You are currently on the new version of our website. Access the old version .
MicroplasticsMicroplastics
  • Article
  • Open Access

9 December 2025

Can Micro/Nanoplastics Influence PM2.5 Characteristics: An Ex Situ Investigation by Physicochemical Indicators of PM2.5 and Their Bacterial Model Toxicity

,
,
and
1
Application and Research Center for Advanced Studies, Istanbul Aydin University, Sefakoy Kucukcekmece, Istanbul 34295, Türkiye
2
Department of Chemistry, Faculty of Science and Letters, Istanbul Technical University, Maslak, Sariyer, Istanbul 34467, Türkiye
3
Medical Laboratory Technics, Vocational School of Health Science, Istanbul Aydin University, Sefakoy Kucukcekmece, Istanbul 34295, Türkiye
4
Department of Environmental Engineering, Faculty of Civil Engineering, Istanbul Technical University, Maslak, Sariyer, Istanbul 34467, Türkiye
This article belongs to the Collection Feature Papers in Microplastics

Abstract

Exposure to PM2.5 and its associated micropollutants, including micro- and nanoplastics, has been strongly linked to adverse health effects in humans. The risk posed by micro/nanoplastics can be attributed to the particles themselves and their ability to leach into the surrounding environment. However, the impact of micro/nanoplastics on the surrounding environment through leaching is still underestimated. In this study, we conducted ex situ experiments involving micro/nanoplastics and PM2.5 at various particulate matter mass concentrations and exposure times (1–336 h). The micro/nanoplastics were then removed from the PM2.5 media, and the aromaticity, light absorption, zeta potential, and oxidative potential of the PM2.5 were measured. Furthermore, the toxicity of the PM2.5 was investigated using a bacterial model by Staphylococcus aureus. Changes in the aromaticity, light absorption, zeta potential, and oxidative potential of PM2.5 indicated the impact of the micro/nanoplastics on the PM2.5. For example, PM2.5 exhibited higher aromaticity in the initial exposure stages (2–4% and 9–11%), whereas its light absorption (0.5–6-fold) increased with prolonged exposure to micro/nanoplastics. Overall, more negative zeta potentials and higher oxidative inputs (~6–40%) were obtained in PM2.5 after micro/nanoplastic treatment. The bacterial model revealed that the viability and biofilm formation of bacteria were affected by PM2.5 exposed to micro/nanoplastics, compared to PM2.5 not exposed to micro/nanoplastics, for example, 0.5–2-fold higher bacterial activity with longer MNP exposure and 4–39% higher biofilm formation. Furthermore, the oxidative stress-related bacterial indicators were primarily influenced by the aromaticity, zeta potential, and oxidative potential of PM2.5. The results of this study suggest that the bacterium Staphylococcus aureus can adapt to PM2.5 contaminated with micro/nanoplastics. Therefore, this study highlights the potential impact of micro/nanoplastics on bacterial adaptation to environmental contaminants and antibiotic resistance via PM2.5.

1. Introduction

Plastic pollution poses a significant threat to the environment and all forms of life. According to records, 367 million tonnes of plastic were produced worldwide for use in both domestic and industrial applications. The main types of plastic produced for these purposes are polyethylene terephthalate (PET), polypropylene (PP), polyethylene (both low-density and high-density PE), polyvinyl chloride (PVC), polystyrene (PS) and polyurethane (PU), with significant quantities entering the environment [1,2]. After being released into the environment, many plastics become physically, chemically and biologically deformed and eventually form plastic debris of various sizes, including macroplastics (>25 mm), mesoplastics (fragments > 5 mm), microplastics (5 mm–1 μm) and nanoplastics (<1 μm) [3,4]. These particles, items and debris are considered to be a new type of persistent and emerging contaminant in environmental compartments, such as aqueous systems, the air and soil [5]. For example, a summary of 105 studies found that the five oceans were dominated by PS, PET and polyphthalamide plastics. Several studies have also suggested that the oceans are the main source of plastic debris in the air, rather than air conditioning, industrial processes, and the use of sprays for agricultural purposes, body sprays, and paints [6,7,8,9].
Although the direct effect of plastic debris in the air on human health through inhalation is a key area of research, studies mainly focus on aqueous systems, with a particular focus on the detection, simulation, adsorption, weathering and leaching of micro/nanoplastics (MNPs), as well as their biological endpoints or toxicity. Air-related studies are limited compared to those conducted in aqueous and soil systems. Studies regarding airborne MNPs have currently focused on detecting and monitoring plastic debris in atmospheric components, including dust and PM2.5. The presence of plastics has been identified in various types of air samples collected from different locations, including indoor and outdoor environments, at varying concentrations [10]. However, the impact of MNPs on air particulates has yet to be examined due to analytical considerations, as isolation of MNPs is not a standardised method and cannot be accomplished without deformation, contamination and the use of toxic chemicals during isolation processes. Generally, identification of MNPs in air consists of various steps: sample collection, preparation, and characterisation [11,12]. However, none of these methods are standardised. Some researchers have examined the suitability of these procedures from a limited perspective. In one such study, Rahman et al. [13] evaluated the sample collection filter matrices and the applicability of the characterisation technique for PM2.5 samples. They compared silver and Teflon filters and found that the Teflon filter was more suitable due to silver’s interaction with polymers. In the sample preparation step, organic materials in the samples can be removed using various oxidisers (H2O2), acids (HNO3, HCl), alkalis (KOH, NaOH) and enzymes. For example, H2O2 is often used to isolate MNPs from atmospheric samples [6]. However, weathering studies using oxidisers and acids have shown that MNP surfaces are damaged, which decreases the accuracy of identification [11]. After removing the organics, MNPs can frequently be separated from atmospheric sample particles using density separation, with ZnCl2 solutions being the most common chemical used. However, some issues were also identified in this procedure [14,15,16]. For example, Bhat [16] used ZnCl2 density separation to identify microplastic MNPs in suspended air particulates. Elemental characterisation by EDX revealed the presence of Zn and Cl. The presence of Zn and Cl in the samples was explained by the isolation procedure of MNPs. In the characterisation step, widely used techniques include visual characterisation using a stereomicroscope and scanning electron microscopy (SEM), as well as polymer identification using Fourier transform infrared spectroscopy (FTIR) and Raman spectroscopy. Visual identification by stereomicroscope is suitable for particles measuring over 500 µm; however, smaller particles cannot easily be visualised in this way. Furthermore, the shapes and colours of particles can easily be confused, as can natural and synthetic particles. Therefore, it is recommended that this technique be combined with others, and/or additional characterisation techniques be applied [11,17,18]. SEM can provide more high-resolution visual characterisation with <0.5 µm resolution and surface textures (e.g., grooves, pits, fractures and flakes); however, it is more time-consuming as samples need to be prepared for analysis. In polymer characterisation, FTIR is a reliable and non-destructive technique for particles measuring 10–20 µm or larger; smaller particles can be analysed by micro-FTIR. However, this technique has some limitations, including reduced accuracy for smaller particles (e.g., <20 µm) and expensive instrumentation. Similarly, the polymer and surface chemistry of particles can be reliably characterised by Raman spectroscopy for sizes up to 1 µm [11,17,18]. However, colour and some chemicals attached to the surface (e.g., additives and contaminants) can interfere with the spectra. This technique is time-consuming and sometimes destructive. It also requires careful preparation, and the chosen wavelength is a critical parameter for reducing the fluorescence emitted by the sample. In addition to basic characterisation involving visual inspection and polymer analysis, further analysis can be applied to determine the elemental composition using energy-dispersive X-ray spectroscopy (EDS) and to identify degradation products using pyrolysis gas chromatography-mass spectrometry (Py-GC/MS), which is reliable for detecting polymer types and additives. However, this technique has some limitations [11,17,18]. For example, it is only suitable for samples larger than 100 mm, and it is time-consuming and destructive. Similarly, more analytical techniques have been combined with SEM-EDS and Pyr-GC/MS to overcome limitations in the detection and identification of MNPs in environmental studies. Currently, thermal desorption–proton transfer reaction mass spectrometry (TD-PTR-MS) is being used to detect PET MNPs in snow samples. This technique requires a very low sample amount in the μg to ng range [19,20]. In addition, to increase the spatial resolution of FTIR and Raman spectra, IR techniques have been combined with atomic force microscopy (AFM) to enable high-resolution, in situ chemical analysis [19,20]. However, its application is very limited in air samples [21]. Furthermore, various studies have examined the importance of contamination control procedures in air samples [22,23,24,25]. For example, Jones et al. [26] examined the laboratory sources of MNP contamination from various sources, including air, during the isolation/identification processes. The results showed that the order of contamination risk is biosafety cabinet < bench < fume hood. Bhat et al. [25] investigated contamination control procedures for airborne and indoor MNP research during sample preparation and analysis in fume hoods, laboratories and laminar flow systems. The results suggested that laminar flow is the most effective way to reduce blank MNP levels.
Furthermore, different studies showed that PET, PS, PVC, and polyamide (PA) are predominantly characterised as plastic debris in both indoor and outdoor air [27,28,29]. Unfortunately, studies involving human participants have also indicated the presence of MNPs in various body parts, including the lungs. For instance, Alpaydin et al. [30] identified MNPs in human bronchoalveolar lavage ranging in size from 4.19 to 792.00 μm. The particles were characterised as being made of PA, PET, PVC and polyurethane (PU). Jiang et al. [31] examined the presence of MNPs in the upper respiratory tract of indoor and outdoor workers using sputum and nasal lavage fluid. PVC, PA, PE and polycarbonate were identified as the polymers present in these samples. Chen et al. [32] identified microplastic particles in human lung ground glass nodules measuring between 13 and 125 μm in width. Jenner et al. [33] examined the presence of plastics in human lung tissue. Their results showed that PET and PP were the most prevalent polymers, ranging in size from 12 to 2475 µm and 4 to 88 µm, respectively. Another study determined the presence of MNPs in 13 out of 20 lung tissue samples obtained at autopsy, with sizes smaller than 5.5 µm, and fibres ranging from 8.12 to 16.8 µm [34].
In addition to MNPs being found in the air and in human lungs, air-related studies have shown that some organic contaminants relating to plastics, including phthalates and polycyclic aromatic hydrocarbons (PAHs), are widely and highly distributed in PMs [35,36,37]. Furthermore, some studies have examined the impact of burning plastic on the oxidative characteristics of PMs [38]. The results showed that burning common plastics (e.g., PET, PVC, PS and PE) releases metals, PAHs and environmentally persistent free radicals into the PM, resulting in higher oxidative potential. Specifically, higher levels of environmentally persistent free radicals were detected in PVC and PET plastics than in the other plastics tested. All these studies suggest the direct and indirect impact of MNPs on PMs. However, most studies regarding MNPs and PM2.5 thus far have focused on their occurrence, risk assessment and distribution. Thus, there is a significant knowledge gap regarding the potential impact of polymers on PMs.
Furthermore, plastic pollution poses a dual threat to the environment and human health. Apart from the direct effect of plastic particles on living systems, plastic debris can age and degrade in air, water and soil media, impacting the physicochemical and biological behaviour of these environments. Since plastic materials contain phenolic substances, elements/metals, and organophosphates to enhance various properties, including flexibility, flame retardance, and durability, etc. [1,4,39,40]. Unfortunately, these substances are known to be harmful and to act as sources of dissolved organics. These substances can easily leach from the surface of plastic particles when exposed to any stress. Many laboratory studies have started to assess the release of dissolved organics or leachates from MNPs under various conditions, including UV exposure, temperature, pH, salinity and abiotic and biotic environments [1,4,41,42]. These controlled laboratory studies play a significant role in our understanding of the status and mechanism of MNP leaching and deformation. However, studies characterising leachates and their release mechanisms are still scarce and not well understood. Moreover, available studies indicate that deformation of MNPs and the release of substances from them might affect complex environmental components and conditions [43]. However, further evaluation using ex situ experiments is needed to bridge the gap between controlled and real conditions and to better understand MNP deformation and its effect on the surrounding environment. Although ex situ experiments examining the use of the aquatic/marine environment have begun, examinations in the field of air are rare. Furthermore, ex situ experiments can be used to identify toxic behaviour. In our recent studies, we examined the effect of MNP deformation on the bacterial behaviour of seawater and sediments under various conditions [44,45]. These studies also revealed the impact of MNPs on the biological responses of environmental media owing to MNP leachates. Therefore, to understand the environmental behaviour and toxic effects of plastic debris in the surrounding environment (e.g., air), further studies need to be conducted under various environmental conditions and exposure durations. It is also important to examine their interaction with air chemical components.
Furthermore, plastics consist of various organic compounds that undergo polymerisation. However, some of these compounds, such as flame retardants and UV stabilisers, do not form complete covalent bonds with the polymer matrix. Under natural conditions, small compounds with functional groups such as hydroxyl, carboxyl and carbonyl on aromatic rings can easily deform and leach into the environment [3,46,47]. Changes in aromatic ring substitutions in the media can be characterised by aromaticity [48]. Ultraviolet–visible (UV–Vis) spectroscopy has been used to analyse aromaticity characteristics [49]. Furthermore, these small compounds can be sources of free radicals, dissolved organic matter, and oxidative species (e.g., hydroxyl, carboxyl, and carbonyl functional groups). The light absorption and optical properties of air particulates are caused by various organic compounds in the air, including humic substances, dissolved organic content, transition metals, polycyclic aromatic hydrocarbons, and quinones. Additionally, aromatic compounds typically contain chromophores, resulting in high light absorption across various UV-Vis wavelengths [50]. However, many studies have confirmed that organic compounds in air-related media also possess significant oxidative capacity, generating oxidative species and contributing to the oxidative potential (OP) of air. OP can be effectively determined using the dithiothreitol (DTT) assay in air particulates. Various studies have confirmed the relationship between OP as determined by the DTT assay and biological responses, such as those of bacteria [51,52]. Similarly, the aromaticity and light absorption of dissolved organic compounds influence microbial activities [53]. The level of zeta potential indicates the stability of particles and solutions; higher negativity indicates more stable particles than those with lower zeta potentials. Furthermore, the charge of the solution is influenced by chemical components, which is also related to binding or interaction with biotic or abiotic substances, and eventually toxicity [54].
In general, the toxicity of air particulates has been investigated using various levels of living systems. These include in vivo animal models (mainly mice and rats), organ models (respiratory, cardiac, nervous, and multi-organ), and in vitro cultures of eukaryotic cells or tissues (specific cell types belonging to the respiratory, cardiovascular, nervous, and blood systems) [55,56]. In vitro eukaryotic cell models are popular for assessments due to being relatively simple and rapid compared to in vivo models. The most commonly used cells for in vitro inhalation toxicity models are human lung adenocarcinoma epithelial cells (A549 cells) and human bronchial epithelial cells. Nervous toxicity is primarily examined using neurons from rodent models and human and murine neuroblastoma cells [55,56,57,58,59]. However, due to their close relationship with human health, bacterial infections and imbalances are also important issues for ecosystems and human health, as demonstrated through in vivo and in vitro examination of eukaryotic cells. Similarly, various health problems, such as respiratory infections, poor immunity, microbiota issues and allergy sensitivity, are directly related to bacterial responses [60]. Nevertheless, research using bacterial model systems to evaluate the effect of PMs on bacterial responses is limited compared to research using in vivo and in vitro human cell models [60,61,62,63,64,65,66,67,68,69,70]. The limited number of bacterial-based experimental bioanalysis/biotoxicity studies in PMs have mainly examined relationships with allergies and environmental biotoxicity. The bacteria tested were Salmonella, Vibrio fischeri, Photobacterium phosphoreum, Escherichia coli, Enterococcus faecalis, Klebsiella pneumoniae, Staphylococcus aureus and Pseudomonas aeruginosa [60,61,62,63,64,65,66,67,68,69,70]. Examining the results of these limited studies has revealed a relationship between bacterial-based biotoxicity and PM chemical markers. For instance, Caumo et al. [70] investigated polycyclic aromatic hydrocarbon (PAH) levels, oxidative potential and biotoxicity using Vibrio fischeri in PM2.5 samples, discovering a strong positive correlation between oxidative potential and bacterial responses, as well as a positive association between PAH and oxidative potential. Moreover, over the past decade, studies on air particulates have focused on the detection of bacteria due to the increasing prevalence of bacterial infections and bacterial tolerance [71,72]. Various indoor and outdoor air samples have revealed the presence of Staphylococcus, Escherichia coli, Lactococcus, Pseudomonas aeruginosa, and Klebsiella [71,72]. For example, S. aureus is a Gram-positive bacterium and the most common pathogen that causes a diverse array of life-threatening infections, including necrotizing pneumonia and chronic lung diseases [73,74]. Unfortunately, despite appropriate antimicrobial treatments, pulmonary S. aureus infections are an important public health issue due to having a very high fatality rate and are the leading cause of various pneumonia-related infections. The studies indicated that S. aureus can easily adapt to antibiotic treatments and exhibit antibiotic resistance, leading to increased intracellular persistence. Nevertheless, knowledge of bacterial survival behaviours in the air and their relationship with air chemical composition is limited. All bacteria-related air studies have suggested examining microbial activity and its pathways of action in the presence of various chemicals.
Various environmental agents can cause oxidative damage in bacteria, leading to the production of reactive oxygen species (ROS) and resulting in damage to DNA, proteins, and lipids, which can ultimately lead to cell death [74,75]. Similarly, studies have indicated that many stress factors containing different chemical agents can mediate the inhibition of bacteria by promoting the formation of ROS in the environment [74,75]. These agents are generally thought to stimulate intracellular hydrogen peroxide production, which can lead to lethal DNA, protein, and lipid damage via the Fenton reaction. This can result in inhibition through a series of enzymatic or non-enzymatic oxidative stress responses (catalase-CAT, superoxide dismutase-SOD, glutathione peroxidase-GSH, lipid peroxidase-LPO). On the other hand, bacteria adapt to changes in their natural environment through a network of stress responses that allow them to alter their gene expression in order to survive in the presence of a wide variety of stress factors [76]. These oxidative stress responses may be specific to the type of stress, and these general stress responses can be activated in the form of repair responses for DNA, protein, or lipid damage and can enhance survival capacity [77,78]. For example, it has been shown that different chemical structures or environmental conditions (such as oxidants, phenols, heavy metals, micro/nanoplastics, temperature, chemical pollutants, sediment, seawater) can alter the responses of different bacterial species to chemicals or their survival capabilities through oxidative stress (CAT, SOD, GSH, LPO, etc.) and activate key metabolic parameters or inhibit the negative effects of chemicals [44,45,79]. However, studies on adaptation in literature are mostly conducted under controlled conditions and where the structure of the real environmental setting is neglected, specifically where air environments are not examined. The effect of emerging contaminants in PMs, such as MNPs, has yet to be examined on bacterial responses under the chemical conditions of PMs.
Therefore, this study examined the effect of MNPs on physicochemical indicators of fine air particulates (PM2.5) under different exposure conditions (e.g., PM2.5 mass concentration and exposure duration). The leachability of MNPs under PM2.5 conditions was tested using the aromaticity, light intensity, zeta potential, and oxidative potential of PM2.5. Furthermore, the impact of MNPs on PM2.5 on bacterial biochemical and oxidative stress responses was investigated using a S. aureus bacterial model of toxicity.

2. Materials and Methods

Sampling and ex situ experimental design are presented in Figure S1.

2.1. PM2.5 Sampling and Preparation

PM2.5 samples were collected in Maslak, Istanbul, Turkey, using a High Volume Air Sampler (Analytica Strumenti, Pesaro—Italia, 30 m3/h, 2880 m3, CSN EN 12341 [80]) on a quartz filter over 96 h. The sampler was positioned 4–5 m behind a busy road and at a height of 3–4 m, 200 m away from one of Istanbul’s largest shopping centres and other buildings. The samples were stored in a dark, cold room at 4 °C until analysis. The mass concentration of the PM2.5 sample was determined by pre- and post-weighting of the filters using a Precise ultra-microbalance with five digits. The PM2.5 samples were pooled and extracted in ultrapure water to prepare a stock solution at a concentration of 25 µg/m3, mimicking the high mass concentration. The stock solution was filtered with a 0.45 µm syringe filter and analysed for metals using ICP-OES (Analytic Jena, Jena-Germany), as presented in Table S1, as well as for microorganism growth. This procedure has been widely used for metal analysis and cytotoxicity experiments [81,82,83]. Using the high stock concentration, low (2.5 µg/m3) and medium (10 µg/m3) mass concentrations of PM2.5 were then prepared with ultra-pure water (Milli-Q, Merck, Darmstadt, Germany) [12,83,84]. A blank quartz filter was used to control the process. Parallel samples were prepared for each concentration.

2.2. PET MNP Preparation

PET drinking water bottles were used to obtain secondary MNPs as a real-world approach, and the plastic water bottles were purchased from markets in Türkiye. The ‘real-world approach’ was conducted through four baselines according to available reports and published studies:
(i).
The most produced and consumed polymers;
(ii).
Their release and occurrence in oceans;
(iii).
Oceans as the main source of atmospheric MNPs;
(iv).
Their occurrence in PM2.5 and human lungs.
While this approach cannot reflect real airborne MNPs due to the various weathering processes that MNPs undergo in nature, the ex situ experiment can provide limited insight into the interaction/leaching pathways.
The preparation processes of MNPs using the ‘real-world approach’ were previously described in the study by Saygin et al. [44,45]. The PET bottles were rendered with a stainless steel render, then sieved, washed, and dried at room temperature. The physicochemical properties (e.g., morphology, elemental composition, and surface characteristics) of the prepared MNPs were characterised and presented in the studies of Saygin et al. and Baysal et al. [44,45,85]. The same batch was used in this study. The MNPs had a size range of 295–460 nm. Other physicochemical properties, including scanning electron microscopy with energy-dispersive X-ray spectroscopy (SEM–EDX, FEI, Thermo Fisher Scientific, Waltham, MA, USA), dynamic light scattering (DLS, Zetasizer Nano ZS, Malvern Instruments, Malvern, UK), Brunauer–Emmett–Teller surface area by multipoint measurement (BET, Micromeritics Gemini VII 2390 T, Norcross, GA, USA), Fourier-transform infrared spectroscopy (FTIR, Bruker Invenio S, Billerica, MA, USA) and transmission electron microscopy (TEM, Hitachi High-Tech HT7700, Minato, Japan), are presented in Figure S2 [85].

2.3. Ex Situ Exposure of PET MNPs with PM2.5

A controlled ex situ experiment was conducted to assess the interaction between MNPs and PM2.5. To expose the PM2.5 to MNPs, a specific number of MNPs were weighed using an ultra-microbalance (Precise), in line with their occurrence in atmospheric samples. These were then dispersed into three concentrations of PM2.5 extracts [84]. Exposure was conducted in a parallel setup. Samples containing and not containing MNPs (control/bare PM2.5) were placed in natural light and stirred gently three times a day at various exposure time intervals (1 h, 1 day–24 h, 2 days–48 h, 7 days–168 h and 14 days–336 h). Once the treatment duration had ended, the MNPs were removed from the PM2.5 samples via filtration using a 0.1 µm syringe filter and the PM2.5 extracts were analysed for subsequent testing. To ensure quality control, PM2.5 extracts that had not been exposed to MNPs were also filtered using a 0.1 µm syringe filter. Filtration was applied for sterilisation and homogenisation, and to limit the interference of possible microorganisms. This filtration is a widely used approach in bacterial studies. The MNPs were not analysed, and all parameters were measured as the mean of three replicates.

2.4. Assays for Physicochemical Characteristics of PM2.5 After PET MNP Exposure

To assess the impact of MNPs on PM2.5, the following properties of PM2.5 were tested: aromaticity (leachability), light intensity, zeta potentials, and oxidative potentials. We conducted the whole analysis using treated-PM2.5 and non-treated PM2.5 (control/bare) samples, not MNPs. The results were then compared with those of the PM2.5 controls, which contained no MNPs. Blank, recovery control, samples in triplicate, matrix spike, and limit of detection and limit of quantification were conducted for all procedures.
To characterise the leaching of MNPs onto PM2.5, the aromaticity (AR) of the leached solutions was measured using a UV-VIS microplate spectrophotometer (Multiskan SkyHigh, Thermo Scientific, Cleveland, OH, USA), and the AR was calculated according to Equation (1) [48].
A R = A 253 A 203
The MNP-treated and non-treated (control/bare) PM2.5 extracts were tested for light intensity at 366 nm, 600 nm, and 725 nm using a UV-VIS microplate spectrophotometer (Multiskan SkyHigh, Thermo Scientific, Cleveland, OH, USA) to examine total particulate absorption [86].
The zeta potentials of the MNP-treated and non-treated PM2.5 samples were analysed using a Zetasizer (Nano ZSE, Malvern Instruments, Malvern, UK).
Oxidative potentials (OP) by redox activity of PM2.5 samples exposed and not exposed to MNPs were determined using a dithiothreitol (DTT) assay [87]. In brief, the PM2.5 extracts and DTT (1 mM) were mixed at 37 °C, 5,5′-dithiobis-(2-nitrobenzoic acid) was added, and the reaction with the remaining DTT was read at 412 nm.

2.5. Assays Bacterial Responses of PM2.5 After PET MNP Exposure

The Gram-positive bacterium Staphylococcus aureus (S. aureus, ATCC 25923) was obtained from the American Type Culture Collection in the USA. The tryptic soy broth (TSB) growth medium was autoclaved for 15 min at 121 °C before use in the experiments [44,45]. Non-treated (control/bare) and MNP-treated PM2.5 extracts were mixed with 2.0 mL of TSB containing isolated bacterial suspensions. After the freshly cultured bacteria were exposed to the PM2.5 samples at three different mass concentrations, both with and without MNP treatment in the growth medium, all of the samples and their respective controls were incubated in a dark oven at 37 °C for 24 h. In addition to the sample control, procedural control was also conducted using only bacteria that did not contain any PM2.5.
The biochemical and oxidative-related indicator assays were repeated at least three times. All relevant controls were used; for example, one well containing sterile medium was used as a blank control, as were PM2.5 extracts at three concentrations without MNPs.
The optical density (OD) at 600 nm and the crystal violet (CV) methods were used to assay bacterial activity and biofilm formation (BF) in the presence of PM2.5 via 96-well plates [44,45,84,88,89].
Oxidative indicators of bacteria were tested using catalase (CAT), glutathione reductase (GSH) and superoxide dismutase (SOD) antioxidant assays, which were conducted immediately after the 24 h incubation period using the same sets of bacteria and biofilm. Antioxidant activity was measured according to the CUPRAC assay [44,45,84,89]. CAT activity was tested using a procedure involving H2O2, phosphate buffer (pH 7.0), cell extract, and distilled water. The change in absorbance at 240 nm was measured and then calculated to estimate CAT activity, as described by Saygin et al. [44,45]. GSH activity was assessed by monitoring changes in absorbance at a wavelength of 340 nm after mixing with potassium phosphate buffer, GSH, sodium azide and glutathione reductase, and incubating the mixture at 37 °C for 10 min. Then, NADPH and H2O2 were added to the mixture. Subsequently, absorbance was measured at a wavelength of 340 nm [44,45]. SOD activity was utilised by the assay using sodium carbonate buffer, nitroblue tetrazolium, Triton X-100, and hydroxylamine-HCl–HCl. Subsequently, the absorbance was measured at 560 nm against a blank [44,45].

2.6. Statistical Analysis

Experimental data is calculated as mean ± standard deviation. ANOVA with post hoc Tukey with one- and two-tailed was used to analyse the differences between the control and the samples, as well as the differences among the samples. These values are representative of three independent experiments and total 12 measurements. The significance and Pearson correlation (two-tailed) tests were performed using SPSS 19.0 software. Values of p < 0.05 were considered statistically significant.

3. Results

3.1. Characterisation of MNP Leaching and Impacts on Physicochemical Properties of PM2.5

To characterise the leaching of PET MNPs into PM2.5, the AR levels in PM2.5 samples were assessed before and after MNP exposure (Figure 1). PM2.5 AR levels increased significantly at the start of the MNP exposure period in all tests (p < 0.05). AR levels were 2–4% and 9–11% higher with 1 and 24 h exposures, respectively. However, the AR ratio of PM2.5 decreased with longer exposure to MNP. For example, lower AR levels in low PM2.5 were obtained after 48 and 336 h exposures to MNP, compared to the control group (Figure 1a). A similar result was observed in the medium PM2.5 concentration group when treated with MNPs for 48 h (Figure 1b). As shown in Figure 1c, at the highest PM2.5 concentration, longer exposures to MNPs did not result in significant changes compared to the control group (p < 0.05).
Figure 1. Aromaticity (AR) changes of PM2.5 with MNP exposure (ΔAR = AR/ARo, AR: MNP-treated PM2.5, ARo: PM2.5 (no MNP/control)). (a) PM2.5 at low mass concentration (2.5 µg/m3), (b) PM2.5 at medium mass concentration (10 µg/m3), and (c) PM2.5 at high mass concentration (25 µg/m3). The letters above the bars indicated the statistical difference (p ˂ 0.05): (a) difference with MNP treatments for 1 h, (b) difference with MNP treatments for 24 h, (c) difference with MNP treatments for 48 h, (d) difference with MNP treatments for 168 h, and (e) difference with MNP treatments for 336 h. (*) Difference with their control at this stage.
Figure 2 shows the impact of MNP contamination on the light intensity of PM2.5 in water. Light intensities of PM2.5 at three wavelengths were reduced at initial MNP exposure; for example, light intensities were 50–76% lower within 24 h of exposure. However, the increase was more pronounced with increasing exposure duration. For example, when exposed to MNP, the light intensity order at the lowest PM2.5 concentration is 48 h > 336 h > 168 h > 24 h > 1 h (Figure 2b). For the medium and high PM2.5 concentrations, it was 48 h > 168 h > 336 h > 24 h > 1 h and 168 h > 48 h > 336 h > 24 h > 1 h (Figure 2b,c).
Figure 2. Light intensity changes at 360 nm, 600 nm, and 725 nm of PM2.5 with MNP exposure (ΔA = A/Ao, A: MNP-treated PM2.5, Ao: PM2.5 (no MNP/control)). (a) PM2.5 at low mass concentration (2.5 µg/m3), (b) PM2.5 at medium mass concentration (10 µg/m3), and (c) PM2.5 at high mass concentration (25 µg/m3). The letters above the bars indicated the statistical difference (p ˂ 0.05): (aL) Difference with MNP treatments for 1 h at 360 nm, (bL) Difference with MNP treatments for 24 h at 360 nm, (cL) Difference with MNP treatments for 48 h at 360 nm, (dL) Difference with MNP treatments for 168 h at 360 nm, and (eL) Difference with MNP treatments for 336 h at 360 nm. (aM) Difference with MNP treatments for 1 h at 600 nm, (bM) Difference with MNP treatments for 24 h at 600 nm, (cM) Difference with MNP treatments for 48 h at 600 nm, (dM) Difference with MNP treatments for 168 h at 600 nm, and (eM) Difference with MNP treatments for 336 h at 600 nm. (aH) Difference with MNP treatments for 1 h at 725 nm, (bH) Difference with MNP treatments for 24 h at 725 nm, (cH) Difference with MNP treatments for 48 h at 725 nm, (dH) Difference with MNP treatments for 168 h at 725 nm, and (eH) Difference with MNP treatments for 336 h at 725 nm. Figure 3 shows how the zeta potential of MNP-treated PM2.5 extracts compares to that of control PM2.5. The zeta potentials of low, medium, and high concentrations of PM2.5 in ultrapure water (controls) were −16.3 mV, −12.8 mV, and −10.1 mV, respectively. However, when exposed to MNPs, the negativity of the zeta potentials declined. The average zeta potentials of PM2.5 changed from −0.856 mV to −2.255 mV, from −1.130 mV to −5.715 mV, and from −0.320 mV to −5.515 mV at low, medium, and high PM2.5 mass concentrations, respectively. As illustrated in Figure 3a, the order of the zeta potentials of low PM2.5 after MNP treatment was 48 h > 168 h > 24 h > 336 h > 1 h. For the medium and high PM2.5 concentrations, however, they were 336 h > 168 h > 24 h > 1 h > 48 h (Figure 2b,c).
Figure 3. Zeta potentials of PM2.5 with MNP exposure. (a) PM2.5 at low mass concentration (2.5 µg/m3), (b) PM2.5 at medium mass concentration (10 µg/m3), and (c) PM2.5 at high mass concentration (25 µg/m3). The letters above the bars indicated the statistical difference (p ˂ 0.05): (a) Difference with MNP treatments for 1 h, (b) Difference with MNP treatments for 24 h, (c) Difference with MNP treatments for 48 h, (d) Difference with MNP treatments for 168 h, and (e) Difference with MNP treatments for 336 h. (*) Difference with their control at this stage.
The oxidative potential (OP) of PM2.5 samples was tested using the DTT assay before and after MNP exposure to understand the impact of MNPs on the oxidative characteristics of PM2.5 (Figure 4). The results showed that the OPs of PM2.5 increased by ~6–40% with MNP exposure. Furthermore, higher exposure durations also increased the OP levels compared to earlier exposures. For example, as shown in Figure 4a, the order of the OP at low PM2.5 with MNP exposure is 168 h > 24 h > 336 h > 1 h > 48 h. In the medium and high PM2.5 with MNP exposure, the order is 336 h > 24 h > 168 h > 48 h > 1 h (Figure 4b) and 168 h > 336 h > 1 h > 24 h > 48 h (Figure 4c).
Figure 4. OP changes of PM2.5 with MNP exposure (ΔOP = OP/OPo, OP: MNP-treated PM2.5, OPo: PM2.5 (no MNP/control)). (a) PM2.5 at low mass concentration (2.5 µg/m3), (b) PM2.5 at medium mass concentration (10 µg/m3), and (c) PM2.5 at high mass concentration (25 µg/m3). The letters above the bars indicated the statistical difference (p ˂ 0.05): (a) Difference with MNP treatments for 1 h, (b) Difference with MNP treatments for 24 h, (c) Difference with MNP treatments for 48 h, (d) Difference with MNP treatments for 168 h, and (e) Difference with MNP treatments for 336 h. (*) Difference with their control at this stage.

3.2. Impact of MNP Exposure on PM2.5 by Metabolic and Biochemical Responses of S. aureus

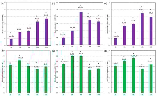
The biological activity induced by MNP-treated PM2.5 was assessed using bacterial assays. The metabolic and biochemical characteristics of the Gram-positive bacterium S. aureus were measured using the OD600, CV, antioxidant, CAT, GR, and SOD assays. Exposure of S. aureus to MNP-treated PM2.5 generally had a significant influence on bacterial activity compared to non-treated PM2.5, except 24 h and 48 h exposure of MNP in the low PM2.5, and 24 h exposure of MNP in the medium PM2.5 (Figure 5a–c). For example, early exposure to MNPs resulted in approximately 50% inhibition; however, increasing the duration of MNP exposure to PM2.5 increased bacterial activity at all PM2.5 mass concentrations. At longer exposure times, S. aureus activity significantly increased in MNP-treated PM2.5 compared to the control group. Specifically, S. aureus activity increased with higher PM2.5 concentrations.
Figure 5. Bacterial activity of Gram-positive S. aureus in the presence of PM2.5 with and without MNP exposures by OD assay (OD: MNP-treated PM2.5, ODo: PM2.5 (no MNP/control)), (a) PM2.5 at low mass concentration (2.5 µg/m3), (b) PM2.5 at medium mass concentration (10 µg/m3), and (c) PM2.5 at high mass concentration (25 µg/m3). Biofilm formation of Gram-positive S. aureus in the presence of PM2.5 with and without MNP exposures by CV assay (CV: MNP-treated PM2.5, CVo: PM2.5 (no MNP/control)), (d) PM2.5 at low mass concentration (2.5 µg/m3), (e) PM2.5 at medium mass concentration (10 µg/m3), and (f) PM2.5 at high mass concentration (25 µg/m3). The letters above the bars indicated the statistical difference (p ˂ 0.05): (a) Difference with MNP treatments for 1 h, (b) Difference with MNP treatments for 24 h, (c) Difference with MNP treatments for 48 h, (d) Difference with MNP treatments for 168 h, and (e) Difference with MNP treatments for 336 h. (*) Difference with their control at this stage.
Figure 5d–f shows the biofilm formation of S. aureus in the presence of MNP-treated PM2.5. In general, biofilm formation was significantly higher with MNP-treated PM2.5 samples, e.g., 4–39% higher biofilm formation, except 168 h exposure of MNP to the all tested concentrations of PM2.5. However, at a longer exposure to MNP of PM2.5, biofilm formation decreased by approximately 10–12%. For example, the order of biofilm formation is as follows:
-
24 h > 1 h > 48 h > 336 h > 168 h (Figure 5d)
-
24 h > 48 h > 1 h > 336 h > 168 h (Figure 5e)
-
48 h > 24 h > 336 h > 1 h > 168 h (Figure 5f)
This is for low, medium and high PM2.5 concentrations when exposed to MNPs, respectively.
To observe the biochemical response pathway of bacteria after exposure to MNP-treated PM2.5, oxidative stress-related indicators (e.g., antioxidants, CAT, GR, and SOD) were examined. Figure 6a depicts the antioxidant levels of S. aureus exposed to MNP-treated PM2.5 extracts. MNP treatment initially reduced antioxidant formation; however, longer exposure to MNPs on PM2.5 increased antioxidant levels.
Figure 6. (a) Antioxidant activity ratio (ΔAOX = AOX/AOXo, AOX: MNP-treated PM2.5, AOXo: PM2.5 (no MNP/control)), (b) CAT ratio (ΔCAT = CAT/CATo, CAT: MNP-treated PM2.5, CATo: PM2.5 (no MNP/control)), (c) GSH ratio (ΔGSH = GSH/GSHo, GSH: MNP-treated PM2.5, GSHo: PM2.5 (no MNP/control)), and (d) SOD ratio, (ΔSOD = SOD/SODo, SOD: MNP-treated PM2.5, SODo: PM2.5 (no MNP/control)) of Gram-positive S. aureus in the presence of PM2.5 with and without MNP exposures. The letters above the bars indicated the statistical difference (p ˂ 0.05): (aL) Difference with MNP treatments for 1 h of low concentration PM2.5, (bL) Difference with MNP treatments for 24 h of low concentration PM2.5, (cL) Difference with MNP treatments for 48 h of low concentration PM2.5, (dL) Difference with MNP treatments for 168 h of low concentration PM2.5, and (eL) Difference with MNP treatments for 336 h of low concentration PM2.5. (aM) Difference with MNP treatments for 1 h of medium concentration PM2.5, (bM) Difference with MNP treatments for 24 h of medium concentration PM2.5, (cM) Difference with MNP treatments for 48 h of medium concentration PM2.5, (dM) Difference with MNP treatments for 168 h of medium concentration PM2.5, and (eM) Difference with MNP treatments for 336 h of medium concentration PM2.5. (aH) Difference with MNP treatments for 1 h of high concentration PM2.5, (bH) Difference with MNP treatments for 24 h of high concentration PM2.5, (cH) Difference with MNP treatments for 48 h of high concentration PM2.5, (dH) Difference with MNP treatments for 168 h of high concentration PM2.5, and (eH) Difference with MNP treatments for 336 h of high concentration PM2.5. (*) Difference with their control at this stage.
Figure 6b–d show the responses of oxidative stress indicators, including CAT, GR, and SOD, when exposed to MNP-treated and untreated PM2.5 extracts. In all cases, the impact of S. aureus CAT activity on PM2.5 was relatively low following MNP treatment. For example, a minimum reduction of 3% and a maximum increase of 5% in CAT activity were observed (Figure 6b). Furthermore, the GSH levels of S. aureus declined by ~15–60% after exposure to MNP-treated PM2.5 compared to the control group (no MNP-treated PM2.5), except for early MNP exposure (approximately 10–70% higher activities) (Figure 6c). In addition, GSH levels increased with PM2.5 concentrations at the level of 4–60%, except 48 h exposure period. MNP exposure to PM2.5 also affected S. aureus SOD levels according to the duration of MNP treatment and PM2.5 concentration (Figure 6d). SOD levels in S. aureus in the presence of PM2.5 samples increased with longer MNP exposure durations. However, SOD levels decreased with increasing PM2.5 concentrations
Figure 7 shows the overall interaction pathways between MNP-treated PM2.5 and bacteria. Of course, the overall calculation may cause errors, but to see the total relationship of the results, all the data were used, regardless of differences in PM2.5 concentration. Statistical analysis revealed the importance of MNP contamination of the PM2.5 environment due to the leaching/deformation impact of MNPs. For example, a negative correlation was found between viability and AR (r = −0.49), and zeta potential (r = −0.52). The light intensities and OP exhibited positive correlations with bacterial activity (r = 0.63–0.64, and 0.40, respectively). These results indicated that viability was primarily influenced by light intensities, zeta potential, and AR rather than OP. In addition to bacterial activity, biofilm formation is mostly controlled by AR and the OP when exposed to MNPs, rather than light intensities and zeta potentials of PM2.5. There is a moderate positive link between AR (r = 0.39) and biofilm formation, and a moderate negative link between OP and biofilm formation after MNP contamination, compared to the zeta potentials (r = 0.14) and light intensities (r = 0.08, 0.19, and 0.22 at 360, 600, and 725 nm) of PM2.5. Moreover, AR, zeta potentials, and the OP of PM2.5 affect the oxidative stress-related indicators of bacteria. For example, zeta potential and OP are moderately linked with the antioxidant activity of S. aureus in the presence of PM2.5 after MNP exposures. The CAT and GSH are dominated by AR and OP of MNP-treated PM2.5. The zeta potentials, AR, and OP of PM2.5 triggered the SOD of S. aureus.
Figure 7. Heatmap of Pearson correlation coefficient matrix between physicochemical indicators of PM2.5 and bacterial responses. The correlation coefficient (r) indicates strong (high) correlation: ±1.00–0.60, moderate (medium) correlation: ±0.59–0.30, and small (low) correlation: <+0.29.

4. Discussion

Since AR index reflects the aromatic ring substitution [48], the higher AR of MNP-treated PM2.5 compared to untreated PM2.5 indicates an increase in the quantity of carboxyl and carbonyl functional groups on the aromatic rings of PM2.5 due to the leaching of PET aromatic rings [48,90,91]. Higher aromaticity may influence the bacterial response to PM2.5 [48,91]. For instance, studies on microorganisms have shown that increased aromaticity can lead to a greater diversity of bacterial communities, including Luteimonas and Sphingobacteriaceae [91].
Some environmental factors, including the intensity of light in the air, can be an indicator of photoaging. Light intensity can also have an important effect on the oxidation capacity of air through the production of carbonaceous compounds, nitrous acid, and hydroxy radicals [92,93,94]. The changes in light intensities of the air medium can be explained by the mixture of leaching, sorption and desorption processes of MNPs. These variations in PM2.5 with MNP contamination can also involve various chemical reactions, and higher PM2.5 intensities at longer MNP exposure times can be explained by MNP deformation and/or leaching and desorption of substances from the PM2.5 [93,94,95]. Furthermore, higher light intensities can indicate the formation of dissolved organic matter [96,97]. However, the lower intensities and higher AR levels observed during the initial exposure period at all tested PM2.5 concentrations suggest that the balance between changes in aromatic substitution in PM2.5 due to MNP leaching and the sorption of chemicals in PM2.5 onto MNPs may be imbalanced. More substances related to light intensity can be adsorbed onto the MNP surface; then, with longer MNP exposure, the MNPs can desorb these substances into the PM2.5 medium. However, multiple compounds are found in both the PM2.5 media and the MNPs, as well as many leachable substances acting as sorbents. Consequently, competitive and cooperative sorption and desorption of contaminants can occur [98,99,100]. These changes in PM2.5 with MNP exposure may also affect living systems, such as microorganisms, since light is the primary energy source for organisms and is directly linked to the growth rate of microorganisms [101]. The wavelength at which light is absorbed can indicate the presence of substances. For example, the brown carbon and coloured chromophores of dissolved organic substances absorb light at wavelengths of around 300–400 nm and 500–600 nm, respectively [102,103]. The results also showed higher mean values at light absorption of 725 nm than at lower wavelengths with increasing MNP exposure duration in water-treated PM2.5, indicating the effect of the UV-blue domain [104]. High values at light absorption of 725 nm may indicate low pigment packing due to the available pigment composition and/or high concentrations of non-photosynthetic pigments in this medium [86,105].
The zeta potentials of PM2.5 were also measured to understand the solution chemistry after MNP exposure, since dissolved or sorbed substances influence the zeta potentials of the solution, resulting in a differentiated biological response. The changes after MNP exposures and durations indicate the interaction between MNPs and PM2.5 [106]. Changes in the AR, light intensities, and zeta potentials of PM2.5 extracts after MNP exposure indicated the impact of MNP leaching and deformation [4,107]. Changes over time may be due to the impact of the plastic region, since chemical additives on the outer surface of the MNPs can easily leach, thereby influencing the crystalline region of the MNPs in response to the surrounding conditions [4,108].
Variations in ARs, light intensities, and zeta potentials of PM2.5 with MNP exposure can trigger oxidative characteristics. These results agree well with the light intensity results, and higher light intensities can promote the formation of oxidative species such as nitrous acid and hydroxy radicals [93,94]. These findings explain the higher OP in PM2.5.
Inhibition in S. aureus at early stages can be explained by the presence of deformed substances in the medium. Since exposure to MNPs in PM2.5 can result in MNP leaching/deformation. Harmful components such as metals, flame retardants, and antioxidants can leach from these materials when exposed to different conditions [3,4,39,40]. Furthermore, the increased bacterial activity in the presence of MNP-contaminated PM2.5 can be attributed to the nutritional effects of PM2.5 following MNP contamination [109].
Although it is expected that oxidative capacity (OP) may reduce activity, the positive correlation with light intensity also demonstrates the formation of organic matter, which can contribute to nutritional effects. Furthermore, light intensities were found to have a stronger correlation with bacterial activity than with AR, OP, and zeta potentials. These results also indicated a nutritional effect due to the increased organic matter in PM2.5 following MNP contamination.
The higher biofilm formation can be explained by two approaches. Firstly, the available substances for biofilm formation are due to MNP leaching/deformation [4]. Secondly, a reduction in bacterial activity can cause biofilm formation due to the survival characteristics of bacteria [110]. The functional groups in the medium also play a role in bacterial aggregation and biofilm formation due to MNP leaching [111]. The dependence of biofilm formation on AR and OP also correlates well with MNP leaching.
Since the leaching of MNPs can produce reactive oxygen species in the surrounding medium due to the release of substances such as O22−, O2, H2, and ⋅OH [4], the oxidative stress-related indicators in bacteria were examined. Changes in antioxidant activity can be explained by zeta potentials and OP responses in PM2.5. For example, higher OP by DTT of PM2.5 after MNP treatment affected antioxidant levels. However, since DTT reacts with disulfide bonds, it may not be possible to fully understand the relationship between OP and antioxidant levels in bacteria. Other oxidative potential indicators can be applied. For example, the 2′,7′-dichlorofluorescein diacetate assay uses fluorescence spectrometry to detect non-specific oxidant species and reactive nitrogen species, as well as measuring the transition-metal-based redox activities of ascorbic acid at 265 nm [112]. Meanwhile, high and low antioxidant levels can both indicate oxidative stress due to an imbalance between reactive oxygen species and antioxidants. Studies have revealed that bacteria can act as antioxidants and chelate various reactive oxygen species in order to adapt [51]. Furthermore, fluctuations in the antioxidant levels of S. aureus in PM2.5 extracts during MNP exposure may also indicate variations in the balance of defence reactions against oxidative stress [113].
The limited changes in CAT activity of S. aureus revealed that bacteria can only use a limited amount of CAT to eliminate excess reactive oxygen and H2O2 from the system [114]. One of the key defence systems against oxidative species is the non-enzymatic pathway GSH, which is responsible for detoxification and the elimination of oxidative species and lipid peroxidation metabolites [115,116,117]. Lower GSH levels can result in limited sensing of oxidative species in the medium [118]. Increased GSH levels can indicate a disturbed glutathione balance caused by reactive species in these conditions [119]. Higher SOD levels indicated that SOD was formed to eliminate reactive oxygen species due to MNP contamination in PM2.5 [120]. These results explain the higher bacterial activity associated with exposure to MNPs in PM2.5.

5. Conclusions

The presence of PET MNPs in the air could have an adverse effect on bacteria, specifically on S. aureus, but this has not yet been adequately investigated. This study is the first to examine the impact of PET MNPs on the chemistry and toxicity of PM2.5, as well as the physicochemical characteristics and biochemical and oxidative response of S. aureus. Our findings suggest that, under these conditions, MNPs (particularly PET) increase the AR, light intensities, zeta potential and oxidative potential of PM2.5. In addition to the changes in the physicochemical properties of PM2.5 resulting from exposure to MNPs, the bacterial model system using S. aureus exhibited increased bacterial activity and biofilm formation in the presence of MNPs. We also observed differences in SOD and GSH activities, which suggest potential harm to the antioxidant system. Meanwhile, CAT activity indicates a limited response to oxidative stress. Oxidative indicators of S. aureus were also strongly linked with AR, zeta potential, and OP compared to light intensity; however, AR and light intensity mainly influenced bacterial activity. These results highlight the complex leaching effects of PET MNPs on PM2.5 and defence systems of S. aureus.
Although appropriate quality control procedures were applied to this study and the parameters were controlled, this study provides a preliminary insight into the interaction between PM2.5 and PET MNPs through ex situ experiments. The interaction between MNPs and chemicals is also affected by experimental design; therefore, the design of future experiments should include strict and varied quality control measurements, material selection (e.g., various MNP types with different surface areas, colours and sizes), PM mass concentrations and sizes, and examination of individual samples rather than pooled sampling. Moreover, to characterise leachable or sorbed chemicals, more sensitive and specific analytical techniques can be employed, such as Py-GC/MS and AFM-IR. To understand the impact of MNP contamination of PMs, studies can be extended to include eukaryotic cell models and organisms that are more relevant to human health and aquatic ecosystems. Furthermore, standardisation of methods for the detection and characterisation of MNPs and weathering–leaching processes should be conducted to increase the rigour, reproducibility and scientific and environmental relevance of this type of research.

Supplementary Materials

The following supporting information can be downloaded at: https://www.mdpi.com/article/10.3390/microplastics4040103/s1, Figure S1. Scheme of experimental process of the study; Figure S2. Physicochemical characteristics of PET micro/nanoplastics (a) TEM, (b) particle size distribution, (c) EDX spectrum, (d) BET sorption/desorption isotherms, and (e) FTIR spectrum [85]; Table S1. Trace element analysis by ICP-OES of PM2.5 at the concentration of 25 µg/m3 after being extracted in ultra-pure water and filtered with 0.45 µm syringe (ND: not detected).

Author Contributions

Conceptualization, H.S. and A.B.; methodology, H.S. and A.B.; formal analysis, H.S. and A.B.; investigation, B.T. and S.K.; resources, A.B. and H.S.; data curation, H.S. and A.B.; writing—original draft preparation, H.S. and A.B.; visualisation, H.S. and A.B.; supervision, H.S. and A.B.; project administration, A.B. and H.S.; funding acquisition, H.S. and A.B. All authors have read and agreed to the published version of the manuscript.

Funding

This research was funded by the Scientific Research Projects Department of Istanbul Technical University. Grant (Project) Number: TGA-2024-45568.

Institutional Review Board Statement

Not applicable.

Data Availability Statement

Data is contained within the article.

Acknowledgments

The authors also thank Pinar Kayisoglu-ITU for her help during exposure experiments.

Conflicts of Interest

The authors declare no conflicts of interest. The funders had no role in the design of the study; in the collection, analyses, or interpretation of data; in the writing of the manuscript; or in the decision to publish the results.

References

  1. Egea, L.G.; Brun, F.G.; Jiménez-Ramos, R. Dissolved organic carbon leaching from microplastics and bioavailability in coastal ecosystems. Sci. Total Environ. 2024, 909, 168673. [Google Scholar] [CrossRef]
  2. Mutuku, J.; Yanotti, M.; Tocock, M.; Hatton MacDonald, D. The Abundance of Microplastics in the World’s Oceans: A Systematic Review. Oceans 2024, 5, 398–428. [Google Scholar] [CrossRef]
  3. Li, Y.; Liu, C.; Yang, H.; He, W.; Li, B.; Zhu, X.; Liu, S.; Jia, S.; Li, R.; Tang, K.H.D. Leaching of chemicals from microplastics: A review of chemical types, leaching mechanisms and influencing factors. Sci. Total Environ. 2024, 906, 167666. [Google Scholar] [CrossRef]
  4. Ren, X.; Han, Y.; Zhao, H.; Zhang, Z.; Tsui, T.H.; Wang, Q. Elucidating the characteristic of leachates released from microplastics under different aging conditions: Perspectives of dissolved organic carbon fingerprints and nano-plastics. Water Res. 2023, 233, 119786. [Google Scholar] [CrossRef] [PubMed]
  5. Yang, J.; Peng, Z.; Sun, J.; Chen, Z.; Niu, X.; Xu, H.; Ho, K.F.; Cao, J.; Shen, Z. A review on advancements in atmospheric microplastics research: The pivotal role of machine learning. Sci. Total Environ. 2024, 945, 173966. [Google Scholar] [CrossRef]
  6. Allen, D.; Allen, S.; Abbasi, S.; Baker, A.; Bergmann, M.; Brahney, J.; Butler, T.; Duce, R.A.; Eckhardt, S.; Evangeliou, N.; et al. Microplastics and nanoplastics in the marine-atmosphere environment. Nat. Rev. Earth Environ. 2022, 3, 393–405. [Google Scholar] [CrossRef]
  7. Ortega, D.E.; Cortés-Arriagada, D. Atmospheric microplastics and nanoplastics as vectors of primary air pollutants—A theoretical study on the polyethylene terephthalate (PET) case. Environ. Pollut. 2023, 318, 120860. [Google Scholar] [CrossRef] [PubMed]
  8. Zhao, S.; Kvale, K.F.; Zhu, L.; Zettler, E.R.; Egger, M.; Mincer, T.J.; Amaral-Zettler, L.A.; Lebreton, L.; Niemann, H.; Nakajima, R.; et al. The distribution of subsurface microplastics in the ocean. Nature 2025, 641, 51–61. [Google Scholar] [CrossRef]
  9. Gaylarde, C.C.; Baptista Neto, J.A.; da Fonseca, E.M. Atmospheric Microplastics: Inputs and Outputs. Micro 2025, 5, 27. [Google Scholar] [CrossRef]
  10. Zhang, N.; Zhang, C.; Qin, Y.; Wang, J.; Ge, X.; Li, H.; Yuan, D.; Aruffo, E.A. Review of atmospheric microplastics: Sources, characteristics, and detection method. Curr. Pollut. Rep. 2024, 10, 412–429. [Google Scholar] [CrossRef]
  11. Chen, G.; Fu, Z.; Yang, H.; Wang, J. An overview of analytical methods for detecting microplastics in the atmosphere. TrAC Trends Anal. Chem. 2020, 130, 115981. [Google Scholar] [CrossRef]
  12. Han, I.; Lee, C.; Belchez, C.; Shipper, A.G.; Wiens, K.E. Microplastics in Urban Ambient Air: A Rapid Review of Active Sampling and Analytical Methods for Human Risk Assessment. Environments 2024, 11, 256. [Google Scholar] [CrossRef]
  13. Rahman, L.; Mallach, G.; Kulka, R.; Halappanavar, S. Microplastics and Nanoplastics Science: Collecting and Characterizing Airborne Microplastics in Fine Particulate Matter. Nanotoxicology 2021, 15, 1253–1278. [Google Scholar] [CrossRef]
  14. Abbasi, S.; Jaafarzadeh, N.; Zahedi, A.; Ravanbakhsh, M.; Abbaszadeh, S.; Turner, A. Microplastics in the atmosphere of Ahvaz City, Iran. J. Environ. Sci. 2023, 126, 95–102. [Google Scholar] [CrossRef]
  15. Nematollahi, M.J.; Zarei, F.; Keshavarzi, B.; Zarei, M.; Moore, F.; Busquets, R.; Kelly, F.J. Microplastic occurrence in settled indoor dust in schools. Sci. Total Environ. 2022, 807, 150984. [Google Scholar] [CrossRef]
  16. Bhat, M.A. Unravelling the microplastic contamination: A comprehensive analysis of microplastics in indoor house dust. Indoor Built Environ. 2024, 33, 1519–1541. [Google Scholar] [CrossRef]
  17. Barceló, D.; Picó, Y.; Alfarhan, A.H. Microplastics: Detection in human samples, cell line studies, and health impacts. Environ. Toxicol. Pharmacol. 2023, 101, 104204. [Google Scholar] [CrossRef]
  18. Kung, H.-C.; Wu, C.-H.; Cheruiyot, N.K.; Mutuku, J.K.; Huang, B.-W.; Chang-Chien, G.-P. The Current Status of Atmospheric Micro/Nanoplastics Research: Characterization, Analytical Methods, Fate, and Human Health Risk. Aerosol Air Qual. Res. 2023, 23, 220362. [Google Scholar] [CrossRef]
  19. Xie, D.; Fang, H.; Zhao, X.; Lin, Y.; Su, Z. Identification of Microplastics and Nanoplastics in Environmental Water by AFM-IR. Anal. Chim. Acta 2025, 1354, 343992. [Google Scholar] [CrossRef]
  20. Li, Y.; Wang, Z.; Guan, B. Separation and Identification of Nanoplastics in Tap Water. Environ. Res. 2022, 204, 112134. [Google Scholar] [CrossRef] [PubMed]
  21. Casella, C.; Cornelli, U.; Ballaz, S.; Zanoni, G.; Merlo, G.; Ramos-Guerrero, L. Plastic Smell: A Review of the Hidden Threat of Airborne Micro and Nanoplastics to Human Health and the Environment. Toxics 2025, 13, 387. [Google Scholar] [CrossRef] [PubMed]
  22. Hermsen, E.; Mintenig, S.M.; Besseling, E.; Koelmans, A.A. Quality Criteria for the Analysis of Microplastic in Biota Samples: A Critical Review. Environ. Sci. Technol. 2018, 52, 10230–10240. [Google Scholar] [CrossRef] [PubMed]
  23. Hung, C.; Klasios, N.; Zhu, X.; Sedlak, M.; Sutton, R.; Rochman, C.M. Methods matter: Methods for sampling microplastic and other anthropogenic particles and their implications for monitoring and ecological risk assessment. Integr. Environ. Assess. Manag. 2020, 17, 282–291. [Google Scholar] [CrossRef]
  24. Paiva, B.O.; Souza, A.K.M.D.; Soares, P.L.; Palma, A.R.T.; Vendel, A.L. How to control the airborne contamination in laboratory analyses of microplastics? Braz. Arch. Biol. Technol. 2022, 65, e22210399. [Google Scholar] [CrossRef]
  25. Bhat, M.A.; Gaga, E.O.; Gedik, K. How can contamination be prevented during laboratory analysis of atmospheric samples for microplastics? Environ. Monitor. Assess. 2024, 196, 159. [Google Scholar] [CrossRef]
  26. Jones, N.R.; de Jersey, A.M.; Lavers, J.L.; Rodemann, T.; Rivers-Auty, J. Identifying Laboratory Sources of Microplastic and Nanoplastic Contamination from the Air, Water, and Consumables. J. Hazard. Mater. 2024, 465, 133276. [Google Scholar] [CrossRef]
  27. Liu, C.; Li, J.; Zhang, Y.; Wang, L.; Deng, J.; Gao, Y.; Yu, L.; Zhang, J.; Sun, H. Widespread distribution of PET and PC microplastics in dust in urban China and their estimated human exposure. Environ. Int. 2019, 128, 116–124. [Google Scholar] [CrossRef]
  28. Yao, Y.; Glamoclija, M.; Murphy, A.; Gao, Y. Characterization of microplastics in indoor and ambient air in northern New Jersey. Environ. Res. 2022, 207, 112142. [Google Scholar] [CrossRef]
  29. Jenner, L.C.; Sadofsky, L.R.; Danopoulos, E.; Chapman, E.; White, D.; Jenkins, R.L.; Rotchell, J.M. Outdoor Atmospheric Microplastics within the Humber Region (United Kingdom): Quantification and Chemical Characterisation of Deposited Particles Present. Atmosphere 2022, 13, 265. [Google Scholar] [CrossRef]
  30. Alpaydin, A.Ö.; Uçan, E.S.; Köktürk, M.; Atamanalp, M.; Kalyoncu, Ç.; Yiğit, S.; Uçar, A.; Şimşek, G.Ö.; Tertemiz, K.C.; Karaçam, V.; et al. Microplastics, as a risk factor in the development of interstitial lung disease-a preliminary study. Environ. Pollut. 2024, 363, 125054. [Google Scholar] [CrossRef] [PubMed]
  31. Jiang, Y.; Han, J.; Na, J.; Fang, J.; Qi, C.; Lu, J.; Liu, X.; Zhou, C.; Feng, J.; Zhu, W.; et al. Exposure to Microplastics in the Upper Respiratory Tract of Indoor and Outdoor Workers. Chemosphere 2022, 307, 136067. [Google Scholar] [CrossRef]
  32. Chen, Q.; Gao, J.; Yu, H. An emerging role of microplastics in the etiology of lung ground glass nodules. Environ. Sci. Eur. 2022, 34, 25. [Google Scholar] [CrossRef]
  33. Jenner, L.C.; Rotchell, J.M.; Bennett, R.T.; Cowen, M.; Tentzeris, V.; Sadofsky, L.R. Detection of microplastics in human lung tissue using μFTIR spectroscopy. Sci. Total Environ. 2022, 831, 154907. [Google Scholar] [CrossRef]
  34. Amato-Lourenço, L.F.; Carvalho-Oliveira, R.; Júnior, G.R.; dos Santos Galvão, L.; Ando, R.A.; Mauad, T. Presence of airborne microplastics in human lung tissue. J. Hazard. Mater. 2021, 416, 126124. [Google Scholar] [CrossRef]
  35. Wu, C.H.; Dang, T.T.M.; Mutuku, J.K.; Lin, L.M.; Huang, B.W.; Chang-Chien, G.P. Evaluation of PM2. 5 bound microplastics and plastic additives in several cities in Taiwan: Spatial distribution and human health risk. Sci. Total Environ. 2025, 959, 178213. [Google Scholar] [CrossRef]
  36. Savva, K.; Llorca, M.; Borrell, X.; Bertran-Solà, O.; Farré, M.; Moreno, T. Granulated rubber in playgrounds and sports fields: A potential source of atmospheric plastic-related contaminants and plastic additives after runoff events. J. Hazard. Mater. 2024, 479, 135697. [Google Scholar] [CrossRef] [PubMed]
  37. Pomata, D.; La Nasa, J.; Biale, G.; Barlucchi, L.; Ceccarini, A.; Di Filippo, P.; Riccardi, C.; Buiarelli, F.; Modugno, F.; Simonetti, G. Plastic breath: Quantification of microplastics and polymer additives in airborne particles. Sci. Total Environ. 2024, 932, 173031. [Google Scholar] [CrossRef]
  38. Salim, R.; Kapur, S.; Schervish, M.; Gerritz, L.; Edwards, K.C.; Ruis-Armenta, L.; Varghese, E.; Ravikrishna, R.; Nizkorodov, S.A.; Gunthe, S.S.; et al. Plastic burning particulate matter as a source of environmentally persistent free radicals and reactive oxygen and chlorine species. npj Clean Air 2025, 1, 14. [Google Scholar] [CrossRef]
  39. Huang, Q.; Pan, L.; Luo, G.; Jiang, R.; Ouyang, G.; Ye, Y.; Cai, J.; Guo, P. Exploring the release of hazardous volatile organic compounds from face masks and their potential health risk. Environ. Pollut. 2023, 333, 122042. [Google Scholar] [CrossRef]
  40. Samal, R.R.; Navani, H.S.; Saha, S.; Kisan, B.; Subudhi, U. Evidence of microplastics release from polythene and paper cups exposed to hot and cold: A case study on the compromised kinetics of catalase. J. Hazard. Mater. 2023, 454, 131496. [Google Scholar] [CrossRef]
  41. Bridson, J.H.; Abbel, R.; Smith, D.A.; Northcott, G.L.; Gaw, S. Impact of accelerated weathering on the leaching kinetics of stabiliser additives from microplastics. J. Hazard. Mater. 2023, 459, 132303. [Google Scholar] [CrossRef]
  42. Bridson, J.H.; Masterton, H.; Theobald, B.; Risani, R.; Doake, F.; Wallbank, J.A.; Maday, S.D.M.; Lear, G.; Abbel, R.; Smith, D.A.; et al. Leaching and transformation of chemical additives from weathered plastic deployed in the marine environment. Mar. Pollut. Bull. 2024, 198, 115810. [Google Scholar] [CrossRef]
  43. Wang, T.; Liu, D.; Liu, R.; Yuan, F.; Ding, Y.; Tao, J.; Wang, Y.; Yu, W.; Fang, Y.; Li, B. Weathering Process and Characteristics of Microplastics in Coastal Wetlands: A 24-Month In Situ Study. Environ. Sci. Technol. 2025, 59, 7667–7677. [Google Scholar] [CrossRef] [PubMed]
  44. Saygin, H.; Tilkili, B.; Karniyarik, S.; Baysal, A. Culture dependent analysis of bacterial activity, biofilm-formation and oxidative stress of seawater with the contamination of microplastics under climate change consideration. Sci. Total Environ. 2024, 922, 171103. [Google Scholar] [CrossRef] [PubMed]
  45. Saygin, H.; Tilkili, B.; Kayisoglu, P.; Baysal, A. Oxidative stress, biofilm-formation and activity responses of P. aeruginosa to microplastic-treated sediments: Effect of temperature and sediment type. Environ. Res. 2024, 248, 118349. [Google Scholar] [CrossRef]
  46. Bejgarn, S.; MacLeod, M.; Bogdal, C.; Breitholtz, M. Toxicity of leachate from weathering plastics: An exploratory screening study with Nitocra spinipes. Chemosphere 2015, 132, 114–119. [Google Scholar] [CrossRef]
  47. Macan, G.P.F.; Munhoz, D.R.; Willems, L.A.J.; Monkley, C.; Lloyd, C.E.M.; Hageman, J.; Geissen, V.; Landa, B.B.; Harkes, P. Macro- and microplastics leachates: Characterization and impact on seed germination. J. Hazard. Mater. 2024, 480, 136013. [Google Scholar] [CrossRef]
  48. Zhang, F.; Zhang, W.; Wu, S.; Fu, X.; Li, S.; Yue, S. Analysis of UV–VIS spectral characteristics and content estimation of soil DOM under mulching practices. Ecol. Indic. 2022, 138, 108869. [Google Scholar] [CrossRef]
  49. Fan, X.; Li, M.; Cao, T.; Cheng, C.; Li, F.; Xie, Y.; Wei, S.; Song, J.; Peng, P. Optical properties and oxidative potential of water and alkaline-soluble brown carbon in smoke particles emitted from laboratory simulated biomass burning. Atmos. Environ. 2018, 194, 48–57. [Google Scholar] [CrossRef]
  50. Zhang, T.; Li, X.; Wang, M.; Chen, H.; Yao, M. Microbial aerosol chemistry characteristics in highly polluted air. Sci. China Chem. 2019, 62, 1051–1063. [Google Scholar] [CrossRef]
  51. Samake, A.; Uzu, G.; Martins, J.M.F.; Calas, A.; Vince, E.; Parat, S.; Jaffrezo, J.L. The Unexpected Role of Bioaerosols in the Oxidative Potential of PM. Sci. Rep. 2017, 7, 10978. [Google Scholar] [CrossRef]
  52. Fang, C.; Yuan, X.; Liao, K.; Qu, H.; Han, L.; He, X.; Huang, G. Micro-aerobic conditions based on membrane-covered improves the quality of compost products: Insights into fungal community evolution and dissolved organic matter characteristics. Bioresour. Technol. 2022, 362, 127849. [Google Scholar] [CrossRef]
  53. Hu, A.; Li, R.; Chen, G.; Chen, S. Impact of Respiratory Dust on Health: A Comparison Based on the Toxicity of PM2.5, Silica, and Nanosilica. Int. J. Mol. Sci. 2024, 25, 7654. [Google Scholar] [CrossRef]
  54. Berg, J.M.; Romoser, A.; Banerjee, N.; Zebda, R.; Sayes, C.M. The relationship between pH and zeta potential of 30 nm metal oxide nanoparticle suspensions relevant to in vitro toxicological evaluations. Nanotoxicology 2009, 3, 276–283. [Google Scholar] [CrossRef]
  55. Qin, S.J.; Zeng, Q.G.; Zeng, H.X.; Li, S.P.; Andersson, J.; Zhao, B.; Oudin, A.; Kanninen, K.M.; Jalava, P.; Jin, N.X.; et al. Neurotoxicity of fine and ultrafine particulate matter: A comprehensive review using a toxicity pathway-oriented adverse outcome pathway framework. Sci. Total Environ. 2024, 947, 174450. [Google Scholar] [CrossRef] [PubMed]
  56. Lin, C.H.; Nicol, C.J.B.; Wan, C.; Chen, S.J.; Huang, R.N.; Chiang, M.C. Exposure to PM(2.5) induces neurotoxicity, mitochondrial dysfunction, oxidative stress and inflammation in human SH-SY5Y neuronal cells. Neurotoxicology 2022, 88, 25–35. [Google Scholar] [CrossRef]
  57. Kim, J.-H.; Hwang, K.-H.; Kim, S.-H.; Kim, H.-J.; Kim, J.-M.; Lee, M.-Y.; Cha, S.-K.; Lee, J. Particulate Matter-Induced Neurotoxicity: Unveiling the Role of NOX4-Mediated ROS Production and Mitochondrial Dysfunction in Neuronal Apoptosis. Int. J. Mol. Sci. 2024, 25, 6116. [Google Scholar] [CrossRef] [PubMed]
  58. Velali, E.; Pantazaki, A.; Besis, A.; Choli-Papadopoulou, T.; Samara, C. Oxidative stress, DNA damage, and mutagenicity induced by the extractable organic matter of airborne particulates on bacterial models. Regul. Toxicol. Pharmacol. 2019, 104, 59–73. [Google Scholar] [CrossRef]
  59. Pompilio, A.; Di Bonaventura, G. Ambient air pollution and respiratory bacterial infections, a troubling association: Epidemiology, underlying mechanisms, and future challenges. Crit. Rev. Microbiol. 2022, 46, 600–630. [Google Scholar] [CrossRef] [PubMed]
  60. Bado, M.; Keita, D.; Azu, N.; Shishodia, S.; Rosenzweig, J.A. Mixed bacterial responses to dust exposure in an A549 eukaryotic co-culture. Appl. Microbiol. Biotechnol. 2018, 102, 9759–9770. [Google Scholar] [CrossRef]
  61. Bado, M.; Kwende, S.; Shishodia, S.; Rosenzweig, J.A. Impact of dust exposure on mixed bacterial cultures and during eukaryotic cell co-culture infections. Appl. Microbiol. Biotechnol. 2017, 101, 7027–7039. [Google Scholar] [CrossRef] [PubMed]
  62. Suraju, M.O.; Lalinde-Barnes, S.; Sanamvenkata, S.; Esmaeili, M.; Shishodia, S.; Rosenzweig, J.A. The effects of indoor and outdoor dust exposure on the growth, sensitivity to oxidative-stress, and biofilm production of three opportunistic bacterial pathogens. Sci. Total Environ. 2015, 538, 949–958. [Google Scholar] [CrossRef]
  63. White, J.K.; Nielsen, J.L.; Larsen, C.M.; Madsen, A.M. Impact of dust on airborne Staphylococcus aureus’ viability, culturability, inflammogenicity, and biofilm forming capacity. Int. J. Hyg. Environ. Health 2020, 230, 113608. [Google Scholar] [CrossRef]
  64. André, V.; Billet, S.; Pottier, D.; Le Goff, J.; Pottier, I.; Garçon, G.; Shirali, P.; Sichel, F. Mutagenicity and genotoxicity of pm2.5 issued from an urbano-industrialized area of dunkerque (france). J. Appl. Toxicol. 2011, 31, 131–138. [Google Scholar] [CrossRef]
  65. De Brito, K.C.; Lemos, C.T.; Rocha, J.A.; Mielli, A.C.; Matzenbacher, C.; Vargas, V.M. Comparative genotoxicity of airborne particulate matter (PM2.5) using Salmonella, plants and mammalian cells. Ecotoxicol. Environ. Saf. 2013, 94, 14–20. [Google Scholar] [CrossRef] [PubMed]
  66. Jing, W.; Liu, Q.; Wang, M.; Zhang, X.; Chen, J.; Sui, G.; Wang, L. A method for particulate matter 2.5 (PM2.5) biotoxicity assay using luminescent bacterium. Ecotoxicol. Environ. Saf. 2019, 170, 796–803. [Google Scholar] [CrossRef]
  67. Kováts, N.; Hubai, K.; Sainnokhoi, T.A.; Hoffer, A.; Teke, G. Ecotoxicity Testing of Airborne Particulate Matter—Comparison of Sample Preparation Techniques for the Vibrio Fischeri Assay. Environ. Geochem. Health 2021, 43, 4367–4378. [Google Scholar] [CrossRef]
  68. Casotti Rienda, I.; Nunes, T.; Amato, F.; Lucarelli, F.; Kováts, N.; Hubai, K.; Alves, C.A. Preliminary assessment of road dust from Portuguese motorways: Chemical profile, health risks, and ecotoxicological screening. Air Qual. Atmos. Health 2023, 16, 2579–2590. [Google Scholar] [CrossRef]
  69. Caumo, S.; Yera, A.B.; Alves, C.; Casotti Rienda, I.; Kováts, N.; Hubai, K.; de Castro Vasconcellos, P. Assessing the chemical composition, potential toxicity and cancer risk of airborne fine particulate matter (PM2.5) near a petrochemical industrial area. Environ. Toxicol. Pharmacol. 2023, 101, 104170. [Google Scholar] [CrossRef]
  70. Gao, M.; Zhang, Q.; Lei, C.; Lu, T.; Qian, H. Atmospheric antibiotic resistome driven by air pollutants. Sci. Total Environ. 2023, 902, 165942. [Google Scholar] [CrossRef] [PubMed]
  71. Viteri, G.; Rodríguez, A.; Aranda, A.; Rodriguez-Fariñas, N.; Valiente, N.; Rodriguez, D.; Diaz-de-Mera, Y.; Seseña, S. Trace elements and microbial community composition associated with airborne PM2.5 in wetlands: A case study in Tablas de Daimiel National Park. Sci. Total Environ. 2024, 906, 167502. [Google Scholar] [CrossRef]
  72. Braverman, J.; Monk, I.R.; Ge, C.; Westall, G.P.; Stinear, T.P.; Wakim, L.M. Staphylococcus aureus specific lung resident memory CD4(+) Th1 cells attenuate the severity of influenza virus induced secondary bacterial pneumonia. Mucosal Immunol. 2022, 15, 783–796. [Google Scholar] [CrossRef] [PubMed]
  73. Tan, X.; Coureuil, M.; Ramond, E.; Euphrasie, D.; Dupuis, M.; Tros, F.; Meyer, J.; Nemazanyy, I.; Chhuon, C.; Guerrera, I.C.; et al. Chronic Staphylococcus aureus Lung Infection Correlates With Proteogenomic and Metabolic Adaptations Leading to an Increased Intracellular Persistence. Clin. Infect. Dis. 2019, 69, 1937–1945. [Google Scholar] [CrossRef] [PubMed]
  74. Sudharsan, M.; Prasad, N.R.; Rajendrasozhan, S. Bacterial redox response factors in the management of environmental oxidative stress. World J. Microbiol. Biotechnol. 2022, 39, 11. [Google Scholar] [CrossRef]
  75. Gupta, A.; Imlay, J.A. How a natural antibiotic uses oxidative stress to kill oxidant-resistant bacteria. Proc. Natl. Acad. Sci. USA 2023, 120, e2312110120. [Google Scholar] [CrossRef] [PubMed]
  76. Wani, A.K.; Akhtar, N.; Sher, F.; Navarrete, A.A.; Américo-Pinheiro, J.H.P. Microbial adaptation to different environmental conditions: Molecular perspective of evolved genetic and cellular systems. Arch. Microbiol. 2022, 204, 144. [Google Scholar] [CrossRef]
  77. Brand, C.; Newton-Foot, M.; Grobbelaar, M.; Whitelaw, A. Antibiotic-induced stress responses in Gram-negative bacteria and their role in antibiotic resistance. J. Antimicrob. Chemother. 2025, 80, 1165–1184. [Google Scholar] [CrossRef]
  78. Nikolaev, Y.A. Extracellular factors of bacterial adaptation to unfavorable environmental conditions. Appl. Biochem. Microbiol. 2004, 40, 327–336. [Google Scholar] [CrossRef]
  79. Liu, C.W.; Lee, T.L.; Chen, Y.C.; Liang, C.J.; Wang, S.H.; Lue, J.H.; Tsai, J.S.; Lee, S.W.; Chen, S.H.; Yang, Y.F.; et al. PM2.5-induced oxidative stress increases intercellular adhesion molecule-1 expression in lung epithelial cells through the IL-6/AKT/STAT3/NF-kappaB-dependent pathway. Part. Fibre Toxicol. 2018, 15, 4. [Google Scholar] [CrossRef]
  80. CSN EN 12341; Determination of the PM10 fraction of suspended particulate matter—Reference method and field test procedure to demonstrate reference equivalence of measurement methods. Publications Office of the European Union: Luxembourg, 1998.
  81. Yan, X.; Ma, J.; Chen, X.; Lei, M.; Li, T.; Han, Y. Characteristics of airborne bacterial communities and antibiotic resistance genes under different air quality levels. Environ. Int. 2022, 161, 107127. [Google Scholar] [CrossRef]
  82. Lai, A.; Baumgartner, J.; Schauer, J.J.; Rudich, Y.; Pardo, M. Cytotoxicity and chemical composition of women’s personal PM2.5 exposures from rural China. Environ. Sci. Atmos. 2021, 1, 359–371. [Google Scholar] [CrossRef]
  83. Baysal, A.; Saygin, H.; Ustabasi, G.S. Interaction of PM2.5 airborne particulates with ZnO and TiO2 nanoparticles and their effect on bacteria. Environ. Monit. Assess. 2017, 190, 34. [Google Scholar] [CrossRef]
  84. Saygin, H.; Baysal, A.; Onat, B.; Zora, S.T. Oxidative stress and chemical characteristics of indoor PM2.5: A case study in an underground (-3rd) floor. Air Qual. Atmos. Health 2023, 16, 1345–1356. [Google Scholar] [CrossRef]
  85. Baysal, A.; Saygin, H.; Soyocak, A. A Comparative Study on the Interaction Between Protein and PET Micro/Nanoplastics: Structural and Surface Characteristics of Particles and Impacts on Lung Carcinoma Cells (A549) and Staphylococcus aureus. Environ Toxicol. 2024, 39, 4899–4926. [Google Scholar] [CrossRef]
  86. Bricaud, A.; Babin, M.; Claustre, H.; Ras, J.; Tièche, F. Light absorption properties and absorption budget of Southeast Pacific waters. J. Geophys. Res. Ocean. 2010, 115, C08009. [Google Scholar] [CrossRef]
  87. Baysal, A.; Saygin, H.; Soyocak, A.; Onat, B. Year-long and seasonal differences of PM2.5 chemical characteristics and their role in the viability of human lung epithelial cells (A549). J. Environ. Sci. Health A Toxic/Hazard. Subst. Environ. Eng. 2024, 59, 261–272. [Google Scholar]
  88. Rajeev, M.; Sushmitha, T.J.; Toleti, S.R.; Pandian, S.K. Culture dependent and independent analysis and appraisal of early stage biofilm-forming bacterial community composition in the Southern coastal seawater of India. Sci. Total Environ. 2019, 666, 308–320. [Google Scholar] [CrossRef] [PubMed]
  89. Arora, S.; Jain, J.; Rajwade, J.M.; Paknikar, K.M. Cellular responses induced by silver nanoparticles: In vitro studies. Toxicol. Lett. 2008, 179, 93–100. [Google Scholar] [CrossRef]
  90. Dhaka, V.; Singh, S.; Anil, A.G.; Sunil Kumar Naik, T.S.; Garg, S.; Samuel, J.; Kumar, M.; Ramamurthy, P.C.; Singh, J. Occurrence, toxicity and remediation of polyethylene terephthalate plastics. A review. Environ. Chem. Lett. 2022, 20, 1777–1800. [Google Scholar] [CrossRef]
  91. Jiang, Z.; Lu, Y.; Xu, J.; Li, M.; Shan, G.; Li, Q. Exploring the characteristics of dissolved organic matter and succession of bacterial community during composting. Bioresour. Technol. 2019, 292, 121942. [Google Scholar] [CrossRef]
  92. Bao, F.; Li, M.; Zhang, Y.; Chen, C.; Zhao, J. Photochemical aging of Beijing urban PM2.5: HONO production. Environ. Sci. Technol. 2018, 52, 6309–6316. [Google Scholar] [CrossRef]
  93. Pawar, P.V.; Mahajan, A.S.; Ghude, S.D. HONO chemistry and its impact on the atmospheric oxidizing capacity over the Indo-Gangetic Plain. Sci. Total Environ. 2024, 947, 174604. [Google Scholar] [CrossRef]
  94. Barrado, A.I.; García, S.; Barrado, E.; Pérez, R.M. PM2.5-bound PAHs and hydroxy-PAHs in atmospheric aerosol samples: Correlations with season and with physical and chemical factors. Atmos. Environ. 2012, 49, 224–232. [Google Scholar] [CrossRef]
  95. Li, Y.; Huang, H.X.H.; Griffith, S.M.; Wu, C.; Lau, A.K.H.; Yu, J.Z. Quantifying the relationship between visibility degradation and PM2.5 constituents at a suburban site in Hong Kong: Differentiating contributions from hydrophilic and hydrophobic organic compounds. Sci. Total Environ. 2017, 575, 1571–1581. [Google Scholar] [CrossRef] [PubMed]
  96. Li, Z.; Xie, G.; Chen, H.; Zhan, B.; Wang, L.; Mu, Y.; Mellouki, A.; Chen, J. Characterization of peroxyacetyl nitrate (PAN) under different PM2.5 concentration in wintertime at a North China rural site. J. Environ. Sci. 2022, 114, 221–232. [Google Scholar] [CrossRef]
  97. Liang, J.; Chen, X.; Duan, X.; Gu, X.; Zhao, X.; Zha, S.; Chen, X. Natural aging and adsorption/desorption behaviors of polyethylene mulch films: Roles of film types and exposure patterns. J. Hazard. Mater. 2024, 466, 133588. [Google Scholar] [CrossRef]
  98. Alimi, O.S.; Claveau-Mallet, D.; Lapointe, M.; Biu, T.; Liu, L.; Hernandez, L.M.; Bayen, S.; Tufenkji, N. Effects of weathering on the properties and fate of secondary microplastics from a polystyrene single-use cup. J. Hazard. Mater. 2023, 459, 131855. [Google Scholar] [CrossRef]
  99. Sun, Y.; Yuan, J.; Zhou, T.; Zhao, Y.; Yu, F.; Ma, J. Laboratory simulation of microplastics weathering and its adsorption behaviors in an aqueous environment: A systematic review. Environ. Pollut. 2020, 265, 114864. [Google Scholar] [CrossRef]
  100. Schmidt, H.; Thom, M.; Wieprecht, S.; Manz, W.; Gerbersdorf, S.U. The effect of light intensity and shear stress on microbial biostabilization and the community composition of natural biofilms. Res. Rep. Biol. 2018, 9, 1–16. [Google Scholar] [CrossRef]
  101. Li, S.; Zhu, M.; Yang, W.; Tang, M.; Huang, X.; Yu, Y.; Fang, H.; Yu, X.; Yu, Q.; Fu, X.; et al. Filter-based measurement of light absorption by brown carbon in PM2.5 in a megacity in South China. Sci. Total Environ. 2018, 633, 1360–1369. [Google Scholar] [CrossRef] [PubMed]
  102. Lambe, A.T.; Cappa, C.D.; Massoli, P.; Onasch, T.B.; Forestieri, S.D.; Martin, A.T.; Cummings, M.J.; Croasdale, D.R.; Brune, W.H.; Worsnop, D.R.; et al. Relationship between oxidation level and optical properties of secondary organic aerosol. Environ. Sci. Technol. 2013, 47, 6349–6357. [Google Scholar] [CrossRef] [PubMed]
  103. Ba-Haddou, H.; Taoussi, O.; Ait Lyazidi, S.; Coquery, M.; Masson, M.; Haddad, M.; El Bakkali, A.; Margoum, C. Identifying sources and distribution of organic pollutants in a Moroccan river: Characterization of dissolved organic matter by absorption, excitation-emission fluorescence and chemometric analyses. J. Hazard. Mater. 2024, 480, 135899. [Google Scholar] [CrossRef]
  104. Wei, G.; Lee, Z.; Wu, X.; Yu, X.; Shang, S.; Letelier, R. Impact of temperature on absorption coefficient of pure seawater in the blue wavelengths inferred from satellite and in situ measurements. J. Remote Sens. 2021, 2021, 9842702. [Google Scholar] [CrossRef]
  105. Huan, Y.; Sun, D.; Wang, S.; Zhang, H.; Li, Z.; Zhang, Y.; He, Y. Phytoplankton package effect in oceanic waters: Influence of chlorophyll-a and cell size. Sci. Total Environ. 2022, 838 Pt 1, 155876. [Google Scholar] [CrossRef]
  106. Li, Q.; Dong, F.; Dai, Q.; Zhang, C.; Yu, L. Surface properties of PM2.5 calcite fine particulate matter in the presence of same size bacterial cells and exocellular polymeric substances (EPS) of Bacillus mucitaginosus. Environ. Sci. Pollut. Res. Int. 2018, 25, 22429–22436. [Google Scholar] [CrossRef]
  107. Liang, H.; Ji, Y.; Ge, W.; Wu, J.; Song, N.; Yin, Z.; Chai, C. Release kinetics of microplastics from disposable face masks into the aqueous environment. Sci. Total Environ. 2022, 816, 151650. [Google Scholar] [CrossRef]
  108. Yu, Y.; Kumar, M.; Bolan, S.; Padhye, L.P.; Bolan, N.; Li, S.; Wang, L.; Hou, D.; Li, Y. Various additive release from microplastics and their toxicity in aquatic environments. Environ. Pollut. 2024, 343, 123219. [Google Scholar] [CrossRef]
  109. Joshi, G.; Goswami, P.; Verma, P.; Prakash, G.; Simon, P.; Vinithkumar, N.V.; Dharani, G. Unraveling the plastic degradation potentials of the plastisphere-associated marine bacterial consortium as a key player for the low-density polyethylene degradation. J. Hazard. Mater. 2022, 425, 128005. [Google Scholar] [CrossRef]
  110. Seviour, T.; Derlon, N.; Dueholm, M.S.; Flemming, H.C.; Girbal-Neuhauser, E.; Horn, H.; Kjelleberg, S.; van Loosdrecht, M.C.M.; Lotti, T.; Malpei, M.F.; et al. Extracellular polymeric substances of biofilms: Suffering from an identity crisis. Water Res. 2019, 151, 1–7. [Google Scholar] [CrossRef]
  111. Rehman, Z.U.; Vrouwenvelder, J.S.; Saikaly, P.E. Physicochemical properties of extracellular polymeric substances produced by three bacterial ısolates from biofouled reverse osmosis membranes. Front. Microbiol. 2021, 12, 668761. [Google Scholar] [CrossRef] [PubMed]
  112. Bates, J.T.; Fang, T.; Verma, V.; Zeng, L.; Weber, R.J.; Tolbert, P.E.; Abrams, J.Y.; Sarnat, S.E.; Klein, M.; Mulholland, J.A.; et al. Review of acellular assays of ambient particulate matter oxidative potential: Methods and relationships with composition, sources, and health effects. Environ. Sci. Technol. 2019, 53, 4003–4019. [Google Scholar] [CrossRef] [PubMed]
  113. Aragaw, T.A. Functions of various bacteria for specific pollutants degradation and their application in wastewater treatment: A review. Int. J. Environ. Sci. Technol. 2021, 18, 2063–2076. [Google Scholar] [CrossRef]
  114. Li, T.; Lu, M.; Xu, B.; Chen, H.; Li, J.; Zhu, Z.; Yu, M.; Zheng, J.; Peng, P.; Wu, S. Multiple perspectives reveal the gut toxicity of polystyrene microplastics on Eisenia fetida: Insights into community signatures of gut bacteria and their translocation. The Science of the total environment. 2022, 838 Pt 4, 156352. [Google Scholar] [CrossRef]
  115. Aragaw, T.A.; Bogale, F.M.; Gessesse, A. Adaptive response of thermophiles to redox stress and their role in the process of dye degradation from textile industry wastewater. Front. Physiol. 2022, 13, 908370. [Google Scholar] [CrossRef]
  116. Xiang, J.; Mi, Y.; Luo, B.; Gong, S.; Zhou, Y.; Ma, T. Evaluating the potential of KOH-modified composite biochar amendment to alleviate the ecotoxicity of perfluorooctanoic acid-contaminated sediment on Bellamya aeruginosa. Ecotoxicol. Environ. Saf. 2021, 219, 112346. [Google Scholar] [CrossRef] [PubMed]
  117. Metryka, O.; Wasilkowski, D.; Mrozik, A. Insight into the antibacterial activity of selected metal nanoparticles and alterations within the antioxidant defence system in Escherichia coli, Bacillus cereus and Staphylococcus epidermidis. Int. J. Mol. Sci. 2021, 22, 11811. [Google Scholar] [CrossRef]
  118. Stewart, L.J.; Ong, C.Y.; Zhang, M.M.; Brouwer, S.; McIntyre, L.; Davies, M.R.; Walker, M.J.; McEwan, A.G.; Waldron, K.J.; Djoko, K.Y. Role of glutathione in buffering excess intracellular copper in Streptococcus pyogenes. mBio 2020, 11, e02804-20. [Google Scholar] [CrossRef]
  119. Shen, X.; Ma, R.; Huang, Y.; Chen, L.; Xu, Z.; Li, D.; Meng, X.; Fan, K.; Xi, J.; Yan, X.; et al. Nano-decocted ferrous polysulfide coordinates ferroptosis-like death in bacteria for anti-infection therapy. Nano Today 2020, 35, 100981. [Google Scholar] [CrossRef]
  120. Luo, B.; Li, J.; Wang, M.; Zhang, X.; Mi, Y.; Xiang, J.; Gong, S.; Zhou, Y.; Ma, T. Chronic toxicity effects of sediment-associated polystyrene nanoplastics alone and in combination with cadmium on a keystone benthic species Bellamya aeruginosa. J. Hazard. Mater. 2022, 433, 128800. [Google Scholar] [CrossRef] [PubMed]
Disclaimer/Publisher’s Note: The statements, opinions and data contained in all publications are solely those of the individual author(s) and contributor(s) and not of MDPI and/or the editor(s). MDPI and/or the editor(s) disclaim responsibility for any injury to people or property resulting from any ideas, methods, instructions or products referred to in the content.

Article Metrics

Citations

Article Access Statistics

Multiple requests from the same IP address are counted as one view.