Sign in to use this feature.

Years

Between: -

Subjects

remove_circle_outline
remove_circle_outline
remove_circle_outline
remove_circle_outline
remove_circle_outline
remove_circle_outline
remove_circle_outline
remove_circle_outline
remove_circle_outline

Journals

remove_circle_outline
remove_circle_outline
remove_circle_outline

Article Types

Countries / Regions

remove_circle_outline
remove_circle_outline
remove_circle_outline
remove_circle_outline

Search Results (279)

Search Parameters:
Keywords = particles breakage

Order results
Result details
Results per page
Select all
Export citation of selected articles as:
17 pages, 3049 KB  
Article
Spray Simulation of Triazine Desulfurizer in Small Pipelines
by Junqiang Li, Chaoyue Yang, Ya Huang, Zicheng Peng, Xin Wen and Jie Min
Processes 2025, 13(12), 3973; https://doi.org/10.3390/pr13123973 - 9 Dec 2025
Viewed by 143
Abstract
Natural gas desulfurization is critical for pipeline safety. The spray direct injection of triazine solution is more cost-effective for marginal wells and small-scale pipelines. However, the sprayer parameters in confined spaces still need to be explored. In this study, CFD (Computational Fluid Dynamics) [...] Read more.
Natural gas desulfurization is critical for pipeline safety. The spray direct injection of triazine solution is more cost-effective for marginal wells and small-scale pipelines. However, the sprayer parameters in confined spaces still need to be explored. In this study, CFD (Computational Fluid Dynamics) simulations employing the DPM (Discrete Phase Model) within ANSYS 2022R2Fluent are conducted to simulate the injection and behavior of triazine solution particles via sprayers in an 80 mm diameter pipeline. The effects of the initial particle size, gas flow rate, spray angle, and spray direction on particle behavior are analyzed. The results show that 50 μm particles can prolong the residence time through gas entrainment, while 500 μm particles are conducive to forming wall films. Reducing the spray angle and decreasing the gas flow rate can increase residence time, but higher gas velocities can enhance secondary particle breakage to increase the specific surface area. The spray direction has a minimal impact on particle behavior. In pipelines longer than 5 m, all particles will finally form wall films; for pipelines shorter than 5 m, the optimal parameters include 50 μm initial particles, a narrowed spray angle, and an increased gas velocity. This study offers valuable design references for desulfurization spray systems in small-diameter natural gas pipelines. Full article
(This article belongs to the Section Chemical Processes and Systems)
Show Figures

Figure 1

26 pages, 4949 KB  
Article
Design and Experimentation of a Roller-Type Precision Seed Metering Device for Rapeseed with Bezier Curve-Based Profiled Holes
by Huaili Pan, Hua Ji, Xinyu Hu, Yongqi Zhan and Guoliang Wei
Appl. Sci. 2025, 15(23), 12786; https://doi.org/10.3390/app152312786 - 3 Dec 2025
Viewed by 160
Abstract
To address the industry pain points of high seed breakage rate and uncontrollable miss-filling rate, multiple-filling rate in traditional rapeseed roller-type precision centralized seed metering devices—while breaking the adaptation limitation of existing empirical hole designs for different small-particle-size crops—this study innovatively proposes a [...] Read more.
To address the industry pain points of high seed breakage rate and uncontrollable miss-filling rate, multiple-filling rate in traditional rapeseed roller-type precision centralized seed metering devices—while breaking the adaptation limitation of existing empirical hole designs for different small-particle-size crops—this study innovatively proposes a hole optimization scheme based on the Bezier curve and develops a roller-type precision centralized seed metering device suitable for rapeseed and small-particle-size crops. First, combined with the physical properties of rapeseed seeds (particle size 1.5~2.5 mm, high sphericity, strong fluidity) and agronomic requirements for precision seeding, a multi-mechanical coupling model for seed filling and dropping (synergistic effect of gravity–centrifugal force–air blowing force) was established. The regulatory mechanism of hole geometric parameters (wrap angle, width, height) on seeding performance was clarified, and the enhancement mechanism of the Bezier curve’s curvature continuity on seed movement stability was revealed from the theoretical level. On this basis, a three-factor quadratic orthogonal combination experiment of hole wrap angle, width, and height was conducted using EDEM discrete element software. The optimal hole parameter combination was obtained through multi-objective optimization (minimizing miss-filling rate, multiple-filling rate and maximizing seed-filling qualification rate): wrap angle 2.271° (error ± 0.2°), width 3.407 mm (error ± 0.1 mm), and height 2.254 mm (error ± 0.02 mm). Simulation results showed that under this parameter combination, the seed-filling qualification rate reached 99.122%, with the miss-filling rate and multiple-filling rate as low as 0.448% and 0.416%, respectively. Further bench test verification indicated that when the roller speed was in the range of 10~30 r/min, the seed breakage rate was consistently below 0.5%, and the seed-filling qualification rate remained above 94%. Among them, the comprehensive seeding performance was optimal at a speed of 15 r/min, with a miss-seeding rate of 0.65%, a multiple-seeding rate of 2.06%, and a breakage rate of 0.12%, fully meeting the agronomic requirements for rapeseed precision seeding, providing a theoretical basis and engineering reference for the digital and universal design of key components of precision seeders for small-particle-size crops. Full article
(This article belongs to the Section Agricultural Science and Technology)
Show Figures

Figure 1

22 pages, 4622 KB  
Article
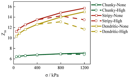
Particle Shape-Driven Stiffness Anisotropy in Calcareous Sand and the Underlying Mechanism
by Yan Gao, Ketian Sun, Quan Yuan, Le Sun and Xudong Tang
Appl. Sci. 2025, 15(23), 12682; https://doi.org/10.3390/app152312682 - 29 Nov 2025
Viewed by 202
Abstract
The angular shape and breakage of particles for calcareous sand significantly influence its mechanical behavior and the safety of the engineering. Although previous studies have explored the impact of particle shape on the mechanical properties of calcareous sand, the effects of shape-induced stiffness [...] Read more.
The angular shape and breakage of particles for calcareous sand significantly influence its mechanical behavior and the safety of the engineering. Although previous studies have explored the impact of particle shape on the mechanical properties of calcareous sand, the effects of shape-induced stiffness anisotropy and particle breakage remain insufficiently investigated. This study employs the Yade open-source 3D discrete element platform to conduct a series of numerical simulations of isotropic compression and simple shear tests on calcareous sand, examining stiffness, deformation characteristics, microscopic behavior, anisotropic properties, and the influence of different particle breakage rates. The results reveal that particle shape-driven stiffness anisotropy in calcareous sand is obvious. The horizontal shear modulus is different from the vertical modulus by up to 15% under confining pressures of 50 kPa to 1200 kPa. Irregularly shaped particles tend to align in a layered fabric under gravitational deposition, resulting in spatial anisotropy in the distribution of contact normals. Strong contact forces concentrate in the direction of gravitational deposition (i.e., the vertical direction), leading to significant anisotropy in shear modulus, with the horizontal shear modulus being notably greater than the vertical one. The values of horizontal shear modulus ranging from 40 MPa for chunky particles to 120 MPa under high confining pressure. While increasing confining pressure generally enhances the shear modulus of calcareous sand, the concentration of strong contact forces in the vertical direction due to particle shape causes differential increments in shear modulus across directions, thereby altering anisotropy. Particle breakage under high confining pressure (10%) disrupts the concentration of strong contact forces in the vertical direction and triggers a “surrounding particle compensation” mechanism (accounting for >95% of cases), leading to homogenization of contact force distribution. This significantly reduces the shear modulus and diminishes the degree of anisotropy by up to 50% at breakage rates of 10%. The cross-scale relationship between particle morphology, breakage, and fabric evolution is quantified. Full article
(This article belongs to the Special Issue Advanced Technologies and Applications in Geotechnical Engineering)
Show Figures

Figure 1

19 pages, 7236 KB  
Article
Study of the Particle Breakage Characteristics of Coral Sand Under the Effect of Freezing–Seepage Coupling
by Jie Zhou, Xiangzhen Kong, Huade Zhou, Chao Ban, Chengjun Liu and Jun Hu
Appl. Sci. 2025, 15(22), 12301; https://doi.org/10.3390/app152212301 - 19 Nov 2025
Viewed by 338
Abstract
In the development and construction of the South China Sea (SCS), coral sand is a kind of common natural construction material. Sanya submarine tunnel is the first application of artificial ground freezing (AGF) in the SCS. Since the tunnel is located at an [...] Read more.
In the development and construction of the South China Sea (SCS), coral sand is a kind of common natural construction material. Sanya submarine tunnel is the first application of artificial ground freezing (AGF) in the SCS. Since the tunnel is located at an estuary, high-velocity seepage will have a significant influence on the particle characteristics of coral sand under freezing conditions. Therefore, taking coral sand from the SCS as the research object, the one-dimensional soil column unidirectional freezing test, particle sieving test, and scanning electron microscope (SEM, Hitachi High-Tech Corporation, Tokyo, Japan) test were carried out to investigate the particle breakage and temperature variation characteristics of coral sand under the coupling effect of freezing and seepage. The results show that under the coupling effect of freezing and seepage, coral sand particle breakage was significant. Under none-seepage and 0.5 m/d seepage velocity, the proportion of particles in the 0.5–2 mm size range in the frozen and phase transition zones decreased, while the proportion in the 0.125–0.5 mm size range increased. Through SEM analysis, the coupling effect of freezing and seepage caused serious damage to coral sand particles. Intense freezing could cause coral sand particles to break, while strong seepage could increase the roundness of particles. Seepage would affect the freezing rate and the final stabilization of the freezing temperature; when the seepage velocity was small (0–1.2 m/d), the impact of seepage was not obvious, and when seepage rate was larger (3 m/d), the impact throughout the entire freezing process both reduced the freezing rate and increased the final stabilization of the temperature. This study can provide a reference basis for the research on particle characteristics of coral sand under the coupling effect of freezing and seepage and for engineering and construction in the SCS. Full article
(This article belongs to the Section Civil Engineering)
Show Figures

Figure 1

15 pages, 2767 KB  
Article
Microwave-Induced Fracturing for Enhanced Permeability in Hard Rocks: A Novel Approach for In Situ Recovery in Mining
by Sahar Kafashi, Lionel Esteban, Andrej Bona and Aleksandar N. Nikoloski
Minerals 2025, 15(11), 1210; https://doi.org/10.3390/min15111210 - 17 Nov 2025
Viewed by 420
Abstract
Microwave fracturing and assisted mechanical breakage offer efficient and cost-effective rock excavation potential. However, these methods have not been well studied or understood for the deployment of in situ recovery (ISR) in mining, which could benefit from microwave-induced cracking to accelerate in situ [...] Read more.
Microwave fracturing and assisted mechanical breakage offer efficient and cost-effective rock excavation potential. However, these methods have not been well studied or understood for the deployment of in situ recovery (ISR) in mining, which could benefit from microwave-induced cracking to accelerate in situ leaching. This paper reports on investigations into the effects of microwaves on rock transport properties, specifically for in situ recovery applications. The research focused on microwave fragmentation of a synthetic ore with composition and particle size similar to many wet ore-bearing deposits, as well as hard lithium-bearing rock (spodumene) as a natural analogue, to assess changes in porosity and permeability after microwave treatment. The experiments involved exposing samples with varying water content to heating with different microwave energy levels, followed by examining the impact on the induced crack characteristics. All the samples were characterized by a suite of measurements before and after microwave treatment, including scanning electron microscopy (SEM), Nuclear Magnetic Resonance (NMR), nitrogen gas permeameter-porosimeter, and P-wave velocity measurements. The results showed a strong dependence of rock properties after microwave treatment on water content. At high water content (100%), NMR results showed a substantial increase in porosity, by nearly 17% and a dramatic 47-fold rise in permeability, from 0.65 mD to 311 mD. However, the treatment also caused partial melting of the sample, rendering it unsuitable for further testing, including permeability and P-wave velocity. At moderate water content (20%), permeability substantially increased (233–3404%), which was consistent with the observation of multiple cracks in SEM images. These changes led to low P-wave velocity values. This research provides crucial insights into microwave fracturing as a method for in situ recovery in mining. Full article
Show Figures

Figure 1

19 pages, 6191 KB  
Article
Effect of Rubber Fiber Content on the Mechanical Properties of Calcareous Sand
by Yuzhu Cheng, Hansheng Geng, Lei Wang, Yang Wang, Guoyue Yang, Yongsheng Xie, Linjian Ma and Chun Li
J. Compos. Sci. 2025, 9(11), 578; https://doi.org/10.3390/jcs9110578 - 27 Oct 2025
Viewed by 519
Abstract
The application of rubber in geotechnical engineering has gained widespread popularity due to its potential to enhance the engineering properties of foundation fills while reducing environmental pollution. This study focuses on investigating the influence of the rubber fiber content on the performance of [...] Read more.
The application of rubber in geotechnical engineering has gained widespread popularity due to its potential to enhance the engineering properties of foundation fills while reducing environmental pollution. This study focuses on investigating the influence of the rubber fiber content on the performance of calcareous sand by conducting a series of triaxial tests. The effects of the rubber fiber content and axial pressure on the strength, deformation, permeability, and particle breakage of rubber–calcareous sand were systematically studied. The experimental results reveal that increasing the rubber fiber content reduces the strength of rubber–calcareous sand, but it also inhibits the shear dilation and mitigates the occurrence of rupture surfaces: the sample with a rubber content of more than 10% only has shear-contraction. Both the rubber fiber content and axial stress contribute to the increased impermeability of rubber-modified calcareous sand, although they exhibit different characteristics. The relationship between the rubber fiber content and permeability coefficient is linear, while, under increasing axial stress, the permeability coefficient initially decreases rapidly; when the deviatoric stresses exceeds 1000 kPa, the decreasing rate slows down. Furthermore, rubber fiber significantly reduces particle breakage in calcareous sand. The relationship between the input energy applied to rubber-modified calcareous sand and the relative breakage rate of calcareous sand can be well-fitted with a power function. Samples with a higher rubber fiber content exhibit a lower relative breakage rate of calcareous sand under the same absorbed input energy. Through the research results of this paper, the best rubber ratio can be selected as the road filler in engineering practice to ensure both cost-effectiveness and environmental protection. Full article
(This article belongs to the Special Issue Composite Materials for Civil Engineering Applications)
Show Figures

Figure 1

25 pages, 8482 KB  
Article
Performance Evaluation of Conventional and Recycled Ballast Materials: A Coupled FDM-DEM Approach Considering Particle Breakage
by Juan Manuel Mayoral and Nohemí Olivera
Appl. Sci. 2025, 15(21), 11460; https://doi.org/10.3390/app152111460 - 27 Oct 2025
Viewed by 338
Abstract
The ballast consists of angular particles whose main function is to transmit and distribute train loads to the soil. However, under repeated loads, these particles wear down and break, causing permanent settlement, reducing track stability, and increasing maintenance. Characterizing stresses and deformations under [...] Read more.
The ballast consists of angular particles whose main function is to transmit and distribute train loads to the soil. However, under repeated loads, these particles wear down and break, causing permanent settlement, reducing track stability, and increasing maintenance. Characterizing stresses and deformations under monotonic and cyclic loading is essential to predict short- and long-term performance of railway systems. This numerical study evaluates the behavior of improved ballast materials, considering particle breakage. A hybrid Finite Difference and Discrete Element model was used to simulate the multiscale response of the track system under realistic loading conditions. The model was calibrated using data from laboratory tests conducted by various researchers. The performance of conventional ballast was compared with alternative mixtures, analyzing vertical displacements, stress distribution, safety factor, and particle breakage rates. Results show that the basalt-rubber composite significantly enhances ballast performance by reducing settlements and subgrade stresses while improving resistance to particle breakage. The FDM-DEM coupled approach effectively captures micromechanical interactions and breakage mechanisms, offering valuable insights for optimizing track design based on quantifiable performance criteria. Overall, the findings indicate the hybrid model and breakage–contact criteria approximated system behavior, while alternative ballast compositions improved durability, reduced maintenance, and supported resilient railway solutions. Full article
Show Figures

Figure 1

16 pages, 5375 KB  
Article
Steam Efficiently Enhancing CO2 Direct Mineralization Steel Slag Towards Actual Production: Phase Evolution, Microstructure, and Mechanisms
by Xiaoqian Wang, Changsheng Yue, Guanghua Lu, Xiangtao Huo, Guilan Yi, Haokun Li, Min Guo and Mei Zhang
Materials 2025, 18(20), 4786; https://doi.org/10.3390/ma18204786 - 20 Oct 2025
Viewed by 463
Abstract
About 120 million tons of steel slag are produced annually in China, making it one of the largest sources of industrial solid waste; however, its utilization rate remains only around 30%. The presence of f-CaO is the main factor in its widespread application. [...] Read more.
About 120 million tons of steel slag are produced annually in China, making it one of the largest sources of industrial solid waste; however, its utilization rate remains only around 30%. The presence of f-CaO is the main factor in its widespread application. Currently, the carbonation of steel slag is mainly through indirect wet mineralization, which is difficult to implement on an industrial scale. Direct dry carbonation, on the other hand, consumes more energy due to its slow kinetics. In this study, steam coupled with CO2 was used to directly mineralize steel slag, a process fully compatible with existing iron and steel industry treatment processes. The required temperature can be achieved using the waste heat from hot steel slag, eliminating the need for additional heat supply. With 15% steam injection, the CaCO3 content increased to 12.02 g/100 g (52.8 kg CO2 t−1 slag utilization), representing a 16.7% improvement. After mineralization, the f-CaO decreased to 0.61%, with 91.73% of f-CaO in steel slag mineralized. The mineralization efficiency of f-CaO increased by 20.24%. This enhancement was attributed to steam entering the interior pores of steel slag, generating intermediate Ca(OH)2, causing steel slag particle breakage and fully exposing the previously enclosed f-CaO for complete carbonation. To further utilize flue gas, the effects of different CO2 concentrations on carbon fixation were investigated. At a concentration of 20% CO2, the carbon fixation reached 69.90% of that achieved at 100% CO2. This research not only addresses the stability issues of steel slag but also reduces CO2 emissions and effectively utilizes waste heat, making the process suitable for large-scale industrial application. Full article
(This article belongs to the Section Construction and Building Materials)
Show Figures

Graphical abstract

24 pages, 2635 KB  
Review
Hailstorm Impact on Photovoltaic Modules: Damage Mechanisms, Testing Standards, and Diagnostic Techniques
by Marko Katinić and Mladen Bošnjaković
Technologies 2025, 13(10), 473; https://doi.org/10.3390/technologies13100473 - 18 Oct 2025
Viewed by 1464
Abstract
This study examines the effects of hailstorms on photovoltaic (PV) modules, focussing on damage mechanisms, testing standards, numerical simulations, damage detection techniques, and mitigation strategies. A comprehensive review of the recent literature (2017–2025), experimental results, and case studies is complemented by advanced simulation [...] Read more.
This study examines the effects of hailstorms on photovoltaic (PV) modules, focussing on damage mechanisms, testing standards, numerical simulations, damage detection techniques, and mitigation strategies. A comprehensive review of the recent literature (2017–2025), experimental results, and case studies is complemented by advanced simulation methods such as finite element analysis (FEA) and smoothed particle hydrodynamics (SPH). The research emphasises the crucial role of protective glass thickness, cell type, number of busbars, and quality of lamination in improving hail resistance. While international standards such as IEC 61215 specify test protocols, actual hail events often exceed these conditions, leading to glass breakage, micro-cracks, and electrical faults. Numerical simulations confirm that thicker glass and optimised module designs significantly reduce damage and power loss. Detection methods, including visual inspection, thermal imaging, electroluminescence, and AI-driven imaging, enable rapid identification of both visible and hidden damage. The study also addresses the financial risks associated with hail damage and emphasises the importance of insurance and preventative measures. Recommendations include the use of certified, robust modules, protective covers, optimised installation angles, and regular inspections to mitigate the effects of hail. Future research should develop lightweight, impact-resistant materials, improve simulation modelling to better reflect real-world hail conditions, and improve AI-based damage detection in conjunction with drone inspections. This integrated approach aims to improve the durability and reliability of PV modules in hail-prone regions and support the sustainable use of solar energy amidst increasing climatic challenges. Full article
(This article belongs to the Special Issue Innovative Power System Technologies)
Show Figures

Graphical abstract

19 pages, 4587 KB  
Article
Wet Media Milling Preparation and Process Simulation of Nano-Ursolic Acid
by Guang Li, Wenyu Yuan, Yu Ying and Yang Zhang
Pharmaceutics 2025, 17(10), 1297; https://doi.org/10.3390/pharmaceutics17101297 - 3 Oct 2025
Viewed by 853
Abstract
Background/Objectives: Pharmaceutical preparation technologies can enhance the bioavailability of poorly water-soluble drugs. Ursolic acid (UA) has been found to possess anti-cancer and hepatoprotective properties, demonstrating its potential as a therapeutic agent; however, its hydrophobicity and low solubility present challenges in the development [...] Read more.
Background/Objectives: Pharmaceutical preparation technologies can enhance the bioavailability of poorly water-soluble drugs. Ursolic acid (UA) has been found to possess anti-cancer and hepatoprotective properties, demonstrating its potential as a therapeutic agent; however, its hydrophobicity and low solubility present challenges in the development of drug formulations. This study investigates the preparation of a nano-UA suspension by wet grinding, researches the influence of process parameters on particle size, and explores the rules of particle breakage and agglomeration by combining model fitting. Methods: Wet grinding experiments were conducted using a laboratory-scale grinding machine. The particle size distributions (PSDs) of UA suspensions under different grinding conditions were measured using a laser particle size analyzer. A single-factor experimental design was employed to optimize operational conditions. Model parameters for a population balance model considering both breakage and agglomeration were determined by an evolutionary algorithm optimization method. By measuring the degree to which UA inhibits the colorimetric reaction between salicylic acid and hydroxyl radicals, its antioxidant capacity in scavenging hydroxyl radicals was indirectly evaluated. Results: Wet grinding process conditions for nano-UA particles were established, yielding a UA suspension with a D50 particle size of 122 nm. The scavenging rate of the final grinding product was improved to three times higher than that of the UA raw material (D50 = 14.2 μm). Conclusions: Preparing nano-UA suspensions via wet grinding technology can significantly enhance their antioxidant properties. Model regression analysis of PSD data reveals that increasing the grinding mill’s stirring speed leads to more uniform particle size distribution, indicating that grinding speed (power) is a critical factor in producing nanosuspensions. Full article
(This article belongs to the Special Issue Advanced Research on Amorphous Drugs)
Show Figures

Graphical abstract

41 pages, 2466 KB  
Article
Impact of Reaction System Turbulence on the Dispersity and Activity of Heterogeneous Ziegler–Natta Catalytic Systems for Polydiene Production: Insights from Kinetic and CFD Analyses
by Konstantin A. Tereshchenko, Nikolai V. Ulitin, Rustem T. Ismagilov and Alexander S. Novikov
Compounds 2025, 5(4), 39; https://doi.org/10.3390/compounds5040039 - 29 Sep 2025
Viewed by 459
Abstract
An analysis was conducted to investigate how reaction system turbulence affects the butadiene-isoprene copolymerization in the presence of the TiCl4 + Al(i-Bu)3 catalytic system. A model was developed, which integrates CFD simulations of TiCl4 + Al(i-Bu) [...] Read more.
An analysis was conducted to investigate how reaction system turbulence affects the butadiene-isoprene copolymerization in the presence of the TiCl4 + Al(i-Bu)3 catalytic system. A model was developed, which integrates CFD simulations of TiCl4 + Al(i-Bu)3 particle breakage based on population balance equations with the kinetic modeling of the butadiene-isoprene copolymerization. It was established that an increase in turbulent kinetic energy leads to a reduction in catalyst particle size, an increase in active site concentration, an acceleration of the copolymerization process, and a decrease in the average molecular weights of the copolymer. Furthermore, catalytic activity correlates with both the average and maximum values of turbulent kinetic energy in the reaction system, whereas the effect of the average residence time of catalytic particles under turbulent conditions is insignificant. Based on these results, recommendations were provided for optimizing the impact of reaction system turbulence on TiCl4 + Al(i-Bu)3 particles to enhance the butadiene-isoprene copolymerization rate and achieve precise control over the molecular weight characteristics of the copolymer. The findings of this study can be applied to optimize the synthesis technology of the cis-1,4 butadiene-isoprene copolymer, which is used in the production of frost-resistant rubber. Full article
(This article belongs to the Special Issue Feature Papers in Compounds (2025))
Show Figures

Figure 1

25 pages, 16689 KB  
Article
In-Depth Understanding of the Impact of Material Properties on the Performance of Jet Milling of Active Pharmaceutical Ingredients
by Viktor Bultereys, Kensaku Matsunami, Laure Descamps, Roel Mertens, Alain Collas and Ashish Kumar
Pharmaceutics 2025, 17(9), 1197; https://doi.org/10.3390/pharmaceutics17091197 - 15 Sep 2025
Cited by 1 | Viewed by 1152
Abstract
Background/Objectives: Among different milling techniques, spiral air jet milling can produce finer particles without the use of solvents or additives, thereby improving the bioavailability and content uniformity of the final dosage form. However, milling can complicate downstream processability of active pharmaceutical ingredients (APIs) [...] Read more.
Background/Objectives: Among different milling techniques, spiral air jet milling can produce finer particles without the use of solvents or additives, thereby improving the bioavailability and content uniformity of the final dosage form. However, milling can complicate downstream processability of active pharmaceutical ingredients (APIs) due to reduced bulk powder flowability and post-milling lump formation. Process settings are often optimized only for particle size reduction, without sufficient consideration of manufacturability, largely because of limited API availability and a lack of knowledge about influential material properties. This study aimed to investigate the impact of material properties and process settings on milling performance and downstream manufacturability. Methods: Four APIs, examined in a total of eight grades, were characterized for their bulk mechanical properties and compression energy parameters using a compaction simulator. These grades were subjected to milling experiments within a design-of-experiments framework. Statistical analyses were performed, and population balance models (PBMs) were developed and calibrated for each experiment to link material properties and process settings to milling outcomes. Results: A higher gas flow rate was identified as the most significant contributor to particle size reduction. The influence of mechanical properties, particularly Young’s modulus and Poisson’s ratio, was evident and correlated with unmilled particle sizes. PBM analyses showed that a higher gas feed rate decreased the critical particle size for breakage, while intrinsic mechanical properties affected the breakage rate function. Conclusions: By integrating material properties and process settings into PBM analyses, specific breakage mechanisms could be identified. These findings provide a framework for optimizing jet milling not only for particle size reduction but also for downstream processability of APIs. Full article
(This article belongs to the Special Issue Advances in Analysis and Modeling of Solid Drug Product)
Show Figures

Graphical abstract

19 pages, 3213 KB  
Article
Experimental Investigation of Deformable Gel Particles (DGPs) for Plugging Pan-Connected Interlayer Channels in High-Water-Cut Reservoirs
by Wenjing Zhao, Jing Wang, Tianjiang Wu, Ronald Omara Erik, Zhongyang Qi and Huiqing Liu
Gels 2025, 11(9), 686; https://doi.org/10.3390/gels11090686 - 27 Aug 2025
Viewed by 590
Abstract
Pan-connected interlayers are widely present in oil reservoirs, forming flow channels at different positions. However, conventional profile control agents struggle to plug deep interlayer channels in reservoirs, limiting the swept volume of injected water. Additionally, a clear methodology for physically simulating pan-connected reservoirs [...] Read more.
Pan-connected interlayers are widely present in oil reservoirs, forming flow channels at different positions. However, conventional profile control agents struggle to plug deep interlayer channels in reservoirs, limiting the swept volume of injected water. Additionally, a clear methodology for physically simulating pan-connected reservoirs with interlayer channels and calculating interchannel flow rates remains lacking. In this study, a physical model of pan-connected interlayer reservoirs was constructed to carry out deformable gel particles (DGPs) plugging experiments on interlayer channels. A mass conservation-based flow rate calculation method for interlayer channels with iterative solution was proposed, revealing the variation law of interlayer channel flow rates during DGP injection and subsequent water flooding. Finally, oil displacement and DGP profile control experiments in pan-connected interlayer reservoirs were conducted. The study shows that during DGP injection, injected water enters the potential layer through interlayer channels in the middle and front of the water-channeling layer and bypasses back to the water-channeling layer through channels near the production well. With the increase in DGP injection volume, the flow rate of each channel increases. During subsequent water flooding, DGP breakage leads to a rapid decline in its along-path plugging capability, so water bypasses back to the water-channeling layer from the potential layer through all interlayer channels. As the DGP injection volume increases, the flow rate of each channel decreases. Large-volume DGPs can regulate interlayer channeling reservoirs in the high water cut stage. Its effectiveness mechanism involves particle migration increasing the interlayer pressure difference, which drives injected water to sweep from the water-channeling layer to the potential layer through interlayer channels, improving oil recovery by 19.74%. The flow characteristics of interlayer channels during DGP injection play a positive role in oil displacement, so the oil recovery degree in this process is greater than that in the subsequent water flooding stage under each injection volume condition. The core objective of this study is to investigate the plugging mechanism of DGPs in pan-connected interlayer channels of high-water-cut reservoirs, establish a method to quantify interlayer flow rates, and reveal how DGPs regulate flow redistribution to enhance oil recovery. Full article
(This article belongs to the Special Issue Applications of Gels for Enhanced Oil Recovery)
Show Figures

Figure 1

18 pages, 4974 KB  
Article
Morphology-Controlled Single Rock Particle Breakage: A Finite-Discrete Element Method Study with Fractal Dimension Analysis
by Ruidong Li, Shaoheng He, Haoran Jiang, Chengkai Xu and Ningyu Yang
Fractal Fract. 2025, 9(9), 562; https://doi.org/10.3390/fractalfract9090562 - 26 Aug 2025
Viewed by 989
Abstract
This study investigates the influence of particle morphology on two-dimensional (2D) single rock particle breakage using the combined finite-discrete element method (FDEM) coupled with fractal dimension analysis. Three key shape descriptors (elongation index EI, roundness index Rd, and roughness index Rg [...] Read more.
This study investigates the influence of particle morphology on two-dimensional (2D) single rock particle breakage using the combined finite-discrete element method (FDEM) coupled with fractal dimension analysis. Three key shape descriptors (elongation index EI, roundness index Rd, and roughness index Rg) were systematically varied to generate realistic particle geometries using the Fourier transform and inverse Monte Carlo. Numerical uniaxial compression tests revealed distinct morphological influences: EI showed negligible impact on crushing strength or fragmentation, and Rd significantly increased crushing strength and fragmentation due to improved energy absorption and stress distribution. While Rg reduced strength through stress concentration at asperities, suppressing fragmentation and elastic energy storage. Fractal dimension analysis demonstrated an inverse linear correlation with crushing strength, confirming its predictive value for mechanical performance. The validated FDEM framework provides critical insights for optimizing granular materials in engineering applications requiring morphology-controlled fracture behavior. Full article
(This article belongs to the Special Issue Fractal and Fractional in Geotechnical Engineering, Second Edition)
Show Figures

Figure 1

23 pages, 3539 KB  
Article
Design and Experimental Analysis of a Grinding Disc Buckwheat Dehulling Machine
by Ning Zhang, Wang Li, Lihong Li and Decong Zheng
Agriculture 2025, 15(16), 1793; https://doi.org/10.3390/agriculture15161793 - 21 Aug 2025
Viewed by 850
Abstract
Buckwheat is a highly nutritious coarse grain crop, yet its industrial processing has long faced two major challenges: the low whole-kernel rate of domestic dehullers and the poor local adaptability of imported equipment. To address these problems, a novel grinding disc-type dehulling machine [...] Read more.
Buckwheat is a highly nutritious coarse grain crop, yet its industrial processing has long faced two major challenges: the low whole-kernel rate of domestic dehullers and the poor local adaptability of imported equipment. To address these problems, a novel grinding disc-type dehulling machine was developed, featuring upper and lower discs with alternating deep–shallow composite textures to reduce kernel breakage and improve whole kernel rate. A 0–10 mm adjustable gap mechanism was incorporated to suit different buckwheat varieties and particle sizes, enhancing dehulling efficiency. Buckwheat grains were classified into four size ranges: 4.0–4.5 mm, 4.5–5.0 mm, 5.0–5.3 mm, and 5.3–5.7 mm. For all sizes, the optimal rotational speed was 12 r/min, with corresponding optimal gaps of 2.53 mm, 2.80 mm, 3.20 mm, and 3.40 mm, respectively. The whole-kernel rates under these conditions were 32.9%, 37.5%, 45.6%, and 55.1%, respectively, all above 30%, showing substantial improvement. For the 4.5–5.0 mm fraction, orthogonal tests revealed that a small gap (2.859 mm) achieved a dehulling rate of 89.9% and a whole-kernel rate of 38.03%, making it suitable for mass production. A larger gap (3.288 mm) combined with secondary dehulling increased the cumulative whole kernel rate to 50.26%, which is advantageous for producing high value-added products. The novel grinding disc structure balanced frictional and compressive forces on kernels, while the adjustable gap design improved adaptability. Combined with size classification and parameter optimization, this approach provides precise processing schemes for various buckwheat varieties and offers both theoretical and practical value for industrial application. Full article
(This article belongs to the Section Agricultural Technology)
Show Figures

Figure 1

Back to TopTop