Sign in to use this feature.

Years

Between: -

Subjects

remove_circle_outline
remove_circle_outline
remove_circle_outline
remove_circle_outline
remove_circle_outline
remove_circle_outline
remove_circle_outline
remove_circle_outline
remove_circle_outline

Journals

remove_circle_outline
remove_circle_outline
remove_circle_outline
remove_circle_outline
remove_circle_outline
remove_circle_outline
remove_circle_outline
remove_circle_outline
remove_circle_outline
remove_circle_outline

Article Types

Countries / Regions

remove_circle_outline
remove_circle_outline
remove_circle_outline
remove_circle_outline

Search Results (620)

Search Parameters:
Keywords = particle leaching

Order results
Result details
Results per page
Select all
Export citation of selected articles as:
22 pages, 1380 KB  
Article
Selection of Optimal Cluster Head Using MOPSO and Decision Tree for Cluster-Oriented Wireless Sensor Networks
by Rahul Mishra, Sudhanshu Kumar Jha, Shiv Prakash and Rajkumar Singh Rathore
Future Internet 2025, 17(12), 577; https://doi.org/10.3390/fi17120577 - 15 Dec 2025
Abstract
Wireless sensor networks (WSNs) consist of distributed nodes to monitor various physical and environmental parameters. The sensor nodes (SNs) are usually resource constrained such as power source, communication, and computation capacity. In WSN, energy consumption varies depending on the distance between sender and [...] Read more.
Wireless sensor networks (WSNs) consist of distributed nodes to monitor various physical and environmental parameters. The sensor nodes (SNs) are usually resource constrained such as power source, communication, and computation capacity. In WSN, energy consumption varies depending on the distance between sender and receiver SNs. Communication among SNs having long distance requires significantly additional energy that negatively affects network longevity. To address these issues, WSNs are deployed using multi-hop routing. Using multi-hop routing solves various problems like reduced communication and communication cost but finding an optimal cluster head (CH) and route remain an issue. An optimal CH reduces energy consumption and maintains reliable data transmission throughout the network. To improve the performance of multi-hop routing in WSN, we propose a model that combines Multi-Objective Particle Swarm Optimization (MOPSO) and a Decision Tree for dynamic CH selection. The proposed model consists of two phases, namely, the offline phase and the online phase. In the offline phase, various network scenarios with node densities, initial energy levels, and BS positions are simulated, required features are collected, and MOPSO is applied to the collected features to generate a Pareto front of optimal CH nodes to optimize energy efficiency, coverage, and load balancing. Each node is labeled as selected CH or not by the MOPSO, and the labelled dataset is then used to train a Decision Tree classifier, which generates a lightweight and interpretable model for CH prediction. In the online phase, the trained model is used in the deployed network to quickly and adaptively select CHs using features of each node and classifying them as a CH or non-CH. The predicted nodes broadcast the information and manage the intra-cluster communication, data aggregation, and routing to the base station. CH selection is re-initiated based on residual energy drop below a threshold, load saturation, and coverage degradation. The simulation results demonstrate that the proposed model outperforms protocols such as LEACH, HEED, and standard PSO regarding energy efficiency and network lifetime, making it highly suitable for applications in green computing, environmental monitoring, precision agriculture, healthcare, and industrial IoT. Full article
(This article belongs to the Special Issue Clustered Federated Learning for Networks)
Show Figures

Figure 1

17 pages, 11794 KB  
Article
Heavy Metals Environmental Fate in Metallurgical Solid Wastes: Occurrence, Leaching, and Ecological Risk Assessment
by Shuqin Li and Guohua Ni
J. Xenobiot. 2025, 15(6), 211; https://doi.org/10.3390/jox15060211 - 15 Dec 2025
Abstract
The metallurgical industry generates substantial amounts of heavy metal-containing solid waste, posing significant environmental and health risks. This study systematically evaluates the environmental behavior and ecological risks of heavy metals in four typical metallurgical wastes: jarosite slag (SW1), electric arc furnace ash (SW2), [...] Read more.
The metallurgical industry generates substantial amounts of heavy metal-containing solid waste, posing significant environmental and health risks. This study systematically evaluates the environmental behavior and ecological risks of heavy metals in four typical metallurgical wastes: jarosite slag (SW1), electric arc furnace ash (SW2), chromium-containing sludge (SW3), and acid-base sludge (SW4). We demonstrate that particle size fundamentally governs heavy metal mobility, with fine-structured SW1 and SW2 (D50 = 4.76 µm and 1.34 µm) exhibiting enhanced metal mobility and bioavailability. In contrast, coarser SW3 and SW4 particles (D50 = 268.83 µm and 133.94 µm) retain heavy metals in more stable forms. Among all metals analyzed, cadmium (Cd) presents the most severe ecological threat, with acid-extractable fractions reaching 52% in SW2 and 45% in SW3—indicating high release potential under changing pH conditions. Risk assessment confirms high to very high ecological risks for Cd in both SW2 and SW3. Moreover, under acidic leaching conditions, SW1 and SW2 show significantly higher cumulative toxicity than SW3 and SW4. These findings highlight the critical role of waste-specific properties in controlling heavy metal fate and provide a scientific basis for targeted risk management and sustainable remediation strategies. Full article
Show Figures

Figure 1

17 pages, 2338 KB  
Article
Lignosulfonates as Surfactants to Stabilize Elemental Sulfur Dispersions
by Tatiana N. Lugovitskaya and Denis A. Rogozhnikov
Polymers 2025, 17(24), 3288; https://doi.org/10.3390/polym17243288 - 11 Dec 2025
Viewed by 240
Abstract
During sulfite delignification of wood, sulfo derivatives of lignin—lignosulfonates (LS)—are formed as a byproduct. Due to their amphiphilic nature, LS are used as plasticizers, dispersants, and stabilizers. The functions and performance characteristics of this surface-active polyelectrolyte are determined by its behavior in aqueous [...] Read more.
During sulfite delignification of wood, sulfo derivatives of lignin—lignosulfonates (LS)—are formed as a byproduct. Due to their amphiphilic nature, LS are used as plasticizers, dispersants, and stabilizers. The functions and performance characteristics of this surface-active polyelectrolyte are determined by its behavior in aqueous solution, at surfaces and interfaces, which, in turn, is determined by its chemical composition. This study investigated the effect of LS with various molecular weight compositions (Mw 9–50 kDa) on the behavior and aggregation stability of aqueous dispersions of elemental sulfur (S0) under conditions simulating hydrothermal leaching of sulfide ores. Using conductometry, potentiometry, tensiometry, and viscometry, a detailed study of the physicochemical properties of aqueous LS solutions (CLS 0.02–1.28 g/dm3) obtained from a few sources (Krasnokamsk, Solikamsk, and Norwegian Pulp and Paper Mills) was conducted. The composition, molecular weight, and concentration of LS were found to significantly affect their specific electrical conductivity, pH, intrinsic viscosity, and surface activity. LS introduction during the formation of sulfur sols is shown to promote their stabilization through electrostatic and steric mechanisms. Optimum dispersion stability (293 K, pH 4.5–5.5) was observed at moderate LS concentrations (0.02–0.32 g/dm3), when a stable adsorption layer forms on the surface of sulfur particles. High-molecular-weight LS samples provided more effective spatial stabilization of sulfur particles. It has been established that increasing temperature (293–333 K) and changing pH (1–7) significantly affect the aggregative stability of systems; specifically, the sol stability decreases with increasing temperature, and the stabilizing effect of different LS types reverses upon changing pH. The obtained results highlight the potential of using naturally occurring polymeric dispersants to control the aggregation stability of sulfur-containing heterophase systems and can be applied to the design of stable colloidal systems in chemical engineering and hydrometallurgy. Full article
(This article belongs to the Special Issue Advances in Applied Lignin Research)
Show Figures

Figure 1

19 pages, 3608 KB  
Article
Transforming Low-Value Quartz into Electronic-Grade Spherical SiO2 via a Morphology-Directed Hydrothermal Alkaline Process
by Yiqin Zhang, Hongjuan Sun, Tongjiang Peng, Saeed Rehman, Shize Chen, Lingyan Chu and Tao Chen
Minerals 2025, 15(12), 1296; https://doi.org/10.3390/min15121296 - 11 Dec 2025
Viewed by 191
Abstract
The conventional production of electronic-grade, high-purity, spherical silicon dioxide (SiO2) faces challenges of high raw material costs and poor control over particle morphology. This study presents an alternative route using low-cost, powdered quartz as a starting material. The quartz was first [...] Read more.
The conventional production of electronic-grade, high-purity, spherical silicon dioxide (SiO2) faces challenges of high raw material costs and poor control over particle morphology. This study presents an alternative route using low-cost, powdered quartz as a starting material. The quartz was first purified by flotation to remove any associated minerals, such as talc. Subsequently, deep purification was achieved through a hydrothermal alkaline process, which leveraged the distinct leaching kinetics of SiO2 and impurity ions (Al3+, Ca2+, Fe3+) under precisely controlled hydrothermal conditions (10 mL/g liquid-to-solid ratio, 3 mol/L NaOH, 200 °C, 8 h). This step yielded a sodium silicate solution with a purity of 99.999%. Spherical SiO2 particles were then synthesized from solutions of varying moduli via chemical precipitation. The condensation kinetics of silicate anionic species (Qn) during acidification were investigated, revealing how the Qn distribution governs the final particle size and morphology. The optimal product exhibited excellent characteristics: a sphericity ≥ 0.98, a median particle size (D50) of 400–500 nm, and a narrow particle size distribution (polydispersity index, PDI of 0.178–0.192). These properties surpass the requirements for the QYG-H Type 002 grade specified in the Chinese National Standard GB/T 32661-2016 (“Spherical Silica Powder”) and meet the standard for electronic-grade spherical SiO2. This work provides a fundamental insight into morphology control and a feasible technical pathway for the value-added utilization of powdered quartz and the production of electronic-grade spherical SiO2 with a narrow particle size distribution. Full article
(This article belongs to the Section Mineral Processing and Extractive Metallurgy)
Show Figures

Graphical abstract

23 pages, 2089 KB  
Article
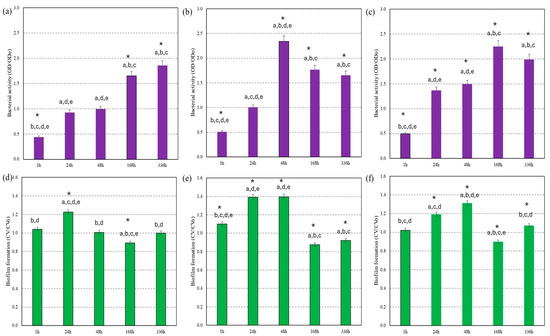
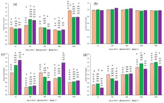
Can Micro/Nanoplastics Influence PM2.5 Characteristics: An Ex Situ Investigation by Physicochemical Indicators of PM2.5 and Their Bacterial Model Toxicity
by Hasan Saygin, Asli Baysal, Batuhan Tilkili and Sinem Karniyarik
Microplastics 2025, 4(4), 103; https://doi.org/10.3390/microplastics4040103 - 9 Dec 2025
Viewed by 145
Abstract
Exposure to PM2.5 and its associated micropollutants, including micro- and nanoplastics, has been strongly linked to adverse health effects in humans. The risk posed by micro/nanoplastics can be attributed to the particles themselves and their ability to leach into the surrounding environment. However, [...] Read more.
Exposure to PM2.5 and its associated micropollutants, including micro- and nanoplastics, has been strongly linked to adverse health effects in humans. The risk posed by micro/nanoplastics can be attributed to the particles themselves and their ability to leach into the surrounding environment. However, the impact of micro/nanoplastics on the surrounding environment through leaching is still underestimated. In this study, we conducted ex situ experiments involving micro/nanoplastics and PM2.5 at various particulate matter mass concentrations and exposure times (1–336 h). The micro/nanoplastics were then removed from the PM2.5 media, and the aromaticity, light absorption, zeta potential, and oxidative potential of the PM2.5 were measured. Furthermore, the toxicity of the PM2.5 was investigated using a bacterial model by Staphylococcus aureus. Changes in the aromaticity, light absorption, zeta potential, and oxidative potential of PM2.5 indicated the impact of the micro/nanoplastics on the PM2.5. For example, PM2.5 exhibited higher aromaticity in the initial exposure stages (2–4% and 9–11%), whereas its light absorption (0.5–6-fold) increased with prolonged exposure to micro/nanoplastics. Overall, more negative zeta potentials and higher oxidative inputs (~6–40%) were obtained in PM2.5 after micro/nanoplastic treatment. The bacterial model revealed that the viability and biofilm formation of bacteria were affected by PM2.5 exposed to micro/nanoplastics, compared to PM2.5 not exposed to micro/nanoplastics, for example, 0.5–2-fold higher bacterial activity with longer MNP exposure and 4–39% higher biofilm formation. Furthermore, the oxidative stress-related bacterial indicators were primarily influenced by the aromaticity, zeta potential, and oxidative potential of PM2.5. The results of this study suggest that the bacterium Staphylococcus aureus can adapt to PM2.5 contaminated with micro/nanoplastics. Therefore, this study highlights the potential impact of micro/nanoplastics on bacterial adaptation to environmental contaminants and antibiotic resistance via PM2.5. Full article
(This article belongs to the Collection Feature Papers in Microplastics)
Show Figures

Figure 1

16 pages, 6714 KB  
Article
Effect of Fluoride Content in Synthetic Phosphogypsum on the Hydration Behavior and Mechanical Properties of Cemented Paste Backfill
by Bin Liu, Qinli Zhang, Daolin Wang, Yan Feng, Yikun Yang and Qiusong Chen
Appl. Sci. 2025, 15(24), 12939; https://doi.org/10.3390/app152412939 - 8 Dec 2025
Viewed by 171
Abstract
Phosphogypsum-based cemented paste backfill (PCPB) represents an effective solution for managing substantial accumulations of PG. However, its practical application is limited by excessive fluoride content and insufficient strength. To systematically investigate the influence of initial fluoride content on the hydration behavior, microstructures, and [...] Read more.
Phosphogypsum-based cemented paste backfill (PCPB) represents an effective solution for managing substantial accumulations of PG. However, its practical application is limited by excessive fluoride content and insufficient strength. To systematically investigate the influence of initial fluoride content on the hydration behavior, microstructures, and strength development of PCPB specimens, synthetic phosphogypsum was prepared using CaSO4·2H2O and NaF to eliminate impurity interference in this study. A series of specimens was designed with varying initial fluoride content (5–70 mg/L), sand-to-cement ratios (1:6, 1:8, 1:10), and concentrations (63 wt%, 65 wt%). Setting time, unconfined compressive strength, isothermal calorimetry, X-ray diffraction, and scanning electron microscopy were employed to elucidate the effects and underlying mechanisms of fluoride on PCPB performance. The results indicate that higher initial fluoride content markedly delayed setting and reduced early strength. Calorimetric analysis confirmed that fluoride postponed the exothermic peak and extended the induction period, primarily due to the formation of the CaF2 layer on clinker particle surfaces, which hindered nucleation and hydration. The microscopic results further revealed that high fluoride content suppressed the formation of ettringite and C-S-H gels, resulting in more porous and loosely bonded microstructures. Leaching tests indicated that fluoride immobilization in PCPB specimens occurred mainly through CaF2 precipitation, physical encapsulation, and ion exchange. These findings provide theoretical support for the fluoride thresholds in PG below which the adverse effects on cement hydration and strength development can be minimized, contributing to the sustainable goals of waste reduction, harmless disposal, and resource recovery in the phosphate industry. Full article
Show Figures

Figure 1

22 pages, 7385 KB  
Article
Calcification Roasting-Microwave Acid Leaching of Vanadium from Vanadium-Bearing Steel Slag
by Le Wang, Minhao Zhang, Xueying Shao and Jinglong Liang
Crystals 2025, 15(12), 1040; https://doi.org/10.3390/cryst15121040 - 4 Dec 2025
Viewed by 238
Abstract
Enhanced vanadium recovery from vanadium-bearing steel slag is essential in the sustainable use of metallurgical solid waste. This study uses microwave-assisted acid leaching on roasted clinker and systematically investigates it to enhance vanadium recovery; uses response surface methodology (RSM) to identify optimal parameters [...] Read more.
Enhanced vanadium recovery from vanadium-bearing steel slag is essential in the sustainable use of metallurgical solid waste. This study uses microwave-assisted acid leaching on roasted clinker and systematically investigates it to enhance vanadium recovery; uses response surface methodology (RSM) to identify optimal parameters for leaching; and the influences of sulfuric acid concentration, leaching time, liquid-to-solid ratio (L/S ratio), and leaching temperature on vanadium dissolution are evaluated. The optimal leaching parameters are identified as an L/S ratio of 10:1, 41% sulfuric acid concentration, 65 min leaching time, and 92 °C leaching temperature, under which the highest vanadium extraction rate is 84.58%. Kinetic studies revealed that the leaching behavior during the initial 30 min followed a shrinking core model with fixed particle size. The vanadium microwave-assisted acid leaching process exhibited the observed activation energy (Ea) of 37.30 kJ·mol−1, following a kinetic order of 1.5392 relative to sulfuric acid concentration, implying that ion transport across the solid phase formed during the reaction determined the step that limits the reaction rate. The semi-empirical kinetic equation established in this study accurately describes the leaching behavior under different conditions. This research establishes a theoretical framework and technical reference for boosting vanadium recovery from steel slag, which uses microwave-assisted leaching technology. Full article
(This article belongs to the Section Inorganic Crystalline Materials)
Show Figures

Figure 1

18 pages, 5209 KB  
Article
Indium Recovery from ITO in LCD Glass Using Magnetic Separation and Sulfuric Acid: Influence of Fractions and Process Conditions
by Joanna Willner, Iva Janakova, Magdalena Jablonska-Czapla, George Yandem, David Hrecin and Jana Sedlakova-Kadukova
Processes 2025, 13(12), 3917; https://doi.org/10.3390/pr13123917 - 4 Dec 2025
Viewed by 263
Abstract
This study emphasizes the role of magnetic separation as a novel pretreatment strategy for the recovery of indium from ITO coatings in LCD screen glass. Previous studies have primarily focused on the magnetic separation of leaching residues. In this work, a reverse approach [...] Read more.
This study emphasizes the role of magnetic separation as a novel pretreatment strategy for the recovery of indium from ITO coatings in LCD screen glass. Previous studies have primarily focused on the magnetic separation of leaching residues. In this work, a reverse approach is proposed, and for the first time, magnetic separation was systematically applied prior to leaching. Our results demonstrate that indium accumulates in the ferromagnetic fraction, indicating its association with Fe-rich phases. In addition to Fe, the behavior of Sr and Si was also evaluated, providing a broader understanding of elemental distribution within LCD glass. This finding offers new insights into the distribution and mobility of indium during hydrometallurgical processing and highlights magnetic separation as a valuable step for improving recovery efficiency. To establish optimal leaching conditions, preliminary experiments were performed on ground LCD glass using sulfuric acid at three concentrations (0.1, 1, and 5 M) and two temperatures (21 °C and 65 °C) for both coarse (>1 mm) and fine (<1 mm) particle fractions. All residues and solid-state analyses were performed using the XRF method. Acid molarity was found to be the dominant factor controlling indium dissolution, with 5 M H2SO4 selected as the most effective leaching medium. Statistical evaluation further clarified the dissolution trends of these elements and confirmed the significance of magnetic separation in enhancing the efficiency of indium recovery. Full article
(This article belongs to the Special Issue Advances in Solid Waste Treatment and Design (2nd Edition))
Show Figures

Figure 1

16 pages, 2157 KB  
Article
Bimetallic Pd- and Co-Containing Mesoporous Carbons as Efficient Reusable Nanocatalysts for Hydrogenations of Nitroarenes and Enones Under Mild and Green Conditions
by Mohamed Enneiymy, Cyril Vaulot, Loïc Vidal, Camelia Matei Ghimbeu, Claude Le Drian and Jean-Michel Becht
Catalysts 2025, 15(12), 1126; https://doi.org/10.3390/catal15121126 - 2 Dec 2025
Viewed by 231
Abstract
Easy and rapid preparations of magnetic Co- and Pd-containing mesoporous carbons (IM1, IM2 and DM) from green phenolic resins, amphiphilic templates and metallic salts via two synthetic routes are reported. Catalysts IM1 and IM2 are prepared via an indirect method [...] Read more.
Easy and rapid preparations of magnetic Co- and Pd-containing mesoporous carbons (IM1, IM2 and DM) from green phenolic resins, amphiphilic templates and metallic salts via two synthetic routes are reported. Catalysts IM1 and IM2 are prepared via an indirect method involving two steps, i.e., the preparation of Co-containing mesoporous carbons with different Co contents (2.5 and 12.5%) and the further introduction of Pd (2.3%) via impregnation using a solution of a Pd salt and a process of thermal reduction. The mesoporous carbon obtained contains two distinct crystalline metallic phases, i.e., Co particles of 5.0 nm (IM1) and Pd nanoparticles of ~1.3 nm (IM1), while the increase in Co content triggers higher Co particle sizes of 23 nm and Pd particle sizes of 1.3 and 6.8 nm (IM2). Differently, the catalyst DM is prepared via direct synthesis, in one step, including all precursors and both metal salts. This results in Pd50-Co50 nanoalloys of 6.5 nm uniformly dispersed in the carbon matrix. The reactivity and reusability of catalysts IM1, IM2 and DM were then ascertained in organic synthesis for hydrogenations of nitroarenes and enones. It turned out that no reactions were observed in the presence of the catalyst DM due to the presence of Co in Pd50-Co50, which deactivates the catalytic activity of Pd. Gratifyingly, catalysts IM1 and IM2 were very efficient for mild hydrogenations of both nitroarenes and enones using only 5 mequiv. of supported Pd in EtOH at room temperature. The smaller Pd particle sizes (1.3 nm) and the high surface-to-volume area are probably responsible for the high reactivity observed. Catalysts IM1 and IM2 can be recovered by application of an external magnetic field. However, a more efficient magnetic recovery of catalyst IM2 compared to IM1 was observed due to its higher Co content. Catalyst IM2 can be successfully reused at least seven times without a loss of efficiency. Finally, almost-Pd-free products can be obtained directly after reaction without any purification step, since the Pd leaching is very low (<0.1% of the initial amount), thus decreasing waste and increasing the reaction’s efficiency. Full article
(This article belongs to the Special Issue Catalyst Immobilization)
Show Figures

Graphical abstract

23 pages, 6731 KB  
Article
Research on the Infiltration Effect of Waterborne Polyurethane Cementitious Composite Slurry Penetration Grouting Under Vacuum Effect
by Chungang Zhang, Feng Huang, Yingguang Shi, Xiujun Sun and Guihe Wang
Polymers 2025, 17(23), 3205; https://doi.org/10.3390/polym17233205 - 1 Dec 2025
Viewed by 258
Abstract
To address the issue of restricted grout diffusion caused by seepage effects during grouting in sandy soil layers, this study proposes an optimised grouting method for water-based polyurethane-cement composite grout (WPU-CS) under vacuum-pressure synergy. By establishing a porous medium flow model based on [...] Read more.
To address the issue of restricted grout diffusion caused by seepage effects during grouting in sandy soil layers, this study proposes an optimised grouting method for water-based polyurethane-cement composite grout (WPU-CS) under vacuum-pressure synergy. By establishing a porous medium flow model based on the mass conservation equation and linear filtration law, the influence mechanism of cement particle seepage effects was quantitatively characterised. An orthogonal test (L9(34)) optimised the grout composition, determining the optimal parameter combination as the following: water-to-cement ratio 1.5:1, polyurethane-to-cement ratio 5~10%, magnesium aluminium silicate content 1%, and hydroxypropyl methylcellulose content 0.15%. Vacuum permeation grouting tests demonstrated that compared to pure cement slurry, WPU-CS reduced filter cake thickness by 80%, significantly suppressing the leaching effect (the volume fraction δ of cement particles exhibited exponential decay with increasing distance r from the grouting end, and the slurry front velocity gradually decreased). Concurrently, the porosity ϕ in the grouted zone showed a gradient distribution (with more pronounced porosity reduction near the grouting end). When vacuum pressure increased from −10 kPa to −30 kPa, slurry diffusion distance rose from 11 cm to 18 cm (63.6% increase). When grouting pressure increased from 20 kPa to 60 kPa, diffusion distance increased from 8 cm to 20 cm (150% increase). The study confirms that synergistic control using WPU-CS with moderate grouting pressure and high vacuum effectively balances seepage suppression and soil stability, providing an innovative solution for efficient sandy soil reinforcement. Full article
(This article belongs to the Section Polymer Applications)
Show Figures

Figure 1

22 pages, 704 KB  
Systematic Review
Biocompatibility and Safety of Orthodontic Clear Aligners and Thermoplastic Retainers: A Systematic In Vitro Review (2015–2025)
by Lea Kolenc, Jan Oblak, Maja Ovsenik, Čedomir Oblak and Rok Ovsenik
Appl. Sci. 2025, 15(23), 12494; https://doi.org/10.3390/app152312494 - 25 Nov 2025
Viewed by 584
Abstract
Background: Clear aligners have become a common alternative to fixed appliances for tooth movement, and thermoplastic retainers hold the outcome. The prolonged intraoral contact of these devices has made the materials a focus of biocompatibility research. Objectives: This paper aims to summarize laboratory [...] Read more.
Background: Clear aligners have become a common alternative to fixed appliances for tooth movement, and thermoplastic retainers hold the outcome. The prolonged intraoral contact of these devices has made the materials a focus of biocompatibility research. Objectives: This paper aims to summarize laboratory evidence on the biocompatibility of clear aligners and thermoplastic retainers. Materials included thermoformed polyethylene terephthalate glycol-modified (PETG), multilayer polyurethane, and directly printed resins. Primary outcomes were cytotoxicity, endocrine activity, and chemical or particle release. Methods: We systematically searched PubMed, the Cochrane Library, and Google Scholar through 31 May 2025, and we followed the PRISMA 2020 statement (Preferred Reporting Items for Systematic Reviews and Meta-Analyses). We applied predefined eligibility criteria. Two reviewers screened records and extracted data in duplicate, including study design, extraction conditions, surface-area-to-volume ratio (SA/V), cell models, endpoints, and analytical sensitivity as the limit of detection (LOD) and limit of quantification (LOQ). We assessed the risk of bias across seven domains and graded certainty by outcome. We did not register a protocol prospectively. Results: Seventeen studies met the inclusion criteria. Materials spanned multilayer polyurethanes (SmartTrack, Clarity), PETG sheets (Essix ACE, Duran), and directly printed resins (Graphy TC-85DAC); a subset tested zinc-oxide (ZnO) nanoparticle coatings. Typical extractions immersed 0.1–1 g of material in cell-culture medium or artificial saliva at 37 °C for 24 h to 30 days. Cell viability usually remained ≥80%. Mild cytotoxicity (about 60–70% viability) appeared with harsher extractions, extended soaks, or an inadequate post-curing of printed parts. The estrogen-sensitive proliferation assay (E-Screen) returned negative results. In saliva-like media, bisphenol A (BPA) and related leachables were undetectable or in the low ng/mL range. In printed resins, urethane dimethacrylate (UDMA) sometimes appeared in water extracts, and amounts varied with curing quality. Evidence for chemical leaching and endocrine outcomes is sparse. We found no eligible in vitro study that quantified particle or microplastic release while also measuring a biological endpoint; we discuss particle findings from mechanical wear simulations only as the external context. Limitations: The evidence base is limited to in vitro studies. Many reports incompletely described extraction ratios and processing parameters. Risk of bias and certainty: Most studies used appropriate cell models and controls, but the reporting of surface-area-to-volume ratios, LOD/LOQ, and detailed post-processing parameters was often incomplete. Sample sizes were small, and dynamic wear or enzymatic conditions were uncommon. The overall risk of bias was moderate, and the certainty of evidence was low to moderate due to heterogeneity and in vitro indirectness. Conclusions: Under standard laboratory conditions, clear aligners and thermoplastic retainers show a favorable biocompatibility profile. For printed resins, outcomes depend mainly on processing quality, especially thorough washing and appropriate light-curing parameters. To improve comparability and support clinical translation, we recommend harmonized test protocols, transparent reporting, interlaboratory ring trials, and targeted clinical biomonitoring. Full article
(This article belongs to the Special Issue Novel Biomaterials in Dentistry)
Show Figures

Figure 1

28 pages, 2441 KB  
Review
Microplastic Behavior in Sludge Pretreatment and Anaerobic Digestion: Impacts, Mechanistic Insights, and Mitigation Strategies
by Peng Yue and Rongwei Chen
Sustainability 2025, 17(23), 10471; https://doi.org/10.3390/su172310471 - 22 Nov 2025
Viewed by 480
Abstract
Microplastics (MPs) are increasingly reported as contaminants in sewage sludge, with wastewater treatment plants retaining approximately 103–106 particles kg−1 of dry sludge. Anaerobic digestion (AD), widely applied for sludge stabilization and energy recovery, does not consistently remove these particles; [...] Read more.
Microplastics (MPs) are increasingly reported as contaminants in sewage sludge, with wastewater treatment plants retaining approximately 103–106 particles kg−1 of dry sludge. Anaerobic digestion (AD), widely applied for sludge stabilization and energy recovery, does not consistently remove these particles; MPs frequently persist and, at elevated or sensitive loadings, have been shown to affect methane production, microbial communities and sludge quality. In parallel, thermal hydrolysis and related pretreatments are being implemented at full scale to enhance sludge biodegradability, exposing embedded MPs to high temperature and pressure prior to AD. This review compiles and analyzes experimental studies on MPs in sludge pretreatment and AD systems, with an emphasis on how pretreatment severity, MP type, particle size and concentration influence MP transformation and process performance. Reported data indicate that intensified pretreatment accelerates MP aging, causing fragmentation, oxidative surface modification and additive release, while subsequent AD generally induces limited further MP degradation but can be negatively affected through reduced methane yields, shifts in microbial consortia and altered behavior of co-contaminants. Mechanisms implicated include leaching of plastic additives, enhanced oxidative and physiological stress, and formation of plastisphere biofilms that perturb syntrophic interactions. Mitigation approaches, including optimized thermal hydrolysis–AD configurations and the use of carbonaceous sorbents, are assessed with regard to their effects on MP-associated inhibition and their practical constraints. Analytical limitations, uncertainties in MP mass balances and environmental fate, and key research needs for evaluating MP risks and designing MP-resilient sludge treatment and biosolid management strategies are identified. Full article
(This article belongs to the Section Pollution Prevention, Mitigation and Sustainability)
Show Figures

Figure 1

15 pages, 2767 KB  
Article
Microwave-Induced Fracturing for Enhanced Permeability in Hard Rocks: A Novel Approach for In Situ Recovery in Mining
by Sahar Kafashi, Lionel Esteban, Andrej Bona and Aleksandar N. Nikoloski
Minerals 2025, 15(11), 1210; https://doi.org/10.3390/min15111210 - 17 Nov 2025
Viewed by 425
Abstract
Microwave fracturing and assisted mechanical breakage offer efficient and cost-effective rock excavation potential. However, these methods have not been well studied or understood for the deployment of in situ recovery (ISR) in mining, which could benefit from microwave-induced cracking to accelerate in situ [...] Read more.
Microwave fracturing and assisted mechanical breakage offer efficient and cost-effective rock excavation potential. However, these methods have not been well studied or understood for the deployment of in situ recovery (ISR) in mining, which could benefit from microwave-induced cracking to accelerate in situ leaching. This paper reports on investigations into the effects of microwaves on rock transport properties, specifically for in situ recovery applications. The research focused on microwave fragmentation of a synthetic ore with composition and particle size similar to many wet ore-bearing deposits, as well as hard lithium-bearing rock (spodumene) as a natural analogue, to assess changes in porosity and permeability after microwave treatment. The experiments involved exposing samples with varying water content to heating with different microwave energy levels, followed by examining the impact on the induced crack characteristics. All the samples were characterized by a suite of measurements before and after microwave treatment, including scanning electron microscopy (SEM), Nuclear Magnetic Resonance (NMR), nitrogen gas permeameter-porosimeter, and P-wave velocity measurements. The results showed a strong dependence of rock properties after microwave treatment on water content. At high water content (100%), NMR results showed a substantial increase in porosity, by nearly 17% and a dramatic 47-fold rise in permeability, from 0.65 mD to 311 mD. However, the treatment also caused partial melting of the sample, rendering it unsuitable for further testing, including permeability and P-wave velocity. At moderate water content (20%), permeability substantially increased (233–3404%), which was consistent with the observation of multiple cracks in SEM images. These changes led to low P-wave velocity values. This research provides crucial insights into microwave fracturing as a method for in situ recovery in mining. Full article
Show Figures

Figure 1

17 pages, 3419 KB  
Article
Effect of (NH4)2SO4 Solution Concentration on Bound Water Content in Ion Adsorption Rare-Earth Raw Ore
by Yuehua Liang, Jie Wang, Zhikui Fei, Chenliang Peng, Hourui An and Zhanfeng Fan
Metals 2025, 15(11), 1254; https://doi.org/10.3390/met15111254 - 17 Nov 2025
Viewed by 350
Abstract
Ion adsorption rare-earth (IARE) ores, a strategic metal resource, are extracted by leaching with ammonium sulfate [(NH4)2SO4] solution, our samples have ∑REO grades of 0.032–0.079% wt%. IARE sandstone, mudstone, clay, and strongly weathered rock were selected as test materials. [...] Read more.
Ion adsorption rare-earth (IARE) ores, a strategic metal resource, are extracted by leaching with ammonium sulfate [(NH4)2SO4] solution, our samples have ∑REO grades of 0.032–0.079% wt%. IARE sandstone, mudstone, clay, and strongly weathered rock were selected as test materials. Surface-related physicochemical parameters were determined, and bound water was determined by volumetric flask pycnometry. For each IARE lithology, we also obtained particle size distributions and evaluated bound water variation in (NH4)2SO4 solutions at 0, 1, 2, and 3 wt%. Based on the Gouy–Chapman theory, the relationship between the surface bound water and solution concentration, as well as the surface charge of IARE samples, and other influencing factors was explored. The experimental results show the following: ① The surface charge per unit area of four types of IARE samples, namely mudstone, sandstone, clay, and strongly weathered rock, are 0.7072 × 10−2 mmol/m2, 1.9620 × 10−2 mmol/m2, 1.5418 × 10−2 mmol/m2, and 2.1003 × 10−2 mmol/m2, respectively, with strongly weathered rock having the highest and mudstone having the lowest. ② As the concentration of aqueous (NH4)2SO4 increases (0, 1, 2, 3 wt%), the total volume reduction in free water ∆V in the system increases, and the mass of adsorbed bound water per unit mass of IARE sample also increases. ③ As the concentration of the solution increases, the thickness of the diffusion double layer on the surface of the IARE sample is compressed, the total amount of adsorbed anions and cations on the surface increases, and the density of the surface water film also increases, leading to a corresponding increase in the quality of adsorbed bound water. ④ Under the same solution concentration, the variation trend of adsorbed bound water mass per unit area of IARE samples is strongly weathered rock > sandstone > clay > mudstone, which is consistent with the trend of surface charge per unit area of IARE samples. A higher lixiviant concentration increases bound water, shrinks the effective pore throats of the ore body, reduces hydraulic conductivity, and consequently diminishes leaching efficiency. Full article
(This article belongs to the Special Issue Advances in Recycling of Valuable Metals—2nd Edition)
Show Figures

Figure 1

17 pages, 5213 KB  
Article
Heterogeneous UV–Fenton Process by Maize-Straw-Templated TiO2/Fe3O4 for the Degradation of Tetracycline: Optimization Using Response Surface Methodology
by Xiaodan Yu, Qiancheng Ji and Yang Cui
Processes 2025, 13(11), 3701; https://doi.org/10.3390/pr13113701 - 16 Nov 2025
Viewed by 333
Abstract
The heterogeneous Fenton-like catalysts TiO2/Fe3O4 were fabricated using maize straw as template (MST-TiO2/Fe3O4) by calcination followed by the hydrothermal method. The characterization showed that higher Fe3O4 particle dispersion, closer [...] Read more.
The heterogeneous Fenton-like catalysts TiO2/Fe3O4 were fabricated using maize straw as template (MST-TiO2/Fe3O4) by calcination followed by the hydrothermal method. The characterization showed that higher Fe3O4 particle dispersion, closer interaction between TiO2 and Fe3O4, stronger electron transfer ability, and lower leaching of Fe ions of MST-TiO2/Fe3O4 catalyst resulted in higher catalytic activity towards the degradation of tetracycline (TC) compared to pure Fe3O4. The best conditions for TC degradation were initial pH = 6.74, 11.52 mmol/L of H2O2, 0.38 g/L of MST-TiO2/Fe3O4, and a reaction time of 56.63 min according to the response surface methodology (RSM) result based on the Box–Behnken design (BBD). The quadratic model was well-fitted to the experimental data with R2 (0.9843) and adj-R2 (0.9660) by the analysis of variance (ANOVA). Under the optimum reaction conditions, a maximum removal rate of 98.67% was achieved. The findings of the present study revealed that heterogeneous UV–Fenton process catalyzed by MST-TiO2/Fe3O4 was a suitable way for the degradation of TC from aqueous environment. Full article
(This article belongs to the Section Environmental and Green Processes)
Show Figures

Figure 1

Back to TopTop