Next Article in Journal
Analysis of the Role of Fly Ash and Calcium Hydroxide in Synergistically Regulating the Fluidity, Setting, and Strength of Alkali-Activated Slag
Previous Article in Journal
Experimental Study on the Influence of Waste Stone Powder on the Properties of Alkali-Activated Slag/Metakaolin Cementitious Materials
 
 
Font Type:
Arial Georgia Verdana
Font Size:
Aa Aa Aa
Line Spacing:
Column Width:
Background:
Article

Calcification Roasting-Microwave Acid Leaching of Vanadium from Vanadium-Bearing Steel Slag

1
College of Metallurgy and Energy, North China University of Science and Technology, Tangshan 063210, China
2
Yanzhao Iron and Steel Laboratory, North China University of Science and Technology, 21 Bohai Street, Tangshan 063210, China
3
AVIMET Powder Metallurgy Technology (Xuzhou) Co Ltd., Xuzhou 221000, China
*
Author to whom correspondence should be addressed.
Crystals 2025, 15(12), 1040; https://doi.org/10.3390/cryst15121040
Submission received: 12 November 2025 / Revised: 27 November 2025 / Accepted: 2 December 2025 / Published: 4 December 2025
(This article belongs to the Section Inorganic Crystalline Materials)

Abstract

Enhanced vanadium recovery from vanadium-bearing steel slag is essential in the sustainable use of metallurgical solid waste. This study uses microwave-assisted acid leaching on roasted clinker and systematically investigates it to enhance vanadium recovery; uses response surface methodology (RSM) to identify optimal parameters for leaching; and the influences of sulfuric acid concentration, leaching time, liquid-to-solid ratio (L/S ratio), and leaching temperature on vanadium dissolution are evaluated. The optimal leaching parameters are identified as an L/S ratio of 10:1, 41% sulfuric acid concentration, 65 min leaching time, and 92 °C leaching temperature, under which the highest vanadium extraction rate is 84.58%. Kinetic studies revealed that the leaching behavior during the initial 30 min followed a shrinking core model with fixed particle size. The vanadium microwave-assisted acid leaching process exhibited the observed activation energy (Ea) of 37.30 kJ·mol−1, following a kinetic order of 1.5392 relative to sulfuric acid concentration, implying that ion transport across the solid phase formed during the reaction determined the step that limits the reaction rate. The semi-empirical kinetic equation established in this study accurately describes the leaching behavior under different conditions. This research establishes a theoretical framework and technical reference for boosting vanadium recovery from steel slag, which uses microwave-assisted leaching technology.

1. Introduction

Vanadium is a vital resource for multiple sectors, including metallurgy, defense, energy, and the chemical sectors [1,2,3]. This strategic resource plays an essential role in steel manufacturing, alloy materials [4], and energy storage [5]. It is the steel industry that utilizes nearly 85% of the world’s vanadium output. In steel manufacturing, vanadium combines with carbon to form second-phase particles, inhibiting austenite grain recrystallization and improving steel’s tempering stability. The introduction of a small amount of vanadium into molten steel can significantly enhance its tensile strength, hardness, fatigue resistance, and toughness [6,7,8]. Vanadium–titanium magnetite is the most important vanadium-bearing resource worldwide [9]. China possesses abundant vanadium–titanium magnetite resources, which account for about 50% of the national reserves. During the steelmaking process using vanadium–titanomagnetite as the feedstock, vanadium-containing molten iron is oxidized and blown to obtain vanadium slag (V2O5 ≥ 12%) as the feedstock for vanadium product manufacturing. Vanadium-bearing steel slag forms in steelmaking when vanadium–titanomagnetite serves as the ore source. There are two pathways through which vanadium partitions into the slag phase, originating from the generation of vanadium-bearing steel slag [10,11,12]: one pathway involves the presence of vanadium as a trace element in the steel slag by blowing. When converting vanadium slag into vanadium-bearing hot metal, approximately 5–10% of the residual vanadium contained in the slag partitions into the semi-refined steel slag, and finally forms vanadium-bearing steel slag with lower grade (V2O5 ≈ 1–3%). The other method is to directly convert vanadium-containing hot metal into steel slag and generate vanadium-containing steel slag without converting vanadium slag [13]. Currently, there is no industrial treatment method for vanadium-containing steel slag, which can only be stockpiled, leading to the waste of land resources and vanadium. Therefore, in response to the national policy requirements of resource conservation and environmental protection, the vanadium extraction from vanadium-bearing steel slag has gradually attracted increasing attention from scientific researchers. Currently, from vanadium-bearing steel slag, vanadium extraction is primarily achieved through two main approaches [14]. Firstly, via the pyrometallurgical vanadium extraction method. The sintered slag containing vanadium is transferred into the ironmaking furnace for secondary treatment, and is then smelted to produce vanadium-containing hot metal, and the vanadium-enriched high-grade vanadium slag is obtained by oxidation and conversion. The production efficiency is high, but the vanadium recovery efficiency remains low. The second method is the wet vanadium extraction method, which primarily involves water or acid leaching following alkaline salt roasting or leaching in acidic media, following calcium-assisted roasting. This route features a short process flowsheet and enables high vanadium recovery efficiency, and is the main vanadium extraction method at present.
Vanadium predominantly occurs as a peridotite phase encapsulated by ferrovanadium spinel in vanadium-bearing steel slag [15], both of which hinder the leaching of vanadium [16,17]. Generally, alkaline salts are employed for oxidative roasting, enabling the transfer of vanadium in the slag from the spinel phase into acid-soluble vanadate to achieve vanadium extraction. The conventional leaching route uses sodium salt roasting followed by water leaching. Rashchi’s group has proposed a sodium-roasting–acid leaching process [18]. To obtain a roasting clinker under the same roasting conditions, leach in sulfuric acid solution to obtain vanadium sulfate leaching solution, and the rate of vanadium extraction can be up to 96%. In contrast, this method involves the consumption of a large amount of sodium salt and sulfuric acid per unit of vanadium product, owing to the low vanadium grade in steel slag. Deng et al. [19] found that low-temperature roasting can avoid the wrapping and sintering phenomenon caused by particles in the high-temperature region. It found that the rate of vanadium leaching can be up to 87.74%. This occurred under 650 °C roasting, a 2 h holding time, a sodium-to-vanadium molar ratio of 0.6, and a Na2S2O8 dosage of 5%. Although the vanadium leaching rate becomes more effective, its harmful gas (Cl2, SO2, etc.) emissions seriously pollute the environment [20,21], and this method is unsuited to roasting vanadium-bearing steel slag characterized by high calcium levels and low vanadium content. Calcium-containing additives possess sulfur-fixing properties; therefore, roasting with calcium salt could prevent the generation of toxic gases, thereby achieving green production [22,23]. Zhang et al. [24] determined how roasting temperature and leaching conditions influence vanadium leaching rate during calcium roasting-based vanadium extraction. It is found that the vanadium leaching rate exceeds 83% within 30 min when the roasting clinker is placed in dilute sulfuric acid at 55 °C, with a pH value of 2.5. Because the calcium sulfate produced by it is relatively dense, it wraps the vanadium element and hinders the leaching of vanadium; thus, it cannot entirely substitute the conventional sodium salt roasting-based vanadium extraction process [25]. To enhance the recovery rate of valuable metal elements, microwave-assisted heating leaching is mostly used at present [26]. In metallurgy, microwave-assisted heating has found widespread application for its efficiency and cleanliness. When using microwave heating during the extraction process, mineral grains develop microcracks as a result of variations in local stress levels. This leads to improved reaction efficiency. Microwaves can contribute to molecular homogenization. Thus, this can lead to an enhanced leaching rate and reaction efficiency when using microwave-assisted leaching. Zhang et al. [27] examined the extraction of indium from indium-bearing zinc ferrite through conventional and microwave-assisted treatment under identical conditions. Their results demonstrated that a 2.2-times-greater indium extraction rate is achieved using microwave-assisted treatment when compared to methods under conventional heating. Tian et al. [28] conducted electric heating and microwave heating leaching experiments on converter vanadium slag (V2O5 > 15%). It is observed that in the same identical conditions, the rate of vanadium leaching using microwave heating can reach approximately 96%, which is significantly higher than the value achieved under conventional electric heating. Microwave-assisted leaching can promote spinel phase breakdown within converter vanadium slag, decrease grain size, and enhance the rate of vanadium leaching. However, microwave heating technology is mostly used to study converter vanadium slag.
This study investigates a calcination roasting–microwave-assisted acid leaching process for efficient vanadium extraction. Single-factor experiments together with response surface methodology (RSM) are employed to investigate how key operating parameters affect the vanadium leaching rate under microwave-assisted conditions. The process variables are optimized to identify the conditions for maximizing vanadium recovery. Furthermore, the vanadium leaching kinetics of the microwave-assisted vanadium extraction process is analyzed to identify the rate-limiting step and the factors influencing vanadium dissolution behavior. The results offer theoretical understanding and practical guidance for improving vanadium leaching efficiency from steel slag.

2. Materials and Methods

2.1. Experimental Materials

In this study, from a steel plant in Chengde City, Hebei Province, China, the vanadium-bearing steel slag is obtained. X-ray fluorescence spectroscopy (XRF, Rigaku-X, Rigaku Corporation, Akishima City, Tokyo, Japan) is used to analyze the elemental composition of the sample. Table 1 presents the results. The slag contained 1.69 wt.% V2O5, indicating a high-calcium and low-vanadium type. Although the vanadium content is relatively low, it slightly exceeds that of lignite (0.3–1.0 wt.%), suggesting considerable potential for vanadium recovery and utilization.
To identify the occurrence state of vanadium, phase and microstructural analyses are performed using scanning electron microscope-energy dispersive X-ray spectroscopy (SEM-EDS, JEOL JEM-2800F, JEOL Ltd., Tokyo, Japan) and X-ray diffraction (XRD, Rigaku D/MAX-2500PC, Rigaku Corporation, Tokyo, Japan), and Figure 1 and Figure 2 depict the findings. The XRD diffraction patterns reveal that the dominant mineral phases are calcium disilicate (C2S), calcium trisilicate (C3S), calcium ferrite (CF), magnesium ferrite (MF), and the RO phase, while no distinct vanadium oxide crystalline phase is detected. SEM-EDS analysis further indicates that vanadium does not exist as an independent mineral phase but is instead highly dispersed within calcium ferrite and calcium silicate matrices, with trace amounts incorporated into the spinel phase.

2.2. Experimental Methods

2.2.1. Leaching of Vanadium from Calcined Slag

To ensure consistency and reproducibility, the roasting parameters used in this study are based on the optimal conditions identified in the previous work by Liang et al. [29]. Under these conditions, the vanadium leaching rate reaches its highest level: The calcined slag used for the leaching experiments is obtained by roasting at 1000 °C for 3 h with an 8% calcium addition. The chemical composition of this calcined slag is identical to that of the raw material in the previous study. The resulting clinker served as the feedstock for subsequent leaching tests. Next, 5 g of calcined slag is blended with sulfuric acid solutions of varying concentrations (10–45 wt.%) under liquid-to-solid ratios (L/S ratios) ranging from 6:1 to 14:1. The homogenized slurry is transferred into a round-bottom flask and placed in a microwave reactor manufactured by Tangshan Renshi Juyuan Microwave Apparatus Co., LTD, Tangshan, China, model WBMW-H2, with a microwave frequency of 2.45 GHz ± 50 MHz and a power of 2 kW. Temperature control is achieved through pure microwave constant-temperature heating, and the temperature is measured at the center of the solution using a sensor specifically designed for the microwave field. This is maintained for the desired reaction time (30–150 min), after temperature is raised to the target range of 50–100 °C at 10 °C·min−1. After completion of the reaction, filter the mixture rapidly and use deionized water to rinse the residue thoroughly. Then they are mixed, and the mixture is subsequently examined to quantify the vanadium extraction rate. The overall experimental procedure is illustrated in Figure 3.
The vanadium concentration in the leach solution is quantified using a potassium permanganate-ferrous ammonium sulfate titrimetric method according to ISO 4947:2020 [30]. Based on the experimental procedure, the limit of detection (LOD) is approximately 50–100 mg·L−1, with an expanded uncertainty (k = 2) of 1–2%. The vanadium leaching rate (W) is derived as follows:
W = c × V 1 V 0 × 50.94 / 1000 × V total / V measured m × 100 %
where
c—concentration of the standard ferrous ammonium sulfate titrant (mol·L−1);
V1—titrant volume utilized for the sample (mL);
V0—titrant volume utilized for the blank (mL);
m—the sample’s total mass (g);
Vtotal/Vmeasured—total and measured solution volumes, respectively;
50.94—molar mass of vanadium (g mol−1);
1000—conversion factor (used for unit unification).
The Fe content in the leach solution is determined by potassium dichromate titration according to ISO 2597-2:2019 [31]. Based on the experimental procedure, the limit of detection (LOD) is approximately 30–80 mg·L−1, with an expanded uncertainty (k = 2) of 0.6–1.5%. And the corresponding iron leaching fraction (f) is obtained according to the following expression:
f = c 1 × V 2 × 55.85 / 1000 × V total / V measured m 1 × 100 %
where
c1—concentration of potassium dichromate standard solution (mol·L−1);
V2—titrant volume consumed for the sample (mL);
m1—total iron content (g);
Vtotal/Vmeasured—total and measured solution volumes, respectively;
55.85—molar mass of iron (g mol−1);
1000—conversion factor (used for unit unification).
The vanadium content in the leachate measured by ICP may exhibit significant fluctuations, leading to errors, whereas titration can effectively reduce such unnecessary deviations. Additionally, due to the relatively high iron concentration in the leachate, steps such as dilution during sample preparation for ICP analysis may introduce considerable errors. Therefore, titration is selected for the determination of iron content. ICP is used to quantify the remaining impurity species in the obtained filtrate.

2.2.2. Experimental Scheme and Statistical Evaluation

The Box–Behnken Design (BBD) guides the optimization of leaching parameters using RSM with Design-Expert Software Version 10.0. The vanadium leaching rate is selected as the response variable, while leaching temperature (A), leaching time (B), and sulfuric acid concentration (C) are chosen as independent factors. In the BBD, each factor is investigated at three coded levels: −1 (low), 0 (medium), and +1 (high) [32]. Table 2 summarizes the specific factors and the associated levels.
The statistical importance and relative influence of each factor on the leaching response is examined by analysis of variance (ANOVA). A quadratic polynomial regression model [33] is then established to predict the response and identify the optimal leaching conditions.

3. Results and Discussion

3.1. Effect of Leaching Conditions on Vanadium and Impurity Leaching

3.1.1. Effect of Temperature on Leaching Rate

Figure 4 shows that under conditions of leaching time of 30 min, sulfuric acid concentration of 20%, and an L/S ratio of 10:1, the effect of leaching temperature (30–100 °C, temperature gradient of 10 °C) on vanadium extraction rate and impurity elements is analyzed. As the temperature increased, both vanadium and impurity element leaching rates exhibited an upward trend. This can be attributed to enhanced molecular thermal motion, which intensified the diffusion and mass transfer of sulfuric acid into the vanadium-bearing steel slag, enhanced reaction kinetics during interaction between solid and liquid phases. When the temperature of leaching reached 90 °C, the vanadium leaching rate was at 54.41%. Further temperature increases resulted in the leveling off of the vanadium leaching rate growth, suggesting that dissolution of the vanadium-bearing phase is approaching its limit.
For impurity elements, magnesium exhibited the most pronounced variation in leaching rate with temperature, indicating a strong temperature dependence of its phase distribution. Phosphorus showed a similar trend, though its relatively low content in steel slag rendered its effect negligible for subsequent vanadium purification. In contrast, iron accounted for a substantial 25.64% of the vanadium-bearing steel slag. Although its extraction rate is moderate, its high proportion necessitates close attention to its influence during subsequent vanadium separation. Silicon, typically difficult to dissolve under conventional acid leaching conditions, is partially leached under microwave heating, where the stable silicate phase is disrupted, releasing trace amounts of silicon ions into the solution. Considering cost and energy efficiency, 90 °C is the optimal leaching temperature.

3.1.2. Effect of Liquid–Solid Ratio on Leaching Rate

The L/S ratio can influence vanadium leaching rate and impurity elements by influencing the leaching system’s mass transfer characteristics. As shown in Figure 5, under conditions of 90 °C, 30 min, and 20% sulfuric acid concentration, the effects of L/S ratios of 6:1, 8:1, 10:1, 12:1, and 14:1 on vanadium leaching rate and impurity elements are examined. The findings indicate that increasing the L/S ratio reduces system viscosity and enhances mass transfer efficiency. During the initial stage, the vanadium leaching rate exhibits a rise followed by a plateau. When the ratio is below 10:1, the leaching rate rises significantly from 38.99% to 54.41%, with the low L/S ratio leading to high system viscosity and poor contact between the acid solution and vanadium-bearing phases. This indicates that the low vanadium leaching rate under low L/S ratios is not merely due to insufficient acid dosage, but is also limited by mass transfer efficiency. The increase in vanadium leaching rate slows as the L/S ratio exceeds 10:1, implying that the dissolution of the vanadium-bearing phase approaches its solubility limit.
For impurity elements, magnesium and phosphorus extraction rates climb almost linearly with the L/S ratio, suggesting that their leaching processes are primarily mass-transfer controlled. The concentration of iron ions stabilized once the L/S ratio surpassed 10:1, indicating near-saturation in solution. Considering these factors comprehensively, the subsequent experiments are performed at a 10:1 L/S ratio.

3.1.3. Effect of Time on Leaching Rate

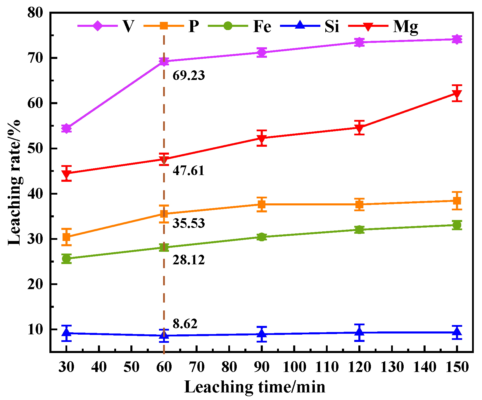
During the leaching process, the vanadium extraction rate increased upon increasing leaching time until reaching a plateau when diffusion and reaction equilibria are established. Under conditions of 90 °C, 20% sulfuric acid concentration, and an L/S ratio of 10:1, the effects of leaching durations of 30, 60, 90, 120, and 150 min on the vanadium leaching rates and impurity elements are examined, as shown in Figure 6. It is found that the leaching process occurred in two distinct stages: Within the first 60 min, the vanadium leaching rate rapidly increased to 69.23%, primarily due to the dissolution of readily soluble vanadates. Between 60 and 150 min, the leaching rate curve flattened significantly, indicating near-exhaustion of soluble vanadium phases. Meanwhile, the concentrations of impurity elements continued to increase with time, suggesting distinct kinetic behaviors compared to vanadium. Notably, the vanadium leaching rate reached its maximum at 60 min, while impurity ion concentrations remained low, demonstrating that controlling leaching duration is essential for achieving high vanadium recovery and impurity suppression. Therefore, the subsequent experiments select 60 min leaching time.

3.1.4. Effect of Sulfuric Acid Concentration on Leaching Rate

The sulfuric acid concentration, as the leaching agent, exerts an important impact on the vanadium extraction rate, serving as a key factor governing both reaction kinetics and dissolution pathways. The effect of sulfuric acid concentration (10–40%, with 5% intervals) on the vanadium extraction rate and impurity elements is examined at 90 °C, 60 min leaching time, and an L/S ratio of 10:1 (Figure 7). Increasing sulfuric acid concentration markedly enhanced all elements’ leaching rates. This enhancement is the reason for the elevated concentration and level of hydrogen ions, which promote the decomposition of vanadium-bearing phases. Simultaneously, sulfate ions formed soluble complexes with leached vanadium, lowering free vanadium ion concentration in solution and thus promoting further dissolution. As the sulfuric acid concentration rises up to 20%, the rate of vanadium leaching reached 69.63%; at 35%, it increased to 80.05%. Beyond this concentration, the vanadium leaching rate stabilized near 80%, indicating that most of the soluble vanadates had been fully reacted. Impurity element concentrations also increased with rising acid concentration. Taking these factors into account, the optimal sulfuric acid concentration for subsequent experiments is determined to be 35%.

3.2. Response Surface Optimization of Microwave Heating Leaching Factors

3.2.1. Modeling and Statistics

Table 3 shows the vanadium leaching rate from the BBD experiments. Using these data in conjunction with the software, a multiple quadratic regression model is developed via multiple regression fitting to predict the maximum vanadium leaching rate:
Y = 80.65 + 5.81 A + 4.21 B + 6.42 C 1.96 A B + 0.64 A C 2.05 B C 5.6 A 2 5.35 B 2 2.86 C 2
Table 4 summarizes the results of the analysis of variance (ANOVA) testing conducted on the regression model. The model exhibited an F-value of 44.08, indicating strong overall significance. The regression significance (p < 0.05) confirms that this model is very significant and reliably reflects the contribution of the examined parameters to vanadium extraction rates. The lack-of-fit term displayed a p-value of 0.2561 (>0.05), which suggests that the model’s lack of match is not vital. These findings demonstrate that the regression model is both accurate and statistically robust. Furthermore, it indicates that the model accounts for 96.04% of the variation in the response, highlighting the coefficient of determination (R2 = 0.9604), and its high reliability and minimal residual error are emphasized. Collectively, the model is suitable for predicting and analyzing trends in vanadium leaching rates.
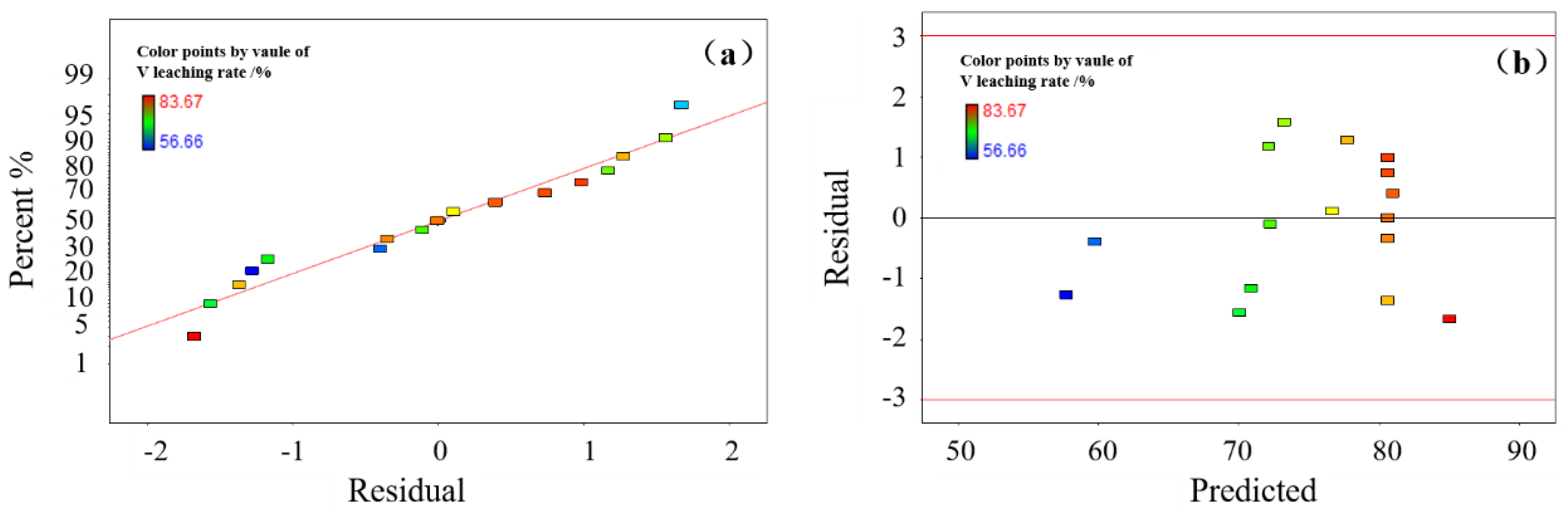
To further evaluate the residuals of the regression model, the normality of the residuals and the relationship between predicted values and residuals are examined to assess the model’s validity, with results presented in Figure 8. Figure 8a illustrates that the experimental data points are approximately aligned along a straight line, indicating that the error terms follow a normal distribution and are mutually independent, which confirms the model’s robustness and reliability. Figure 8b illustrates that the error terms are normally distributed and independent of each other, and the residuals are randomly scattered within the range of +3 to −3, without any discernible systematic pattern, demonstrating the randomness and unpredictability of the residuals and validating the assumptions underlying the regression model.
Figure 9 presents the response plots of residuals versus experiment number and predicted values versus actual values. As shown in Figure 9a, the experimental points are randomly distributed around the zero-residual line, indicating that the residuals are small and uniformly distributed. Figure 9b shows that the experimental measurements approximately indicate a linear relationship, with the predicted values closely matching the actual values. These results demonstrate a high degree of model fit, confirming that the regression equation can reliably predict the vanadium leaching behavior during the microwave-assisted acid leaching process.

3.2.2. Analysis of the Influence of Experimental Variables on Vanadium Leaching Rate

In experiments, response surface plots reveal strengthened interactions between experimental factors. A two-dimensional contour plot approaching an elliptical shape suggests a more important relationship between the two factors, while a steeper three-dimensional response surface reflects a stronger impact on vanadium extraction rate. Figure 10 presents the 3D response surfaces and 2D contour diagrams illustrating the impact of various reasons on vanadium recovery.
Figure 10a depicts the interaction between leaching temperature and leaching time on vanadium leaching rate at an L/S ratio of 10:1 and sulfuric acid concentration of 35%. The contour plot is elliptical, and the response surface is steep, indicating that the influence of leaching time and temperature significantly influences vanadium recovery. The rate of vanadium leaching increases rapidly with increasing temperature when leaching time is short. Notably, the contour lines along the temperature axis are denser, suggesting that leaching temperature has a more pronounced effect than time.
Figure 10b presents the interaction between sulfuric acid concentration and leaching temperature at 60 min leaching time and an L/S ratio of 10:1. The contour lines along the sulfuric acid concentration axis are slightly denser than those along the temperature axis, indicating that, within the 80–100 °C temperature range, sulfuric acid level has a slightly stronger effect on vanadium leaching rate than temperature. The vanadium recovery is markedly increased by increasing sulfuric acid concentration.
Overall, under microwave-assisted heating, the significance of the experimental parameters for vanadium extraction rate follows the order: sulfuric acid concentration(c) > leaching temperature(a) > leaching time(b). The interactions among leaching temperature, time, and acid concentration further highlight that leaching time has a notable synergistic influence on vanadium leaching rate.
The vanadium leaching process is optimized using Design-Expert software, targeting an 85% vanadium leaching rate as the optimization index. Table 5 presents ten optimization schemes generated by the software. Considering production cost, energy consumption, and vanadium leaching rate, the optimal leaching conditions are as listed: leaching temperature of 92.63 °C, leaching time of 65.90 min, and sulfuric acid concentration of 41.58%. In these cases, the rate of vanadium leaching can reach 85.14%. Three parallel experiments are conducted under this process, yielding vanadium leaching rates of 84.17%, 85.26%, and 84.31%, with an average of 84.58%, differing by only 0.56% from the predicted value of 85.14% provided by the software. The prediction is thus validated, and the process parameters are adjusted for practical application: sulfuric acid concentration of 41%, leaching temperature of 92 °C, leaching time of 65 min, and an L/S ratio of 10:1.

3.3. Characterization of Leach Products

To clarify the chemical composition of the leaching products under optimal conditions, the leach solution is analyzed by ICP, as shown in Table 6. Meanwhile, the corresponding leach residue is analyzed by XRF, as shown in Table 7.
SEM-EDS and XRD assessments are carried out on the filter residue to investigate its phase composition and microstructural characteristics, as presented in Figure 11, Figure 12, Figure 13 and Figure 14.
Figure 11 presents the XRD profile of the leaching residue obtained under optimal experimental conditions. The leaching residue is primarily composed of calcium sulfate, whereas other phases, including calcium silicate, calcium ferrite, magnesium ferrite, and the RO phase, are absent. This observation indicates that the primary mineral crystal composition of the steel slag is disrupted and dissolved, allowing vanadium to migrate from the mineral phases into the leaching solution, where it reacts with sulfuric acid. These results further validate the reliability of the leaching experiment. The diffraction peaks correspond mainly to anhydrous calcium sulfate, calcium sulfate dihydrate, and calcium sulfate hemihydrate, coexisting in three distinct phases. This three-phase coexistence can be attributed to the gradual dehydration of the calcium sulfate dihydrate obtained after filtration during the subsequent drying process. Several minor, disordered diffraction peaks of very low intensity are observed in the XRD pattern, likely arising from trace impurities with weak content or poor crystallinity, which cannot be clearly detected by XRD. Regarding silicon behavior, the silicon in the raw material is primarily present as silicate phases. During acidic leaching, a portion of the silicates dissolves into the solution. As the silicon concentration increases, it undergoes polymerization, forming extremely fine amorphous silica particles (silica sol) [34]. Due to their nanoscale size and the requirement for a relatively stable environment for aggregation and precipitation, the continuous stirring and disturbance during the experiment prevent the formation of sufficiently large particles. Consequently, the typical amorphous halo of silica is not observed in the XRD patterns of the leach residues.
For the purpose of investigating the elemental distribution and microstructure of the filter residue, SEM-EDS is performed, as shown in Figure 12, Figure 13 and Figure 14. Figure 12a shows that the filter residue consists of typical oblique-lens calcium sulfate crystals with relatively smooth surfaces, dense structures, and irregular massive bodies on the surface. Figure 12b illustrates that some calcium sulfate particles are tightly bonded and agglomerated into spheroidal forms, suggesting that the dense calcium sulfate generated during leaching may encapsulate elements that hinder further leaching. Figure 13 and Figure 14 present surface mapping and point scan analyses of the filter residue, respectively. Analysis of the elemental distribution on the calcium sulfate surfaces indicates that calcium is the most concentrated element. Silicon is present in the residue in the form of amorphous silica sol. Phosphorus, magnesium, and iron are relatively dispersed with low contents, whereas vanadium is sparsely distributed and present in small amounts, indicating limited retention in the filter residue. Overall, these results demonstrate that microwave-assisted leaching enhances vanadium extraction. According to Figure 14b,c, the highest calcium concentration occurs in smooth-surfaced block aggregates, likely corresponding to fine-grained calcium sulfate, confirming that calcium sulfate is the main component of the filter residue.

3.4. Kinetic Analysis of Microwave Heating Leaching

3.4.1. Leaching Kinetic Model

The leaching of roasting slag in H2SO4 is a typical liquid–solid reaction, which generally proceeds according to the subsequent steps:
  • Diffusion of the reactants occurs toward the boundary layer.
  • The reactants undergo adsorption at the solid–liquid interface due to their different states.
  • Chemical reactions occur on the solid surface between the reactants.
  • The reaction products are formed at the interface.
  • Reaction products diffuse into the surrounding phase from the interface.
The shrinking core model (SCM) [35] is applied to clarify the kinetic parameters and elucidate the mechanism that governs vanadium transport during acid leaching. It is distinguished as two categories: one model assumes a constant particle size, while the other takes particle size reduction into account.
Shrinking core model with fixed particle size: In this model, during the solid–liquid reaction, a well-defined boundary exists, separating the unreacted core from the product layer. Reaction occurs from the surface of the solid particles toward the interior, with reaction products gradually accumulating on the surface. The unreacted core decreases gradually over time until the reaction is complete. The overall process depends on external diffusion, internal diffusion or surface chemical reaction. The corresponding kinetic equations are as follows:
x = k d t
1 2 3 x 1 x 2 3 = k d t
1 1 x 1 3 = k d t
where x is the vanadium leaching rate (%), t is the reaction time (min), and kd is the reaction rate constant (min−1).
The mixed-control model considers the simultaneous influence of diffusion and surface chemical reaction, and its kinetic equation is as follows:
1 x 1 3 1 + 1 3 ln 1 x = k d t
Shrinking core model with particle size reduction: In this model, the reaction occurs only at the solid–liquid interface, and no distinct interface forms between reactants and products. The unreacted core gradually decreases with time until the reaction is complete. Either diffusion or internal chemical reaction governs the process.
When the liquid–solid reaction is governed by chemical reaction steps, the reaction control formula is consistent with Formula (6).
When internal diffusion governs the leaching process:
1 1 x 2 3 = k d t
The Arrhenius equation is applied to correlate the leaching rate constant kd with the reaction temperature T:
k d = A exp E a R T
By applying a logarithmic transformation to both sides of the equation, the reaction rate constant is expressed as a function of temperature:
ln K d = E a R T + ln A
where Ea is the apparent activation energy (kJ·mol−1), generally considered independent of temperature; A is the frequency factor (s−1); T is the absolute temperature (K); and R is the universal gas constant (8.314 J·mol−1·K−1).
The apparent activation energy can be used to determine the rate-controlling step [36]:
External diffusion control: Ea ≈ 8–10 kJ·mol−1;
Internal diffusion control: Ea ≈ 10–40 kJ·mol−1;
Chemical reaction control: Ea ≈ 40–300 kJ·mol−1.

3.4.2. Effect of Temperature on Reaction Rate

Under optimized conditions with an L/S ratio of 10:1 and a sulfuric acid concentration of 35%, Figure 15a shows that temperature (50–90 °C, with 10 °C increments) influences the leaching kinetics of vanadium and vanadium leaching performance under various temperatures. During the initial stage of leaching (0–30 min), the vanadium leaching rate increased significantly with rising temperature, accompanied by a notable acceleration in leaching kinetics, exhibiting an approximately linear relationship with leaching time. As the reaction progressed from 30 to 60 min, the leaching rate gradually declined, and the curve began to plateau. Beyond 60 min, the vanadium leaching rate remained nearly constant, indicating that the system had approached a state of leaching saturation. Therefore, the first 30 min of reaction data are selected for kinetic analysis to reveal the controlling step of the reaction.
To elucidate the controlling mechanisms during leaching, both the constant-particle-size shrinking core model and the mixed-control model are used to model the experimental results from the first 30 min at various temperatures, as shown in Figure 15b–d. As illustrated in Figure 15b,c, satisfactory fits (R2 > 0.95) are obtained under both chemical-reaction-controlled and diffusion-controlled assumptions. A comparison of fitting accuracy revealed that the diffusion-controlled model exhibited a greater degree of direct correlation than the chemical-reaction-controlled model. Figure 15d presents the correlation coefficients for the mixed-control model. Although the coefficients exceeded 0.90, the linearity is insufficient, indicating inadequate fitting precision.
The findings indicate that internal diffusion mainly controls the vanadium leaching process.
Steel slag contains significant silicate phases. Assuming that these silicate phases behave as independent reaction particles, by using a shrinking core model considering particle size reduction, the leaching process can be modeled. Figure 16 shows that the kinetic equations of this model are fitted to vanadium leaching data from the first 30 min at various temperatures. The fitting findings indicate that the coefficient of determination (R2) reaches 0.99 only at 50 °C, while at other temperatures it remains around 0.96. This suggests that treating the silicate phase as independently reacting particles does not adequately capture the acid leaching process and its kinetic behavior. The discrepancy likely arises from the complex interfacial structures and multiphase reaction interfaces between the silicate and vanadium-bearing phases within vanadium-containing steel slag, which renders the leaching process unsuitable for characterization by a single-particle reaction mechanism.
Based on the fitting results of different kinetic models, the constant-particle-size shrinking core model provides the best linear correlation, with its coefficient of determination (R2) exceeding those obtained under other control conditions. This indicates that within the 50–90 °C temperature range, the vanadium leaching reaction follows a constant-particle-size shrinking core mechanism, primarily governed by internal diffusion.
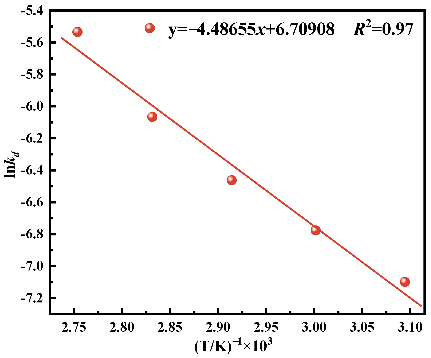
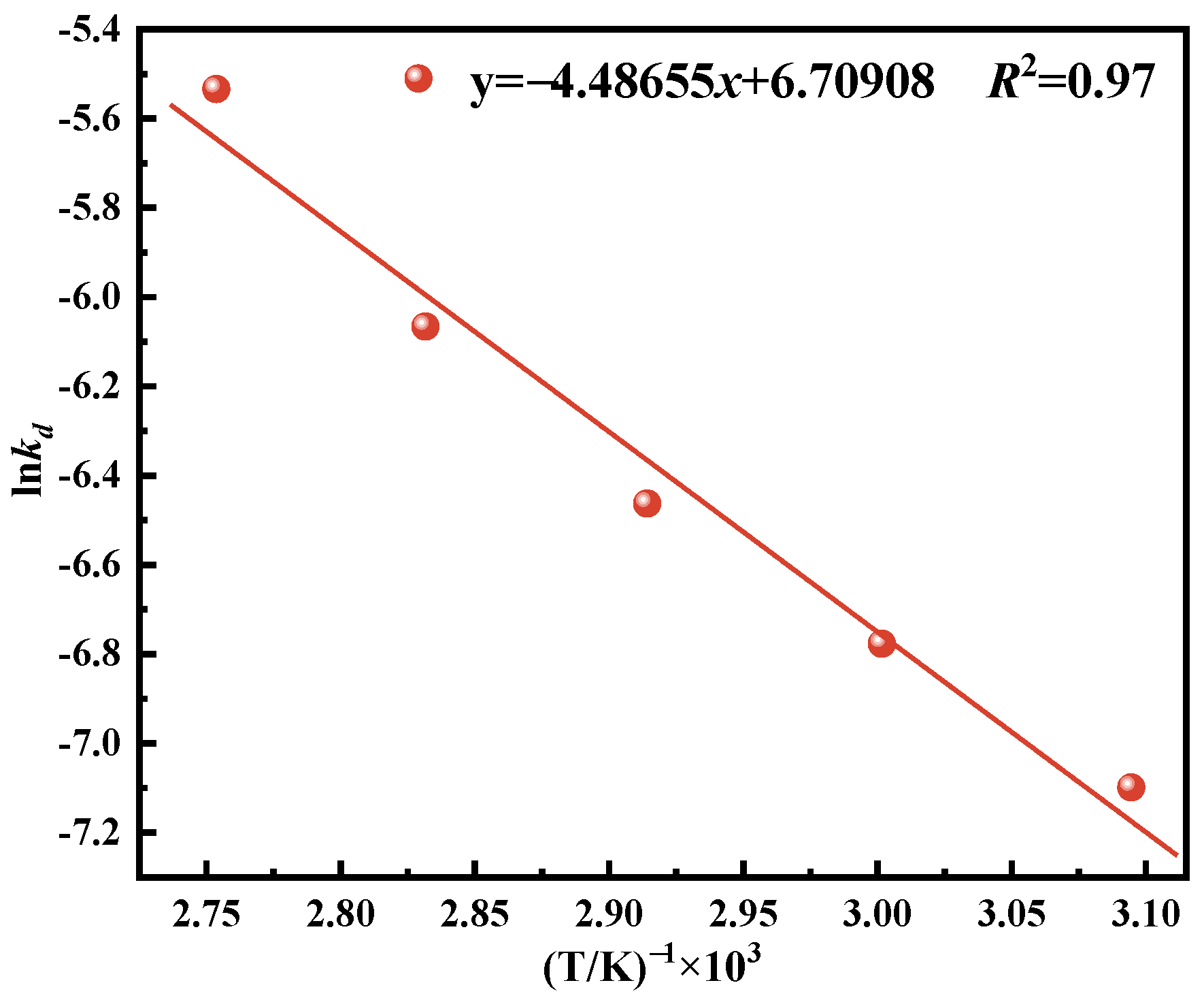
To further validate this conclusion, the reaction rate constants at various temperatures are fitted using the Arrhenius equation, as shown in Figure 17. The apparent activation energy (Ea) of vanadium during microwave-assisted acid leaching is found to be 37.30 kJ·mol−1, suggesting that within the 50–90 °C temperature range, internal diffusion primarily governs the leaching process, in agreement with the previous kinetic analysis.

3.4.3. Effect of Sulfuric Acid Dosage on Reaction Rate

At an L/S ratio of 10:1 and a fixed leaching temperature of 90 °C, the kinetics of vanadium leaching are investigated at sulfuric acid concentrations of 15%, 20%, 25%, 30%, and 35%. Figure 18 illustrates the effect of acid concentration, showing a significant increase in vanadium extraction rate with increasing acid levels.
To further elucidate the kinetic characteristics of this process, Figure 19 shows that vanadium leaching data from the first 30 min are fitted using kinetic equations of different models. These findings show that across the investigated acid concentration range, the shrinking core model in which internal diffusion governs the rate provides superior curve fitting and higher coefficients of determination (R2) compared with other control models. This suggests that, within this range of sulfuric acid concentrations, the vanadium leaching process follows a shrinking core model with internal diffusion as the rate-controlling step.
To quantify how sulfuric acid concentration influences the vanadium extraction rate, the apparent reaction rate constants (kd) result from the slopes of the fitted curves in Figure 19a for each kinetic model. These values are then plotted as lnkd versus lnC, as shown in Figure 20. The fitted line exhibited a slope of 1.5392, indicating that the apparent reaction order relative to sulfuric acid concentration during leaching is n = 1.5392. This reaction of an order greater than one further supports the conclusion that internal diffusion serves as the step that limits the rate of vanadium leaching.

4. Conclusions

  • Based on Box–Behnken Design principles, the vanadium leaching process is optimized using Design-Expert software. Analysis of variance yielded R2 = 0.96, indicating high model significance and suitability for predicting vanadium leaching rates. The influences of sulfuric acid leaching time and temperature concentration on vanadium extraction from calcined residue are evaluated, with the factors ranked in significance as follows: sulfuric acid concentration > leaching temperature > leaching time. Considering leaching rate, production costs, and energy consumption, the best conditions result in a leaching temperature of 92.63 °C, a sulfuric acid concentration of 41.58%, and a reaction time of 65.90 min, under which the vanadium extraction rate reaches 85.14%.
  • SEM-EDS and XRD demonstrate that the initial phase of the leaching residue is calcium sulfate dihydrate. The microstructure indicated that calcium sulfate crystals aggregated to form a dense encapsulating layer, which hinders mass transfer of the leaching agent and diffusion of the products.
  • During the first 30 min of reaction, with internal diffusion as the rate-controlling step, vanadium leaching follows a constant-particle-size shrinking core model. Using the Arrhenius equation, the apparent activation energy (Ea) for the process amounted to 37.30 kJ·mol−1. Combining this with the reaction order, the semi-empirical kinetic equation is expressed as y = 1.5392x − 10.90155, where y represents the reaction rate and x corresponds to the logarithm of the sulfuric acid concentration.
  • These findings demonstrate that microwave-assisted acid leaching under optimized conditions can achieve high vanadium recovery from calcined steel slag while minimizing energy consumption. The elucidated kinetic mechanism and semi-empirical model provide a reliable basis for scaling up the process and guiding industrial applications in vanadium extraction.

Author Contributions

L.W.: Conceptualization, validation, formal analysis, resources, data curation. M.Z.: Methodology, investigation, writing, resources, data curation, and conceptualization. X.S.: Conceptualization, validation, formal analysis, and writing. J.L.: Review and editing. All authors have read and agreed to the published version of the manuscript.

Funding

This work is funded by the National Natural Science Foundation of China (No. 52174314).

Data Availability Statement

The original contributions presented in this study are included in the article. Further inquiries can be directed to the corresponding author.

Conflicts of Interest

Author Xueying Shao was employed by the company AVIMET Powder Metallurgy Technology (Xuzhou) Co Ltd. The remaining authors declare that the research was conducted in the absence of any commercial or financial relationships that could be construed as a potential conflict of interest.

Abbreviations

The following abbreviations are used in this manuscript:
XRDX-ray Diffraction
SEM-EDSScanning Electron Microscope-Energy Dispersive X-ray Spectroscopy
SCMShrinking Core Model
BBDBox–Behnken Design
XRFX-ray Fluorescence Spectroscopy
ICPInductively Coupled Plasma Spectroscopy
L/S ratioLiquid-to-solid ratio

References

  1. Yao, Z.; Yu, J.; Ma, B.; Wang, L.; Wang, C.; Wang, B.; Gao, M.; Feng, G. Clean process for vanadium extraction from vanadium-bearing converter slag. J. Environ. Chem. Eng. 2023, 11, 109202. [Google Scholar] [CrossRef]
  2. Wang, X.W.; Gao, D.X.; Chen, B.F.; Meng, Y.Q.; Fu, Z.B.; Wang, M.Y. A clean metallurgical process for separation and recovery of vanadium and chromium from V-Cr-bearing reducing slag. Hydrometallurgy 2018, 181, 1–6. [Google Scholar] [CrossRef]
  3. Lin, N.; Zhao, L.; Zou, J.; Ma, C.; Wang, Z.; He, Y. Improvement in densification process and properties of Ti (C, N)—Based cermets with vanadium carbide addition. Ceram. Int. 2019, 45, 2692–2700. [Google Scholar] [CrossRef]
  4. Qiu, F.; Wang, W.; Chen, G.; Hu, D.; Wang, R.; Liang, J.; Li, G.; Zhong, Y.; Guan, D.; Li, J. A Sustainable Method for Chromium Recovery from Synthesized Stainless Steel Slags. J. Sustain. Metall. 2023, 9, 66–72. [Google Scholar] [CrossRef]
  5. Liu, S.; Ding, E.; Ning, P.; Xie, G.; Yang, N. Vanadium extraction from roasted vanadium-bearing steel slag via pressure acid leaching. J. Environ. Chem. Eng. 2021, 9, 105195. [Google Scholar] [CrossRef]
  6. Lee, J.C.; Kurniawan; Kim, E.Y.; Chung, K.W.; Kim, R. A review on the metallurgical recycling of vanadium from slags: Towards a sustainable vanadium production. J. Mater. Res. Technol. 2021, 12, 343–364. [Google Scholar] [CrossRef]
  7. Zhang, X.; Fang, D.; Song, S.; Cheng, G.; Xue, X. Selective leaching of Vanadium over Iron from Vanadium slag. J. Hazard. Mater. 2019, 368, 300–307. [Google Scholar] [CrossRef]
  8. Wang, F.; Chiu, Y.L.; Eskin, D.; Du, W.; Shearing, P.R. A grain refinement mechanism of cast commercial purity aluminium by vanadium. Mater. Charact. 2021, 181, 111468. [Google Scholar] [CrossRef]
  9. Zhang, Y.M.; Wang, L.N.; Chen, D.S.; Wang, W.J.; Liu, Y.H.; Zhao, H.X.; Qi, T. A method for recovery of iron, titanium, and vanadium from vanadium-bearing titanomagnetite. Int. J. Miner. Metall. Mater. 2018, 25, 131–144. [Google Scholar] [CrossRef]
  10. Ju, J.; Feng, Y.; Li, H.; Xu, C.; Yang, Y. Efficient separation and recovery of vanadium, titanium, iron and magnesium and synthesizing of anhydrite from steel slag. Min. Metall. Explor. 2022, 39, 733–748. [Google Scholar] [CrossRef]
  11. Spooren, J.; Kim, E.; Horckmans, L.; Broos, K.; Nielsen, P.; Quaghebeur, M. In-situ chromium and vanadium recovery of landfilled ferrochromium and stainless steel slags. Chem. Eng. J. 2016, 303, 359–368. [Google Scholar] [CrossRef]
  12. Ju, J.; Feng, Y.; Li, H.; Liu, S.; Xu, C. Separation and recovery of V, Ti, Fe and Ca from acidic wastewater and vanadium-bearing steel slag based on a collaborative utilization process. Sep. Purif. Technol. 2021, 276, 119335. [Google Scholar] [CrossRef]
  13. Wan, J.; Du, H.; Gao, F.; Wang, S.; Gao, M.; Liu, B.; Zhang, Y. Direct Leaching of Vanadium from Vanadium-bearing Steel Slag Using NaOH Solutions: A Case Study. Min. Proc. Ext. Met. Rev. 2021, 42, 257–267. [Google Scholar] [CrossRef]
  14. Zhang, S.; Li, G.; Xiao, R.; Luo, J.; Yi, L.; Rao, M. Extraction of vanadium from low-vanadium grade magnetite concentrate pellets with sodium salt. J. Mater. Res. Technol. 2021, 15, 5712–5722. [Google Scholar] [CrossRef]
  15. Chen, L.; Wang, Z.; Qin, Z.; Zhang, G.; Yue, H.; Liang, B.; Luo, D. Investigation of the selective oxidation roasting of vanadium-iron spinel. Powder Technol. 2021, 387, 434–443. [Google Scholar] [CrossRef]
  16. Li, H.Y.; Wang, C.J.; Yuan, Y.H.; Guo, Y.; Xie, B. Magnesiation roasting–acid leaching: A zero-discharge method for vanadium extraction from vanadium slag. J. Clean. Prod. 2020, 260, 121091. [Google Scholar] [CrossRef]
  17. Hu, P.; Zhang, Y.M.; Liu, H.; Liu, T.; Li, S.; Zhang, R.; Guo, Z. High efficient vanadium extraction from vanadium slag using an enhanced acid leaching–coprecipitation process. Sep. Purif. Technol. 2023, 304, 122319. [Google Scholar] [CrossRef]
  18. Aarabi-Karasgani, M.; Rashchi, F.; Mostoufi, N.; Vahidi, E. Leaching of vanadium from LD converter slag using sulfuric acid. Hydrometallurgy 2010, 102, 14–21. [Google Scholar] [CrossRef]
  19. Deng, R.; Xiao, H.; Xie, Z.; Liu, Z.; Tao, C. A novel method for extracting vanadium by low temperature sodium roasting from converter vanadium slag. Chin. J. Chem. Eng. 2020, 28, 2208–2213. [Google Scholar] [CrossRef]
  20. Gao, F.; Du, H. A Comparative Study of Extracting Vanadium from Vanadium Titano-Magnetite Ores: Calcium Salt Roasting Vs Sodium Salt Roasting. Miner. Process. Extr. Metall. Rev. 2023, 44, 352–364. [Google Scholar] [CrossRef]
  21. Gao, H.; Jiang, T.; Zhou, M.; Wen, J.; Li, X.; Wang, Y.; Xue, X. Effect of microwave irradiation and conventional calcification roasting with calcium hydroxide on the extraction of vanadium and chromium from high-chromium vanadium slag. Miner. Eng. 2020, 145, 106056. [Google Scholar] [CrossRef]
  22. Zhang, Y.; Zhang, T.A.; Dreisiger, D.; Lv, C.; Lv, G.; Zhang, W. Recovery of vanadium from calcification roasted-acid leaching tailing by enhanced acid leaching. J. Hazard. Mater. 2019, 369, 632–641. [Google Scholar] [CrossRef]
  23. Muthukumar, K.; Patel, K.M.; Mohapatra, D.; Padh, B.; Reddy, B.R. Selective recovery of vanadium as AMV from calcium vanadate sludge by direct AS leaching process: An industrial approach. Waste Manag. 2020, 102, 815–822. [Google Scholar] [CrossRef]
  24. Zhang, J.; Zhang, W.; Xue, Z. An Environment-Friendly Process Featuring Calcified Roasting and Precipitation Purification to Prepare Vanadium Pentoxide from the Converter Vanadium Slag. Metals 2018, 9, 21. [Google Scholar] [CrossRef]
  25. Wang, X.; Xiang, J.; Pei, G.; Li, L.; Huang, Q.; Lv, X. Application of response surface methodology for roasting optimization in composite roasting-Acid leaching vanadium extraction process. Chem. Eng. Res. Des. 2021, 172, 254–263. [Google Scholar] [CrossRef]
  26. Chen, G.; Li, K.; Omran, M.; Jiang, Q.; Koppala, S. Investigations on the microwave absorption properties and thermal behavior of vanadium slag: Improvement in microwave oxidation roasting for recycling vanadium and chromium. J. Hazard. Mater. 2020, 395, 122698. [Google Scholar] [CrossRef]
  27. Zhang, L.; Mo, J.; Li, X.; Pan, L.; Wei, G. A Kinetic Study of Indium Leaching from Indium-Bearing Zinc Ferrite Under Microwave Heating. Metall. Mater. Trans. B 2013, 44, 1329–1336. [Google Scholar] [CrossRef]
  28. Tian, L.; Xu, Z.; Chen, L.; Liu, Y.; Zhang, T.A. Effect of microwave heating on the pressure leaching of vanadium from converter slag. Hydrometallurgy 2019, 184, 45–54. [Google Scholar] [CrossRef]
  29. Liang, J.; Shao, X.; Wang, L.; Li, X. Effect of calcification roasting-microwave acid leaching on vanadium and iron leaching from steel slag. China Metall. 2023, 33, 111–118. [Google Scholar] [CrossRef]
  30. ISO 4947:2020; Steel and Cast Iron—Determination of Vanadium Content—Titrimetric Method with Ammonium Ferrous Sulfate. ISO: Geneva, Switzerland, 2020.
  31. ISO 2597-2:2019; Iron Ores—Determination of Total Iron Content—Part 2: Titrimetric Methods After Titanium(III) Chloride Reduction. ISO: Geneva, Switzerland, 2019.
  32. Xiong, Y.; Wang, L.; Wang, L.; Li, S.; Yang, G.; Cao, C.; Liu, S.; Nie, Y.; Jia, L. Optimization and kinetic analysis of direct acid leaching of vanadium from converter vanadium slag under atmospheric pressure. Miner. Eng. 2023, 198, 108091. [Google Scholar] [CrossRef]
  33. Loubna, H.; Khaled, L.; Maria, P.; Gatan, B.; Sary, A.; Mohand, T. Optimization of oleaginous seeds liquefaction using response surface methodology. Biomass Convers. Biorefin. 2021, 11, 2655–2667. [Google Scholar] [CrossRef]
  34. Chen, J.; Zheng, Y.; He, B.; Chen, S.; Wang, S.; Chen, F.; Cui, S.; Liu, J.; Yang, L.; Guo, Y.; et al. Effect of Calcium Sulfate and Silica Gel on Vanadium Leaching Characteristics from Vanadium Titanomagnetite via Calcification Roasting-Sulfuric Acid Leaching: Formation Mechanism and Process Enhancement. Metals 2025, 15, 870. [Google Scholar] [CrossRef]
  35. Liddell, K.C. Shrinking core models in hydrometallurgy: What students are not being told about the pseudo-steady approximation. Chem. Prod. Process Model. 2014, 79, 15–31. [Google Scholar] [CrossRef]
  36. Wang, L. Study on the Extraction of Lead and Zinc from Low-Grade Zinc Oxide Ore. Ph.D. Thesis, Northeastern University, Shenyang, China, 2017. [Google Scholar]
Figure 1. XRD patterns of vanadium-bearing steel slag.
Figure 1. XRD patterns of vanadium-bearing steel slag.
Crystals 15 01040 g001
Figure 2. SEM-EDS diagram of vanadium-bearing steel slag: (a)—EDS analysis of Point 1; (b)—EDS analysis of Point 2; (c)—SEM image; (d)—EDS analysis of Point 3.
Figure 2. SEM-EDS diagram of vanadium-bearing steel slag: (a)—EDS analysis of Point 1; (b)—EDS analysis of Point 2; (c)—SEM image; (d)—EDS analysis of Point 3.
Crystals 15 01040 g002
Figure 3. Process flow diagram.
Figure 3. Process flow diagram.
Crystals 15 01040 g003
Figure 4. Elemental leaching rates from roasted slag under different leaching temperatures (leaching time: 30 min; sulfuric acid concentration: 20%; liquid-to-solid ratio: 10:1).
Figure 4. Elemental leaching rates from roasted slag under different leaching temperatures (leaching time: 30 min; sulfuric acid concentration: 20%; liquid-to-solid ratio: 10:1).
Crystals 15 01040 g004
Figure 5. Effect of leaching liquid–solid ratio on the leaching rate of elements in roasting slag (leaching time: 30 min; sulfuric acid concentration: 20%; leaching temperature: 90 °C).
Figure 5. Effect of leaching liquid–solid ratio on the leaching rate of elements in roasting slag (leaching time: 30 min; sulfuric acid concentration: 20%; leaching temperature: 90 °C).
Crystals 15 01040 g005
Figure 6. Effect of leaching time on the leaching rate of elements in roasting slag (sulfuric acid concentration: 20%; leaching temperature: 90 °C; liquid-to-solid ratio: 10:1).
Figure 6. Effect of leaching time on the leaching rate of elements in roasting slag (sulfuric acid concentration: 20%; leaching temperature: 90 °C; liquid-to-solid ratio: 10:1).
Crystals 15 01040 g006
Figure 7. Effect of sulfuric acid concentration on the leaching rate of elements in roasted slag (leaching time: 60 min; leaching temperature: 90 °C; liquid-to-solid ratio: 10:1).
Figure 7. Effect of sulfuric acid concentration on the leaching rate of elements in roasted slag (leaching time: 60 min; leaching temperature: 90 °C; liquid-to-solid ratio: 10:1).
Crystals 15 01040 g007
Figure 8. (a) Normal distribution of residuals; (b) comparison diagram of predicted value and residual error.
Figure 8. (a) Normal distribution of residuals; (b) comparison diagram of predicted value and residual error.
Crystals 15 01040 g008
Figure 9. (a) The relationship between the residuals and the number of experiments; (b) response diagram of predicted value and actual value.
Figure 9. (a) The relationship between the residuals and the number of experiments; (b) response diagram of predicted value and actual value.
Crystals 15 01040 g009
Figure 10. Three-dimensional response surface diagram of test factors and vanadium leaching rate: (a) Three-dimensional response surface plot of leaching temperature, leaching time, and vanadium leaching rate; (b) Three-dimensional response surface plot of leaching temperature, sulfuric acid concentration, and vanadium leaching rate.
Figure 10. Three-dimensional response surface diagram of test factors and vanadium leaching rate: (a) Three-dimensional response surface plot of leaching temperature, leaching time, and vanadium leaching rate; (b) Three-dimensional response surface plot of leaching temperature, sulfuric acid concentration, and vanadium leaching rate.
Crystals 15 01040 g010
Figure 11. XRD pattern of leaching residue.
Figure 11. XRD pattern of leaching residue.
Crystals 15 01040 g011
Figure 12. SEM images of filter residues with different morphologies: (a) monomeric; (b) agglomerate.
Figure 12. SEM images of filter residues with different morphologies: (a) monomeric; (b) agglomerate.
Crystals 15 01040 g012
Figure 13. SEM and energy spectrum of the leached residue: (a) SEM image; (b) Ca element surface scan; (c) P element surface scan; (d) V element surface scan; (e) Si element surface scan; (f) Fe element surface scan; and (g) Mg element surface scan.
Figure 13. SEM and energy spectrum of the leached residue: (a) SEM image; (b) Ca element surface scan; (c) P element surface scan; (d) V element surface scan; (e) Si element surface scan; (f) Fe element surface scan; and (g) Mg element surface scan.
Crystals 15 01040 g013
Figure 14. SEM-EDS diagram of filter residue: (a) SEM image; (b) Point 1 energy spectrum analysis; (c) Point 2 energy spectrum analysis; and (d) Point 3 energy spectrum analysis.
Figure 14. SEM-EDS diagram of filter residue: (a) SEM image; (b) Point 1 energy spectrum analysis; (c) Point 2 energy spectrum analysis; and (d) Point 3 energy spectrum analysis.
Crystals 15 01040 g014
Figure 15. Effect of temperature on the kinetic function of vanadium leaching rate: (a) Influence of temperature on the leaching process; (b) Relationship between1 −2/3x−(1−x)2/3 and t at different temperatures; (c) Relationship between1 −(1−x)1/3 and t at different temperatures; (d) Relationship between (1−x)−1/3−1+1/3ln(1−x) and t at different temperatures.
Figure 15. Effect of temperature on the kinetic function of vanadium leaching rate: (a) Influence of temperature on the leaching process; (b) Relationship between1 −2/3x−(1−x)2/3 and t at different temperatures; (c) Relationship between1 −(1−x)1/3 and t at different temperatures; (d) Relationship between (1−x)−1/3−1+1/3ln(1−x) and t at different temperatures.
Crystals 15 01040 g015
Figure 16. Relationship between 1 − (1 − x)2/3 and t at different temperatures.
Figure 16. Relationship between 1 − (1 − x)2/3 and t at different temperatures.
Crystals 15 01040 g016
Figure 17. Relationship between lnkd and 1000/T.
Figure 17. Relationship between lnkd and 1000/T.
Crystals 15 01040 g017
Figure 18. Effect of sulfuric acid concentration on the leaching rate (leaching temperature: 90 °C; liquid-to-solid ratio: 10:1).
Figure 18. Effect of sulfuric acid concentration on the leaching rate (leaching temperature: 90 °C; liquid-to-solid ratio: 10:1).
Crystals 15 01040 g018
Figure 19. The relationship between different rate control equations and t under different sulfuric acid concentrations: (a)—1 − 2/3x − (1 − x)2/3; (b)—1 − (1 − x)1/3; (c)—1 − (1 − x)−1/3 − 1 + 1/3ln(1 − x); and (d)—1 − (1 − x)2/3.
Figure 19. The relationship between different rate control equations and t under different sulfuric acid concentrations: (a)—1 − 2/3x − (1 − x)2/3; (b)—1 − (1 − x)1/3; (c)—1 − (1 − x)−1/3 − 1 + 1/3ln(1 − x); and (d)—1 − (1 − x)2/3.
Crystals 15 01040 g019
Figure 20. Relationship between the rate constant and logarithm of the sulfuric acid concentration.
Figure 20. Relationship between the rate constant and logarithm of the sulfuric acid concentration.
Crystals 15 01040 g020
Table 1. Main chemical composition of vanadium-bearing steel slag.
Table 1. Main chemical composition of vanadium-bearing steel slag.
CompositionCaOFe2O3MgOSiO2Al2O3P2O5V2O5TiO2MnOOthersTotal
Mass fraction (%)35.9427.5411.6011.504.122.991.691.551.191.88100
Table 2. Box–Behnken Design factors and levels.
Table 2. Box–Behnken Design factors and levels.
LevelFactor
A, Leaching Temperature/°CB, Leaching Time/MinC, Sulfuric Acid Concentration/%
+11009045
0906035
−1803025
Table 3. Box–Behnken experimental design and results.
Table 3. Box–Behnken experimental design and results.
No.FactorLeaching Rate %
ABC
110183.67
201181.35
301−172.19
40−1−159.42
5−1−1056.66
600081.74
7−11068.77
8−10173.13
900082.11
100−1176.79
1100080.64
1200080.13
1310−169.76
141−1074.56
1511078.82
16−10−161.98
1700078.62
Table 4. ANOVA results of regression model.
Table 4. ANOVA results of regression model.
Source of VarianceSum of SquaresFreedomMean Square ErrorF-Valuep-Value
Model1093.329121.4844.08<0.0001
A269.931269.9397.95<0.0001
B141.961141.9651.510.0002
C330.121330.12119.79<0.0001
AB15.14115.145.480.0500
AC1.6411.640.590.4659
BC16.85116.856.110.0427
A2131.991131.9947.900.0002
B2120.361120.3643.670.0003
C234.54134.5412.530.0095
Residual19.2972.76
Anomalistic phase11.5833.862.000.2561
Pure error7.7141.93
Sum1112.6116
Table 5. Optimization scheme based on vanadium leaching rate.
Table 5. Optimization scheme based on vanadium leaching rate.
No.Leaching Temperature/°CLeaching Time/MinSulfuric Acid Concentration/%Vanadium Leaching Rate/%
192.6365.9041.5885.14
294.5369.8244.3485.79
394.6776.0043.0085.35
496.2456.9144.4385.81
592.9365.4442.2285.36
697.8370.2543.3185.25
794.0458.7444.2885.74
897.7070.0242.4085.15
997.8162.6943.6485.65
1095.7858.9343.4885.78
Table 6. Element concentrations in leachate.
Table 6. Element concentrations in leachate.
CompositionCaFeMgSiAlPVMn
Concentration (g·L−1)1.147.204.220.640.840.590.810.39
Table 7. Main chemical compositions of leach residue.
Table 7. Main chemical compositions of leach residue.
CompositionCaOFe2O3MgOSiO2Al2O3P2O5V2O5TiO2MnOSO3OthersTotal
Mass fraction (%)30.3315.224.078.972.231.440.221.170.6034.361.39100
Disclaimer/Publisher’s Note: The statements, opinions and data contained in all publications are solely those of the individual author(s) and contributor(s) and not of MDPI and/or the editor(s). MDPI and/or the editor(s) disclaim responsibility for any injury to people or property resulting from any ideas, methods, instructions or products referred to in the content.

Share and Cite

MDPI and ACS Style

Wang, L.; Zhang, M.; Shao, X.; Liang, J. Calcification Roasting-Microwave Acid Leaching of Vanadium from Vanadium-Bearing Steel Slag. Crystals 2025, 15, 1040. https://doi.org/10.3390/cryst15121040

AMA Style

Wang L, Zhang M, Shao X, Liang J. Calcification Roasting-Microwave Acid Leaching of Vanadium from Vanadium-Bearing Steel Slag. Crystals. 2025; 15(12):1040. https://doi.org/10.3390/cryst15121040

Chicago/Turabian Style

Wang, Le, Minhao Zhang, Xueying Shao, and Jinglong Liang. 2025. "Calcification Roasting-Microwave Acid Leaching of Vanadium from Vanadium-Bearing Steel Slag" Crystals 15, no. 12: 1040. https://doi.org/10.3390/cryst15121040

APA Style

Wang, L., Zhang, M., Shao, X., & Liang, J. (2025). Calcification Roasting-Microwave Acid Leaching of Vanadium from Vanadium-Bearing Steel Slag. Crystals, 15(12), 1040. https://doi.org/10.3390/cryst15121040

Note that from the first issue of 2016, this journal uses article numbers instead of page numbers. See further details here.

Article Metrics

Back to TopTop