Indium Recovery from ITO in LCD Glass Using Magnetic Separation and Sulfuric Acid: Influence of Fractions and Process Conditions
Abstract
1. Introduction
2. Materials and Methods
2.1. Sample Preparation
2.2. Leaching Experiments
2.3. Magnetic Separation Analysis
2.4. Statistical Analysis
3. Results and Discussion
3.1. Effect of H2SO4 Concentration and Temperature
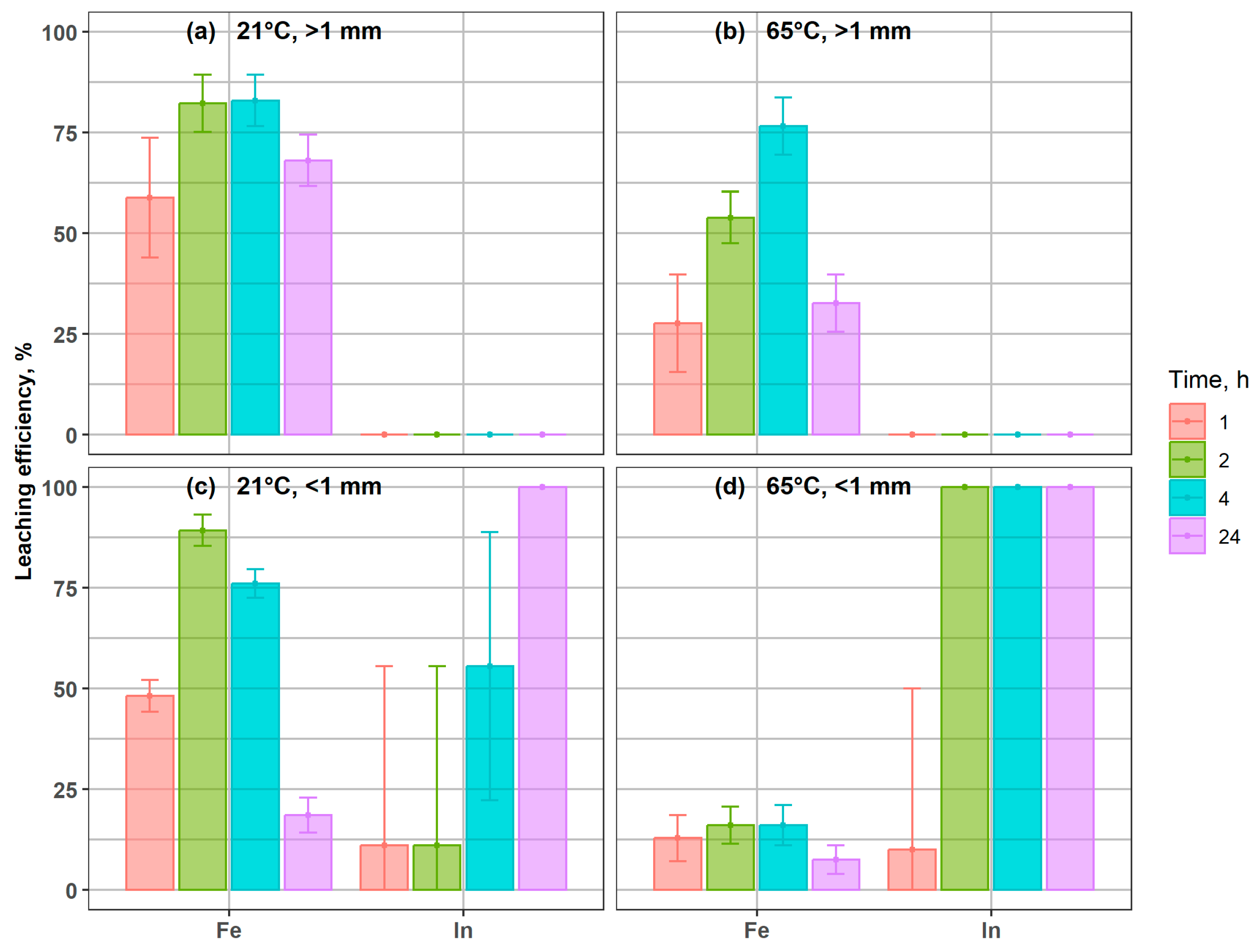
3.2. Indium Leaching Efficiency
3.3. Magnetic Separation—Analysis of Input Material
3.4. Magnetic Separation—Analysis of Magnetic Fractions
3.5. Magnetic Separation—Analysis of Non-Magnetic Fractions
3.6. Relationship Between in and Fe in LCD Glass Residue
4. Conclusions
- magnetic separation prior to leaching clearly demonstrated that indium accumulates in ferromagnetic fractions, confirming its association with Fe-bearing phases.
- the coarse magnetic fraction (>1 mm) showed the highest In concentration (244 mg/kg) together with extremely elevated Fe content (450,000 mg/kg), whereas In was undetected in the non-magnetic counterpart.
- In the fine fraction, In was present in the magnetic part (71 mg/kg) but absent in the non-magnetic residue, further supporting an Fe-controlled distribution.
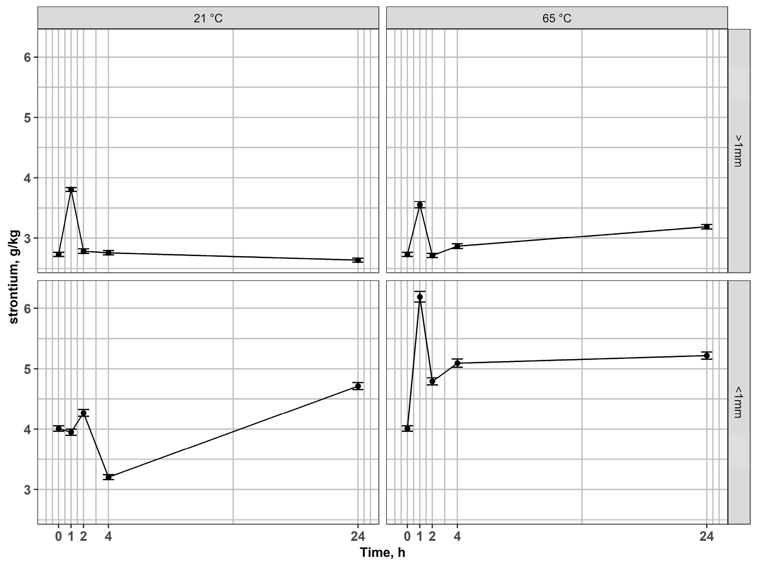
- Sr remained largely immobile and accumulated in solid residues during leaching, indicating low solubility and minor interaction with Fe- and In-bearing phases.
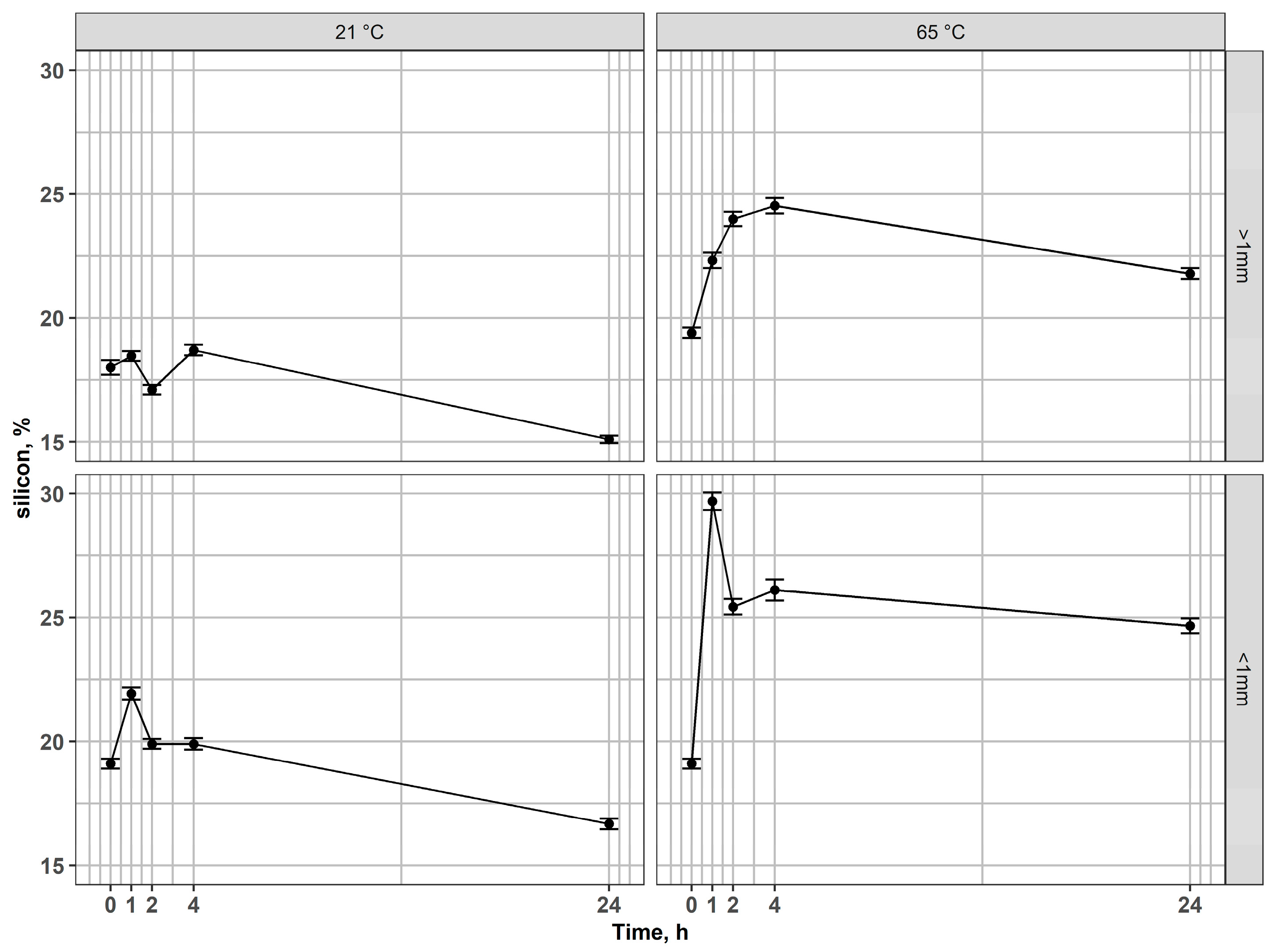
- Si exhibited partial mobility, showing initial enrichment followed by depletion during extended leaching, suggesting glass matrix restructuring and possible secondary reactions.
- Leaching tests confirmed that 5 M H2SO4 at 65 °C yields the highest In dissolution efficiency.
- Particle size showed limited influence, implying potential for reduced energy use in mechanical pretreatment.
Author Contributions
Funding
Data Availability Statement
Conflicts of Interest
References
- Ueberschaar, M.; Schlummer, M.; Jalalpoor, D.; Kaup, N.; Rotter, V.S. Potential and Recycling Strategies for LCD Panels from WEEE. Recycling 2017, 2, 7. [Google Scholar] [CrossRef]
- Becci, A.; Amato, A.; Merli, G.; Beolchini, F. The Green Indium Patented Technology SCRIPT, for Indium Recovery from Liquid Crystal Displays: Bench Scale Validation Driven by Sustainability Assessment. Sustainability 2024, 16, 8917. [Google Scholar] [CrossRef]
- Souada, M.; Louage, C.; Doisy, J.-Y.; Meunier, L.; Benderrag, A.; Ouddane, B.; Bellayer, S.; Nuns, N.; Traisnel, M.; Maschke, U. Extraction of Indium-Tin Oxide from End-of-Life LCD Panels Using Ultrasound Assisted Acid Leaching. Ultrason. Sonochem. 2018, 40, 929–936. [Google Scholar] [CrossRef]
- European Commission. Study on the EU’s List of Critical Raw Materials—Final Report; European Commission: Luxembourg, 2020. Available online: https://data.europa.eu/doi/10.2873/24089 (accessed on 30 September 2025).
- Toikka, A.; Ilin, M.; Kamanina, N. Perspective Coatings Based on Structured Conducting ITO Thin Films for General Optoelectronic Applications. Coatings 2024, 14, 178. [Google Scholar] [CrossRef]
- Kang, M.; Guo, L.J. Nanoimprinted semitransparent metal electrodes and their application in organic light-emitting diodes. Adv. Mater. 2007, 19, 1391–1396. [Google Scholar] [CrossRef]
- Patel, J.; Sharme, R.K.; Quijada, M.A.; Rana, M.M. A Review of Transparent Conducting Films (TCFs): Prospective ITO and AZO Deposition Methods and Applications. Nanomaterials 2024, 14, 2013. [Google Scholar] [CrossRef]
- Ylä-Mella, J.; Pongrácz, E. Drivers and Constraints of Critical Materials Recycling: The Case of Indium. Resources 2016, 5, 34. [Google Scholar] [CrossRef]
- Sverdrup, H.; Allen, O.; Haraldsson, H. Modeling Indium Extraction, Supply, Price, Use and Recycling 1930–2200 Using the WORLD7 Model: Implication for the Imaginaries of Sustainable Europe 2050. Nat. Resour. Res. 2024, 33, 539–570. [Google Scholar] [CrossRef]
- Wang, H.Y. A Study of the Effects of LCD Glass Sand on the Properties of Concrete. Waste Manage. 2009, 29, 335–341. [Google Scholar] [CrossRef] [PubMed]
- Zhang, K.; Wu, Y.; Wang, W.; Li, B.; Zhang, Y.; Zuo, T. Recycling Indium from Waste LCDs: A Review. Resour. Conserv. Recycl. 2015, 104, 276–290. [Google Scholar] [CrossRef]
- Silveira, A.V.M.; Fuchs, M.S.; Pinheiro, D.K.; Tanabe, E.H.; Bertuol, D.A. Recovery of Indium from LCD Screens of Discarded Cell Phones. Waste Manage. 2015, 45, 334–342. [Google Scholar] [CrossRef] [PubMed]
- Yang, J. Recovery of Indium from End-of-Life Liquid Crystal Displays. Bachelor’s Thesis, Chalmers University of Technology, Gothenburg, Sweden, 2012. [Google Scholar]
- Schuster, J.; Ebin, B. Investigation of Indium and Other Valuable Metals Leaching from Unground Waste LCD Screens by Organic and Inorganic Acid Leaching. Sep. Purif. Technol. 2021, 279, 119659. [Google Scholar] [CrossRef]
- Rocchetti, L.; Amato, A.; Fonti, V.; Ubaldini, S.; De Michelis, I.; Kopacek, B.; Veglio, F.; Beolchini, F. Cross-Current Leaching of Indium from End-of-Life LCD Panels. Waste Manag. 2015, 42, 180–187. [Google Scholar] [CrossRef]
- Jowkar, M.J.; Bahaloo-Horeh, N.; Mousavi, S.M.; Pourhossein, F. Bioleaching of Indium from Discarded Liquid Crystal Displays. J. Clean. Prod. 2018, 180, 417–429. [Google Scholar] [CrossRef]
- Willner, J.; Fornalczyk, A.; Saternus, M.; Sedlakova-Kadukova, J.; Gajda, B. LCD Panels Bioleaching with Pure and Mixed Culture of Acidithiobacillus. Physicochem. Probl. Miner. Process. 2022, 58, 15–23. [Google Scholar] [CrossRef]
- Qin, J.; Ning, S.; Fujita, T.; Wei, Y.; Zhang, S.; Lu, S. Leaching of Indium and Tin from Waste LCD by a Time-Efficient Method Assisted Planetary High Energy Ball Milling. Waste Manag. 2021, 120, 193–201. [Google Scholar] [CrossRef]
- Gajec, M.; Król, A.; Holewa-Rataj, J.; Kukulska-Zając, E.; Kuchta, T. Electrolytic Recovery of Indium from Copper Indium Gallium Selenide Photovoltaic Panels: Preliminary Investigation of Process Parameters. Recycling 2025, 10, 86. [Google Scholar] [CrossRef]
- U.S. Geological Survey. Mineral Commodity Summaries 2024; U.S. Geological Survey: Reston, VA, USA, 2024. [CrossRef]
- Carrara, S.; Alves Dias, P.; Plazzotta, B.; Pavel, C. Raw Materials Demand for Wind and Solar PV Technologies in the Transition Towards a Decarbonised Energy System; European Commission: Luxembourg, 2020.
- Techinstro. ITO Coated Glass. Available online: https://www.techinstro.com/ito-coated-glass/ (accessed on 23 June 2025).
- Park, G.; Kim, D.; Kim, G.; Jeong, U. High-Performance Indium–Tin Oxide (ITO) Electrode Enabled by a Counteranion-Free Metal–Polymer Complex. ACS Nanosci. Au 2022, 2, 527–538. [Google Scholar] [CrossRef]
- Savvilotidou, V.; Hahladakis, J.N.; Gidarakos, E. Leaching Capacity of Metals-Metalloids and Recovery of Valuable Materials from Waste LCDs. Waste Manag. 2015, 45, 314–324. [Google Scholar] [CrossRef]
- Li, Y.; Liu, Z.; Li, Q.; Liu, Z.; Zeng, L. Recovery of Indium from Used Indium-Tin Oxide (ITO) Targets. Hydrometallurgy 2011, 105, 207–212. [Google Scholar] [CrossRef]
- Chinnam, R.K.; Ujaczki, É.; O’Donoghue, L. Leaching Indium from Discarded LCD Glass: A Rapid and Environmentally Friendly Process. J. Clean. Prod. 2020, 277, 122868. [Google Scholar] [CrossRef]
- Gabriel, A.P.; Kasper, A.C.; Veit, H.M. Acid Leaching of Indium from the Screens of Obsolete LCD Monitors. J. Environ. Chem. Eng. 2020, 8, 103758. [Google Scholar] [CrossRef]
- Houssaine Moutiy, E.; Tran, L.H.; Mueller, K.K.; Coudert, L.; Blais, J.F. Optimized Indium Solubilization from LCD Panels Using H2SO4 Leaching. Waste Manag. 2020, 114, 53–61. [Google Scholar] [CrossRef] [PubMed]
- Willner, J.; Krzymińska, N. Possibilities for Recovering Indium from Electronic Devices. Proceedings 2024, 108, 11. [Google Scholar] [CrossRef]
- Pu, Q.; Zhang, B.; Zhou, S.; Wei, Y.; Li, B.; Wang, H. Efficient Recovery of Indium from Waste Indium Tin Oxide (ITO) Targets by Pressure Leaching with Sulfuric Acid. React. Chem. Eng. 2023, 8, 2332–2341. [Google Scholar] [CrossRef]
- Yang, J.; Retegan, T.; Ekberg, C. Indium Recovery from Discarded LCD Panel Glass by Solvent Extraction. Hydrometallurgy 2013, 137, 68–77. [Google Scholar] [CrossRef]
- Ferella, G.; Belardi, A.; Marsilii, I.; De Michelis, I.; Veglio, F. Separation and recovery of glass, plastic and indium from spent LCD panels. Waste Manag. 2017, 60, 569–581. [Google Scholar] [CrossRef]
- Qin, K.; Mei, F.; Yuan, T.; Li, R.; Jiang, J.; Niu, P.; Chen, H. Effects of Sintering Processes on the Element Chemical States of In, Sn and O in ITO Targets. J. Mater. Sci. Mater. Electron. 2018, 29, 7931–7940. [Google Scholar] [CrossRef]
- Ruan, J.; Guo, Y.; Qiao, Q. Recovery of Indium from Scrap TFT-LCDs by Solvent Extraction. Procedia Environ. Sci. 2012, 16, 545–551. [Google Scholar] [CrossRef]
- Jiang, J.; Liang, D.; Zhong, Q. Precipitation of indium using sodium tripolyphosphate. Hydrometallurgy 2011, 106, 165–169. [Google Scholar] [CrossRef]
- Bortot Coelho, F.E.; Moreira, V.R.; Majuste, D.; Ciminelli, V.S.T.; Amaral, M.C.S. Sustainable indium recovery from e-waste and industrial effluents: Innovations and opportunities integrating membrane separation processes. Desalination 2025, 612, 118900. [Google Scholar] [CrossRef]
- Lahti, J.; Vazquez, S.; Virolainen, S.; Mänttäri, M.; Kallioinen, M. Membrane filtration enhanced hydrometallurgical recovery process of indium from waste LCD panels. J. Sustain. Metall. 2020, 6, 576–588. [Google Scholar] [CrossRef]
- Zhang, K.; Li, B.; Wu, Y.; Wang, W.; Li, R.; Zhang, Y.N.; Zuo, T. Recycling of Indium from Waste LCD: A Promising Non-Crushing Leaching with the Aid of Ultrasonic Wave. Waste Manag. 2017, 64, 236–243. [Google Scholar] [CrossRef]
- Ku, J.; Wang, K.; Wang, Q.; Lei, Z. Application of Magnetic Separation Technology in Resource Utilization and Environmental Treatment. Separations 2024, 11, 130. [Google Scholar] [CrossRef]
- Gulliani, S.; Volpe, M.; Messineo, A.; Volpe, R. Recovery of Metals and Valuable Chemicals from Waste Electric and Electronic Materials: A Critical Review of Existing Technologies. RSC Sustain. 2023, 1, 1085–1108. [Google Scholar] [CrossRef]
- Cui, J.; Forssberg, E. Mechanical Recycling of Waste Electric and Electronic Equipment: A Review. J. Hazard. Mater. 2003, 99, 243–263. [Google Scholar] [CrossRef]
- Veit, H.M.; Diehl, T.R.; Salami, A.P.; Rodrigues, J.S.; Bernardes, A.M.; Tenório, J.A.S. Utilization of Magnetic and Electrostatic Separation in the Recycling of Printed Circuit Boards Scrap. Waste Manag. 2005, 25, 67–74. [Google Scholar] [CrossRef] [PubMed]
- Toache-Pérez, A.D.; Bolarín-Miró, A.M.; Sánchez-De Jesús, F.; Lapidus, G.T. Facile Method for the Selective Recovery of Gd and Pr from LCD Screen Wastes Using Ultrasound-Assisted Leaching. Sustain. Environ. Res. 2020, 30, 20. [Google Scholar] [CrossRef]
- Toache-Pérez, A.D.; Lapidus, G.T.; Bolarín-Miró, A.M.; De Jesús, F.S. Selective Leaching and Recovery of Er, Gd, Sn, and In from Liquid Crystal Display Screen Waste by Sono-Leaching Assisted by Magnetic Separation. ACS Omega 2022, 7, 31897–31904. [Google Scholar] [CrossRef]
- Parsa, A.; Bahaloo Horeh, N.; Mousavi, S.M. A Hybrid Thermal-Biological Recycling Route for Efficient Extrac-tion of Metals and Metalloids from End-of-Life Liquid Crystal Displays (LCDs). Chemosphere 2024, 352, 141408. [Google Scholar] [CrossRef]
- Gómez, M.; Grimes, S.; Yang, L.; Pornsirianant, T.; Fowler, G. Novel Resource-Efficient Recovery of High Purity Indium Products: Unlocking Value from End-of-Life Mobile Phone Liquid Crystal Display Screens. J. Environ. Chem. Eng. 2023, 11, 111327. [Google Scholar] [CrossRef]
- Software R Core Team R: A Language and Environment for Statistical Computing; R Foundation for Statistical Computing: Vienna, Austria, 2024; Available online: https://www.R-project.org/ (accessed on 28 September 2025).
- Revelle, W. Procedures for Psychological, Psychometric, and Personality Research, R Package Version 1.9.12; Northwestern University: Evanston, IL, USA, 2019. Available online: https://CRAN.R-project.org/package=psych (accessed on 28 September 2025).
- Gu, S.; Fu, B.; Dodbiba, G.; Fujita, T.; Fang, B. A Sustainable Approach to Separate and Recover Indium and Tin from Spent Indium–Tin Oxide Targets. RSC Adv. 2017, 7, 52017–52023. [Google Scholar] [CrossRef]
- Anić Vučinić, A.; Šimunić, S.; Radetić, L.; Presečki, I. Indium Recycling from Waste Liquid Crystal Displays: Is It Possible? Processes 2023, 11, 1662. [Google Scholar] [CrossRef]
- Cao, Y.; Li, F.; Li, G.; Huang, J.; Zhu, H.; He, W. Leaching and Purification of Indium from Waste Liquid Crystal Display Panel after Hydrothermal Pretreatment: Optimum Conditions Determination and Kinetic Analysis. Waste Manag. 2020, 102, 635–644. [Google Scholar] [CrossRef] [PubMed]
- Swain, B.; Lee, C.G.; Hong, H.S. Value Recovery from Waste Liquid Crystal Display Glass Cullet through Leaching: Understanding the Correlation between Indium Leaching Behavior and Cullet Piece Size. Metals 2018, 8, 235. [Google Scholar] [CrossRef]
- Crundwell, F.K. The Dissolution and Leaching of Minerals: Mechanisms, Myths and Misunderstandings. Hydrometallurgy 2013, 139, 132–148. [Google Scholar] [CrossRef]
- Winardhi, C.W.; Godinho, J.R.A.; Gutzmer, J. The Effect of Macroscopic Particle Features on Mineral Dissolution. Minerals 2023, 13, 253. [Google Scholar] [CrossRef]
- Toli, A.; Panias, D.; Tsakiridis, P.E. The Efficient Use of Sulfuric Acid in Bauxite Residue Leaching: Towards Sustainable Processing. Circ. Econ. Sustain. 2023, 3, 53. [Google Scholar]
- Agarwal, C.; Sharma, N.; Singh, S.; Chandra, R. Remediation and Recycling of Inorganic Acids and Their Green Applications. RSC Adv. 2023, 13, 24454–24475. [Google Scholar] [CrossRef]
- Gin, S.; Jollivet, P.; Fournier, M.; Angeli, F.; Frugier, P.; Charpentier, T. Origin and Consequences of Silicate Glass Passivation by Surface Layers. Nat. Commun. 2015, 6, 6360. [Google Scholar] [CrossRef]
- Gin, S.; Delaye, J.M.; Angeli, F.; Schuller, S. Aqueous Alteration of Silicate Glass: State of Knowledge and Perspectives. npj Mater. Degrad. 2021, 5, 42. [Google Scholar] [CrossRef]
- Auyeshov, A.; Arynov, K.; Yeskibayeva, C.; Dikanbayeva, A.; Auyeshov, D.; Raiymbekov, Y. Transformation of Silicate Ions into Silica under the Influence of Acid on the Structure of Serpentinite. Molecules 2024, 29, 2502. [Google Scholar] [CrossRef] [PubMed]
- Kazadi, D.M.; Groot, D.R.; Steenkamp, J.D.; Pöllmann, H. Control of Silica Polymerisation during Ferromanganese Slag Sulphuric Acid Digestion and Water Leaching. Hydrometallurgy 2016, 166, 214–221. [Google Scholar] [CrossRef]












| Type of Equipment | LCD TV LG | LCD Panels | LCD Laptops | LCD Mobile Phones | LCD Panels | LCD Monitors | CIGS Panel |
|---|---|---|---|---|---|---|---|
| In, mg/kg | 28.7–91.6 | 53–130 | 405 | 906 | 160 | 480 | 131.9 |
| References | [14] | [15] | [16] | [17] | [2] | [18] | [19] |
| Applied Reagent | Efficiency, % | Supporting Technique | References |
|---|---|---|---|
| HCl/HNO3 | 60.0 | Microwave | [24] |
| HCl/H2SO4 | 99.0 | Acid leaching–sulfide precipitation–zinc cementation | [25] |
| Aqua regia | 65.0 | Sonication technique | [26] |
| HCl | 99.3 | High temperature, samples ground in a ball mill | [27] |
| HCl | 96.8 | Ultrasonic wave | [38] |
| H2SO4 | 96.4 | One-step leaching, precipitation | [12] |
| H2SO4 | 98.2 | Samples ground in a ball mill | [27] |
| H2SO4 | 99.5 | Pressure leaching technique | [28] |
| H2SO4 | 83.5 | Mechanical stirrer, ozone | [29] |
| H2SO4 | 96.5 | Pressure leaching technique | [30] |
| H2SO4 | 90.0 | Using DEHPA, TBP, and Cyanex 272 or Cyanex 923 | [31] |
| H2SO2/H2O2 | 100.0 | Pressure leaching technique, 5% wt/vol Amberlite™ resin | [32] |
| H2SO4 | 99.0 | Cold isostatic pressing, sintering processes | [33] |
| H2SO4 | 97.0 | Solvent extraction | [34] |
| H2SO4 | 97.4 | Membrane filtration | [37] |
| Sodium tripolyphosphate (Na5P3O10) | 95.0 | Pressure oxidative leaching, precipitation, solvent extraction and cementation | [35] |
| Elements | In | Sn | Sr | Ca | Ba | S | V | Fe |
|---|---|---|---|---|---|---|---|---|
| Fraction < 1 mm, mg/kg | 250 ± 8 | 877 ± 16 | 26,943 ± 363 | 25,386 ± 237 | 18,586 ± 262 | 2173 ± 218 | 1185 ± 12 | 3657 ± 60 |
| Fraction > 1 mm, mg/kg | 227 ± 11 | 4463 ± 90 | 57,908 ± 1110 | 14,762 ± 120 | 11,433 ± 235 | 4138 ± 197 | 294 ± 4 | 14,181 ± 208 |
| Sample–Fraction Input to the Leaching | In, mg/kg | Fe, mg/kg | Sr, mg/kg | Si, % |
|---|---|---|---|---|
| 1: >1 mm magnetic | 244 +/- 7 | 450,055 +/- 4697 | 9327 +/- 165 | 18.0 +/- 0.30 |
| 2: >1 mm non-magnetic | <LOD* | 141 +/- 10 | 2732 +/- 34 | 22.61 +/- 0.21 |
| 3: <1 mm magnetic | 71 +/- 4 | 31,678 +/- 257 | 8904 +/- 114 | 19.1 +/- 0.20 |
| 4: <1 mm non-magnetic | <LOD* | 280 +/- 10 | 4010 +/- 44 | 22.2 +/- 0.19 |
Disclaimer/Publisher’s Note: The statements, opinions and data contained in all publications are solely those of the individual author(s) and contributor(s) and not of MDPI and/or the editor(s). MDPI and/or the editor(s) disclaim responsibility for any injury to people or property resulting from any ideas, methods, instructions or products referred to in the content. |
© 2025 by the authors. Licensee MDPI, Basel, Switzerland. This article is an open access article distributed under the terms and conditions of the Creative Commons Attribution (CC BY) license (https://creativecommons.org/licenses/by/4.0/).
Share and Cite
Willner, J.; Janakova, I.; Jablonska-Czapla, M.; Yandem, G.; Hrecin, D.; Sedlakova-Kadukova, J. Indium Recovery from ITO in LCD Glass Using Magnetic Separation and Sulfuric Acid: Influence of Fractions and Process Conditions. Processes 2025, 13, 3917. https://doi.org/10.3390/pr13123917
Willner J, Janakova I, Jablonska-Czapla M, Yandem G, Hrecin D, Sedlakova-Kadukova J. Indium Recovery from ITO in LCD Glass Using Magnetic Separation and Sulfuric Acid: Influence of Fractions and Process Conditions. Processes. 2025; 13(12):3917. https://doi.org/10.3390/pr13123917
Chicago/Turabian StyleWillner, Joanna, Iva Janakova, Magdalena Jablonska-Czapla, George Yandem, David Hrecin, and Jana Sedlakova-Kadukova. 2025. "Indium Recovery from ITO in LCD Glass Using Magnetic Separation and Sulfuric Acid: Influence of Fractions and Process Conditions" Processes 13, no. 12: 3917. https://doi.org/10.3390/pr13123917
APA StyleWillner, J., Janakova, I., Jablonska-Czapla, M., Yandem, G., Hrecin, D., & Sedlakova-Kadukova, J. (2025). Indium Recovery from ITO in LCD Glass Using Magnetic Separation and Sulfuric Acid: Influence of Fractions and Process Conditions. Processes, 13(12), 3917. https://doi.org/10.3390/pr13123917

