LC-MS/MS for Simultaneous Determination and Isomer Separation of 12 Glucocorticoid Residues in Multiple Aquatic Foods
Abstract
1. Introduction
2. Materials and Methods
2.1. Experimental Materials
2.2. Sample Preparation
2.3. LC-MS/MS Analysis
2.4. Method Validation
2.5. Animals
2.6. Drug Administration and Sampling
2.7. Applicability of the Established Analytical Method
3. Results and Discussion
3.1. Optimization of LC-MS/MS Conditions
3.2. Optimization of Extraction
3.3. Optimization of Purification
3.4. Optimization of Evaporation
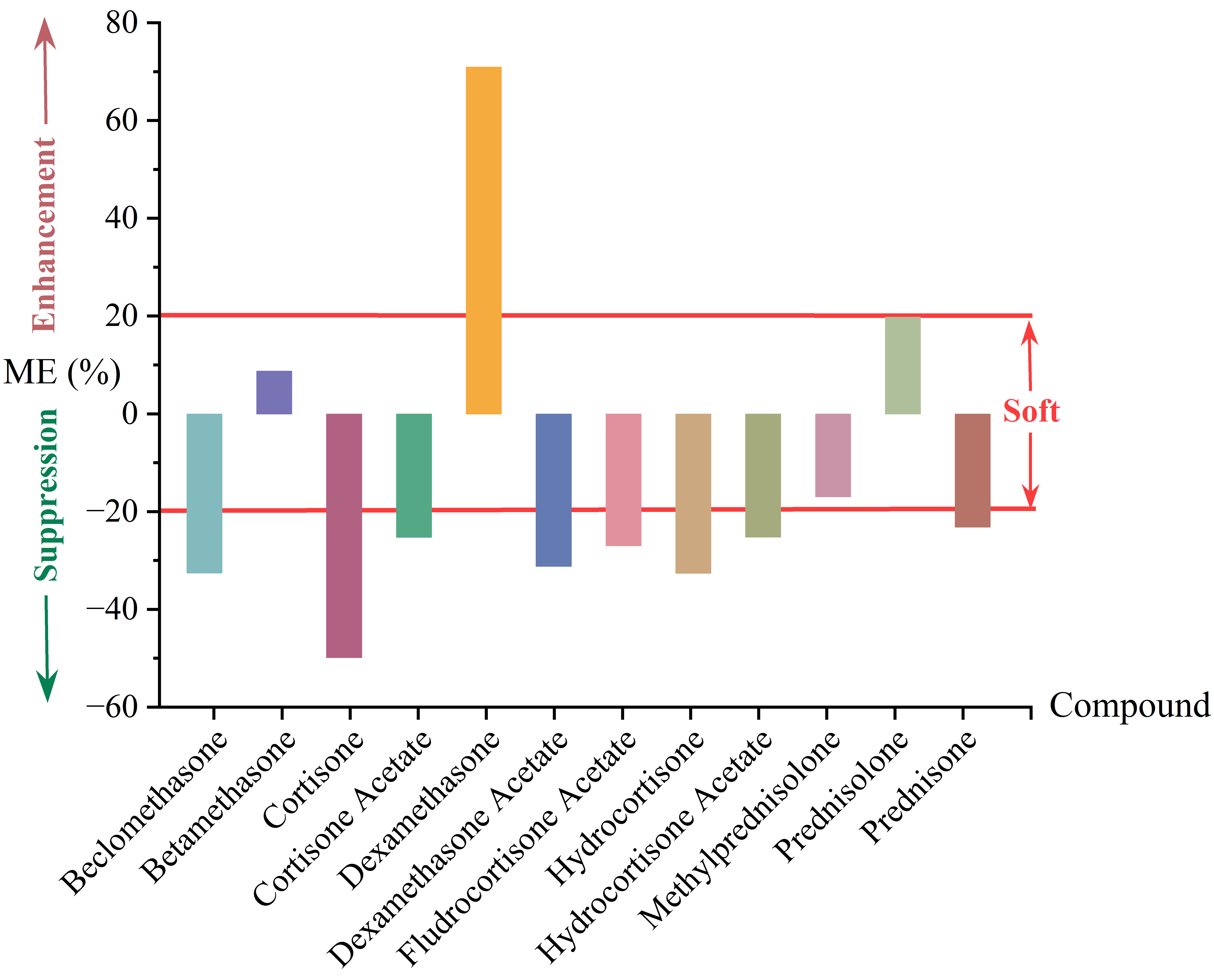
3.5. Matrix Effect
3.6. Analysis of Acetate Ester Prodrugs
3.7. Method Validation
3.7.1. Linearity, LOD and LOQ
3.7.2. Accuracy and Precision of the Method
3.8. Real Sample Analysis
4. Conclusions
Supplementary Materials
Author Contributions
Funding
Institutional Review Board Statement
Informed Consent Statement
Data Availability Statement
Conflicts of Interest
References
- Mehl, A.; Hudel, L.; Bücker, M.; Morlock, G.E. Validated screening method for 81 multiclass veterinary drug residues in food via online-coupling high-throughput planar solid-phase extraction to high-performance liquid chromatography-orbitrap tandem mass spectrometry. J. Agric. Food Chem. 2022, 70, 10886–10898. [Google Scholar] [CrossRef]
- Ten Cate, D.; Gerritsen, S.M.; Wientjes, M.H.M.; Popa, C.; den Broeder, A.A.; van Herwaarden, N. Prospective cohort study on course and prediction of pain after intramuscular glucocorticoids in patients with inflammatory arthritis or osteoarthritis. Ann. Rheum. Dis. 2025, 84, 1662–1663. [Google Scholar] [CrossRef]
- Cheng, T.; Chen, J.D.; Dong, X.H.; Yang, Q.H.; Liu, H.Y.; Zhang, S.; Xie, S.W.; Zhang, W.; Deng, J.M.; Tan, B.P.; et al. Protective effect of steroidal saponins on heat stress in the liver of largemouth bass (Micropterus salmoides) revealed by metabolomic analysis. Aquac. Rep. 2025, 33, 101875. [Google Scholar] [CrossRef]
- Divari, S.; Cuccato, M.; Fanelli, A.; Cannizzo, F.T. Development of a droplet digital PCR assay to detect illicit glucocorticoid administration in bovine. PLoS ONE 2022, 17, e0271613. [Google Scholar] [CrossRef] [PubMed]
- Yang, Y.H.; Xue, Z.Z.; Meng, R.; Wu, Z.; Li, Z.J.; Zhang, W.; Ge, S.H. Determination of eight kinds of glucocorticoids residues in chicken muscle with on-line clean-up combined HPLC-MS/MS. Acta Chromatogr. 2022, 34, 267–275. [Google Scholar] [CrossRef]
- Hamilton, C.M.; Winter, M.J.; Margiotta-Casaluci, L.; Owen, S.F.; Tyler, C.R. Are synthetic glucocorticoids in the aquatic environment a risk to fish? Environ. Int. 2022, 162, 107163. [Google Scholar] [CrossRef]
- Cole, A.R.; Brooks, B.W. Global occurrence of synthetic glucocorticoids and glucocorticoid receptor agonistic activity, and aquatic hazards in effluent discharges and freshwater systems. Environ. Pollut. 2023, 329, 121638. [Google Scholar] [CrossRef]
- Li, N.; Zheng, J.; Yu, L.D.; Tong, Y.J.; Gong, X.Y.; Hou, Y.; Chen, G.S.; Xu, J.Q.; Zhu, F.; Ouyang, G.F. Green, mildly synthesized bismuth-based MOF for extraction of polar glucocorticoids in environmental water. J. Hazard. Mater. 2024, 461, 132477. [Google Scholar] [CrossRef]
- Pan, X.D.; Han, J.L.; Xu, X.M. Quantification of 37 glucocorticoids in chicken muscle by UHPLC-Q-Orbitrap-MS with parallel reaction monitoring. Anal. Methods 2023, 15, 3967–3974. [Google Scholar] [CrossRef]
- Silva, M.A.L.E.; da Silva, R.L.; Teixeira, T.P.; Rocha, T.L.; Marcon, M. Glucocorticoids as emerging pollutants in surface water: A systematic review on their global occurrence and distribution. Environ. Res. 2025, 273, 121280. [Google Scholar] [CrossRef]
- LaLone, C.A.; Villeneuve, D.L.; Olmstead, A.W.; Medlock, E.K.; Kahl, M.D.; Jensen, K.M.; Durhan, E.J.; Makynen, E.A.; Blanksma, C.A.; Cavallin, J.E.; et al. Effects of a glucocorticoid receptor agonist, dexamethasone, on fathead minnow reproduction, growth, and development. Environ. Toxicol. Chem. 2012, 31, 611–622. [Google Scholar] [CrossRef] [PubMed]
- Wang, C.C.; Li, M.; Gui, W.Y.; Shi, H.C.; Wang, P.; Chen, J.R.; Fent, K.; Zhang, K.; Dai, J.Y.; Li, X.; et al. Prednisolone accelerates embryonic development of zebrafish via glucocorticoid receptor signaling at low concentrations. Environ. Sci. Technol. 2023, 57, 15794–15805. [Google Scholar] [CrossRef] [PubMed]
- Guo, C.; Wu, C.L.; Zhang, Z.H.; Tan, S.J.; Chen, S.M.; Chen, G. Simultaneous determination of 58 glucocorticoid residues in milk by ultra-high performance liquid chromatography-tandem mass spectrometry. J. Chromatogr. A 2024, 1719, 464734. [Google Scholar] [CrossRef]
- Yang, L.Q.; Sun, L.; Fan, L.X.; He, L.N.; Ma, J.M. A method for the simultaneous determination of 68 veterinary drug residues in foods for special medical purposes using ultra-high-performance liquid chromatography-triple-time-of-flight mass spectrometry. J. Food Compos. Anal. 2025, 145, 107806. [Google Scholar] [CrossRef]
- Wang, D.; Jiang, Q.; Li, P.R.; Yu, C.N.; Yuan, R.X.; Dong, Z.F.; Meng, T.T.; Hu, F.Q.; Wang, J.W.; Yuan, H. Orally administrated precision nanomedicine for restoring the intestinal barrier and alleviating inflammation in treatment of inflammatory bowel disease. ACS Appl. Mater. Interfaces 2025, 17, 10986–11001. [Google Scholar] [CrossRef]
- Tang, Y.Y.; Yang, G.X.; Ma, Y.Q.; Huang, D.M.; Zhai, W.L.; Fodjo, E.K.; Zhang, X.; Li, S.M.; Zhang, W.Y.; Shi, Y.F.; et al. Development, validation, and implementation of an ultratrace analysis method for the determination of moenomycin A in aquatic animal products. Anal. Bioanal. Chem. 2024, 416, 745–757. [Google Scholar] [CrossRef]
- Yang, G.X.; Tang, Y.Y.; Liu, X.X.; Wang, L.L.; Qin, L.X.; Li, D.; Shen, X.S.; Kong, C.; Zhai, W.L.; Fodjo, E.K.; et al. Determination of free glycidol and total free monochloropropanediol in fish and krill oil with simple aqueous derivatization and high-performance liquid chromatography-tandem mass spectrometry. Foods 2024, 13, 2340. [Google Scholar] [CrossRef] [PubMed]
- Wu, X.L.; Ding, Z.M. Evaluation of matrix effects for pesticide residue analysis by QuEChERs coupled with UHPLC-MS/MS in complex herbal matrix. Food Chem. 2023, 405, 134755. [Google Scholar] [CrossRef]
- Chen, R.; Chen, L.; Du, M.Y.; Guo, Q.Z.; Zhong, C.P.; Zhang, J.; Yu, X.Q. High-throughput determination of multiclass chemical hazards in poultry muscles and eggs using UPLC-MS/MS. Foods 2025, 14, 1660. [Google Scholar] [CrossRef]
- GB/T 30891; Practice of Sampling Plans for Aquatic Products. General Administration of Quality Supervision, Inspection and Quarantine of the People’s Republic of China. Standardization Administration of the People’s Republic of China: Beijing, China, 2014.
- Tang, Y.Y.; Yang, G.X.; Fodjo, E.K.; Wang, S.Y.; Zhai, W.L.; Si, W.S.; Xia, L.; Kong, C. Improved LC/MS/MS Quantification Using Dual Deuterated Isomers as the Surrogates: A Case Analysis of Enrofloxacin Residue in Aquatic Products. Foods 2023, 12, 224. [Google Scholar] [CrossRef]
- Tang, Y.Y.; Yang, G.X.; Liu, X.X.; Qin, L.X.; Zhai, W.L.; Fodjo, E.K.; Shen, X.S.; Wang, Y.; Lou, X.Y.; Kong, C. Rapid sample enrichment, novel derivatization, and high sensitivity for determination of 3-chloropropane-1,2-diol in soy sauce via high-performance liquid chromatography-tandem mass spectrometry. J. Agric. Food Chem. 2023, 71, 15388–15397. [Google Scholar] [CrossRef] [PubMed]
- Yan, Y.H.; Ai, L.F.; Zhang, H.C.; Kang, W.J.; Zhang, Y.; Lian, K.Q. Development of an automated and high-throughput analytical platform for screening 39 glucocorticoids in animal-derived food for doping control. Microchem. J. 2021, 165, 106142. [Google Scholar] [CrossRef]
- Shammout, M.J.A.; Basci, N.E. Validated ultra performance liquid chromatography-tandem mass spectrometric method for determination of betamethasone or dexamethasone in pharmaceuticals. Curr. Pharm. Anal. 2018, 14, 68–75. [Google Scholar] [CrossRef]
- Croes, K.; Goeyens, L.; Baeyens, W.; Van Loco, J.; Impens, S. Optimization and validation of a liquid chromatography tandem mass spectrometry (LC/MSₙ) method for analysis of corticosteroids in bovine liver: Evaluation of Keyhole Limpet β-glucuronidase/sulfatase enzyme extract. J. Chromatogr. B-Anal. Technol. Biomed. Life Sci. 2009, 877, 635–644. [Google Scholar] [CrossRef]
- Song, J.G.; Cao, C.; Li, J.W.; Xu, Y.J.; Liu, Y. Development and validation of a QuEChERS-LC-MS/MS method for the analysis of phenolic compounds in rapeseed oil. J. Agric. Food Chem. 2019, 67, 4105–4112. [Google Scholar] [CrossRef]
- Busato, M.A.D.; Bondan, A.P.; Bastiani, M.F.; Lizot, L.F.; Hahn, R.Z.; Antunes, M.V.; Linden, R. Determination of meropenem in capillary plasma microsamples using LC-MS/MS. Bioanalysis 2024, 16, 443–452. [Google Scholar] [CrossRef]
- Miossec, C.; Mille, T.; Lanceleur, L.; Monperrus, M. Simultaneous determination of 42 pharmaceuticals in seafood samples by solvent extraction coupled to liquid chromatography-tandem mass spectrometry. Food Chem. 2020, 322, 126765. [Google Scholar] [CrossRef]
- Ochi, N. Simultaneous determination of eight underivatized biogenic amines in salted mackerel fillet by ion-pair solid-phase extraction and volatile ion-pair reversed-phase liquid chromatography-tandem mass spectrometry. J. Chromatogr. A 2019, 1601, 115–120. [Google Scholar] [CrossRef]
- Liu, J.P.; Liu, S.Y.; Zhang, S.A.; Peng, L.; Lei, L.M. Coupling high-throughput magnetic-bead-based immunoaffinity with LC-MS/MS analysis for quantifying cylindrospermopsin in different fish tissues. Anal. Chem. 2026, 98, 944–952. [Google Scholar] [CrossRef]
- Wang, J.; Li, Z.H.; Shu, J.C.; Wei, Z.C.; Chen, S.Q.; Zhao, H.Y.; Luo, J.; Yang, H.M.; You, Y.Y.; Chen, M.J.; et al. Strengthening mechanism of water content reduction in electrolytic manganese residue by sodium oleate. J. Environ. Chem. Eng. 2025, 13, 116887. [Google Scholar] [CrossRef]
- Chen, Y.; Cai, W.K.; Lin, Z.F.; Ma, Y.; Wu, Y.X.; Li, D.D.; Zhang, Z.H.; Wang, Y.K.; Chen, Y.W.; Wang, C.Z. A modified QuEChERS method using single-sorbent combined with LC-MS/MS for simultaneous determination of four phenolic pesticide residues in fruits and vegetables. J. Food Compos. Anal. 2026, 149, 108820. [Google Scholar] [CrossRef]
- Tolgyesi, A.; Gonsalves, C.; Benes, E.; Simon, A.; Sharma, V.K. Analysis of N-methyl-2-pyrrolidone and its hydroxy metabolite at low concentration level in water samples using liquid chromatography tandem mass spectrometry. J. Chromatogr. A 2026, 1766, 466599. [Google Scholar] [CrossRef]
- Parla, A.; Kabir, A.; Kostakis, M.; Furton, K.G.; Mavrogeorgos, G.; Tataropoulou, K.; Armefti, A.; Samanidou, V.; Thomaidis, N.; Vrcek, I.V.; et al. Quantitation of intact parabens in human breast milk from lactating women via fabric-phase sorptive extraction coupled with LC-ESI-MS/MS. Microchem. J. 2025, 216, 114774. [Google Scholar] [CrossRef]
- Wang, Y.Y.; Diao, Z.P.; Qu, Y.C.; Fan, K.; Feng, C.; Lv, B.; Yu, Y.L.; Geng, Z. LC-MS/MS quantification of omadacycline in human plasma for therapeutic drug monitoring: Method development and clinical application. Sci. Rep. 2025, 15, 27728. [Google Scholar] [CrossRef] [PubMed]
- Tong, J.H.; Zhao, W.K.; Wang, K.M.; Zhu, F.Y.; Deng, D.Y.; Xiao, L.T. Quantitative analysis of ethylene precursor ACC in plant samples by liquid chromatography-tandem mass spectrometry. BMC Plant Biol. 2025, 25, 920. [Google Scholar] [CrossRef] [PubMed]
- Su, C.H.; Tan, P.W.; Kao, T.H. Establishment of a QuEChERS-FaPEx rapid analytical method for n-nitrosamines in meat products. Molecules 2025, 31, 32. [Google Scholar] [CrossRef] [PubMed]
- Yang, S.P.; Shencheng, Y.N.; Zhao, Y.M.; Zhou, M.Z.; Abdallah, M.F.; Gao, Y.; Gao, M.; Zhang, R.; Liu, S.Y.; Li, Y. Development and validation of an LC-MS/MS method for a sensitive quantitation of livestock and poultry meat allergens. Food Chem. 2025, 493, 145965. [Google Scholar] [CrossRef]
- Ragab, M.; Khaled, O.; Eissa, F.; Medhat, M. Optimization and validation of a rapid LC-MS/MS method for the detection and quantification of illegal dyes in olive oil from Egyptian markets. Food Chem. 2025, 488, 144924. [Google Scholar] [CrossRef]






| Compounds | Precursor Ion (m/z) | Product Ions (m/z) | CE a (eV) |
|---|---|---|---|
| Beclomethasone | 409.2 | 391.1 * | 6 |
| 121.0 | 40 | ||
| Betamethasone | 393.2 | 373.2 * | 4 |
| 355.0 | 30 | ||
| Cortisone | 361.2 | 163.1 * | 25 |
| 105.1 | 46 | ||
| Dexamethasone | 393.2 | 373.2 * | 10 |
| 355.0 | 10 | ||
| Dexamethasone Acetate | 435.2 | 415.2 * | 6 |
| 309.1 | 10 | ||
| Fludrocortisone | 381.5 | 105.1 * | 50 |
| 91.1 | 60 | ||
| Fludrocortisone Acetate | 423.2 | 238.9 * | 24 |
| 120.9 | 47 | ||
| Hydrocortisone | 363.2 | 121.1 * | 27 |
| 327.2 | 15 | ||
| Hydrocortisone Acetate | 405.2 | 309.2 | 14 |
| 121.1 * | 26 | ||
| Methylprednisolone | 375.2 | 357.1 * | 10 |
| 339.1 | 10 | ||
| Prednisolone | 361.2 | 343.1 | 10 |
| 147.2 * | 20 | ||
| Prednisone | 359.2 | 341.1 | 10 |
| 147.2 * | 24 | ||
| Hydrocortisone-D3 | 366.3 | 121.2 | 20 |
| Beclomethasone-D5 | 414.6 | 396.2 | 8 |
| Betamethasone-D5 | 398.6 | 312.8 | 15 |
| Cortisone-D8 | 369.2 | 169.1 | 20 |
| Methylprednisolone-D3 | 378.6 | 360.2 | 8 |
| Prednisolone-D6 | 367.5 | 139.0 | 15 |
| Prednisone-D8 | 367.5 | 139.0 | 15 |
| Fludrocortisone-D5 | 386.3 | 348.2 | 20 |
| GCs | Purification Agent | Recovery % (n = 3) |
|---|---|---|
| Mean ± SD | ||
| Beclomethasone | EMR SPE | 99.2 ± 7.01 |
| HLB SPE | 113.9 ± 8.05 | |
| C18 100 mg | 92.9 ± 3.11 | |
| PSA 100 mg | 89.6 ± 7.88 | |
| C18 50 mg, PSA 50 mg | 98.5 ± 6.96 | |
| Betamethasone | EMR SPE | 83.9 ± 5.93 |
| HLB SPE | 142.0 ± 10.05 | |
| C18 100 mg | 92.9 ± 6.95 | |
| PSA 100 mg | 88.6 ± 5.88 | |
| C18 50 mg, PSA 50 mg | 96.1 ± 6.80 | |
| Cortisone | EMR SPE | 92.00 ± 6.51 |
| HLB SPE | 103.8 ± 7.34 | |
| C18 100 mg | 90.5 ± 10.02 | |
| PSA 100 mg | 86.8 ± 8.37 | |
| C18 50 mg, PSA 50 mg | 93.5 ± 6.62 | |
| Cortisone Acetate | EMR SPE | 83.5 ± 5.91 |
| HLB SPE | 95.9 ± 6.78 | |
| C18 100 mg | 112.3 ± 6.15 | |
| PSA 100 mg | 108.6 ± 9.79 | |
| C18 50 mg, PSA 50 mg | 101.5 ± 7.18 | |
| Dexamethasone | EMR SPE | 91.7 ± 6.48 |
| HLB SPE | 78.3 ± 5.54 | |
| C18 100 mg | 91.5 ± 4.74 | |
| PSA 100 mg | 90.1 ± 9.26 | |
| C18 50 mg, PSA 50 mg | 97.3 ± 6.88 | |
| Dexamethasone Acetate | EMR SPE | 83.6 ± 5.91 |
| HLB SPE | 100.0 ± 7.07 | |
| C18 100 mg | 82.7 ± 4.88 | |
| PSA 100 mg | 85.4 ± 6.26 | |
| C18 50 mg, PSA 50 mg | 102.2 ± 7.23 | |
| Fludrocortisone Acetate | EMR SPE | 95.3 ± 6.74 |
| HLB SPE | 102.4 ± 7.24 | |
| C18 100 mg | 100.2 ± 5.75 | |
| PSA 100 mg | 86.8 ± 9.12 | |
| C18 50 mg, PSA 50 mg | 90.2 ± 6.38 | |
| Hydrocortisone | EMR SPE | 95.4 ± 6.75 |
| HLB SPE | 79.4 ± 5.61 | |
| C18 100 mg | 105.4 ± 9.24 | |
| PSA 100 mg | 95.2 ± 3.88 | |
| C18 50 mg, PSA 50 mg | 107.2 ± 7.58 | |
| Hydrocortisone Acetate | EMR SPE | 102.0 ± 7.22 |
| HLB SPE | 85.9 ± 6.07 | |
| C18 100 mg | 95.7 ± 8.74 | |
| PSA 100 mg | 90.3 ± 6.55 | |
| C18 50 mg, PSA 50 mg | 100.4 ± 7.10 | |
| Methylprednisolone | EMR SPE | 88.9 ± 6.28 |
| HLB SPE | 110.3 ± 7.80 | |
| C18 100 mg | 115.2 ± 4.74 | |
| PSA 100 mg | 86.2 ± 8.86 | |
| C18 50 mg, PSA 50 mg | 92.5 ± 6.54 | |
| Prednisolone | EMR SPE | 87.3 ± 6.17 |
| HLB SPE | 119.3 ± 8.43 | |
| C18 100 mg | 92.6 ± 4.52 | |
| PSA 100 mg | 90.4 ± 6.71 | |
| C18 50 mg, PSA 50 mg | 96.4 ± 6.82 | |
| Prednisone | EMR SPE | 89.6 ± 6.33 |
| HLB SPE | 52.4 ± 3.71 | |
| C18 100 mg | 92.6 ± 8.11 | |
| PSA 100 mg | 90.1 ± 7.25 | |
| C18 50 mg, PSA 50 mg | 89.7 ± 6.34 |
| Compound | Calibration | Coefficients (r2) |
|---|---|---|
| Beclomethasone | Y = 0.0678135x − 0.0107756 | 0.998111 |
| Betamethasone | Y = 0.0951838x + 0.0255687 | 0.996983 |
| Cortisone | Y = 0.0729256x + 0.0824281 | 0.999549 |
| Dexamethasone | Y = 0.0453136x − 0.00836739 | 0.996281 |
| Dexamethasone Acetate | Y = 0.0696831x − 0.0325269 | 0.997315 |
| Fludrocortisone | Y = 0.00846428x + 0.0163716 | 0.997428 |
| Fludrocortisone Acetate | Y = 0.0147391x − 0.00158368 | 0.996197 |
| Hydrocortisone | Y = 0.0774449x + 0.558053 | 0.997338 |
| Hydrocortisone Acetate | Y = 0.0210717x + 0.00376624 | 0.996252 |
| Methylprednisolone | Y = 0.0485324x + 0.061496 | 0.999653 |
| Prednisolone | Y = 0.0775587x + 0.0444862 | 0.999321 |
| Prednisone | Y = 0.0534778x + 0.00151948 | 0.996224 |
Disclaimer/Publisher’s Note: The statements, opinions and data contained in all publications are solely those of the individual author(s) and contributor(s) and not of MDPI and/or the editor(s). MDPI and/or the editor(s) disclaim responsibility for any injury to people or property resulting from any ideas, methods, instructions or products referred to in the content. |
© 2026 by the authors. Licensee MDPI, Basel, Switzerland. This article is an open access article distributed under the terms and conditions of the Creative Commons Attribution (CC BY) license.
Share and Cite
Li, S.; Han, F.; Huang, D.; Zhang, J.; Tang, Y. LC-MS/MS for Simultaneous Determination and Isomer Separation of 12 Glucocorticoid Residues in Multiple Aquatic Foods. Foods 2026, 15, 652. https://doi.org/10.3390/foods15040652
Li S, Han F, Huang D, Zhang J, Tang Y. LC-MS/MS for Simultaneous Determination and Isomer Separation of 12 Glucocorticoid Residues in Multiple Aquatic Foods. Foods. 2026; 15(4):652. https://doi.org/10.3390/foods15040652
Chicago/Turabian StyleLi, Siman, Feng Han, Dongmei Huang, Jingnan Zhang, and Yunyu Tang. 2026. "LC-MS/MS for Simultaneous Determination and Isomer Separation of 12 Glucocorticoid Residues in Multiple Aquatic Foods" Foods 15, no. 4: 652. https://doi.org/10.3390/foods15040652
APA StyleLi, S., Han, F., Huang, D., Zhang, J., & Tang, Y. (2026). LC-MS/MS for Simultaneous Determination and Isomer Separation of 12 Glucocorticoid Residues in Multiple Aquatic Foods. Foods, 15(4), 652. https://doi.org/10.3390/foods15040652

