Sign in to use this feature.

Years

Between: -

Subjects

remove_circle_outline
remove_circle_outline
remove_circle_outline
remove_circle_outline
remove_circle_outline
remove_circle_outline
remove_circle_outline
remove_circle_outline
remove_circle_outline

Journals

Article Types

Countries / Regions

remove_circle_outline
remove_circle_outline
remove_circle_outline

Search Results (309)

Search Parameters:
Keywords = particleboard

Order results
Result details
Results per page
Select all
Export citation of selected articles as:
20 pages, 2576 KB  
Article
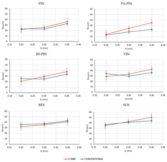
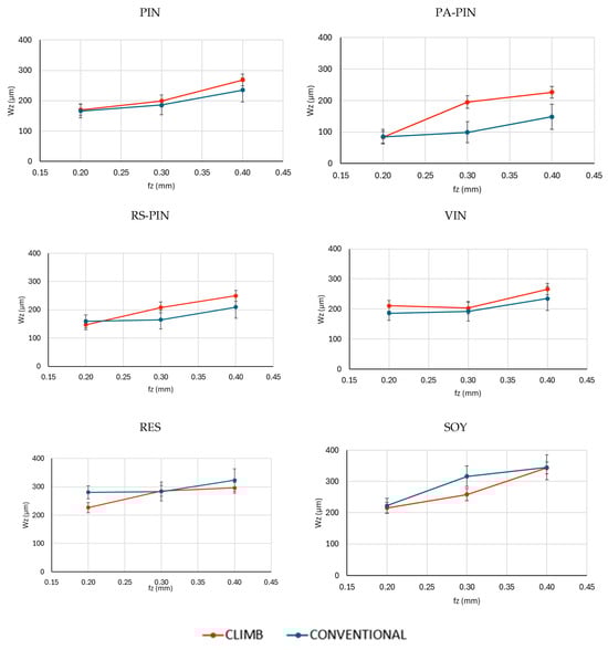
Influence of Feed per Tooth and Material Structure on Surface Roughness in CNC Edge Milling of Alternative Lignocellulosic Materials
by Luďka Hanincová, Marta Pędzik, Jiří Procházka and Tomasz Rogoziński
Forests 2026, 17(4), 512; https://doi.org/10.3390/f17040512 - 20 Apr 2026
Abstract
Surface quality of machined wood-based panels plays a key role in subsequent processing and product performance; however, its formation during CNC edge milling remains insufficiently understood, particularly for materials with different structural characteristics, including recycled content. This study investigates the influence of feed [...] Read more.
Surface quality of machined wood-based panels plays a key role in subsequent processing and product performance; however, its formation during CNC edge milling remains insufficiently understood, particularly for materials with different structural characteristics, including recycled content. This study investigates the influence of feed per tooth, milling strategy, and material structure on surface quality during CNC edge milling of particleboards manufactured from alternative lignocellulosic resources. Six board variants were experimentally produced and machined on a five-axis CNC machining center Morbidelli m100 using a single-edge milling cutter, with feed per tooth varied at three levels and both climb and conventional milling strategies applied. Surface quality was evaluated using a non-contact 3D optical profilometer Keyence VR-6000, and roughness (Ra) and waviness (Wz) parameters were analyzed. The results showed that surface roughness increased with increasing feed per tooth for all materials, with an increase of approximately 30%–70%. Statistical analysis confirmed a significant effect of feed per tooth and material type, while milling strategy and its interaction with material were not statistically significant. Materials with higher surface heterogeneity (CVRa) showed increased roughness and greater sensitivity to feed. A statistically significant positive relationship was found between surface heterogeneity (CVRa) and roughness sensitivity (ΔRa), indicating that materials with higher surface heterogeneity (CVRa), which likely reflects variability in their internal structure, are more sensitive to changes in feed per tooth. Full article
(This article belongs to the Special Issue Machining Properties of Wood and Advances in Wood Cutting)
Show Figures

Figure 1

23 pages, 1053 KB  
Article
Sustainable Food and Feed Flours for Formaldehyde Reduction in Resins and Particleboards
by Mirel Glevitzky, Ciprian Răzvan Rațiu and Mihai-Teopent Corcheş
Sustainability 2026, 18(8), 3782; https://doi.org/10.3390/su18083782 - 10 Apr 2026
Viewed by 488
Abstract
Formaldehyde emissions from urea–formaldehyde (UF)-bonded particleboards remain a significant environmental and health concern. This study evaluates the effectiveness of flours as bio-based formaldehyde scavengers in particleboard production. Food-based flours (soy, wheat, green pea) and feed flours (hemp, maize DDGS, feather meal) were incorporated [...] Read more.
Formaldehyde emissions from urea–formaldehyde (UF)-bonded particleboards remain a significant environmental and health concern. This study evaluates the effectiveness of flours as bio-based formaldehyde scavengers in particleboard production. Food-based flours (soy, wheat, green pea) and feed flours (hemp, maize DDGS, feather meal) were incorporated into UF resin at concentrations of 0.3–2.0%. Resin characterization included pH, viscosity, gelation time, solid content, and free formaldehyde, while rheological behavior was monitored at 70 °C and 90 °C. The addition of flour decreased pH from 9.1 to 7.9 and increased viscosity from 414 to up to 1600 cP, depending on flour type and dosage. Free-formaldehyde content was reduced from 0.17% to as low as 0.08%, with the most effective reduction observed for hemp flour. At industrial scale, particleboards produced with 0.5% soy and hemp flours significantly reduced free formaldehyde, with emission values of 3.26 mg/m2 and 3.05 mg/m2, corresponding to reductions of 66–70% compared to the reference (3.97 mg/m2). Mechanical properties, including density (652–665 kg·m−3), bending strength (13.2–14.1 N·mm−2), and internal bond (0.42–0.45 N·mm−2), were maintained within acceptable limits. While feed flours such as feather meal showed strong scavenging potential, they caused significant viscosity increases (up to 1800 cP), limiting processability. These findings demonstrate that adding low levels of flour, particularly soy or hemp, is an effective, renewable, and low-cost strategy to reduce formaldehyde emissions in UF-bonded particleboards, supporting the production of safer and more sustainable wood-based composites. Full article
(This article belongs to the Special Issue Advancements in Sustainable and Smart Materials)
Show Figures

Figure 1

10 pages, 1966 KB  
Article
Screw Withdrawal Resistance from WPC Profiles Used in Door Frame Production
by Zbigniew Potok, Zdzisław Kwidziński, Marta Pędzik, Krzysztof Wiaderek, Barbara Prałat and Tomasz Rogoziński
Materials 2026, 19(7), 1351; https://doi.org/10.3390/ma19071351 - 29 Mar 2026
Viewed by 335
Abstract
This study investigates the screw withdrawal resistance (SWR) of hollow wood–plastic composite (WPC) door frames, which serve as moisture-resistant alternatives to traditional wood-based materials. The tested WPC, characterised by a density of 1.33 g/cm3 and a polymer-bound lignocellulosic filler, exhibits superior dimensional [...] Read more.
This study investigates the screw withdrawal resistance (SWR) of hollow wood–plastic composite (WPC) door frames, which serve as moisture-resistant alternatives to traditional wood-based materials. The tested WPC, characterised by a density of 1.33 g/cm3 and a polymer-bound lignocellulosic filler, exhibits superior dimensional stability and low water absorption—under 4% after 24 h of immersion. The research focuses on how the unique chambered geometry of these industrial profiles affects the anchoring of 20 mm conical wood screws used to mount essential fittings such as hinges and lock catches. The SWR was determined using a universal testing machine in accordance with the modified EN 320 standards. Results indicate that the installation location within the profile significantly dictates load-bearing capacity: the band profile (lock catch) achieved an average SWR of 525.65 N, while the beam profile (hinge) averaged only 275.25 N. This performance gap arises because screws anchor only into internal “ribs” rather than the full material depth. Since these values are considerably lower than those of traditional particleboard (~1364–1775 N), the study highlights a critical need to optimise screw dimensions to ensure the structural stability and safety of hollow WPC door systems. Full article
Show Figures

Figure 1

7 pages, 865 KB  
Proceeding Paper
Upcycling Spent Palm Oil into High-Performance Polyurethane Adhesives for Dimensionally Stable Bagasse Particleboards
by June Marxis Binasoy, Sherwin Kent Compuesto, Jhanine Dungca, Charlene Elaisa Gravador, Rose Mae Mirabueno, Janelou Marielle Rosaldo, Andrea Salvador, Jerry Olay, Rugi Vicente Rubi and Rich Jhon Paul Latiza
Eng. Proc. 2026, 124(1), 44; https://doi.org/10.3390/engproc2026124044 - 24 Feb 2026
Viewed by 308
Abstract
The construction industry faces intensifying pressure to mitigate its environmental impact, particularly concerning the reliance on non-biodegradable materials and hazardous formaldehyde-based adhesives. Although bio-based alternatives are emerging, many still depend on virgin feedstocks, and the valorization rates for abundant waste streams like used [...] Read more.
The construction industry faces intensifying pressure to mitigate its environmental impact, particularly concerning the reliance on non-biodegradable materials and hazardous formaldehyde-based adhesives. Although bio-based alternatives are emerging, many still depend on virgin feedstocks, and the valorization rates for abundant waste streams like used cooking oil remain critically low. To bridge this gap, this study developed a sustainable, formaldehyde-free Modified Reused Palm Oil-Polyurethane (MRPO-PU) adhesive specifically for binding sugarcane bagasse particleboards. The synthesis process involved filtering used palm oil and subjecting it to epoxidation and hydroxylation reactions to yield a functional bio-polyol, the chemical structure of which was validated via Fourier Transform Infrared Spectroscopy (FTIR). This bio-polyol was subsequently mixed with polymeric diphenylmethane diisocyanate (pMDI) and combined with alkali-treated bagasse at varying adhesive ratios ranging from 15 to 85 wt%. Physical and mechanical evaluations demonstrated a robust positive correlation between adhesive content and composite integrity. Specifically, increasing the adhesive loading enhanced density up to 444 kg/m3 and minimized thickness swelling to 5.1%, while flexural and compressive strengths significantly improved. The data suggests an optimal efficiency range between 45 and 55 wt%. Ultimately, this research validates a dual-waste valorization strategy, offering a scalable circular economy model that transforms agricultural residues and spent oils into high-performance, eco-friendly construction materials. Full article
(This article belongs to the Proceedings of The 6th International Electronic Conference on Applied Sciences)
Show Figures

Figure 1

14 pages, 1978 KB  
Article
Development of Suberinic Acids-Bonded Medium-Density Particleboard
by Ramunas Tupciauskas, Andris Berzins, Gunars Pavlovics, Rudolfs Berzins, Martins Andzs and Janis Rizikovs
Polymers 2026, 18(4), 487; https://doi.org/10.3390/polym18040487 - 14 Feb 2026
Viewed by 457
Abstract
This study focuses on the development of wood-based particleboard that address resource efficiency, environmental sustainability, and health-related concerns. The conventional particleboard industry relies on synthetic, predominantly formaldehyde-based adhesives, which pose environmental, health, and end-use risks. Rising raw material prices, regulatory restrictions, and increasing [...] Read more.
This study focuses on the development of wood-based particleboard that address resource efficiency, environmental sustainability, and health-related concerns. The conventional particleboard industry relies on synthetic, predominantly formaldehyde-based adhesives, which pose environmental, health, and end-use risks. Rising raw material prices, regulatory restrictions, and increasing competition in the wood-processing sector have further highlighted the importance of alternative biomass resources for particleboard production. In response to these challenges, this study investigates the suitability of available sawdust resources derived from the production residues of cellular wood materials and recycled particleboards, combined with natural suberinic acids mixture obtained from birch outer bark as a binder. The effects of furnish structure, binder content (15–21%), pressing temperature (190–220 °C), pressing rate (0.9–1.7 min/mm), and board density (650–850 kg/m3) on the resulting particleboard properties were evaluated. The results demonstrate that it is possible to meet the requirement values for thickness swelling (≤17%) and internal bonding strength (≥0.40 N/mm2) specified for interior fitment boards, including furniture applications according to EN 312, Type P2. The bending properties of the best-performing particleboards are very close to the requirement values (MOE ≥ 1800 N/mm2, MOR ≥ 11 N/mm2), indicating the potential for further improvement at the target density range. Furnish structure, board thickness, density, and pressing temperature were identified as the most influential factors affecting the final board properties. Full article
(This article belongs to the Section Circular and Green Sustainable Polymer Science)
Show Figures

Figure 1

16 pages, 1662 KB  
Article
Renewable Montmorillonite-Based Antibacterial Functionalization of Particleboards for Sustainable and Healthy Indoor Environments
by Yao Pang, Jun Zhou, Hui Shi, Siyao Wang, Jintao He, Hongwu Guo, Daihui Zhang and Yi Liu
Sustainability 2026, 18(4), 1966; https://doi.org/10.3390/su18041966 - 13 Feb 2026
Viewed by 432
Abstract
Wood-based particleboards are a key component of sustainable building materials due to their renewable and low-carbon nature. However, their susceptibility to microbial contamination poses a significant challenge to indoor environmental quality and durability, limiting their alignment with the principles of a healthy and [...] Read more.
Wood-based particleboards are a key component of sustainable building materials due to their renewable and low-carbon nature. However, their susceptibility to microbial contamination poses a significant challenge to indoor environmental quality and durability, limiting their alignment with the principles of a healthy and circular built environment. In this study, a sustainable antibacterial modification strategy was developed by employing natural montmorillonite (MMT) as a renewable mineral carrier to address the challenge. A synergistic antibacterial agent (Cu2+/ZnO@MMT-O) was engineered via ion exchange and co-precipitation, effectively immobilizing Cu2+ ions and ZnO nanoparticles within the MMT structure. This process preserved the layered structure of the carrier while simultaneously enhancing its specific surface area and mesoporosity. Antibacterial tests revealed that the Cu2+/ZnO@MMT-O exhibited markedly higher antibacterial activity against Escherichia coli and Staphylococcus aureus than single-component counterparts, indicating a pronounced synergistic effect. At an additive loading of 1.25%, the particleboards exhibited antibacterial rates exceeding 99% against both tested bacteria, while their mechanical properties (MOR 10.65 MPa, MOE 2304.40 MPa, and IB 0.29 MPa) and dimensional stability (24 h TS 16.31%) compliant with national standards. Overall, this work presents a practical and sustainable approach to enhancing the hygienic performance of renewable wood composites through the integration of mineral carriers with synergistic nanoscale antibacterial mechanisms, thereby contributing to healthier indoor environments and the development of green and healthy residential materials. Full article
(This article belongs to the Special Issue Sustainable Homes of Tomorrow: Innovations in Materials and Design)
Show Figures

Figure 1

16 pages, 1563 KB  
Article
Innovative Thermoplastics Composites Made from Recycled Poly(Propylene) Reinforced with Coconut Coir Fibers
by Arif Nuryawan, Nanang Masruchin, Raja Biandi Damanik, Iwan Risnasari, Hardiansyah Tambunan, Himsar Ambarita and Byung-Dae Park
Polymers 2026, 18(4), 432; https://doi.org/10.3390/polym18040432 - 9 Feb 2026
Viewed by 540
Abstract
This study aims to evaluate the properties of poly(propylene) or PP composite reinforced with coconut coir fibers, and how these vary with fiber length and composition ratio. This innovative thermoplastic composite material was manufactured using a low-tech process from only PP, coconut coir [...] Read more.
This study aims to evaluate the properties of poly(propylene) or PP composite reinforced with coconut coir fibers, and how these vary with fiber length and composition ratio. This innovative thermoplastic composite material was manufactured using a low-tech process from only PP, coconut coir fibers, and xylene (dissolution agent). Therefore, this process is widely accessible whilst both reusing/recycling waste plastic and making use of waste fiber material to produce a useful material that can fulfill demand for wood products, which has many environmental benefits. In this research, the coconut coir fibers are used as reinforcement, as well as the filler of the composite. Nine variations in composite material were produced from three length categories of fibers (2–5 mm, 10–20 mm, and 30–40 mm) and three composition ratios (60:40, 70:30, and 80:20) of predominant plastics of PP and fibers. Physical properties of the respective composite, such as density, moisture content, and thickness swelling, were fulfilled to the Japanese Industrial Standard (JIS) for particleboard. Mechanical properties of the composites showed that both modulus of elasticity (MoE) and modulus of rupture (MoR) decreased as the length of the fibers used increased. Conversely, an increase in the proportion of PP resulted in a stronger composite. However, statistically, the interaction between the amount of PP and the length of coir fibers within the biocomposite did not influence their quality. These results demonstrate that a low-cost process for manufacturing composite from waste materials can meet most industry standards and indicate that further refinement of the process, building on these findings, could achieve an innovative thermoplastic composite with widespread structural applications whilst delivering environmental benefits. Full article
Show Figures

Graphical abstract

25 pages, 10529 KB  
Article
Valorization of Cork Waste in Particleboards Production with Innovative Binder
by Aleksander Hejna, Mateusz Barczewski, Jacek Andrzejewski, Adam Piasecki, Paulina Kosmela and Marek Szostak
Materials 2026, 19(3), 630; https://doi.org/10.3390/ma19030630 - 6 Feb 2026
Viewed by 534
Abstract
Annual cork production exceeds 300,000 tons, of which over 85% is produced in Europe. Approximately 70% of cork is triturated, of which around 30% is sent to landfill and further used for energy production, which does not utilize its potential. Among potential solutions, [...] Read more.
Annual cork production exceeds 300,000 tons, of which over 85% is produced in Europe. Approximately 70% of cork is triturated, of which around 30% is sent to landfill and further used for energy production, which does not utilize its potential. Among potential solutions, mention should be made of cork valorization in particleboard production and of taking advantage of its exceptional properties. Herein, the study assessed the potential to manufacture novel particleboards with possible applications in the construction, building, or furniture sectors from cork waste. To enhance the innovative character and reduce environmental impact, a novel binder composed of a commonly used diisocyanate and ammonium bicarbonate was introduced. Unlike conventional resins, novel resins comprise only solid components, which makes the mixing process more straightforward. Using inexpensive inorganic salts enabled the manufacture of particleboards with increased hydrophobicity, reduced density, and enhanced thermal insulation performance, while simultaneously reducing the required amount of diisocyanate. However, these benefits were accompanied by the deterioration of mechanical performance. The obtained data suggested that by properly adjusting the materials’ composition, a compromise between density, mechanical performance, and other functionalities required by the particular applications can be achieved. Full article
Show Figures

Figure 1

14 pages, 4367 KB  
Article
Evaluation of Melamine Coating Integrity on Particleboards Containing Surface Bark Inclusions
by Łukasz Adamik, Piotr Borysiuk, Marek Barlak, Jerzy Zagórski, Karol Szymanowski, Izabela Betlej and Radosław Auriga
Coatings 2026, 16(1), 103; https://doi.org/10.3390/coatings16010103 - 13 Jan 2026
Viewed by 496
Abstract
Melamine-faced particleboards are widely used in interior applications; however, their performance is often limited by the near-surface structure, film adhesion, and edge damage that can be generated during machining and service impacts. Here, model particleboards were produced with 0%, 10%, 20%, and 40% [...] Read more.
Melamine-faced particleboards are widely used in interior applications; however, their performance is often limited by the near-surface structure, film adhesion, and edge damage that can be generated during machining and service impacts. Here, model particleboards were produced with 0%, 10%, 20%, and 40% bark content in the face layers and laminated with two melamine films (light and dark décor). Density profiles, mechanical properties (MOR, MOE, internal bond, IB), and laminate adhesion (pull-off) were determined. Edge integrity was evaluated under edge milling, quantified by cumulative tear-out length (ΣL) and the normalized damage index Li (mm/m) together with tear-out depth, and under edge impact using a 0.5 kg mass dropped from 0.20 m (damage length and indentation depth). All boards were characterized by a typical U-shaped density profile, while increasing bark share reduced surface-layer density differentiation. MOR and MOE decreased significantly only at 40% bark, whereas IB (0.54–0.74 N/mm2) remained unchanged. Bark content significantly affected adhesion (32.76% contribution), whereas film type was not a significant factor. Milling damage depended on laminate: for the dark laminate, bark-containing boards showed much higher Li (54.82–60.13 mm/m) than the reference (12.26 mm/m); for the light laminate, the lowest Li occurred at 10% bark (21.24 mm/m). Tear-out depth varied narrowly (≈0.69–1.02 mm), while impact damage length ranged from 6.96 to 8.58 mm. Full article
(This article belongs to the Section Functional Polymer Coatings and Films)
Show Figures

Figure 1

22 pages, 4392 KB  
Article
Characteristics of Particleboards Made from Esterified Rattan Skin Particles with Glycerol–Citric Acid: Physical, Mechanical, Chemical, and Durability Properties
by Mahdi Mubarok, Budi Arifin, Trisna Priadi, Yusuf Sudo Hadi, Deazy Rachmi Trisatya, Eko Setio Wibowo, Imam Busyra Abdillah, Resa Martha, Abdus Syukur, Obie Farobie, Lukmanul Hakim Zaini, Sukma Surya Kusumah, Philippe Gérardin, Holger Militz, Xiaojian Zhou, Ioanna A. Papadopoulou and Antonios N. Papadopoulos
Polymers 2026, 18(1), 107; https://doi.org/10.3390/polym18010107 - 30 Dec 2025
Viewed by 736
Abstract
This study evaluated the effects of glycerol–citric acid (Gly-CA) modification and polyurethane (PU) adhesive concentration on the properties and termite resistance of rattan skin-based particleboards. Rattan skin particles were modified with 0%, 20%, and 40% Gly-CA and bonded using 6% or 12% PU [...] Read more.
This study evaluated the effects of glycerol–citric acid (Gly-CA) modification and polyurethane (PU) adhesive concentration on the properties and termite resistance of rattan skin-based particleboards. Rattan skin particles were modified with 0%, 20%, and 40% Gly-CA and bonded using 6% or 12% PU adhesive. Gly-CA modification significantly improved dimensional stability, reducing water absorption and thickness swelling to about 35–40% and 4–6%, respectively, at 40% Gly-CA with 12% PU. However, excessive modification decreased mechanical strength due to over-crosslinking, while 20% Gly-CA provided the best balance between strength and stability. FTIR analysis confirmed ester and urethane bond formation, while thermogravimetric results showed enhanced thermal stability with increasing Gly-CA content (Tmax up to 356.8 °C). Field tests conducted over 98 days revealed a substantial improvement in durability, with termite-induced mass loss decreasing from about 28% in untreated boards to below 8% in Gly-CA–modified samples. From this study, the combination of 40% Gly-CA modification and 12% PU adhesive produced particleboards with improved dimensional and thermal stability, as well as durability against termites. These findings highlight glycerol–citric acid bio-modification as a sustainable and effective strategy for developing durable eco-friendly rattan skin-based composites. Full article
(This article belongs to the Section Polymer Composites and Nanocomposites)
Show Figures

Figure 1

20 pages, 2560 KB  
Article
Potential Use of Waste Plastic (HDPE) as a Partial Substitute for Adhesive to Produce Sugarcane Bagasse Medium-Density Particleboards: Technical Feasibility and Environmental Impact Mitigation
by Afonso José Felício Peres Duran, Gabriela Pitolli Lyra, Luiz Eduardo Campos Filho, Gabriel Affonso da Costa Held, João Adriano Rossignolo and Juliano Fiorelli
Sustainability 2026, 18(1), 193; https://doi.org/10.3390/su18010193 - 24 Dec 2025
Cited by 1 | Viewed by 660
Abstract
Lignocellulosic residues are increasingly explored as alternatives to wood in particleboard production, fostering sustainability within the circular economy. Beyond these, non-lignocellulosic wastes such as plastics are gaining attention for enhancing panel durability and performance. This study evaluates waste high-density polyethylene (HDPE) as a [...] Read more.
Lignocellulosic residues are increasingly explored as alternatives to wood in particleboard production, fostering sustainability within the circular economy. Beyond these, non-lignocellulosic wastes such as plastics are gaining attention for enhancing panel durability and performance. This study evaluates waste high-density polyethylene (HDPE) as a partial substitute for adhesive resin in sugarcane bagasse-based medium-density particleboards. The objective was to valorize agricultural and plastic residues while reducing reliance on petroleum-based resins and associated environmental impacts. Panels (750 kg/m3) were produced with two face layers of sugarcane bagasse and a core layer combining bagasse and HDPE, bonded with castor oil-based polyurethane resin at 8% and 12% contents. Physical and mechanical performance was assessed against national and international standards, complemented by natural and accelerated weathering tests. A comparative life cycle assessment (LCA) was conducted to benchmark hybrid panels against conventional particleboards. Results showed that incorporating HDPE allows for resin reduction without compromising performance, meeting standard requirements for several applications. The LCA indicated lower environmental burdens in 8 of 10 impact categories for hybrid panels relative to conventional ones, underscoring their potential to reduce fossil resource use and emissions. The findings demonstrate that integrating waste plastics into particleboard production not only improves resource efficiency but also delivers tangible environmental benefits. This approach offers a scalable pathway for advancing sustainable materials, closing waste loops, and supporting circular economy practices in the wood-based panel industry. Full article
Show Figures

Figure 1

13 pages, 1297 KB  
Article
Effect of Carbon Fiber Content on the Mechanical Performance of Particleboards
by Izabela Burawska, Piotr Borysiuk and Michał Budek
Forests 2025, 16(12), 1862; https://doi.org/10.3390/f16121862 - 16 Dec 2025
Viewed by 526
Abstract
Conventional particleboards often exhibit limited mechanical strength, which restricts their use in load-bearing and high-performance applications; reinforcing these boards with carbon fibers offers a potential solution to overcome these limitations. This study investigated the effect of carbon fiber (CF) content on the mechanical [...] Read more.
Conventional particleboards often exhibit limited mechanical strength, which restricts their use in load-bearing and high-performance applications; reinforcing these boards with carbon fibers offers a potential solution to overcome these limitations. This study investigated the effect of carbon fiber (CF) content on the mechanical performance of single-layer particleboards bonded with polymeric methylene diphenyl diisocyanate (pMDI) adhesive. Carbon fibers were examined as a reinforcement to improve the mechanical properties of particleboards. Experimental boards were produced with 0, 10, 20, 30, 40, and 50% CF (based on the oven-dry mass of wood particles). The analysis included density profile distribution, modulus of rupture (MOR), modulus of elasticity (MOE), and screw withdrawal resistance (SWR). The results showed that mechanical performance improved only at lower CF contents. The most pronounced effect was observed at 10% CF, where MOR increased from 15.2 MPa (control) to 19.2 MPa, and MOE increased from 2.45 GPa to 2.91 GPa. Higher CF additions (≥20%) did not yield further improvements, and at elevated levels (≥30%), bending performance decreased (MOR dropped to 14.1–13.5 MPa) due to poor fiber dispersion and weakened interfacial bonding between fibers and wood particles. Screw withdrawal resistance increased gradually with CF content, from 156 N in the control boards to 182 N at 50% CF, although the improvement was limited by adhesion quality and mat heterogeneity. Overall, the study demonstrates that small CF additions can enhance selected mechanical properties of particleboards, whereas higher loadings negatively affect performance due to microstructural incompatibilities. Full article
(This article belongs to the Special Issue Innovations in Timber Engineering)
Show Figures

Figure 1

4 pages, 172 KB  
Editorial
Special Issue “Recent Developments in Bio-Based Particleboards and Fiberboards”
by Philippe Evon
Materials 2025, 18(24), 5556; https://doi.org/10.3390/ma18245556 - 11 Dec 2025
Viewed by 456
Abstract
This Special Issue, “Recent Developments in Bio-Based Particleboards and Fiberboards”, provides an inventory of the latest research in the area of composites reinforced with natural fibers and more particularly (but not exclusively) particleboards and fiberboards [...] Full article
(This article belongs to the Section Green Materials)
18 pages, 6237 KB  
Article
The Potential for Glass Wool Waste as a Filler in UF Adhesive to Promote Particleboard Strength
by Michelângelo Vargas Fassarella, Izabella Luzia Silva Chaves, Pedro Gutemberg Alcântara Segundinho, Juarez Benigno Paes, Roberto Carlos Costa Lelis, Michel Picanço Oliveira, Emilly Soares Gomes Silva and Fabricio Gomes Gonçalves
Recycling 2025, 10(6), 220; https://doi.org/10.3390/recycling10060220 - 5 Dec 2025
Cited by 2 | Viewed by 932
Abstract
Wastes, biomasses, and nanoparticles have motivated reformulations of adhesives in the wood-based-panel industry. This study investigated the incorporation of glass wool (GW) waste as a filler material in urea–formaldehyde (UF) adhesive, evaluating its effects on the adhesive properties as well as on the [...] Read more.
Wastes, biomasses, and nanoparticles have motivated reformulations of adhesives in the wood-based-panel industry. This study investigated the incorporation of glass wool (GW) waste as a filler material in urea–formaldehyde (UF) adhesive, evaluating its effects on the adhesive properties as well as on the physical, mechanical, fire-retardant, and acoustic properties of particleboards. Panels with a target density of 700 kg m−3 were produced with different proportions of glass wool in the adhesive (T1: 0%; T2: 3.34%; T3: 4.93%; T4: 6.52%; T5: 9.49%; T6: 12.35%). The adhesive-coated particle mat was pressed in a hydraulic press at 160 °C under a compression force of 72 tons for 10 min. The panels were subjected to analyses of their physical, mechanical, fire-retardant, and acoustic properties, as well as scanning electron microscopy (SEM) analyses. Statistical analysis involved regression, analysis of variance, and a Scott–Knott test (p < 0.05). The results indicated that adding 3.34% GW to the adhesive improved the modulus of rupture, internal bond strength, screw withdrawal resistance, and acoustic efficiency of the panels. A glass wool content of 12.35% enhanced the hardness and the damping factor. These findings highlight the potential of glass wool as a functional filler material in UF adhesive, promoting the development of stronger and more sustainable particleboards. Full article
Show Figures

Graphical abstract

44 pages, 2228 KB  
Review
Innovative Applications of Sugarcane Bagasse in the Global Sugarcane Industry
by Sylvere Ndikumana, Omar Tanane, Youness Aichi, El Farissi Latifa and Lina Goudali
Processes 2025, 13(12), 3796; https://doi.org/10.3390/pr13123796 - 24 Nov 2025
Cited by 4 | Viewed by 4278
Abstract
Sugarcane bagasse (SCB), a major byproduct of the sugar industry produced in millions of tons annually, is traditionally burned for energy but holds untapped potential for sustainable valorization amid global shifts toward renewable resources and reduced fossil fuel reliance. This review synthesizes recent [...] Read more.
Sugarcane bagasse (SCB), a major byproduct of the sugar industry produced in millions of tons annually, is traditionally burned for energy but holds untapped potential for sustainable valorization amid global shifts toward renewable resources and reduced fossil fuel reliance. This review synthesizes recent advancements in SCB applications beyond energy, emphasizing bioenergy, bioplastics, construction materials, and agriculture to advance circular economy principles—addressing a gap in the existing literature by providing a holistic, comparative analysis of processing technologies, including their efficiency, costs, and scalability, which prior reviews have overlooked. Drawing from scientific literature, industry reports, case studies, and datasets, we evaluate SCB’s composition (40–50% cellulose, 25–30% hemicellulose, 20–25% lignin) and processing methods (e.g., pretreatment, hydrolysis, gasification, pyrolysis). Key findings highlight versatile applications: bioethanol production yielding 40–70% GHG reductions per life cycle assessments; pulp/paper substitution reducing water and chemical use; nanocellulose composites for automotive and medical sectors; particleboard and ash-cement in construction cutting deforestation and carbon footprints by ~20%; and biochar/processed feed enhancing crop yields by 25% while amending soil. Unlike previous reviews focused on isolated applications, this work integrates environmental, economic, and regulatory insights, identifying challenges like standardization gaps and proposing pathways for commercialization to drive scalable, green industry transitions. Continued research and policy support are essential for realizing SCB’s role in sustainable development. Full article
(This article belongs to the Special Issue Research on Conversion and Utilization of Waste Biomass)
Show Figures

Figure 1

Back to TopTop