracts using inulin (E1) and polydextrose (E2) as carrier agents. The formulations [...] Read more.
Araucaria angustifolia produces seeds known as Pinhão, which are valued for their nutritional composition and potential use in functional foods. This study investigated the production and characterization of spray-dried Pinhão extracts using inulin (E1) and polydextrose (E2) as carrier agents. The formulations were assessed for physicochemical composition, physical properties, rehydration behavior, morphology, phenolic profile, and mineral content. Spray drying resulted in yields of 67.7% (E1) and 60.6% (E2). E1 exhibited higher carbohydrate (37.02 g/100 g) and fiber contents (34.11 g/100 g), as well as lower moisture (1.35 g/100 g) and water activity (0.16), yielding powders with greater stability and lighter color. E2 demonstrated a superior rehydration performance, with higher wettability and dispersibility, attributed to the amorphous and hydrophilic nature of polydextrose. The matrix formed by inulin and polydextrose during spray drying was equally effective in preserving the low contents of phenolic compounds, demonstrating the suitability of the technique for stabilizing these heat-sensitive bioactive compounds. Only very low levels of phenolic compounds were detected in both samples, which is consistent with the naturally low phenolic content of the Pinhão almond. Mineral analysis showed greater calcium and magnesium retention in E1, whereas E2 contained higher levels of potassium, phosphorus, iron, and zinc. Overall, inulin enhanced powder stability and compactness, while polydextrose improved rehydration behavior and mineral preservation, supporting the potential application of Pinhão extract powders in functional and health-oriented food products. Full article
(This article belongs to the Section Food Process Engineering)
Show Figures

Figure 1

25 pages, 7572 KB  
Article
Streambed Microbial Activity and Its Spatial Distribution in Two Intermittent Stream Networks
by Andrielle L. Kemajou Tchamba, Charles T. Bond, Brett A. Nave, Claire Utzman, Jerald Ibal, Delaney M. Peterson, C. Nathan Jones, Carla L. Atkinson, Erin C. Seybold, Robert J. Ramos, Amy J. Burgin, Lydia H. Zeglin, Yaqi You, Ken Aho, Kevin A. Kuehn and Colin R. Jackson
Microorganisms 2026, 14(1), 71; https://doi.org/10.3390/microorganisms14010071 - 29 Dec 2025
Viewed by 244
Abstract
Headwater streams comprise almost 90% of global river networks, and their microorganisms play critical roles in organic matter decomposition and nutrient cycling. These functions, however, are affected by recurrent drying and rewetting. This study examined spatial variation in microbial enzyme activity tied to [...] Read more.
Headwater streams comprise almost 90% of global river networks, and their microorganisms play critical roles in organic matter decomposition and nutrient cycling. These functions, however, are affected by recurrent drying and rewetting. This study examined spatial variation in microbial enzyme activity tied to organic carbon degradation (β-glucosidase, phenol oxidase, and peroxidase) and nitrogen (N-acetylglucosaminidase) and phosphorus (phosphatase) mineralization in water, epilithic biofilm, leaf litter, and sediment in two intermittent streams: Gibson Jack Creek (Idaho, USA) and Pendergrass Creek (Alabama, USA), representing different climactic and physiographic settings. Microbial activity was greater in Gibson Jack Creek, where the activity of leaf litter enzymes varied along the stream network, and there were strong correlations in microbial activity between different stream habitats. Microbial activity in Pendergrass Creek showed primarily within-habitat associations. Activity in water, sediment, and biofilm showed broader spatial heterogeneity in both stream networks. Ratios of microbial activity (enzyme stoichiometry) suggested that microbial communities in both systems were primarily limited by carbon and phosphorus, although there was more spatial variation in nitrogen limitation, particularly in water and sediment at Pendergrass Creek and in biofilm at Gibson Jack Creek. These findings underscore the spatial heterogeneity and environmental sensitivity of microbial processes in intermittent streams. Full article
(This article belongs to the Section Environmental Microbiology)
Show Figures

Figure 1

33 pages, 5748 KB  
Article
Linking Grain Mineral Content to Pest and Disease Resistance, Agro-Morphological Traits, and Bioactive Compounds in Peruvian Coffee Germplasm
by Ester Choque-Incaluque, César Cueva-Carhuatanta, Ronald Pio Carrera-Rojo, Jazmín Maravi Loyola, Marián Hermoza-Gutiérrez, Hector Cántaro-Segura, Elizabeth Fernández-Huaytalla, Dina L. Gutiérrez-Reynoso, Fredy Quispe-Jacobo and Karina Ccapa-Ramirez
Horticulturae 2026, 12(1), 15; https://doi.org/10.3390/horticulturae12010015 - 24 Dec 2025
Viewed by 394
Abstract
Mineral composition modulates plant health, agro-morphological attributes, and functional quality in coffee, yet large-scale evaluations remain limited. In 150 Coffea arabica L. accessions, we quantified grain minerals (Ca, K, Mg, Na, P, Zn, Cu, Fe, Mn); resistance to coffee leaf miner (CLM), coffee [...] Read more.
Mineral composition modulates plant health, agro-morphological attributes, and functional quality in coffee, yet large-scale evaluations remain limited. In 150 Coffea arabica L. accessions, we quantified grain minerals (Ca, K, Mg, Na, P, Zn, Cu, Fe, Mn); resistance to coffee leaf miner (CLM), coffee berry borer (CBB), and coffee leaf rust (CLR); agro-morphological traits; bioactive compounds (phenolics, flavonoids, chlorogenic acid, trigonelline, caffeine); and antioxidant capacity (ABTS, DPPH, FRAP). Mn and Zn were associated with greater resistance to CBB and CLM, whereas P and Ca related with lower susceptibility to CLR; a P–Zn antagonism emerged as a critical nutritional axis. Phosphorus was linked to larger size and higher 100-bean mass; Ca and Mg to greater fruit number and fruit mass per plant; and Fe to improved filling and higher 100-bean mass in parchment coffee. For bioactive compounds, P and K were positively associated with total phenolics, total flavonoids, caffeine, and ABTS/FRAP antioxidant activity, while trigonelline and chlorogenic acid correlated positively with the micronutrients Zn, Cu, and Fe. Cluster analysis resolved groups associated with resistance, Zn/Fe biofortification, productivity, and functional quality. PER1002287, PER1002216, PER1002207, and PER1002197 emerged as promising accessions balancing plant health, yield, and phytochemical quality. Overall, grain mineral composition is linked to plant health, productivity, and functional quality in coffee, providing a foundation for precision nutrient management and breeding programs aimed at resilient and high–value-added coffee. Full article
(This article belongs to the Section Fruit Production Systems)
Show Figures

Graphical abstract

14 pages, 27623 KB  
Communication
Assessment of the Effect of Phosphorus in the Structure of Epoxy Resin Synthesized from Natural Phenol–Eugenol on Thermal Resistance
by Danuta Matykiewicz, Beata Dudziec and Adam Piasecki
Int. J. Mol. Sci. 2026, 27(1), 112; https://doi.org/10.3390/ijms27010112 - 22 Dec 2025
Viewed by 241
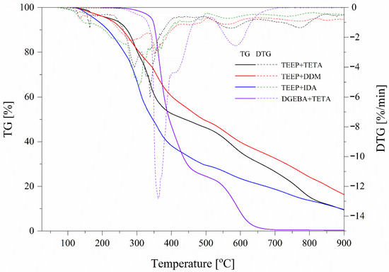
Abstract
This work aimed to investigate the thermal properties of phosphorus-modified epoxy resin obtained from eugenol derivatives and cured with different amines: aliphatic—triethylenetetramine (TETA); aromatic—diaminodiphenylmethane (DDM); and cycloaliphatic—isophoronediamine (IDA). The thermal stability was investigated through both thermogravimetric analysis (TGA) coupled to a Fourier transform [...] Read more.
This work aimed to investigate the thermal properties of phosphorus-modified epoxy resin obtained from eugenol derivatives and cured with different amines: aliphatic—triethylenetetramine (TETA); aromatic—diaminodiphenylmethane (DDM); and cycloaliphatic—isophoronediamine (IDA). The thermal stability was investigated through both thermogravimetric analysis (TGA) coupled to a Fourier transform infrared spectrometer (TGA/FTIR) and pyrolysis–combustion flow calorimetry (PCFC). The structures of the cured castings and the char residues were assessed by scanning electron microscopy (SEM). Eugenol-based resin during thermal degradation is covered with a significant amount of char residue and is characterized by a reduced value of heat release rate (HRR) and heat release capacity (HRC) compared with the resin based on petrochemicals. Full article
(This article belongs to the Section Physical Chemistry and Chemical Physics)
Show Figures

Graphical abstract

16 pages, 2270 KB  
Article
Water Quality Assessment and Spatial Heterogeneity Distribution of Freshwater Shellfish in Wutong River
by Haitao Wang, Le Wang, Tangbin Huo and Wang Zhang
Diversity 2026, 18(1), 7; https://doi.org/10.3390/d18010007 - 22 Dec 2025
Viewed by 236
Abstract
The Wutong River, located in northeastern China’s Heilongjiang Province, serves as an important habitat and spawning ground for fish and freshwater shellfish. To investigate the influence of geographic and geomorphic changes on the river basin ecology, the water environment and spatial heterogeneity of [...] Read more.
The Wutong River, located in northeastern China’s Heilongjiang Province, serves as an important habitat and spawning ground for fish and freshwater shellfish. To investigate the influence of geographic and geomorphic changes on the river basin ecology, the water environment and spatial heterogeneity of freshwater shellfish distribution were monitored in both summer and autumn of 2024. Key water quality indicators were analyzed, including basic parameters (pH and dissolved oxygen), eutrophication indices (nitrogen, phosphorus, and chlorophyll), and pollutant levels (nitrite nitrogen, petroleum, and volatile phenol). Water quality was assessed using the single-factor index method and the Nemerow pollution index method. Results indicated that in 2024, the Wutong River was weakly acidic in summer and weakly alkaline in autumn, with overall high dissolved oxygen levels. The Guanmenzuizi Dam site exhibited the best water quality. According to the single-factor evaluation, water quality in autumn was better than in summer, with iron, manganese, and volatile phenol as the primary pollutants, followed by total nitrogen and permanganate index. Based on the Nemerow index, the river generally met China’s Class III surface water standards. Water quality showed a trend of initial improvement followed by deterioration along the river course. Among 100 sampling points, Unio douglasiae had the highest occurrence rate (76%), followed by Cipangopaludina cahayensis (66%). Other species occurred in ≤50% of samples, with Polypylis hemisphaerula being the rarest (3%). The average species occurrence rate increased from upstream to downstream. This study provides a data baseline for understanding the water environment of the Wutong River and supports research on biodiversity and ecological conservation. Full article
(This article belongs to the Special Issue Ecology and Conservation of Freshwater Bivalves)
Show Figures

Figure 1

15 pages, 1458 KB  
Article
Comparative Evaluation of Organic and Synthetic Fertilizers on Lettuce Yield and Metabolomic Profiles
by Ana García-Rández, Luciano Orden, Silvia Sánchez-Méndez, Francisco Javier Andreu-Rodríguez, José Antonio Sáez-Tovar, Encarnación Martínez-Sabater, María de los Ángeles Bustamante, María Dolores Pérez-Murcia and Raúl Moral
Horticulturae 2025, 11(12), 1421; https://doi.org/10.3390/horticulturae11121421 - 24 Nov 2025
Viewed by 638
Abstract
The excessive use of synthetic fertilizers in agriculture has raised environmental concerns, prompting the search for sustainable alternatives, such as organic amendments. This study evaluated the agronomic performance, nutrient use efficiency and metabolomic profiles of lettuce (Lactuca sativa L. var. baby leaf) [...] Read more.
The excessive use of synthetic fertilizers in agriculture has raised environmental concerns, prompting the search for sustainable alternatives, such as organic amendments. This study evaluated the agronomic performance, nutrient use efficiency and metabolomic profiles of lettuce (Lactuca sativa L. var. baby leaf) cultivated using synthetic and organic (olive mill waste-based compost pellets and sewage sludge) in a controlled pot experiment. The treatments included three doses of inorganic fertilizer and two organic fertilizers applied at equivalent nitrogen (N) rates, alongside an unfertilized control. Soil physicochemical properties, plant biomass, nutrient uptake and metabolite profiles, including amino acids, sugars and organic acids, were analyzed. Inorganic fertilization rapidly increased soil mineral N and phosphorus (P), enhancing leaf chlorophyll, canopy development and fresh biomass, and promoting the accumulation of reducing sugars (p < 0.05). However, it reduced amino acid and phenolic levels, indicating a metabolic shift towards growth at the expense of stress and antioxidant compounds. Sewage sludge increased soil organic matter and amino acid and sucrose accumulation, but also induced stress-related metabolites. Pelletized compost maintained an intermediate level of nutrient availability, preserved phenolic compounds and improved phosphorus use efficiency. This surpassed the results achieved with sewage sludge in terms of dry matter yield, despite limited short-term growth stimulation. These findings highlight the potential of integrating moderate mineral fertilization with pelletized compost to balance immediate productivity, nutrient efficiency and long-term soil and metabolic quality in lettuce cultivation. Full article
Show Figures

Figure 1

5 pages, 214 KB  
Proceeding Paper
Nutritional Value and Polyphenolic Compounds with Antioxidant Capacity in Plinia peruviana Berries from the Biodiversity of Emboscada, Paraguay
by Lourdes N. Wiszovaty, Silvia B. Caballero and Laura G. Mereles
Biol. Life Sci. Forum 2025, 50(1), 8; https://doi.org/10.3390/blsf2025050008 - 19 Nov 2025
Viewed by 319
Abstract
The Plinia genus comprises an underestimated group of fruit trees native to the neotropics of South and Central America. One such species is Plinia peruviana (Poir.) Govaerts, commonly known as ‘Yvapurú’, which belongs to the Myrtaceae family. Its fruits have high nutraceutical potential [...] Read more.
The Plinia genus comprises an underestimated group of fruit trees native to the neotropics of South and Central America. One such species is Plinia peruviana (Poir.) Govaerts, commonly known as ‘Yvapurú’, which belongs to the Myrtaceae family. Its fruits have high nutraceutical potential and are used in the food and medicinal industries. However, scientific information on its composition and bioactive properties remains limited at the regional level. This study aimed to determine the nutritional composition and antioxidant potential of wild P. peruviana fruits collected in a native forest in Emboscada, Paraguay. Official AOAC methods were employed to analyse the centesimal composition, and the vitamin C content, Total Phenolics Compounds (TPC), and total monomeric anthocyanin (TMA) content were determined in freeze-dried pulp and peel. The main components of whole fruits were total carbohydrates and dietary fibre (12.2 ± 0.7 g/100 g and 9.9 ± 0.8 g/100 g, respectively). The main minerals present were potassium (252 ± 9 mg/100 g), sodium (49 ± 3 mg/100 g), magnesium (46 ± 5 mg/100 g), calcium (21.5 ± 1 mg/100 g) and phosphorus (4.1 ± 0.9 mg/100 g). In terms of antioxidant potential, the peel exhibited higher concentrations of total phenolic compounds (730 ± 5 mg EAG/100 g) and anthocyanins (191 ± 15 mg C3G/100 g) than the pulp (611 ± 13 mg EAG/100 g). These results confirm that P. peruviana fruits have a valuable nutritional profile, providing significant amounts of dietary fibre and essential minerals, as well as high levels of bioactive compounds associated with antioxidant capacity. Using them as a functional food could help prevent chronic diseases and strengthen food security. The study also expands knowledge of Paraguay’s fruit biodiversity and supports the sustainable utilisation of underutilised native species. Full article
21 pages, 2639 KB  
Article
Defense and Adaptive Strategies of Crithmum maritimum L. Against Insect Herbivory: Evidence of Phenotypic Plasticity
by Liliya Naui, Yassine M’rabet, Bilel Halouani, Najet Chaabene, Faten Mezni, Abdelhamid Khaldi and Karim Hosni
Plants 2025, 14(21), 3403; https://doi.org/10.3390/plants14213403 - 6 Nov 2025
Viewed by 696
Abstract
Insect herbivory exerts strong selective pressure on plants, yet no study has documented its effects on the halophytic Apiaceae Crithmum maritimum L. (sea fennel). Here, we present the first evidence of natural insect attack on this species, based on five Tunisian coastal populations [...] Read more.
Insect herbivory exerts strong selective pressure on plants, yet no study has documented its effects on the halophytic Apiaceae Crithmum maritimum L. (sea fennel). Here, we present the first evidence of natural insect attack on this species, based on five Tunisian coastal populations distributed along a transparent bioclimatic gradient—from sub-humid to semi-arid—and exposed to different levels of herbivory. We implemented an integrative, multi-trait analytical design encompassing morphological, biochemical, mineral, and lipophilic datasets. Each dataset was explored through a suite of complementary multivariate analyses, including ANOVA coupled with Tukey’s HSD, principal component analysis (PCA), partial least squares discriminant analysis (PLS-DA) with variable-importance-in-projection (VIP) scores, correlation matrices, hierarchical clustering, and distance-based redundancy analysis (dbRDA). This integrative strategy provided a robust framework for disentangling the complex trait associations underlying two distinct defense syndromes. Populations from low-herbivory, sub-humid sites (Tabarka, Bizerte, Tunisia) showed higher levels of phenolics, tannins, antioxidants, sterols, PUFA, and structural robustness, indicating a tolerance strategy. Conversely, high-herbivory, semi-arid sites (Haouaria, Monastir, Tunisia) were marked by elevated apiol and terpene levels, sodium and phosphorus accumulation, and reproductive adjustments, reflecting a resistance strategy. The site Cap Negro exhibited a transitional expression, revealing intermediate phenotypic plasticity. These findings show that herbivory intensity and bioclimatic conditions jointly influence the defense syndromes of C. maritimum, emphasizing its remarkable phenotypic plasticity and providing the first ecological evidence of insect herbivory in sea fennel. Full article
(This article belongs to the Section Plant Protection and Biotic Interactions)
Show Figures

Figure 1

22 pages, 675 KB  
Article
Functional Potential of Sweet Cherry Cultivars Grown in New Zealand: Effects of Processing on Nutritional and Bioactive Properties
by Ali Rashidinejad, Fatema Ahmmed, Carolyn Lister and Halina Stoklosinski
Foods 2025, 14(21), 3749; https://doi.org/10.3390/foods14213749 - 31 Oct 2025
Viewed by 667
Abstract
While sweet cherries (Prunus avium L.) are globally recognized for their numerous potential health benefits, yet limited data exist on New Zealand-grown cultivars. This study examined the nutritional and bioactive profiles of six commercial cultivars—Kordia®, ‘Lapins’, Sweetheart®, Staccato [...] Read more.
While sweet cherries (Prunus avium L.) are globally recognized for their numerous potential health benefits, yet limited data exist on New Zealand-grown cultivars. This study examined the nutritional and bioactive profiles of six commercial cultivars—Kordia®, ‘Lapins’, Sweetheart®, Staccato®, ‘Bing’, and ‘Rainier’—in both fresh and processed (washed and packaged) forms. All cultivars contained notable levels of minerals, phenolics, and essential nutrients. Fresh cherries had higher mineral content (0.3–0.5 g/100 g) than processed ones (0.2–0.3 g/100 g). Carbohydrates ranged from 16.8 to 18.6 g/100 g in fresh and 15.1–17.5 g/100 g in processed cherries. Dietary fiber was slightly higher in processed samples (0.5–0.6 g/100 g) than fresh (0.2–0.5 g/100 g). Potassium, calcium, and phosphorus were more concentrated in fresh cherries. Major phenolic metabolites included neochlorogenic acid (up to 44.26 mg/100 g), (-)-epicatechin (7.89 mg/100 g), quercetin 3-rutinoside (4.34 mg/100 g), and cyanidin 3-rutinoside (80.42 mg/100 g). Processed ‘Lapins’ and ‘Bing’ retained high levels of neochlorogenic acid (40.98 and 44.26 mg/100 g), indicating minimal loss during processing. This study offers insights into the nutritional and bioactive composition of New Zealand-grown cherries, emphasizing their dietary value and health-promoting compounds such as polyphenols. Full article
Show Figures

Figure 1

23 pages, 1204 KB  
Article
Elucidating the Nutritional Profile and Biochemical Characterization of High-Energy Nutritional Bar Formulated with Sukkari Date Paste and Mixed Nuts
by Hassan Barakat, Hani A. Alfheeaid, Thamer Aljutaily, Raed Alayouni, Hend F. Alharbi and Woroud A. Alsanei
Foods 2025, 14(21), 3661; https://doi.org/10.3390/foods14213661 - 27 Oct 2025
Viewed by 1099
Abstract
Growing health consciousness drives demand for convenient, nutrient-dense snacks. This study evaluates five Sukkari date-mixed-nut bar formulations (DNB1–DNB5; date/nut ratios 40:60–80:20) through comprehensive biochemical and nutritional analyses. Macronutrient profiling showed that higher date ratios increased moisture and carbohydrates, whereas higher nut ratios enhanced [...] Read more.
Growing health consciousness drives demand for convenient, nutrient-dense snacks. This study evaluates five Sukkari date-mixed-nut bar formulations (DNB1–DNB5; date/nut ratios 40:60–80:20) through comprehensive biochemical and nutritional analyses. Macronutrient profiling showed that higher date ratios increased moisture and carbohydrates, whereas higher nut ratios enhanced protein, fat, and caloric density. Mineral assays revealed progressive increases in calcium, phosphorus, magnesium, and trace elements as date content decreased. The assessment of phytochemicals and antioxidants demonstrated that total phenolics, flavonoids, and radical-scavenging activities peaked in nut-rich bars, declining by ~50% in date-rich bars, underscoring nuts’ dominant antioxidant role. HPLC profiling identified catechol and vanillic acid as the major phenolics, with optimal release and retention at the 60:40 ratio (DNB3). Amino acid (AA) analysis confirmed positive correlations between nut content and total/essential AAs; DNB1–DNB2 achieved favorable essential-to-nonessential AA ratios (0.56–0.59) and higher protein quality indices. Fatty acid (FA) composition analysis revealed that oleic acid was identified as the major constituent across all formulations, coupled with optimal omega-6/omega-3 ratios. GC-MS analysis identified a total of 31 volatiles, mainly benzene derivatives and FA methyl esters. Results also revealed that notable variations attributed to different date/nut ratios significantly alter aroma profiles, with DNB3 yielding the most remarkable diversity of health-associated volatiles. Results from PCA and hierarchical clustering suggest that a single dominant dimension (PC1, 94.47% variance) governs compositional differences among the five date bar formulations, reflecting deliberate variation in ingredient proportions. The evidence suggests that DNB3’s (60:40 Sukkari date to mixed nut ratio) delivers balanced macro-nutrients, robust antioxidants, and diverse bioactives, positioning it as a health-promoting functional snack, aligning with its suitability for athletes, clinical nutrition applications, and health-conscious populations. These findings support the commercial development of optimized date-nut bars as nutrient-dense functional snacks, and future work should focus on scale-up production, shelf-life stability, and assessing in vivo bioavailability. Full article
Show Figures

Figure 1

25 pages, 6250 KB  
Article
Influence of Brewing Methods on the Bioactive and Mineral Composition of Coffee Beverages
by Monika Sijko-Szpańska, Iwona Mystkowska and Aleksandra Dmitrowicz
Molecules 2025, 30(20), 4080; https://doi.org/10.3390/molecules30204080 - 14 Oct 2025
Viewed by 1402
Abstract
The chemical profile of coffee depends on numerous factors, the complexity of which makes it difficult to clearly assess their influence. The aim of this study was to comprehensively evaluate the impact of selected coffee brewing methods (Espresso, Simple Infusion, French Press, V60), [...] Read more.
The chemical profile of coffee depends on numerous factors, the complexity of which makes it difficult to clearly assess their influence. The aim of this study was to comprehensively evaluate the impact of selected coffee brewing methods (Espresso, Simple Infusion, French Press, V60), taking into account the coffee species (Arabica, Robusta, Blends), the degree of roasting (light, medium, dark) and the geographical origin (single-origin and multi-origin) on the chemical composition of the brew. Eighteen different types of coffee, which differ in the aforementioned characteristics, were analyzed. The caffeine content (using high-performance liquid chromatography), the total phenolic content (TPC; using a spectrophotometric method), and selected minerals (calcium, iron, potassium, magnesium, sodium, phosphorus, zinc; using Inductively Coupled Plasma–Optical Emission Spectrometry) were analyzed. The analysis showed that both the brewing method and the species had a significant influence on the chemical profile of the resulting brews, while the degree of roasting and the origin showed no significant influence. The Espresso method showed the highest caffeine, TPC, potassium, magnesium, and phosphorus content, the V60 method—calcium, iron, and sodium, and the French Press and Simple Infusion methods showed intermediate values. Robusta coffee contained more caffeine and TPC, Arabica contained more magnesium, and Blend showed medium values for both species. The results obtained may have practical implications for both consumers and the coffee industry, supporting informed decision-making and the refinement of brewing methods. Full article
(This article belongs to the Special Issue Extraction and Analysis of Natural Products in Food—3rd Edition)
Show Figures

Figure 1

18 pages, 1717 KB  
Article
Native Phosphate Solubilizing Bacteria Mitigate the Effect of the Phytopathogen Sclerotium rolfsii on Peanut (Arachis hypogaea L.) Plants in a P-Deficient Environment
by Ana Laura Gentile, Maria Soledad Figueredo, Maria Soledad Anzuay, Maria Laura Tonelli, Adriana Fabra, Tania Taurian and Liliana Ludueña
Agronomy 2025, 15(10), 2278; https://doi.org/10.3390/agronomy15102278 - 26 Sep 2025
Viewed by 767
Abstract
Phosphorus (P) deficiency and soil-borne fungal diseases are major constraints to peanut (Arachis hypogaea L.) production. Phosphate-solubilizing bacteria (PSB) can improve P availability in the soil, thereby promoting plant growth. However, their potential to improve plant resistance against pathogens under P-limited conditions [...] Read more.
Phosphorus (P) deficiency and soil-borne fungal diseases are major constraints to peanut (Arachis hypogaea L.) production. Phosphate-solubilizing bacteria (PSB) can improve P availability in the soil, thereby promoting plant growth. However, their potential to improve plant resistance against pathogens under P-limited conditions remains poorly understood. In this study, we first evaluated the ability of two PSB strains, Enterobacter sp. J49 and Serratia sp. S119, to induce systemic resistance (ISR) in peanut plants against the fungal pathogen Sclerotium rolfsii. Results showed that strain S119 reduced disease severity by 40%, whereas strain J49 reduced both incidence (30%) and severity (40%). The protective effect produced by strain J49 was mediated by ISR, as evidenced by the early increase in phenolic compounds accumulation (48 h) and total peroxidase activity (72 h) in inoculated plants. Under P-deficient conditions, the J49 strain was also able to protect peanut plants against S. rolfsii, as demonstrated by a significant reduction in disease severity (55%). These findings highlight the potential of multifunctional bacterium Enterobacter sp. J49 to enhance sustainable peanut production by simultaneously improving P acquisition and strengthening plant defense mechanisms. Full article
Show Figures

Figure 1

18 pages, 4052 KB  
Article
Co-Formulation of Edamame-Based Beverage with Coconut Derivatives Enhances Nutritional Quality, Antioxidant Capacity, Flavor Profile, and Physical Stability
by Phatthranit Klinmalai, Khwanchat Promhuad, Atcharawan Srisa, Aiyaporn Sathawarintu and Nathdanai Harnkarnsujarit
Foods 2025, 14(19), 3321; https://doi.org/10.3390/foods14193321 - 25 Sep 2025
Viewed by 977
Abstract
Edamame beans, rich in protein, essential amino acids, and antioxidant compounds, are promising substrates for novel plant-based beverages. This study developed and comprehensively characterized edamame-based beverage formulations with enhanced nutritional and functional attributes. Six formulations were prepared at edamame–water ratios of 1:3 or [...] Read more.
Edamame beans, rich in protein, essential amino acids, and antioxidant compounds, are promising substrates for novel plant-based beverages. This study developed and comprehensively characterized edamame-based beverage formulations with enhanced nutritional and functional attributes. Six formulations were prepared at edamame–water ratios of 1:3 or 1:6, incorporating either coconut water or coconut milk. Physicochemical analyses included particle size distribution, viscosity, amino acid and mineral profiles, antioxidant activity, volatile compounds, and storage stability. Nutritional analysis revealed that the ECM (1:3) formulation exhibited the highest protein content (3.68 g/100 g), while all formulations delivered essential minerals, with calcium levels ranging from 19.25% to 27.64% of total mineral content. ECW formulations were particularly rich in potassium, calcium, and phosphorus, whereas the pure edamame-based beverage had higher concentrations of sulfur and magnesium. The E (1:3) formulation demonstrated the highest total amino acid concentration (24.85 mg/mL), with glutamic and aspartic acids predominating compounds known to contribute to umami taste and buffering capacity. Higher edamame concentrations also resulted in significantly greater total phenolic (16.25 mg GAE/100 mL) and flavonoid content (6.42 mg QE/100 mL), which correlated with improved DPPH radical scavenging activity. The addition of coconut milk significantly reduced particle size, improved emulsion stability, and increased viscosity, while also masking undesirable volatile compounds such as hexanal, commonly associated with the beany aroma of legumes. These findings highlight the synergistic potential of blending edamame with coconut-based ingredients to produce nutrient-dense, sensorially acceptable, and shelf-stable plant-based beverages. Full article
(This article belongs to the Section Dairy)
Show Figures

Figure 1

22 pages, 2377 KB  
Article
Optimising Olive Leaf Phenolic Compounds: Cultivar and Temporal Interactions
by Igor Pasković, Mario Franić, Theocharis Chatzistathis, Paula Pongrac, Paula Žurga, Valerija Majetić Germek, Igor Palčić, Smiljana Goreta Ban, Mariem Zakraoui, Šime Marcelić, Jure Mravlje, Joško Kaliterna and Marija Polić Pasković
Plants 2025, 14(17), 2789; https://doi.org/10.3390/plants14172789 - 5 Sep 2025
Cited by 3 | Viewed by 1676
Abstract
All olive (Olea europaea L.) plant tissues have a high phenolic content. However, the effects of the cultivar and sampling period on the tissue phenolic content remain almost unknown; in addition, the interactions between nutrient uptake and leaf phenol concentrations have not [...] Read more.
All olive (Olea europaea L.) plant tissues have a high phenolic content. However, the effects of the cultivar and sampling period on the tissue phenolic content remain almost unknown; in addition, the interactions between nutrient uptake and leaf phenol concentrations have not been clarified. This study sampled olive leaves to explore how the cultivar, sampling period, and their interaction affect leaf phenol and nutrient concentrations. Leaves were collected from six cultivars during three seasonal periods: harvest (October; SP1), dormancy (January; SP2), and pruning (March; SP3). Five were Istrian cultivars (‘Bova’, ‘Buža muška’, ‘Buža puntoža’, ‘Istarska bjelica’, ‘Rošinjola’), and one was the Italian cultivar ‘Leccino’. Phenolic profiles in olive leaves were correlated with potassium (K), phosphorus (P), and copper (Cu) concentrations. However, significant correlations between these nutrients and oleuropein, verbascoside, and total phenolic content (TPC) were determined only for ‘Rošinjola’. Oleuropein was the most abundant phenolic compound, while among genotypes, ‘Buža muška’ showed the highest oleuropein levels across all sampling periods, indicating its potential source of oleuropein in olive leaves. Seasonal variations in olive leaf phenolic compounds appear to be strongly influenced by phenological phase, nutrient dynamics, and weather conditions, as confirmed by multivariate analysis across sampling periods and cultivars. The findings emphasise the importance of selecting both an appropriate cultivar and sampling period to maximise the accumulation of olive leaf phenolic compounds. Nevertheless, long-term experimentation on cultivars with a high leaf phenolic potential, like ‘Buža muška’ and ‘Rošinjola’, is necessary in order to develop appropriate farming strategies for maximising phenolic compounds with human or plant health benefits. Full article
Show Figures

Figure 1

Back to TopTop