Abstract
Five kinds of new homo-polymer and copolymers of methacrylate containing a fluorine ester group were synthesized and used for the binder of pressure-sensitive paint (PSP)to ensure the good compatibility between luminophore (Pt(II) meso-tetra (pentafluorophenyl) porphine (PtTFPP)) and polymer binder. In the work, we were concerned with how the structure of thesepolymers containing fluorine, especially the various ester group structure, affects the response frequency of PSP using oscillating sound wave technique. The results showed that the pressure sensitivities (Sp) of these PSP samples containing different polymers, exhibit some difference. The length of ester chain on the methacrylatepolymer affects the response frequency of PSP sensor layer composed of the polymer. The longer the chain length of the ester group, the higher the response frequency of the PSP sensor layer quenching by oxygen.
1. Introduction
The luminescence imaging combined with pressure-sensitive paint (PSP) is a novel method for measuring surface air pressure distribution on aerodynamic models in wind tunnel and other environments [1,2,3,4,5,6,7,8,9,10]. PSP is advantageous because it can be applied in the situations where conventional instrumentation over traditional electrochemical sensors is difficult, or even impossible to apply. The PSP is comprised of the luminescent dye molecules dissolved or dispersed in polymer matrix. The working principle of this technique is when the PSP sensor film is illuminated at a wavelength which could be absorbed by the dye, it becomes electronically excited and then fluorescence or phosphorescence emits at a longer wavelength. Oxygen is a powerful quencher for this emission, as oxygen diffuses into or out of the sensor layer, the extent of quenching changes and then could be detected by the change in luminescence intensity or luminescence decay rate of the dye in the matrix. The oxygen quenching process depends directly on the concentration of oxygen presented in the test gas. The higher the concentration of oxygen in the test gas, the more energy will be dissipated through the oxygen quenching process.
In recent years, it has been a growing interest in measuring these unsteady pressure fluctuations [11,12,13,14]. In particular, unsteady aerodynamic issues in the compressors such as rotating stall, surge, rotor/stator interactions and flutter need to be measured and studied. Up to recent times, however, PSP has been limited to be used in steady flow fields. Typically, conventional PSP has response times on the order of a few hundred milliseconds, making it impractical for use in unsteady turbomachinery flow fields.
The relation of frequency (f, Hz) and time (t, sec) may be expressed in f = 1/t, therefore the response time of PSP can be calculated from the response frequency of these PSP. The response frequency or response time of oxygen quenching of PSP is dependent on two properties of the paint: the lifetime of the luminophores, and the oxygen diffusivity in the binding polymer. Since the lifetime for many luminophores is on the order of a microsecond, the oxygen diffusivity of the paint is the limiting factor in the response frequency of the PSP. There sponse models of PSP demonstrate that the time scale of the oxygen diffusion process within the paint binder is dependent upon the thickness of the binder and the oxygen diffusivity of the binder material [15]. This concept is expressed as
where h is the binder thickness, Dm is the oxygen diffusivity of the binder layer and τdiff is the diffusion timescale. From this expression, it is clear that the response frequency of the paint can be improved by decreasing the paint thickness, or by increasing its oxygen diffusivity. Therefore, research efforts should be focused on improving the oxygen diffusion characteristics of paint binders.
Many of the problems and limitations of the PSP technique are associated with the choice of dye and polymer matrix. At present, many works focused in the probe choice [3,4,16,17,18,19], but only a few literatures reported about how the detailed polymer structure within PSP affects the oxygen permeability [17]. Gas diffusion and permeation in polymers is normally measured by a transport experiment involving a thin polymer membrane as first described by Barrer [20]. Oxygen permeability for PSP is related to the response frequency or response time, the higher the permeability of oxygen in polymer, the higher the response frequency of PSP. There is a need for a new calibration technique that demonstrates the full extent of the capabilities of PSP. At the present paper, the response frequency of PSP is characterized with a new dynamic calibration method using anoscillating sound wave technique [21,22,23]. The loudspeaker calibration setup can be driven to large frequencies, on the order of tens kilohertz. The ability to determine the input waveform allows the researcher to obtain phase delay and amplitude attenuation data in the frequency domain.
Here, we used platinum (II) meso-tetrakis (pentafluorophenyl) porphyrin (PtTFPP) as the luminophore due to its high photostability and high emission quantum efficiency [24]. In this work we synthesized a new homopolymer and four kind of copolymers of methacrylate containing fluorine ester group used for the binder of paint to ensure the compatibility between luminophore and polymer binder. We are concerned with how the structure of a series of polymers containing fluorine, especially the ester length, affects the response frequency of PSP.
2. Materials and Methods
2.1. Materials
2.1.1. Chemical Reagents
Hexafluoroisopropyl methacrylate(HFIPMA) was obtained from Apollo Scientific Ltd. 2,2,3,3-Tetrafluoropropyl methacrylate(TFPMA), 2,2,2-trifluoroethyl methacrylate(TFEMA), 1H,1H,2H,2H-Nonafluorohexyl methacrylate(NFHMA) and 2,2,3,3,3-pentafluoropropyl methacrylate(PFPMA) were gotfrom TCI and these five kinds of monomers were used without any further purification. Lauroyl peroxide (LRPO, 97%) was recrystallized in methanol before using. Benzotrifluoride (99%) was purchased from J&K Scientific (Beijing, China). PtTFPP was commercially available from Frontier Scientific Inc. Methanol (99.8%) (Logan, UT, USA) and petroleum ether were obtained from Beijing Chemical Works (Beijing, China). Scheme 1 presents their chemical structures.
Scheme 1.
(a) Hexafluoroisopropyl methacrylate (HFIPMA); (b) 2,2,3,3-Tetrafluoropropyl methacrylate (TFPMA); (c) 2,2,2-trifluoroethyl methacrylate (TFEMA); (d) 1H,1H,2H,2H-Nonafluorohexyl methacrylate (NFHMA); (e) 2,2,3,3,3-pentafluoropropyl methacrylate (PFPMA) and (f) platinum (II) meso-tetrakis (pentafluorophenyl) porphyrin (PtTFPP), respectively.
2.1.2. Experimental Instruments
All steady-state excitation and emission measurements were carried out on F-4500 (Hitachi, Japan) fluorescence spectrophotometer. The excitation and emission spectra were measured by the front-face technique with an excitation wavelength at 400 nm and emission wavelength at 650 nm, respectively. The glass transition temperatures (Tg) of the polymers were determined using a differential scanning calorimeter (TA-2000, Japan) with a scan rate of 10 °C/min. The infrared spectra were measured on a Tensor 27 (Bruker, Yokohama, Japan) spectrometer. Size exclusion chromatography (SEC) characterization was performed on the Breeze 2 HPLC (Water Ltd., Hongkong, China) instrument with tetrahydrofuran (THF) as the mobile phase at the flow rate of 1 mL/min. The SEC data were calibrated with polystyrene standards ranging in the molecular mass from 28.7 to 1240 kg mol−1.
The static properties of the PSP samples were measured in a temperature-controlled pressure chamber (Scheme 2a). Excitation was provided by a 300 W Xe lamp (C 4338, Hamamatsu Photonics, Hamamatsu, Japan) equipped with a 400–550 bandpass filter. The emission from the sample was detected by a cooled CCD camera (C 4880-50-26W, Hamamatsu Photonics; 1000 3 1018 pixels, 16-bit intensity resolution) with a 590–710 nm bandpass filter. The luminescence intensities I(T,P) were collected at test pressures (P) ranging from 5 to 120 kPa and at temperatures (T) ranging from 0 to 60 °C at 10 degree intervals. The dynamic characteristics of the PSP samples were measured on the domestic dynamic pressure optical calibration system (DPOCS, Scheme 2b), developed by Northwestern Polytechnical University (NPU). It is comprised of a dynamic pressure chamber, an ultraviolet (UV) light with 405 ± 20 nm, a photo multiplier tube (PMT) with a red filter and other auxiliary sub-sets. A series of sine pressure wave from 0.4~80 kHz can be generated by the pressure chamber with a 1.93 kPa maximum pressure [25,26].
Scheme 2.
(a) Static calibration system and (b) dynamic pressure optical calibration system.
2.2. Synthesis of Methacrylate Polymerswith Fluorine-ContainingEster Group
Polymers were prepared following the method of Puklin et al. [27]. In the typical copolymerization procedure, HFIPMA and PFPMA in a 1:1 molar rate, were added into the three-neck flask equipped with a mechanical stirrer, a reflux condenser and a temperature controller, meanwhile LRPO with 0.15% of monomers mass, benzotrifluoride in twice the volume of the monomers were added into the system. Nitrogen gas was introduced into the solution for 1 h. The solution was heated at 78 °C for 48 h and then at 100 °C for 1 h, and finally cooled to ambient temperature. The polymer was reprecipitated in methanol, filtered and dried in vacuum oven at 45 °C for 24 h to give poly(HFIPMA-co-PFPMA) as a white solid.
Similarly, the other fluorine-containing polymers were synthesized according to the procedure as mentioned above. Other monomers e.g., TFEMA, TFPMA and NFHMA were copolymerized with HFIPMA individually to obtain three kind of copolymers referred as P(HFIPMA-co-TFEMA), P(HFIPMA-co-TFPMA) and P(HEIPMA-co-NFHMA), respectively. P(HFIPMA) is a homopolymer of HFIPMA. In these five kinds of polymers, P(HFIPMA-co-TFEMA) and P(HFIPMA-co-TFPMA) were reprecipitated in petroleum ether, and other polymers were reprecipitated in methanol.
2.3. Preparation of PSP Samples
The five polymers prepared were dissolved individually in benzotrifluoride with the concentration of 120.0 g/L, and then PtTFPP was added in the polymer solution in the concentration of 4 × 10−5 mol/L. The mixed solution was sprayed onto a clean aluminum slides (25 × 25 mm2) using a conventional air brush, and then the solvent was evaporated slowly in the dark at room temperature, after which the films were placed in a vacuum for 5 h at 50 °C. The PSP sample containing PtTFPP in various polymer matrices were represented as Co(PFPMA), Co(TFEMA), Co(TFPMA), Co(NFHMA) and P(HFIPMA), respectively.
3. Results and Discussion
3.1. Characterization and Basic Structure and Properties of the Polymers
As an illustration, Figure 1 shows the IR spectra of P(HFIPMA-co-PFPMA) and P(HFIPMA). The absorption bands of IR presented at 2976, 1485, 1386(C-H3), 2923, 1461(C-H2), 3001, 1357(C-H influenced by F), 1776(C=O influenced by F), 1292, 1236(C-F), 1200(O-C=O), 1110(C-O-C influenced by F) and 1020 cm−1(C-O-C), respectively. It can be observed that there are two kinds of characteristic peaks of C-O-C in the infrared spectrum for P(HFIPMA-co-PFPMA) and only one kind of characteristic peak of C-O-C for P(HFIPMA), which proven that there are two kinds of C-O-C in P(HFIPMA-co-PFPMA), that means the successful synthesis of P(HFIPMA-co-PFPMA). The spectra of other copolymers are similar. Based on the single glass transition behavior in the DSC curves, it is also referred to the copolymer structure.
Figure 1.
The infrared spectra of synthesized P(HFIPMA-co-PFPMA) and P(HFIPMA).
Table 1 shows the essential physical parameters of these polymers. The Tg of the copolymer containing-NFHMA is the lowest (61 °C) in all of these polymers, the Tg of P(HFIPMA-co-TFEMA) is the highest (81 °C), it means that as the alkyl substituent is increased in length, the glass transition temperature of the polymer decreased. The tendency is similar to that reported from Winnik et al. [28]. They studied the relation between Tg and the substituent on poly(n-alkyaminothionylphosphazenes)(CnPTP), and the result indicated that as the alkyl substituent was increased in length, the glass transition temperature of the polymer decreased.
Table 1.
Physical properties of the polymers.
3.2. Measurement of Fluorescence Spectra
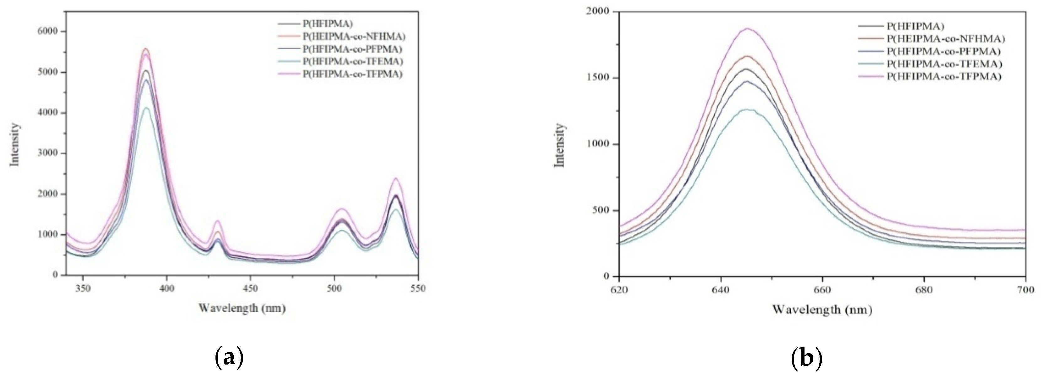
Figure 2 is the emission spectra of PtTFPP in N2 and air environment, respectively. It shows that the emission intensity of PtTFPP was significantly quenched by oxygen in air environment and then that is very low. The excitation and emission spectra (Figure 3a,b) of individual polymer/PtTFPP films were obtained in N2 environment, respectively. Based on Figure 2 and Figure 3, it could also be found that the excitation and emission spectral sharps and peak positions of PtTFPP in different polymers are the identical. The results indicated that the interactions between luminescent probe PtTFPP and different polymers incorporated probe are the same [29].
Figure 2.
The emission spectra of PtTFPP in N2 and air environment.
Figure 3.
(a) The excitation spectra and (b) the emission spectra of individual polymer/PtTFPP films in N2 environment.
3.3. Effect of Polymer Composition on the Pressure Sensitivity of PSP
Based on the photophysical principle of the PSP, the relationship between the release of luminescent energy from the excited luminophore and the concentration of quencher (oxygen or air pressure) can be characterized by the Stern-Volmer (S-V) Equation (3):
where Pref and Iref are the reference pressure and emission intensity at the reference pressure, respectively. P and I refer to the test pressure and luminescent intensity at the test pressure, respectively. The pressure sensitivity of the PSP can be obtained from S-V plotted (Figure 4) from Iref/I against P/Pref measured in a temperature-controlled pressure chamber (Scheme 2a). Table 2 also presents the relation between the polymer composition and pressure sensitivity of the PSP. The results show that the pressure sensitivities (Sp) of these PSP samples consisted of different polymers exhibit some difference.
Figure 4.
The Stern-Volmer (S-V)curve of the P(HFIPMA) sample measured at 20 °C.
Table 2.
Pressure sensitivity of five kinds of pressure-sensitive paint (PSP) samples at different temperature.
3.4. Effect of Polymer Composition on Response Frequency
The working principle of PSP is based on the oxygen diffuses into or out of the PSP sensor layer and then the luminescence intensity emitted from sensor layer changes. The diffusion motion of small molecules such as the permanent gases (oxygen, nitrogen, carbon dioxide, etc.) can occur in solid polymer at the temperatures well below its glass transition temperature. It is believed that the motion of these gas molecules through the polymer matrix is related with the formation of free volume which is assisted by small-scale motion of polymer segments or the free movement of the groups attached to the side chains.
Figure 5 shows the raw data of the response frequency (F) of PSP based on the five kinds of polymer matrixes. Table 3 lists the response frequency, and response time (T) calculated from the response frequency results. It can be found that response frequency of Co(NFHMA) is the highest in 20 kHz, and that of Co(TFEMA) is the lowest in 9.6 kHz. For other samples, e.g., Co(TFPMA), Co(PFPMA) and P(HFIPMA), the structures of their side-ester chains are -O-CH2-CF2-CHF2, -O-CH2-CF2-CF3 and -O-CH-(CF3)2, respectively, compared these chemical structures with that of -O-(CH2)2-(CF2)3-CF3 on Co(NFHMA) and -O-CH2-CF3 on P(TFEMA), their response frequency are 19 kHz, 18 kHz and 16 kHz, respectively. The results can be explained from the relation between the linkage structure and free volume in the polymer matrixes. The important concept, common to all free volume theories, is that the diffusion occurs in polymers through free volume obtained by minor displacements of side groups or segments of the chain but without net translational movements of the center of mass of the polymer. There is a longer and flexible ester chain containing -O-(CH2)2-(CF2)3-CF3 on the ester group in Co(NFHMA), and its free volume may be created by the chain segment movement on the ester group. Otherwise, there is a shorter side-chain containing -O-CH2-CF3 on the ester group in Co(TFEMA), and its free volume may be created by the rotation of the ester group. Guillet [30] studied the “transition temperatures” of molecular motion within polymers using luminescence measurements and reported that the transition temperatures of –C-C- side-chain segment movement and ester group rotation for polymer chains were around 163 K and 245 K, respectively. They found that the activation energy associated with diffusion above particular transitions increases with the transition temperature. This is in good agreement with the free-volume theory developed early for diffusive motion in solid polymers. Therefore, the activation energy of the side-chain segment movement for Co(NFHMA) is lower than that for Co(TFEMA), and the response frequency of Co(NFHMA) is higher than that of Co(TFEMA). It can be understood that the longer the ester group chain length, the response frequency of PSP is higher. Therefore, it indicates that the chain length of ester group on the methacrylate polymers affects the response frequency of PSP sensor layer composed of the methacrylate polymers.
Figure 5.
The result of pressure and PSP fluorescence signal under the frequency of (a) 4 kHz; (b) 16 kHz and (c) 20 kHz.
Table 3.
Response frequency and response time of five kinds of PSP samples.
4. Conclusions
The response behaviors of the PSP based on fluorine-containing polymer matrixes were investigated in this article. Especially, we focused the effect of polymer binder structure on the response frequency of PSP. For this consideration, five kinds of methacrylate polymers with different fluorine-containing ester groups were synthesized, and then the polymers were composed with the luminescent dye of PtTFPP individually. The response frequency of the five PSPs were measured by using oscillating sound wave technique, and the results show that the polymer structure of various fluorine-containing ester group affects significantly on the response frequency. That could be explained based on free volume theory, i.e., for the polymer with a longer fluorine-containing ester chain on methacrylate, its free volume is created by the chain segment movement, then the activation energy of the chain segment movement of the ester group decreased, which shows the increasing in the response frequency of PSP.
Author Contributions
Investigation, Y.S. and H.J.; data curation, Q.L.; writing—Original draft preparation, Y.S. and H.J.; writing—Review and editing, L.C. and L.G.; supervision, Z.L., L.C., X.J. and L.G. All authors have read and agreed to the published version of the manuscript.
Funding
This research was funded by the National Natural Science Foundation of China, grant number 51790512.
Acknowledgments
The authors would like to thank Hongjie Zhong and Zhaonan Xu of Aerodynamics Research Institute, AVIC (Shenyang, China) for the contribution on the static calibration measurements.
Conflicts of Interest
The authors declare no conflict of interest.
References
- Skoog, D.A.; West, D.M.; Holler, F.J. Fundamentals of Analytical Chemistry, 5th ed.; Saunders: Philadephia, PA, USA, 1988; p. 344. [Google Scholar]
- Freeman, T.M.; Seitz, W.R. Oxygen probe based on tetrakis(alkylamino)ethylene chemiluminescence. Anal. Chem. 1981, 53, 98–102. [Google Scholar] [CrossRef]
- Liu, T.; Sullivan, J.P. Pressure and Temperature Sensitive Paints; Springer: Berlin/Heidelberg, Germany; New York, NY, USA, 2005; pp. 33–58. [Google Scholar]
- Bell, J.H.; Schairer, E.T.; Hand, L.A.; Mehta, D.M. Surface pressure measurements using luminescent coatings. Annu. Rev. Fluid Mech. 2001, 33, 155–206. [Google Scholar] [CrossRef]
- Quinn, M.K.; Orozco, N.G.; Kontis, K.; Ireland, P. Application of pressure-sensitive paint to low-speed flow around a U-bend of strong curvature. Exp. Therm. Fluid Sci. 2013, 48, 58–66. [Google Scholar] [CrossRef]
- Zare-Behtash, H.; Lo, K.H.; Yang, L.; Kontis, K. Pressure sensitive paint measurements at high Mach numbers. Flow Meas. Instrum. 2016, 52, 10–16. [Google Scholar] [CrossRef]
- Sakaue, H.; Kakisako, T. Characterization and optimization of polymer-ceramic pressure-sensitive paint by controlling polymer content. Sensors 2011, 11, 6967–6977. [Google Scholar] [CrossRef]
- Li, S.-J.; Yang, S.-F.; Han, J.-C. Effect of coolant density on leading edge showerhead film cooling using PSP measurement technique. J. Turbomach. 2014, 136, 051011. [Google Scholar] [CrossRef]
- Matsuda, Y.; Uchida, K.; Egami, Y.; Yamaguchi, H.; Niimi, T. Polymer-particle pressure-sensitive paint with high photostability. Sensors 2016, 16, 550. [Google Scholar] [CrossRef] [PubMed]
- Chen, L.; Zhou, Q.; Jin, X.; Zhang, Y. Pressure-sensitive paint and its measuring technique. Acta Aeronaut. Astronaut. Sin. 2009, 30, 2435–2448. [Google Scholar]
- Gregory, J.W.; Asai, K.; Kameda, M.; Liu, T.; Sullivan, J.P. A review of pressure-sensitive paint for high-speed and unsteady aerodynamics. J. Aerosp. Eng. 2008, 222, 249–290. [Google Scholar] [CrossRef]
- Pandey, A.; Gregory, J.W. Step response characteristics of polymer/ceramic pressure-sensitive paint. Sensors 2015, 15, 22304–22324. [Google Scholar] [CrossRef] [PubMed]
- Wen, X.; Liu, Y.; Li, Z.; Chen, Y.; Peng, D. Data mining of a clean signal from highly noisy data based on compressed data fusion: A fast-responding pressure-sensitive paint application. Phys. Fluids 2018, 30, 097103. [Google Scholar] [CrossRef]
- Xiang, X.; Xiong, L.; Yuan, M.; Yu, J.; Chen, L.; Wang, Z. Unsteady pressure measurement around circular cylinder in hypersonic flows using fast response PSP. J. Exp. Fluid Mech. 2015, 29, 54–61. [Google Scholar]
- Liu, T.; Teduka, N.; Kameda, M.; Asai, K. Diffusion time-scale of porous pressure-sensitive paint. AIAA J. 2001, 39, 2400–2402. [Google Scholar] [CrossRef]
- Basu, B.J.; Thirumurugan, A.; Dinesh, A.R.; Anandan, C.; Rajam, K.S. Optical oxygen sensor coating based on the fluorescence quenching of a new pyrene derivative. Sens. Actuators B Chem. 2005, 104, 15–22. [Google Scholar] [CrossRef]
- Shi, L.; Li, B.; Yue, S.; Fan, D. Synthesis, photophysical and oxygen-sensing properties of a novel bluish-green emission Cu(I) complex. Sens. Actuators B Chem. 2009, 137, 386–392. [Google Scholar] [CrossRef]
- Fujiwara, Y.; Ishikawa, Y. Properties of an optical sensor based on luminescence quenching of platinum porphyrin and perylene immobilized in a polystyrene film. Nippon Kagaku Kaishi 2002, 2, 261–264. [Google Scholar] [CrossRef]
- Masoumi, Z.; Stovea, V.; Yekta, A.; Winnik, M.A.; Menners, I. Polymers and Organic Solids; Shi, L., Zhu, D., Eds.; Science Press: Beijing, China, 1997; pp. 157–168. [Google Scholar]
- Barrer, R.M. Diffusion in and Through Solids; Cambridge University Press: New York, NY, USA, 1951. [Google Scholar]
- Jordan, J.D.; Watkins, A.N.; Weaver, W.L.; Trump, D.D.; Sarka, B.; Goss, L.P.; Navarra, K.R. Extending PSP technology for the investigation of HCF-related phenomena. In Proceedings of the 45th International Instrumentation Symposium, Indianapolis, IN, USA, 27–28 September 2004. [Google Scholar]
- Boerrigter, H.L.; Charbonnier, J.M. Design and calibration of an unsteady pressure measurement system. In Proceedings of the 17th International Congress on Instrumentation in Aerospace Simulation Facilities, Pacific Grove, CA, USA, 29 September–2 October 1997. [Google Scholar]
- Bencic, T. Dynamic calibration rig for pressure sensitive paints at NASA glenn research center. In Proceedings of the 8th Annual Pressure Sensitive Paint Workshop, NASA Langley Research Center, Hampton, VA, USA, 6–8 October 2000. [Google Scholar]
- Lee, S.K.; Okura, I. Photostable optical oxygen sensing material: Platinum tetrakis (pentafluorophenyl) porphyrin immobilized in polystyrene. Anal. Commun. 1997, 32, 185–188. [Google Scholar] [CrossRef]
- Gao, L.; Jiang, H.; Zheng, T. Sinusoidal Dynamic Pressure Calibration Chamber for Optical Pressure Sensitive Paints. CN 109269720A, 25 January 2019. [Google Scholar]
- Li, R.; Gao, L.; Zheng, T. Experimental investigation on static/dynamic characteristics of a fast-response pressure sensitive paint. Chin. J. Aeronaut. 2018, 31, 1198–1205. [Google Scholar] [CrossRef]
- Puklin, E.; Carlson, B.; Gouin, S.; Costin, C. Ideality of pressure-sensitive paint. I. Platinum tetra (pentafluorophenyl) porphine in fluoroacrylic polymer. J. Appl. Polym. Sci. 2000, 77, 2795–2804. [Google Scholar] [CrossRef]
- Jayarajah, C.N.; Yekta, A.; Manners, I.; Winnik, M.A. Oxygen diffusion and permeability in alkylaminothionylphosphazene films intended for phosphorescence barometry applications. Macromolecules 2000, 33, 5693–5701. [Google Scholar] [CrossRef]
- Lakowicz, J.R. Principles of Fluorescence Spectroscopy, 2nd ed.; Kluwer Academic Plenum Pub: New York, NY, USA, 1999; pp. 185–207, 238–249. [Google Scholar]
- Guillet, J.E.; Winnik, M.A. Photophysical and Photochemical Tools in Polymer Science: Conformation Dynamics, Morphology; D. Reidel Publishing Company: Dordrecht, Holland, 1986; pp. 467–494. [Google Scholar]
Publisher’s Note: MDPI stays neutral with regard to jurisdictional claims in published maps and institutional affiliations. |
© 2020 by the authors. Licensee MDPI, Basel, Switzerland. This article is an open access article distributed under the terms and conditions of the Creative Commons Attribution (CC BY) license (http://creativecommons.org/licenses/by/4.0/).






