Sign in to use this feature.

Years

Between: -

Subjects

remove_circle_outline
remove_circle_outline
remove_circle_outline
remove_circle_outline
remove_circle_outline

Journals

Article Types

Countries / Regions

Search Results (16)

Search Parameters:
Keywords = pentafluorophenyl ester

Order results
Result details
Results per page
Select all
Export citation of selected articles as:
19 pages, 4060 KB  
Article
LC-MS/MS for Simultaneous Determination and Isomer Separation of 12 Glucocorticoid Residues in Multiple Aquatic Foods
by Siman Li, Feng Han, Dongmei Huang, Jingnan Zhang and Yunyu Tang
Foods 2026, 15(4), 652; https://doi.org/10.3390/foods15040652 - 11 Feb 2026
Viewed by 481
Abstract
Glucocorticoid (GC) residues present in aquatic products raise food safety concerns, as their chronic dietary intake may pose potential risks of endocrine and metabolic disruption. For the first time, a sensitive and reliable liquid chromatography–tandem mass spectrometry (LC-MS/MS) method was developed and validated [...] Read more.
Glucocorticoid (GC) residues present in aquatic products raise food safety concerns, as their chronic dietary intake may pose potential risks of endocrine and metabolic disruption. For the first time, a sensitive and reliable liquid chromatography–tandem mass spectrometry (LC-MS/MS) method was developed and validated herein for the simultaneous determination of 12 GCs residues, including critical isomeric pairs and acetate ester derivatives, in a variety of aquatic foods, employing deuterated isotopic internal standards. Key optimizations included using a pentafluorophenyl column for effective isomer separation, a synergistic extraction system for high recovery, and QuEChERS purification to mitigate matrix effects. The method exhibited excellent linearity (r2 > 0.996) and high accuracy (recoveries 97.3–99.3%), and the intra- and inter-day precision values were below 3% in five representative aquatic matrices, with a limit of detection (LOD) and a limit of quantification (LOQ) of 0.5 μg/kg and 0.75 μg/kg, respectively. Animal experiments confirmed the in vivo retention of acetate derivatives, justifying their inclusion in monitoring. Real sample analysis of 18 market samples revealed the presence of cortisone and hydrocortisone in 17 samples. This represents the first reported LC-MS/MS method that provides a sensitive, reliable tool for regulatory monitoring of GC residues in diverse aquatic products, thereby supporting food safety assurance. Full article
(This article belongs to the Special Issue Aquatic Products Processing and Preservation Technology)
Show Figures

Graphical abstract

5 pages, 192 KB  
Short Note
1,1,1,3,3,3-Hexafluoropropan-2-yl 2,3,5,6-tetrafluoro-4-((1,1,1,3,3,3-hexafluoropropan-2-yl)oxy)benzoate
by Sofia S. Kascheeva, Anastasiya V. Lastovka, Andrey S. Vinogradov and Dmitriy A. Parkhomenko
Molbank 2025, 2025(3), M2063; https://doi.org/10.3390/M2063 - 18 Sep 2025
Viewed by 910
Abstract
Acyl chloride alcoholysis is a fundamental and typically high-yielding method for ester synthesis. However, competitive side reactions can occur when the acyl chloride possesses multiple electrophilic sites and the alcohol is a strong nucleophile. We report an example of this phenomenon: the reaction [...] Read more.
Acyl chloride alcoholysis is a fundamental and typically high-yielding method for ester synthesis. However, competitive side reactions can occur when the acyl chloride possesses multiple electrophilic sites and the alcohol is a strong nucleophile. We report an example of this phenomenon: the reaction of pentafluorobenzoyl chloride with 1,1,1,3,3,3-hexafluoropropan-2-ol yields not only the expected ester but also a significant quantity of the 1,1,1,3,3,3-hexafluoropropan-2-yl 2,3,5,6-tetrafluoro-4-((1,1,1,3,3,3-hexafluoropropan-2-yl)oxy)benzoate. The formation of the latter results from an effective nucleophilic aromatic substitution (SNAr) at the para-fluorine position of the pentafluorophenyl ring by the hexafluoroisopropoxide anion. Full article
(This article belongs to the Collection Molecules from Side Reactions)
Show Figures

Scheme 1

15 pages, 1744 KB  
Article
New Conjugatable Platinum(II) Chlorins: Synthesis, Reactivity and Singlet Oxygen Generation
by José Almeida, Giampaolo Barone, Luís Cunha-Silva, Ana F. R. Cerqueira, Augusto C. Tomé, Maria Rangel and Ana M. G. Silva
Molecules 2025, 30(12), 2496; https://doi.org/10.3390/molecules30122496 - 6 Jun 2025
Cited by 1 | Viewed by 1038
Abstract
An efficient protocol was developed for the microwave-mediated metallation of 5-(4-methoxycarbonylphenyl)-10,15,20-tris(pentafluorophenyl)porphyrin (P1) with bis(benzonitrile)platinum dichloride salt and subsequent 1,3-dipolar cycloaddition of the resulting PtP1 with an azomethine ylide to give two isomeric metallochlorins: PtC1 (main isomer) and PtC3. The methyl [...] Read more.
An efficient protocol was developed for the microwave-mediated metallation of 5-(4-methoxycarbonylphenyl)-10,15,20-tris(pentafluorophenyl)porphyrin (P1) with bis(benzonitrile)platinum dichloride salt and subsequent 1,3-dipolar cycloaddition of the resulting PtP1 with an azomethine ylide to give two isomeric metallochlorins: PtC1 (main isomer) and PtC3. The methyl ester group of metalloporphyrin PtP1 and metallochlorin PtC1 was successfully hydrolysed in an alkaline medium to yield the corresponding derivatives PtP2 and PtC2 in moderate-to-good yields. As a proof of concept of the reactivity of the carboxy group in PtP2 and PtC2, these compounds were conjugated with a hydroxylated derivative of indomethacin, a known potent non-steroidal anti-inflammatory, obtaining the conjugates PtP2-Ind and PtC2-Ind. The obtained platinum(II) porphyrins and chlorins were characterized by UV-Vis, NMR spectroscopy and mass spectrometry. The structure of PtP1 was also confirmed by X-ray crystallography. Singlet oxygen generation studies were carried out, as well as theoretical calculations, which demonstrated that the prepared Pt(II) complexes can be considered potential photosensitizers for PDT. Full article
(This article belongs to the Section Colorants)
Show Figures

Graphical abstract

15 pages, 2443 KB  
Communication
A Convenient Oligonucleotide Conjugation via Tandem Staudinger Reaction and Amide Bond Formation at the Internucleotidic Phosphate Position
by Kristina V. Klabenkova, Polina V. Zhdanova, Ekaterina A. Burakova, Sergei N. Bizyaev, Alesya A. Fokina and Dmitry A. Stetsenko
Int. J. Mol. Sci. 2024, 25(4), 2007; https://doi.org/10.3390/ijms25042007 - 7 Feb 2024
Cited by 4 | Viewed by 2762
Abstract
Staudinger reaction on the solid phase between an electronodeficit organic azide, such as sulfonyl azide, and the phosphite triester formed upon phosphoramidite coupling is a convenient method for the chemical modification of oligonucleotides at the internucleotidic phosphate position. In this work, 4-carboxybenzenesulfonyl azide, [...] Read more.
Staudinger reaction on the solid phase between an electronodeficit organic azide, such as sulfonyl azide, and the phosphite triester formed upon phosphoramidite coupling is a convenient method for the chemical modification of oligonucleotides at the internucleotidic phosphate position. In this work, 4-carboxybenzenesulfonyl azide, either with a free carboxy group or in the form of an activated ester such as pentafluorophenyl, 4-nitrophenyl, or pentafluorobenzyl, was used to introduce a carboxylic acid function to the terminal or internal internucleotidic phosphate of an oligonucleotide via the Staudinger reaction. A subsequent treatment with excess primary alkyl amine followed by the usual work-up, after prior activation with a suitable peptide coupling agent such as a uronium salt/1-hydroxybenzotriazole in the case of a free carboxyl, afforded amide-linked oligonucleotide conjugates in good yields including multiple conjugations of up to the exhaustive modification at each phosphate position for a weakly activated pentafluorobenzyl ester, whereas more strongly activated and, thus, more reactive aryl esters provided only single conjugations at the 5′-end. The conjugates synthesized include those with di- and polyamines that introduce a positively charged side chain to potentially assist the intracellular delivery of the oligonucleotide. Full article
Show Figures

Figure 1

12 pages, 1971 KB  
Article
Post-Polymerization Modification of Fluoropolymers via UV Irradiation in the Presence of a Photoacid Generator
by Anastasia Nika, Christina Gkioka, Fotini Machairioti, Panayiotis Bilalis, Jiaxi Xu, Katarzyna Gajos, Kamil Awsiuk, Panagiota Petrou and Margarita Chatzichristidi
Polymers 2023, 15(3), 493; https://doi.org/10.3390/polym15030493 - 17 Jan 2023
Viewed by 3928
Abstract
Fluorinated polymers have unique wettability and protein adsorption properties. The site-specific alteration of these properties could expand their application to different research areas. In this work, a fluorinated homopolymer and two of its copolymers with 4-vinylbenzyl glycidyl ether (VBGE) are synthesized by free [...] Read more.
Fluorinated polymers have unique wettability and protein adsorption properties. The site-specific alteration of these properties could expand their application to different research areas. In this work, a fluorinated homopolymer and two of its copolymers with 4-vinylbenzyl glycidyl ether (VBGE) are synthesized by free radical polymerization. The produced polymers are then used to develop resist formulations by the addition of a photoacid generator. Films of these formulations are exposed to ultraviolet radiation through a binary mask and heated to create the pattern. It is found that the water contact angle values of the exposed films areas are reduced compared to those of the unexposed ones, with the exception of pentafluorophenyl methacrylate (PFMA) homopolymer film. This is attributed to the reaction of the epoxy groups creating x-links and producing hydroxyl groups and the cleavage of the pentafluorophenyl group from the ester group leading to carboxylic acid groups. Both modifications on the exposed areas are verified by FTIR spectroscopy and ToF-SIMS analysis. In addition, the biomolecules adsorption ability of the exposed area is increasing 10–15 times compared to the unexposed one for the PFMA homopolymer and the PFMA/VBGE 1:1 copolymer. Thus, the proposed polymers and patterning procedure could find application to spatially directed immobilization of biomolecules and/or cells onto a surface for both biosensing and tissue engineering purposes. Full article
(This article belongs to the Section Polymer Chemistry)
Show Figures

Graphical abstract

17 pages, 4918 KB  
Article
Plasmid-DNA Delivery by Covalently Functionalized PEI-SPIONs as a Potential ‘Magnetofection’ Agent
by René Stein, Felix Pfister, Bernhard Friedrich, Pascal-Raphael Blersch, Harald Unterweger, Anton Arkhypov, Andriy Mokhir, Mikhail Kolot, Christoph Alexiou and Rainer Tietze
Molecules 2022, 27(21), 7416; https://doi.org/10.3390/molecules27217416 - 1 Nov 2022
Cited by 9 | Viewed by 2953
Abstract
Nanoformulations for delivering nucleotides into cells as vaccinations as well as treatment of various diseases have recently gained great attention. Applying such formulations for a local treatment strategy, e.g., for cancer therapy, is still a challenge, for which improved delivery concepts are needed. [...] Read more.
Nanoformulations for delivering nucleotides into cells as vaccinations as well as treatment of various diseases have recently gained great attention. Applying such formulations for a local treatment strategy, e.g., for cancer therapy, is still a challenge, for which improved delivery concepts are needed. Hence, this work focuses on the synthesis of superparamagnetic iron oxide nanoparticles (SPIONs) for a prospective “magnetofection” application. By functionalizing SPIONs with an active catechol ester (CafPFP), polyethyleneimine (PEI) was covalently bound to their surface while preserving the desired nanosized particle properties with a hydrodynamic size of 86 nm. When complexed with plasmid-DNA (pDNA) up to a weight ratio of 2.5% pDNA/Fe, no significant changes in particle properties were observed, while 95% of the added pDNA was strongly bound to the SPION surface. The transfection in A375-M cells for 48 h with low amounts (10 ng) of pDNA, which carried a green fluorescent protein (GFP) sequence, resulted in a transfection efficiency of 3.5%. This value was found to be almost 3× higher compared to Lipofectamine (1.2%) for such low pDNA amounts. The pDNA-SPION system did not show cytotoxic effects on cells for the tested particle concentrations and incubation times. Through the possibility of additional covalent functionalization of the SPION surface as well as the PEI layer, Caf-PEI-SPIONs might be a promising candidate as a magnetofection agent in future. Full article
(This article belongs to the Special Issue Advanced Research in Magnetic Nanoparticles)
Show Figures

Figure 1

16 pages, 2532 KB  
Article
Copolymers Derived from Two Active Esters: Synthesis, Characterization, Thermal Properties, and Reactivity in Post-Modification
by Thi Phuong Thu Nguyen, Nadine Barroca-Aubry, Caroline Aymes-Chodur, Diana Dragoe, Gaëlle Pembouong and Philippe Roger
Molecules 2022, 27(20), 6827; https://doi.org/10.3390/molecules27206827 - 12 Oct 2022
Viewed by 3121
Abstract
Copolymers with two distinguished reactive repeating units are of great interest, as such copolymers might open the possibility of obtaining selective and/or consequent copolymers with different chemical structures and properties. In the present work, copolymers based on two active esters (pentafluorophenyl methacrylate and [...] Read more.
Copolymers with two distinguished reactive repeating units are of great interest, as such copolymers might open the possibility of obtaining selective and/or consequent copolymers with different chemical structures and properties. In the present work, copolymers based on two active esters (pentafluorophenyl methacrylate and p-nitrophenyl methacrylate) with varied compositions were synthesized by Cu(0)-mediated reversible deactivation radical polymerization. This polymerization technique allows the preparation of copolymers with high to quantitative conversion of both comonomers, with moderate control over dispersity (Đ = 1.3–1.7). Additionally, by in-depth study on the composition of each copolymer by various techniques including elemental analysis, NMR, FT-IR, and XPS, it was possible to confirm the coherence between expected and obtained composition. Thermal analyses by DSC and TGA were implemented to investigate the relation between copolymers’ composition and their thermal properties. Finally, an evaluation of the difference in reactivity of the two monomer moieties was confirmed by post-modification of copolymers with a primary amine and a primary alcohol as the model. Full article
(This article belongs to the Section Macromolecular Chemistry)
Show Figures

Figure 1

10 pages, 2752 KB  
Article
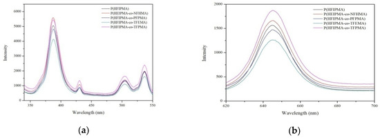
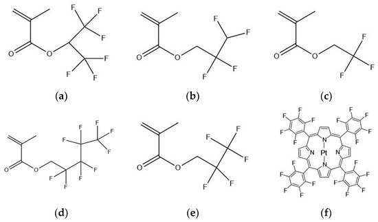
Characterization of Response Frequency for the Pressure-Sensitive Paint Based on Fluorine-Containing Polymer Matrixes Using Oscillating Sound Wave Technique
by Yun Shao, Liusheng Chen, Qi Liao, Heng Jiang, Zhitian Liu, Xigao Jin and Limin Gao
Sensors 2020, 20(21), 6310; https://doi.org/10.3390/s20216310 - 5 Nov 2020
Cited by 2 | Viewed by 2564
Abstract
Five kinds of new homo-polymer and copolymers of methacrylate containing a fluorine ester group were synthesized and used for the binder of pressure-sensitive paint (PSP)to ensure the good compatibility between luminophore (Pt(II) meso-tetra (pentafluorophenyl) porphine (PtTFPP)) and polymer binder. In the work, we [...] Read more.
Five kinds of new homo-polymer and copolymers of methacrylate containing a fluorine ester group were synthesized and used for the binder of pressure-sensitive paint (PSP)to ensure the good compatibility between luminophore (Pt(II) meso-tetra (pentafluorophenyl) porphine (PtTFPP)) and polymer binder. In the work, we were concerned with how the structure of thesepolymers containing fluorine, especially the various ester group structure, affects the response frequency of PSP using oscillating sound wave technique. The results showed that the pressure sensitivities (Sp) of these PSP samples containing different polymers, exhibit some difference. The length of ester chain on the methacrylatepolymer affects the response frequency of PSP sensor layer composed of the polymer. The longer the chain length of the ester group, the higher the response frequency of the PSP sensor layer quenching by oxygen. Full article
(This article belongs to the Section Sensor Materials)
Show Figures

Figure 1

17 pages, 674 KB  
Article
LC–MS/MS Analysis of Choline Compounds in Japanese-Cultivated Vegetables and Fruits
by Wenhao Wang, Shohei Yamaguchi, Masahiro Koyama, Su Tian, Aya Ino, Koji Miyatake and Kozo Nakamura
Foods 2020, 9(8), 1029; https://doi.org/10.3390/foods9081029 - 31 Jul 2020
Cited by 19 | Viewed by 7167 | Correction
Abstract
Choline is an essential nutrient and choline esters are potential functional food ingredients. We aimed to analyze the choline compound content in 19 cultivated fruits and vegetables and identify those with high acetylcholine content. We utilized liquid chromatography with tandem mass spectrometry to [...] Read more.
Choline is an essential nutrient and choline esters are potential functional food ingredients. We aimed to analyze the choline compound content in 19 cultivated fruits and vegetables and identify those with high acetylcholine content. We utilized liquid chromatography with tandem mass spectrometry to quantify choline compounds according to the standard addition method. Choline compounds were extracted from lyophilized fruit/vegetable powders and passed through a weakly acidic cation exchange column, resulting in a concentrated solution of choline compounds. The compounds were separated on a pentafluorophenyl column and then analyzed using positive mode electrospray ionization. Results showed that acetylcholine and choline were the primary choline compounds in all agricultural products; propionylcholine and butyrylcholine were minor compounds in 17 and 12 agricultural products, respectively. The acetylcholine concentration was 2900-fold higher in eggplants (6.12 mg/100 g fresh weight [FW]) than in other agricultural products (average: 2.11 × 10−3 mg/100 g FW). The concentration of acetylcholine differed only 2-fold between eggplant cultivars with the highest (′Higomurasaki′: 5.53 mg/100 g FW) and lowest (′Onaga nasu′: 2.79 mg/100 g FW) concentrations. The half-life of acetylcholine in eggplants was approximately 16 days, which is longer the shelf life of eggplants. Thus, eggplants can be a good source of acetylcholine. Full article
(This article belongs to the Special Issue Solanaceous Vegetables and Human Health)
Show Figures

Figure 1

5 pages, 334 KB  
Short Note
Sodium N-(3,5-Bis(ethoxycarbonyl)-2,6-dimethyl-1,4-dihydropyridine-4-carbonyl)-l-methioninate
by Egils Bisenieks, Janis Poikans, Aiva Plotniece, Eiva Bernotiene, Wei-Bor Tsai and Arkadij Sobolev
Molbank 2020, 2020(3), M1148; https://doi.org/10.3390/M1148 - 14 Jul 2020
Viewed by 3801
Abstract
The development of the methods for amide bond formation is important for various uses in the laboratory and industrial applications. The compounds combined in their structures 1,4-dihydroisonicotinic acids and amino acids linked with an amide bond can be considered as “privileged structures” due [...] Read more.
The development of the methods for amide bond formation is important for various uses in the laboratory and industrial applications. The compounds combined in their structures 1,4-dihydroisonicotinic acids and amino acids linked with an amide bond can be considered as “privileged structures” due to their broad range of biological activities. Herein, the formation of amide bond between 1,4-dihydroisonicotinic acid and l-methionine is reported. The coupling of l-methionine with pentafluorophenyl active ester of 1,4-dihydroisonicotinic acid appears to be a convenient and effective method for amide bond formation. Sodium N-(3,5-bis(ethoxycarbonyl)-2,6-dimethyl-1,4-dihydropyridine-4-carbonyl)-l-methioninate has been successfully synthesized via a procedure where the key step is amide formation from 5-diethyl 4-(perfluorophenyl) 2,6-dimethyl-1,4-dihydropyridine-3,4,5-tricarboxylate and l-methionine. Sodium salt formation was performed to improve physicochemical properties, such as solubility of the l-methionine-derived 1,4-dihydroisonicotinamide. The obtained target compound was fully characterized by UV, IR, 1H NMR, 13C NMR, MS, and microanalysis. Full article
(This article belongs to the Collection Heterocycle Reactions)
Show Figures

Graphical abstract

16 pages, 8096 KB  
Article
Chiral Chalcogen Bond Donors Based on the 4,4′-Bipyridine Scaffold
by Robin Weiss, Emmanuel Aubert, Paola Peluso, Sergio Cossu, Patrick Pale and Victor Mamane
Molecules 2019, 24(24), 4484; https://doi.org/10.3390/molecules24244484 - 6 Dec 2019
Cited by 39 | Viewed by 6758
Abstract
Organocatalysis through chalcogen bonding (ChB) is in its infancy, as its proof-of-principle was only reported in 2016. Herein, we report the design and synthesis of new chiral ChB donors, as well as the catalytic activity evaluation of the 5,5′-dibromo-2,2′-dichloro-3-((perfluorophenyl)selanyl)-4,4′-bipyridine as organocatalyst. The latter [...] Read more.
Organocatalysis through chalcogen bonding (ChB) is in its infancy, as its proof-of-principle was only reported in 2016. Herein, we report the design and synthesis of new chiral ChB donors, as well as the catalytic activity evaluation of the 5,5′-dibromo-2,2′-dichloro-3-((perfluorophenyl)selanyl)-4,4′-bipyridine as organocatalyst. The latter is based on the use of two electron-withdrawing groups, a pentafluorophenyl ring and a tetrahalo-4,4′-bipyridine skeleton, as substituents at the selenium center. Atropisomery of the tetrahalo-4,4′-bipyridine motif provides a chiral environment to these new ChB donors. Their synthesis was achieved through either selective lithium exchange and trapping or a site-selective copper-mediated reaction. Pure enantiomers of the 3-selanyl-4,4′-bipyridine were obtained by high performance liquid chromatography enantioseparation on specific chiral stationary phase, and their absolute configuration was assigned by comparison of the measured and calculated electronic circular dichroism spectra. The capability of the selenium compound to participate in σ-hole-based interactions in solution was studied by 19F NMR. Even if no asymmetric induction has been observed so far, the new selenium motif proved to be catalytically active in the reduction of 2-phenylquinoline by Hantzsch ester. Full article
(This article belongs to the Special Issue Bipyridines: Synthesis, Functionalization and Applications)
Show Figures

Figure 1

11 pages, 2710 KB  
Article
Design and Synthesis of a Cyclic Double-Grafted Polymer Using Active Ester Chemistry and Click Chemistry via A “Grafting onto” Method
by Meng Liu, Lu Yin, Shuangshuang Zhang, Zhengbiao Zhang, Wei Zhang and Xiulin Zhu
Polymers 2019, 11(2), 240; https://doi.org/10.3390/polym11020240 - 1 Feb 2019
Cited by 9 | Viewed by 5176
Abstract
Combing active ester chemistry and click chemistry, a cyclic double-grafted polymer was successfully demonstrated via a “grafting onto” method. Using active ester chemistry as post-functionalized modification approach, cyclic backbone (c-P2) was synthesized by reacting propargyl amine with cyclic precursor (poly(pentafluorophenyl 4-vinylbenzoate), [...] Read more.
Combing active ester chemistry and click chemistry, a cyclic double-grafted polymer was successfully demonstrated via a “grafting onto” method. Using active ester chemistry as post-functionalized modification approach, cyclic backbone (c-P2) was synthesized by reacting propargyl amine with cyclic precursor (poly(pentafluorophenyl 4-vinylbenzoate), c-PPF4VB6.5k). Hydroxyl-containing polymer double-chain (l-PS-PhOH) was prepared by reacting azide-functionalized polystyrene (l-PSN3) with 3,5-bis(propynyloxy)phenyl methanol, and further modified by azide group to generate azide-containing polymer double-chain (l-PS-PhN3). The cyclic backbone (c-P2) was then coupled with azide-containing polymer double-chain (l-PS-PhN3) via CuAAC reaction to construct a novel cyclic double-grafted polymer (c-P2-g-Ph-PS). This research realized diversity and complexity of side chains on cyclic-grafted polymers, and this cyclic double-grafted polymer (c-P2-g-Ph-PS) still exhibited narrow molecular weight distribution (Mw/Mn < 1.10). Full article
(This article belongs to the Collection Design and Synthesis of Polymers)
Show Figures

Graphical abstract

10 pages, 3205 KB  
Communication
Pd-Catalyzed Suzuki-Miyaura Cross-Coupling of Pentafluorophenyl Esters
by Jonathan Buchspies, Daniel J. Pyle, Huixin He and Michal Szostak
Molecules 2018, 23(12), 3134; https://doi.org/10.3390/molecules23123134 - 29 Nov 2018
Cited by 21 | Viewed by 8789
Abstract
Although the palladium-catalyzed Suzuki-Miyaura cross-coupling of aryl esters has received significant attention, there is a lack of methods that utilize cheap and readily accessible Pd-phosphane catalysts, and can be routinely carried out with high cross-coupling selectivity. Herein, we report the first general method [...] Read more.
Although the palladium-catalyzed Suzuki-Miyaura cross-coupling of aryl esters has received significant attention, there is a lack of methods that utilize cheap and readily accessible Pd-phosphane catalysts, and can be routinely carried out with high cross-coupling selectivity. Herein, we report the first general method for the cross-coupling of pentafluorophenyl esters (pentafluorophenyl = pfp) by selective C–O acyl cleavage. The reaction proceeds efficiently using Pd(0)/phosphane catalyst systems. The unique characteristics of pentafluorophenyl esters are reflected in the fully selective cross-coupling vs. phenolic esters. Of broad synthetic interest, this report establishes pentafluorophenyl esters as new, highly reactive, bench-stable, economical, ester-based, electrophilic acylative reagents via acyl-metal intermediates. Mechanistic studies strongly support a unified reactivity scale of acyl electrophiles by C(O)–X (X = N, O) activation. The reactivity of pfp esters can be correlated with barriers to isomerization around the C(acyl)–O bond. Full article
(This article belongs to the Special Issue Amide Bond Activation)
Show Figures

Graphical abstract

12 pages, 1842 KB  
Communication
Synthesis of 5′-GalNAc-Conjugated Oligonucleotides: A Comparison of Solid and Solution-Phase Conjugation Strategies
by Isaiah Cedillo, Dana Chreng, Elyse Engle, Lijian Chen, Andrew K. McPherson and Andrew A. Rodriguez
Molecules 2017, 22(8), 1356; https://doi.org/10.3390/molecules22081356 - 15 Aug 2017
Cited by 30 | Viewed by 15241
Abstract
Antisense oligonucleotides (ASOs) conjugated to triantennary N-acetyl galactosamine (GalNAc) ligands represent an emerging approach to antisense therapy. Our current generation of GalNAc-ASO conjugates link the GalNAc to the 5′-terminus of the ASO. The conjugation reaction can be accomplished using solution-phase or solid-phase [...] Read more.
Antisense oligonucleotides (ASOs) conjugated to triantennary N-acetyl galactosamine (GalNAc) ligands represent an emerging approach to antisense therapy. Our current generation of GalNAc-ASO conjugates link the GalNAc to the 5′-terminus of the ASO. The conjugation reaction can be accomplished using solution-phase or solid-phase techniques. Here we show a direct comparison of a solution-phase and a solid-phase conjugation strategy. The solution-phase approach, using amine-pentafluorophenyl (PFP) ester coupling, is higher yielding and gives material of slightly higher purity, but requires several additional unit operations and longer production time. The solid-phase approach, using a protected GalNAc ligand phosphoramidite, is more expedient, but results in lower yield and purity. Both strategies efficiently deliver conjugated material in excellent purity. Full article
(This article belongs to the Special Issue Synthesis and Applications of Oligonucleotide Conjugates)
Show Figures

Figure 1

15 pages, 2813 KB  
Article
Conjugation of Lectin to Poly(ε-caprolactone)-block-glycopolymer Micelles for In Vitro Intravesical Drug Delivery
by Ning Ning Li, Xiao Yan Cai, Jiu Cun Chen, Xue Feng Hu and Li Qun Xu
Polymers 2016, 8(11), 379; https://doi.org/10.3390/polym8110379 - 26 Oct 2016
Cited by 17 | Viewed by 6768
Abstract
Amphiphilic poly(ε-caprolactone)-block-poly[2-(α-d-mannopyranosyloxy) ethyl acrylamide] (PCL-b-PManEA) block copolymers were synthesized via a combination of ring-opening polymerization (ROP), reversible addition-fragmentation chain transfer (RAFT) polymerization and reactive ester-amine reaction. The PCL-b-PManEA block copolymers can self-assemble into micelles and [...] Read more.
Amphiphilic poly(ε-caprolactone)-block-poly[2-(α-d-mannopyranosyloxy) ethyl acrylamide] (PCL-b-PManEA) block copolymers were synthesized via a combination of ring-opening polymerization (ROP), reversible addition-fragmentation chain transfer (RAFT) polymerization and reactive ester-amine reaction. The PCL-b-PManEA block copolymers can self-assemble into micelles and encapsulate anticancer drug doxorubicin (DOX). To enhance mucoadhesive property of the resulting DOX-loaded PCL-b-PManEA micelles, Concanavalin A (ConA) lectin was further conjugated with the micelles. Turbidimetric assay using mucin shows that the DOX-loaded PCL-b-PManEA@ConA micelles are mucoadhesive. DOX release from the DOX-loaded PCL-b-PManEA@ConA micelles in artificial urine at 37 °C exhibits an initial burst release, followed by a sustained and slow release over three days. Confocal laser scanning microscope (CLSM) images indicate that the DOX-loaded PCL-b-PManEA@ConA micelles can be effectively internalized by UMUC3 human urothelial carcinoma cells. The DOX-loaded PCL-b-PManEA@ConA micelles exhibit significant cytotoxicity to these cells. Full article
Show Figures

Figure 1

Back to TopTop