Sign in to use this feature.

Years

Between: -

Subjects

remove_circle_outline
remove_circle_outline
remove_circle_outline
remove_circle_outline
remove_circle_outline
remove_circle_outline
remove_circle_outline
remove_circle_outline
remove_circle_outline

Journals

remove_circle_outline
remove_circle_outline
remove_circle_outline
remove_circle_outline
remove_circle_outline
remove_circle_outline
remove_circle_outline
remove_circle_outline
remove_circle_outline

Article Types

Countries / Regions

remove_circle_outline
remove_circle_outline
remove_circle_outline
remove_circle_outline
remove_circle_outline

Search Results (885)

Search Parameters:
Keywords = ozone measurements

Order results
Result details
Results per page
Select all
Export citation of selected articles as:
12 pages, 22534 KB  
Article
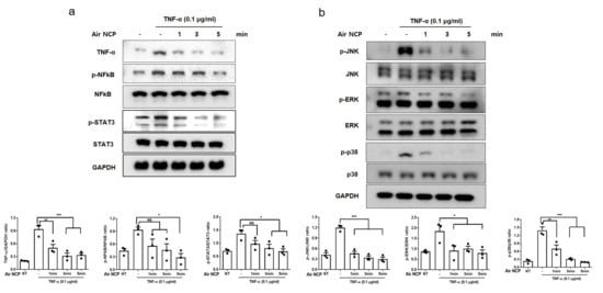
Inhibition of Inflammation by an Air-Based No-Ozone Cold Plasma in TNF-α-Induced Human Keratinocytes: An In Vitro Study
by Byul-Bora Choi, Seung-Ah Park, Jeong-Hae Choi, Min-Kyeong Kim, Yoon Deok Choi, Hae Woong Lee and Gyoo-Cheon Kim
Curr. Issues Mol. Biol. 2026, 48(1), 84; https://doi.org/10.3390/cimb48010084 - 15 Jan 2026
Abstract
Background/Objectives: Recent studies have reported the effectiveness of cold plasma technology in treating skin inflammation and wounds. We investigated the effect of an air-based no-ozone cold plasma device (Air NCP) on the inflammatory response in human keratinocytes (HaCaT). Methods: The cytotoxicity [...] Read more.
Background/Objectives: Recent studies have reported the effectiveness of cold plasma technology in treating skin inflammation and wounds. We investigated the effect of an air-based no-ozone cold plasma device (Air NCP) on the inflammatory response in human keratinocytes (HaCaT). Methods: The cytotoxicity of Air NCP was assessed using the sulforhodamine B assay, and its ozone concentration and operating temperature were measured to evaluate safety. To determine its anti-inflammatory effect, inflammation was induced with tumor necrosis factor-alpha (TNF-α), and changes in inflammation-related gene expression were analyzed using reverse transcription-polymerase chain reaction and Western blot analysis. The level of prostaglandin E2 (PGE2), an indicator of inflammation, was measured using an enzyme-linked immunosorbent assay. Results: Air NCP showed no cytotoxicity in HaCaT cells. Moreover, the expression of TNF-α, interleukin-6, and interleukin-1β significantly decreased following treatment (p < 0.001). The levels of phosphorylated nuclear factor kappa B and phosphorylated signal transducer and activator of transcription-3 were also reduced (p < 0.001). Western blot analysis further confirmed that inflammation-activated mitogen-activated protein kinase factors were reduced by Air NCP, while cyclooxygenase-2 and PGE2 levels similarly decreased. Conclusions: These results indicate that Air NCP treatment suppresses the expression of inflammatory mediators in skin inflammation, demonstrating a clear anti-inflammatory effect. Full article
Show Figures

Figure 1

41 pages, 80556 KB  
Article
Why ROC-AUC Is Misleading for Highly Imbalanced Data: In-Depth Evaluation of MCC, F2-Score, H-Measure, and AUC-Based Metrics Across Diverse Classifiers
by Mehdi Imani, Majid Joudaki, Ayoub Bagheri and Hamid R. Arabnia
Technologies 2026, 14(1), 54; https://doi.org/10.3390/technologies14010054 - 10 Jan 2026
Viewed by 276
Abstract
This study re-evaluates ROC-AUC for binary classification under severe class imbalance (<3% positives). Despite its widespread use, ROC-AUC can mask operationally salient differences among classifiers when the costs of false positives and false negatives are asymmetric. Using three benchmarks, credit-card fraud detection (0.17%), [...] Read more.
This study re-evaluates ROC-AUC for binary classification under severe class imbalance (<3% positives). Despite its widespread use, ROC-AUC can mask operationally salient differences among classifiers when the costs of false positives and false negatives are asymmetric. Using three benchmarks, credit-card fraud detection (0.17%), yeast protein localization (1.35%), and ozone level detection (2.9%), we compare ROC-AUC with Matthews Correlation Coefficient, F2-score, H-measure, and PR-AUC. Our empirical analyses span 20 classifier–sampler configurations per dataset, combined with four classifiers (Logistic Regression, Random Forest, XGBoost, and CatBoost) and four oversampling methods plus a no-resampling baseline (no resampling, SMOTE, Borderline-SMOTE, SVM-SMOTE, ADASYN). ROC-AUC exhibits pronounced ceiling effects, yielding high scores even for underperforming models. In contrast, MCC and F2 align more closely with deployment-relevant costs and achieve the highest Kendall’s τ rank concordance across datasets; PR-AUC provides threshold-independent ranking, and H-measure integrates cost sensitivity. We quantify uncertainty and differences using stratified bootstrap confidence intervals, DeLong’s test for ROC-AUC, and Friedman–Nemenyi critical-difference diagrams, which collectively underscore the limited discriminative value of ROC-AUC in rare-event settings. The findings recommend a shift to a multi-metric evaluation framework: ROC-AUC should not be used as the primary metric in ultra-imbalanced settings; instead, MCC and F2 are recommended as primary indicators, supplemented by PR-AUC and H-measure where ranking granularity and principled cost integration are required. This evidence encourages researchers and practitioners to move beyond sole reliance on ROC-AUC when evaluating classifiers in highly imbalanced data. Full article
Show Figures

Figure 1

22 pages, 4240 KB  
Article
ZnO/rGO/ZnO Composites with Synergic Enhanced Gas Sensing Performance for O3 Detection with No Ozonolysis Process
by Rayssa Silva Correia, Amanda Akemy Komorizono, Julia Coelho Tagliaferro, Natalia Candiani Simões Pessoa and Valmor Roberto Mastelaro
Chemosensors 2026, 14(1), 10; https://doi.org/10.3390/chemosensors14010010 - 1 Jan 2026
Viewed by 405
Abstract
rGO/ZnO composites have been widely studied for use as toxic gas sensors due to the synergistic effect between the materials and the reduction in sensor operating temperature promoted by rGO. However, few studies have employed rGO/ZnO sensors for ozone detection, as graphene materials [...] Read more.
rGO/ZnO composites have been widely studied for use as toxic gas sensors due to the synergistic effect between the materials and the reduction in sensor operating temperature promoted by rGO. However, few studies have employed rGO/ZnO sensors for ozone detection, as graphene materials are oxidized and/or degraded when exposed to ozone. This paper reports on a study of ZnO/rGO/ZnO-based sensors with different ZnO NP morphologies for ozone sensing. ZnO nanoparticles with needle-like and donut-like morphologies were synthesized by the precipitation method, and bare ZnO and ZnO/rGO/ZnO composite sensors were fabricated by layer-deposition of ZnO and/or rGO via drop-casting, forming a “sandwiched” structure that protects the rGO sheets. Bare ZnO and ZnO/rGO/ZnO composites were analyzed by varying the temperature from 200 to 300 °C. The ZnO/rGO/ZnO sensor provided a high 13.3 response (Rgas/Rair) and recovery times of 442 s and 253 s, respectively, for 50 ppb of O3, as well as high selectivity to ozone gas compared to CO, NH3, and NO2 gases. No oxidation or degradation of the sensor was observed during ozone detection measurements, indicating that the adopted manufacturing methodology was successful. Full article
Show Figures

Graphical abstract

23 pages, 3705 KB  
Article
Environmental and Health Risk Assessments of Volatile Organic Compounds (VOCs) Based on Source Apportionment—A Case Study in Harbin, a Megacity in Northeastern China
by Jinpan Jiang, Bo Li, Binyuan Wang, Lu Lu, Fan Meng, Chongguo Tian, Hong Qi and Ai-Ling Lian
Toxics 2026, 14(1), 46; https://doi.org/10.3390/toxics14010046 - 31 Dec 2025
Viewed by 723
Abstract
The multiple sources and concomitant negative environmental and health impacts of volatile organic compounds (VOCs) in the atmosphere demonstrate their importance in air pollution control. This study employed environment- and health risk-oriented source apportionment methods to quantitatively estimate VOCs’ contribution to air pollution [...] Read more.
The multiple sources and concomitant negative environmental and health impacts of volatile organic compounds (VOCs) in the atmosphere demonstrate their importance in air pollution control. This study employed environment- and health risk-oriented source apportionment methods to quantitatively estimate VOCs’ contribution to air pollution and health risks, using offline VOC measurements from the Harbin urban region from 2021 to 2022. Total volatile organic compounds (TVOCs) averaged 25.6 ± 8.2 ppb, except for alkanes (34.4%), and aromatics (24.2%) were found to be a major contributor, with the highest LOH (38.0%), ozone formation potential (OFP) (43.0%), and secondary organic aerosol formation potential (SOAFP) (95.0%) and exerting a directly toxic effect (46.0%). Positive matrix factorization (PMF) source apportionment revealed that vehicle exhausts, combustion sources, solvent and coating usage, solvent and fuel evaporation, and petrochemical industry sources were key VOC sources. A health risk assessment showed that there was an integrated carcinogenic risk of 5.8 × 10−4, with respiratory (1.5 × 10−4) and hematologic systems (1.5 × 10−4) representing higher carcinogenic risks. Both benzene and naphthalene exhibited carcinogenic risks of 1.5 × 10−4, implying an excess of higher cancer risk levels (1.0 × 10−4). Significant joint environmental and health benefits could be obtained by reducing benzene and naphthalene concentrations by about 50.0%, along with the abatement of vehicle exhausts (82.6%), combustion sources (40.7%), and solvent and coating usage (50.7%). This study can serve as useful guidance for the quantitative mitigation of hazardous VOCs and their key sources. Full article
Show Figures

Graphical abstract

21 pages, 6041 KB  
Article
Unraveling the Drivers of Continuous Summer Ozone Pollution Episodes in Bozhou, China: Toward Targeted Control Strategies
by Ke Wu, Xuezhong Wang, Dandan Zhang, Hong Li, Fang Bi, Zhenhai Wu, Fanxiu Li, Wanghui Chu and Cong An
Toxics 2026, 14(1), 37; https://doi.org/10.3390/toxics14010037 - 29 Dec 2025
Viewed by 320
Abstract
Given the deteriorating situation of ambient ozone (O3) pollution in some areas of China, understanding the mechanisms driving O3 formation is essential for formulating effective control measures. This study examines O3 formation mechanisms and ROx (OH, HO2, [...] Read more.
Given the deteriorating situation of ambient ozone (O3) pollution in some areas of China, understanding the mechanisms driving O3 formation is essential for formulating effective control measures. This study examines O3 formation mechanisms and ROx (OH, HO2, and RO2) radical cycling driven by photochemical processes in Bozhou, located at the junction of Jiangsu–Anhui–Shandong–Henan (JASH), a region heavily affected by O3 pollution, by applying a zero-dimensional box model (Framework for 0-Dimensional Atmospheric Modeling, F0AM) coupled with the Master Chemical Mechanism (MCM v3.3.1) and Positive Matrix Factorization (PMF 5.0) to characterize O3 pollution, identify volatile organic compound (VOC) sources, and quantify radical budgets during pollution episodes. The results show that O3 episodes in Bozhou mainly occurred in June under conditions of high temperature and low wind speed. Oxygenated volatile organic compounds (OVOCs), alkanes, and halocarbons were the dominant VOCs groups. The CH3O2 + NO reaction accounted for 24.3% of O3 production, while photolysis contributed 68.7% of its removal. Elevated VOCs concentrations in Bozhou were largely maintained by anthropogenic sources such as vehicle exhaust, solvent utilization, and gasoline evaporation, which collectively enhanced O3 production. The findings indicate that O3 formation in the region is primarily regulated by NOx availability. Therefore, emission reductions targeting NOx, along with selective control of OVOCs and alkenes, would be the most effective strategies for lowering O3 levels. Model simulations further highlight Bozhou’s strong atmospheric oxidation capacity, with OVOC photolysis identified as the dominant contributor to ROx generation, accounting for 33% of the total. Diurnal patterns were evident: NOx-related reactions dominated radical sinks in the morning, while HO2 + RO2 reactions accounted for 28.5% in the afternoon. By clarifying the mechanisms of O3 formation in Bozhou, this study provides a scientific basis for designing ozone control strategies across the JASH junction region. In addition, ethanol was not directly measured in this study; given its potential to generate acetaldehyde and affect local O3 formation, its possible contribution introduces additional uncertainty that warrants further investigation. Full article
Show Figures

Graphical abstract

21 pages, 4955 KB  
Article
Temporal Evolution, Source Apportionment, and Health Risks of Atmospheric Halocarbons: A Case Study in the Central Yangtze River Delta Region
by Yuchun Jiang, Anqi Zhang, Qiaoli Zou, Hanfei Zuo, Jinmei Ding, Lu Zhang, Lingling Jin, Da Xu, Yuwen Niu, Bingye Xu and Xiaoqian Li
Toxics 2025, 13(12), 1085; https://doi.org/10.3390/toxics13121085 - 17 Dec 2025
Viewed by 379
Abstract
Recently, the environmental impact of halocarbons has become increasingly concerning, particularly due to the growing influence of non-regulated halocarbons on stratospheric ozone depletion and their adverse health effects in the troposphere. Previous model studies have highlighted the importance of halocarbon emissions from the [...] Read more.
Recently, the environmental impact of halocarbons has become increasingly concerning, particularly due to the growing influence of non-regulated halocarbons on stratospheric ozone depletion and their adverse health effects in the troposphere. Previous model studies have highlighted the importance of halocarbon emissions from the YRD. However, only several reports have discussed the long-term pollution characteristics and health risks of halocarbons in the YRD based on observational data. The continuous observation of halocarbons was conducted in the central part of the YRD (Shanxi site) from 2018 to 2023. The result showed that rise in halocarbon levels was primarily driven by alkyl halides, including dichloromethane (1.194 ppb to 1.831 ppb), chloromethane (0.205 ppb to 1.121 ppb), 1,2-dichloroethane (0.399 ppb to 0.772 ppb), and chloroform (0.082 ppb to 0.300 ppb). The PMF and CBPF analysis revealed that pharmaceutical manufacturing (37.0% to 60.2%), chemical raw material manufacturing (8.0% to 19.9%), solvent use in machinery manufacturing (12.4% to 24.7%), solvent use in electronic industry, and background sources were the main sources of halocarbons at the Shanxi site. Among them, the contributions of chemical raw material manufacturing, as well as of solvent use in machinery manufacturing and electronic industry, are increasing. These aspects are all dominated by local emissions. Furthermore, the carcinogenic risks of chloroform and 1,2-dichloroethane, which rank first in this regard, are increasing. Also, attention should be paid to solvent use in the electronic industry and the background. The probabilities of these activities coming with health risks that exceed the acceptable levels are 94.8% and 94.9%. This study enriches the regional observation data in the YRD region, offering valuable insights into halocarbon pollution control measures for policy development. Full article
Show Figures

Figure 1

23 pages, 3223 KB  
Article
Comprehensive Well-to-Wheel Life Cycle Assessment of Battery Electric Heavy-Duty Trucks Using Real-World Data: A Case Study in Southern California
by Miroslav Penchev, Kent C. Johnson, Arun S. K. Raju and Tahir Cetin Akinci
Vehicles 2025, 7(4), 162; https://doi.org/10.3390/vehicles7040162 - 16 Dec 2025
Viewed by 526
Abstract
This study presents a well-to-wheel life-cycle assessment (WTW-LCA) comparing battery-electric heavy-duty trucks (BEVs) with conventional diesel trucks, utilizing real-world fleet data from Southern California’s Volvo LIGHTS project. Class 7 and Class 8 vehicles were analyzed under ISO 14040/14044 standards, combining measured diesel emissions [...] Read more.
This study presents a well-to-wheel life-cycle assessment (WTW-LCA) comparing battery-electric heavy-duty trucks (BEVs) with conventional diesel trucks, utilizing real-world fleet data from Southern California’s Volvo LIGHTS project. Class 7 and Class 8 vehicles were analyzed under ISO 14040/14044 standards, combining measured diesel emissions from portable emissions measurement systems (PEMSs) with BEV energy use derived from telematics and charging records. Upstream (“well-to-tank”) emissions were estimated using USLCI datasets and the 2020 Southern California Edison (SCE) power mix, with an additional scenario for BEVs powered by on-site solar energy. The analysis combines measured real-world energy consumption data from deployed battery electric trucks with on-road emission measurements from conventional diesel trucks collected by the UCR team. Environmental impacts were characterized using TRACI 2.1 across climate, air quality, toxicity, and fossil fuel depletion impact categories. The results show that BEVs reduce total WTW CO2-equivalent emissions by approximately 75% compared to diesel. At the same time, criteria pollutants (NOx, VOCs, SOx, PM2.5) decline sharply, reflecting the shift in impacts from vehicle exhaust to upstream electricity generation. Comparative analyses indicate BEV impacts range between 8% and 26% of diesel levels across most environmental indicators, with near-zero ozone-depletion effects. The main residual hotspot appears in the human-health cancer category (~35–38%), linked to upstream energy and materials, highlighting the continued need for grid decarbonization. The analysis focuses on operational WTW impacts, excluding vehicle manufacturing, battery production, and end-of-life phases. This use-phase emphasis provides a conservative yet practical basis for short-term fleet transition strategies. By integrating empirical performance data with life-cycle modeling, the study offers actionable insights to guide electrification policies and optimize upstream interventions for sustainable freight transport. These findings provide a quantitative decision-support basis for fleet operators and regulators planning near-term heavy-duty truck electrification in regions with similar grid mixes, and can serve as an empirical building block for future cradle-to-grave and dynamic LCA studies that extend beyond the operational well-to-wheels scope adopted here. Full article
Show Figures

Figure 1

17 pages, 3312 KB  
Article
Characterization of VOCs at Shaoxing in the Winter Campaign: Sources and Chemical Reactivity
by Dongfeng Shi, Yan Lyu, Junpeng Song, Qing Ren, Xing Chen, Liyong Hu, Wenting Zhuge, Kewen Hu, Dongmei Cai, Xianda Gong and Jianmin Chen
Atmosphere 2025, 16(12), 1404; https://doi.org/10.3390/atmos16121404 - 14 Dec 2025
Viewed by 397
Abstract
Despite recent improvements in particulate matter (PM) pollution, haze events still frequently occur in many regions of China. Volatile organic compounds (VOCs), as key precursors in atmospheric photochemistry, play a crucial role in haze formation. To elucidate their contributions, high-resolution hourly VOC measurements [...] Read more.
Despite recent improvements in particulate matter (PM) pollution, haze events still frequently occur in many regions of China. Volatile organic compounds (VOCs), as key precursors in atmospheric photochemistry, play a crucial role in haze formation. To elucidate their contributions, high-resolution hourly VOC measurements were conducted in Shaoxing, an industrial city in eastern China, during a winter field campaign from 1 December 2023 to 15 January 2024. The VOC groups were dominated by alkanes (31.5–53.8%), followed by alkenes (7.1–15.1%) and aromatics (6.7–14.1%). Positive Matrix Factorization (PMF) analysis resolved six major VOC sources: vehicle emissions (VE, 33.8%), combustion sources (CS, 20.0%), industrial emissions (IE, 13.4%), gasoline evaporation (GE, 14.6%), solvent usage (SU, 6.9%), and biogenic activities (BA, 12.6%). Based on the PMF results, we further evaluated the source-specific contributions of VOCs to OH radical loss rate (LOH), ozone formation potential (OFP), and secondary organic aerosol potential (SOAP). During the haze episode, GE was the dominant driver of LOH (33%), while IE (23%), GE (22%), and VE (20%) were major SOAP contributors. In contrast, during the other periods, CS contributed most to both OFP (24%) and SOAP (28%), followed by VE (22–23%). Overall, our study highlights the critical role of anthropogenic activities in driving secondary pollution and suggests that sector-specific mitigation strategies hold significant potential for local haze abatement. Full article
(This article belongs to the Section Air Quality)
Show Figures

Figure 1

20 pages, 2492 KB  
Review
Heatwaves and Public Health: A Bibliometric Exploration of Climate Change Impacts and Adaptation Strategies
by Kaitano Dube, Hannah Al Ali, Basit Khan and Alireza Daneshkhah
Climate 2025, 13(12), 249; https://doi.org/10.3390/cli13120249 - 12 Dec 2025
Viewed by 1200
Abstract
The year 2024 has been recorded as the warmest year on record, with global temperatures temporarily exceeding the 1.5 °C threshold owing to rising anthropogenic greenhouse gas emissions. This has intensified global attention on heatwaves, which are a major public health threat linked [...] Read more.
The year 2024 has been recorded as the warmest year on record, with global temperatures temporarily exceeding the 1.5 °C threshold owing to rising anthropogenic greenhouse gas emissions. This has intensified global attention on heatwaves, which are a major public health threat linked to increased morbidity and mortality rates. This study conducted a bibliometric analysis of 901 Web of Science-indexed journal articles (2004–2024) using the term “heat wave health.” The findings revealed a significant increase in global temperatures, with an increasing frequency, intensity, and duration of extreme heat events. Heatwaves have been linked to higher rates of injuries, mental health disorders, and mortality, particularly in urban areas, due to ozone pollution, atmospheric contaminants, and the urban heat island effect, leading to increased emergency hospitalisation. Rural populations, especially outdoor labourers, face occupational heat stress and a higher risk of fatality. Adaptation measures, including early warning systems, heat indices, air conditioning, white and green roofs, and urban cooling strategies, offer some mitigation but are inadequate in the long term. Significant knowledge gaps persist regarding regional vulnerabilities, adaptation effectiveness, and socio-economic disparities, underscoring the urgent need for interdisciplinary research to inform heat-resilient public health policies and climate adaptation strategies. This study highlights the urgent need for further interdisciplinary research and targeted policy interventions to enhance heatwave resilience, particularly in under-researched and highly vulnerable regions of the world. Full article
Show Figures

Figure 1

15 pages, 407 KB  
Article
Comparative Evaluation of Novel Pre-Sowing Technologies on Germination and Vigour of Edible Wheat Sprout Seeds
by Aspasia Efthimiadou, Nikolaos Katsenios, Lida Papalamprou, Varvara Andreou, Sofia Chanioti, Marianna Giannoglou, Ioanna Kakabouki and George Katsaros
Seeds 2025, 4(4), 66; https://doi.org/10.3390/seeds4040066 - 9 Dec 2025
Viewed by 267
Abstract
Sprouts are gaining popularity among consumers worldwide due to their high nutritional properties. A comparative evaluation of novel and environmentally friendly pre-sowing seed treatment techniques was conducted to enhance wheat sprout production. Pulsed electromagnetic field (PEMF), cold atmospheric plasma (CAP), and high-pressure processing [...] Read more.
Sprouts are gaining popularity among consumers worldwide due to their high nutritional properties. A comparative evaluation of novel and environmentally friendly pre-sowing seed treatment techniques was conducted to enhance wheat sprout production. Pulsed electromagnetic field (PEMF), cold atmospheric plasma (CAP), and high-pressure processing (HP) at 200 and 600 MPa were applied on durum wheat seeds for 3 and 10 min. The above techniques, along with ozonation (OZ), were also applied for 3 and 10 min for the “activation” of water that was used for immersion of the wheat seeds. Seed germination percentage, root and shoot length, and seedling dry weight were the measurements for the comparative evaluation of 21 treatments of seeds growing in Petri dishes. The results indicated that CAP, PEMF, and OZ treatments had positive effects on wheat sprout production, while prolonged exposure to HP processing appeared to stress the seeds. Overall, the multiple comparisons of four processing technologies, applied by two methods and at two exposure times, could be a benchmark study for further understanding the response of seeds in pre-sowing techniques. Full article
Show Figures

Figure 1

21 pages, 4971 KB  
Article
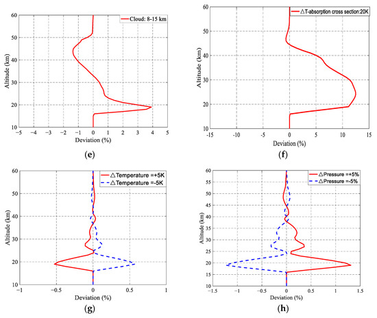
Retrieval of Ozone Profiles from Limb Scattering Measurements of the OMS on FY-3F Satellite
by Fang Zhu, Suwen Li and Fuqi Si
Remote Sens. 2025, 17(23), 3784; https://doi.org/10.3390/rs17233784 - 21 Nov 2025
Viewed by 470
Abstract
The Ozone Monitoring Suite–Limb (OMS-L) carried by the Fengyun-3F (FY-3F) satellite, as China’s first effective payload using the limb observation mode to conduct hyperspectral atmospheric detection in the ultraviolet (UV) and visible (Vis) bands, was successfully launched on 3 August 2023. It mainly [...] Read more.
The Ozone Monitoring Suite–Limb (OMS-L) carried by the Fengyun-3F (FY-3F) satellite, as China’s first effective payload using the limb observation mode to conduct hyperspectral atmospheric detection in the ultraviolet (UV) and visible (Vis) bands, was successfully launched on 3 August 2023. It mainly serves the research in the fields of climate change, atmospheric chemistry, and atmospheric environment. This study is the first to conduct the retrieval of the ozone profiles from OMS-L data. The retrieval scheme utilizes the radiances within the UV band, normalizing them to the radiance at the upper tangent height. To minimize the impact of aerosol scattering, the pair method is implemented, with seven carefully selected wavelength pairs fully exploiting ozone’s UV absorption characteristics. The weighted multiplicative algebraic reconstruction technique (WMART) is then applied to effectively integrate multi-wavelength information, in tandem with an iterative retrieval process using the radiative transfer model. This approach yields ozone concentration profiles in the altitude range of approximately 18–55 km. The retrieval errors resulting from the parameters are estimated to be 5–13% above 25 km, increasing to 10–30% in the upper troposphere. Comparison of OMS-L retrieved ozone profiles with the OMPS/LP v2.6 product reveals good consistency, with differences generally within 10% in the 20–50 km altitude range. However, biases are more pronounced at lower altitudes, particularly in tropical regions. This work conclusively demonstrates that OMS-L can accurately measure stratospheric ozone profiles with high vertical resolution, thereby contributing significantly to the field of atmospheric science. Full article
(This article belongs to the Section Atmospheric Remote Sensing)
Show Figures

Figure 1

21 pages, 5452 KB  
Article
Source Apportionment of Urban GHGs in Hong Kong from Regional Transportation Based on Diagnostic Ratio Method
by Yiwei Xu, Jie Wang, Libin Zhu, Aka W. L. Chiu, Wilson B. C. Tsui, Giuseppe Y. H. Mak, Na Ma and Jie Qin
Sustainability 2025, 17(22), 10099; https://doi.org/10.3390/su172210099 - 12 Nov 2025
Viewed by 653
Abstract
Quantifying the regional source of long-lived ozone precursors (especially GHGs) transported to Hong Kong is hampered by sparse observational data and computational limitations. This study introduces an observation-driven analytical framework that integrates a tracer ratio (ethylbenzene/m,p-xylene), wind–source–distance correlations to constrain transport corridors, and [...] Read more.
Quantifying the regional source of long-lived ozone precursors (especially GHGs) transported to Hong Kong is hampered by sparse observational data and computational limitations. This study introduces an observation-driven analytical framework that integrates a tracer ratio (ethylbenzene/m,p-xylene), wind–source–distance correlations to constrain transport corridors, and inventory mapping to determine the province- and sector-specific contributions, operationalized by identifying transport periods from observations, classifying sources with diagnostic ratios into five emission categories, deriving seasonal weighting factors via frequency normalization, mapping high-resolution inventory classes to these categories to restructure sectoral inventories, and combining normalized provincial spatial weights with the restructured inventories to quantify cross-boundary CO2 and CH4 emissions by sector and region. High-resolution measurements were conducted at the Cape D’Aguilar Supersite (CDSS), which showed dominant wintertime regional transport with mean concentrations of 435.29 ± 7.64 ppm (CO2) and 2083.45 ± 56.50 ppb (CH4). Thirteen transport periods were quantitatively analyzed, and province–sector contributions were estimated. The dominant provincial contributors were Guangdong (20.66%), followed by Jiangxi (18.36%) and Zhejiang (11.15%). Motor vehicles (70%), fuel combustion (15%), and solvent use (10%) were the primary contributing sectors. The framework enables province- and sector-specific attribution under stated assumptions and provides a tool for measuring cross-boundary mitigation and developing air quality and climate strategies in monsoon-affected coastal cities. Full article
(This article belongs to the Collection Air Pollution Control and Sustainable Development)
Show Figures

Figure 1

18 pages, 3580 KB  
Article
Development of a Low-Cost Ozone (O3) Generator for Research and Education in Agricultural and Food Applications
by Saleh M. Al-Sager, Samy G. Hemeda, Saad S. Almady, Waleed A. Almasoud, Samy A. Marey, Saad A. Al-Hamed, Saleh Al-Ghamdi, Samir G. Mowafy, Abdulwahed M. Aboukarima and Mohamed E. Yehia
Processes 2025, 13(11), 3637; https://doi.org/10.3390/pr13113637 - 10 Nov 2025
Viewed by 704
Abstract
Ozone treatment in the food and horticulture product capitalization sectors is widely acknowledged as completely safe for human use, in accordance with the most recent rules of the relevant authorities. Ozone-generating devices for research and education are known to allow the introduction of [...] Read more.
Ozone treatment in the food and horticulture product capitalization sectors is widely acknowledged as completely safe for human use, in accordance with the most recent rules of the relevant authorities. Ozone-generating devices for research and education are known to allow the introduction of ozone gas for many uses, especially in food and agricultural applications. Despite their usefulness, their high cost prevents them from being widely available in research and educational institutions in underdeveloped nations, limiting practical training and the development of local applications to support the capacities of the food and agriculture sectors. In this study a device was constructed to generate ozone (O3) using the high-voltage principal circuit. An Arduino board was used to accomplish the control operation. An MQ-131 ozone sensor was utilized to measure the ozone concentration with a measuring unit of (%); however, the detecting range of the MQ-131 sensor is 10~1000 ppb, so in the present study, a formula to covert the measuring units between ppm and (%) for the concentration of the generated ozone (Y) as (Y, %) = 0.0333 × (Y, ppm) was presented. Different ozone concentrations are generated by varying the high voltage level from 20 to 35 kV with an increment of 5 kV and flow rate variations of 1.5, 2, 2.5, and 3 L/min. It was found that ozone concentration increases with increasing applied high voltage and decreases with increasing oxygen flow rate at a fixed applied high voltage. This study uses experimental data in a multiple linear regression analysis to predict ozone concentration based on levels of high voltage and oxygen flow rate, with a coefficient of determination of 0.7686 using a testing dataset. The findings provide evidence of the viability of constructing an inexpensive ozone generator with inexpensive parts, thereby promoting sustainable technological advancement. Drawing from our research, we can highlight the educational value and cost-effective benefits of employing an ozone-generating device, which can be used to produce ozone for a variety of purposes. Full article
(This article belongs to the Special Issue Processes in Agri-Food Technology)
Show Figures

Figure 1

17 pages, 7739 KB  
Article
Characterization of Urban Ozone and Non-Methane Hydrocarbon Pollution in Heilongjiang Province
by Pengjie Wang, Qingqing Meng, Yufeng Zhao, Zhiguo Yu, Ping Gu, Jingyang Jiang, Xiaohui Su, Jixin Guan, Rui Zhang, Xiaoyan Wang and Liangbing Hu
Atmosphere 2025, 16(11), 1266; https://doi.org/10.3390/atmos16111266 - 7 Nov 2025
Viewed by 593
Abstract
This study utilizes ambient air quality monitoring data from 13 prefecture-level cities in Heilongjiang Province to systematically analyze the pollution characteristics and dynamic evolution of ozone (O3) and non-methane hydrocarbons (NMHCs). The findings reveal that overall air quality in Heilongjiang Province [...] Read more.
This study utilizes ambient air quality monitoring data from 13 prefecture-level cities in Heilongjiang Province to systematically analyze the pollution characteristics and dynamic evolution of ozone (O3) and non-methane hydrocarbons (NMHCs). The findings reveal that overall air quality in Heilongjiang Province has improved substantially in recent years. The concentrations of SO2, NO2, PM10, PM2.5 and CO in 2023 decreased significantly compared with 2015, with an average reduction of 38.7%. However, O3 concentrations have continued to rise, indicating that O3 pollution has become an increasingly pressing environmental concern. On an annual scale, the monthly average O3 concentration in 2023 displayed a “clear single-peak” pattern, reaching its maximum in June, at a concentration of 139 μg/m3. In contrast, the monthly average NMHC concentration exhibited a “distinct double-peak” pattern, with elevated levels in January and December, at 59.4 and 48.35 μg/m3, respectively. From an hourly perspective, the highest O3 concentrations across the 13 cities occurred between 11:00 and 17:00, while NMHC concentrations showed an opposite trend. Furthermore, during the heating season (October to April of the following year), O3 and NMHC concentrations increased by 0.78 and 1.56 times, respectively, compared with the non-heating season. In terms of ambient air quality levels, both O3 and NMHC concentrations exhibited a gradual upward trend under conditions of “excellent”, “good”, and “light pollution”. However, under “moderate pollution”, “heavy pollution”, and “severe pollution” levels, O3 and NMHC concentrations exhibited irregular patterns, likely due to the interaction of multiple complex factors. O3 pollution follows a “central concentration and peripheral diffusion” pattern, reflecting the combined influence of human activities and natural conditions. In contrast, NMHC concentrations display pronounced spatial heterogeneity, with low levels in the west and high levels in the east, primarily driven by regional differences in industrial structure and environmental conditions. In summary, this study aims to elucidate the spatiotemporal distribution characteristics of O3 and NMHC pollution in Heilongjiang Province and their complex relationship with air quality levels, providing a scientific basis for future pollution prevention and control strategies. Subsequent research should focus on identifying the underlying causes of pollution to develop more precise and effective mitigation measures, thereby continuously improving ambient air quality in the province. Full article
(This article belongs to the Special Issue Atmospheric Pollution Dynamics in China)
Show Figures

Figure 1

21 pages, 1599 KB  
Article
Porous Metal Electrodes in Microbubble Surface Dielectric Barrier Discharge Plasma Reactors for Methylene Blue Removal
by Emil Ninan Skariah and Minkwan Kim
Separations 2025, 12(11), 306; https://doi.org/10.3390/separations12110306 - 5 Nov 2025
Viewed by 480
Abstract
The present study evaluates a surface dielectric barrier discharge (SDBD) plasma system utilizing porous metal electrodes to enhance the performance of non-thermal plasma (NTP)-based water treatment. A custom high-voltage, variable-frequency power driver was developed to operate SDBD reactors featuring novel porous electrode configurations [...] Read more.
The present study evaluates a surface dielectric barrier discharge (SDBD) plasma system utilizing porous metal electrodes to enhance the performance of non-thermal plasma (NTP)-based water treatment. A custom high-voltage, variable-frequency power driver was developed to operate SDBD reactors featuring novel porous electrode configurations aimed at enhancing plasma–liquid interaction. Three types of porous metal electrodes—copper (60 ppi), copper (20 ppi), and nickel (60 ppi)—were investigated as ground electrodes to evaluate their impact on discharge behavior and treatment performance. Electrical characterization via Lissajous plot analysis and optical emission spectroscopy (OES) was used to assess plasma power and reactive species generation. Ozone measurement and hydroxyterephthalic acid (HTA) dosimetry confirmed the formation of O3 and hydroxyl radicals (·OH), while methylene blue (MB) removal experiments quantified pollutant removal percentage and energy yield. Among the tested electrodes, the copper (20 ppi) configuration achieved the highest MB removal percentage of 95.07%, followed by nickel (60 ppi) with 90.53%, and copper (60 ppi) with only 27.55%. Correspondingly, the energy yield (EY) reached 0.349 g/kWh for copper (20 ppi) at 15 min of plasma exposure, 0.19 g/kWh for nickel (60 ppi) at 20 min, and 0.049 g/kWh for copper (60 ppi) at 15 min. These results highlight the potential of porous metal electrodes as effective design choices for optimizing plasma–liquid interaction in SDBD systems. The findings support the development of compact, energy-efficient plasma water purification technologies using air-fed, surface DBD configurations. Full article
(This article belongs to the Special Issue Adsorption/Degradation Methods for Water and Wastewater Treatment)
Show Figures

Figure 1

Back to TopTop