Retrieval of Ozone Profiles from Limb Scattering Measurements of the OMS on FY-3F Satellite
Highlights
- The study presents the first successful retrieval of stratospheric ozone profiles (18–55 km) from the Fengyun-3F satellite’s Ozone Monitoring Suite–Limb (OMS-L), China’s first UV-Vis hyperspectral limb sounder, using a novel method combining UV wavelength pairing and the Weighted Multiplicative Algebraic Reconstruction Technique (WMART).
- The retrieved OMS-L ozone profiles show good consistency with the established OMPS/LP v2.6 satellite product, with differences generally within 10% between 20 and 50 km, demonstrating the high quality and reliability of the new OMS-L data.
- This work validates OMS-L as a new, high-vertical-resolution data source for stratospheric ozone, enhancing global monitoring capabilities and providing crucial data for atmospheric chemistry and climate change research.
- The successful retrieval contributes significantly to the global effort of stratospheric ozone layer assessment and trend analysis.
Abstract
1. Introduction
2. Materials and Methods
2.1. Materials
2.1.1. The OMS-L on FY-3F Satellite
2.1.2. The OMS-L Level-1 Version 1.2 Data
2.1.3. Forward Model and a Priori Data
2.2. Methods
2.2.1. Retrieval Vector
2.2.2. Weighted Multiplicative Algebraic Reconstruction Technique
3. Results
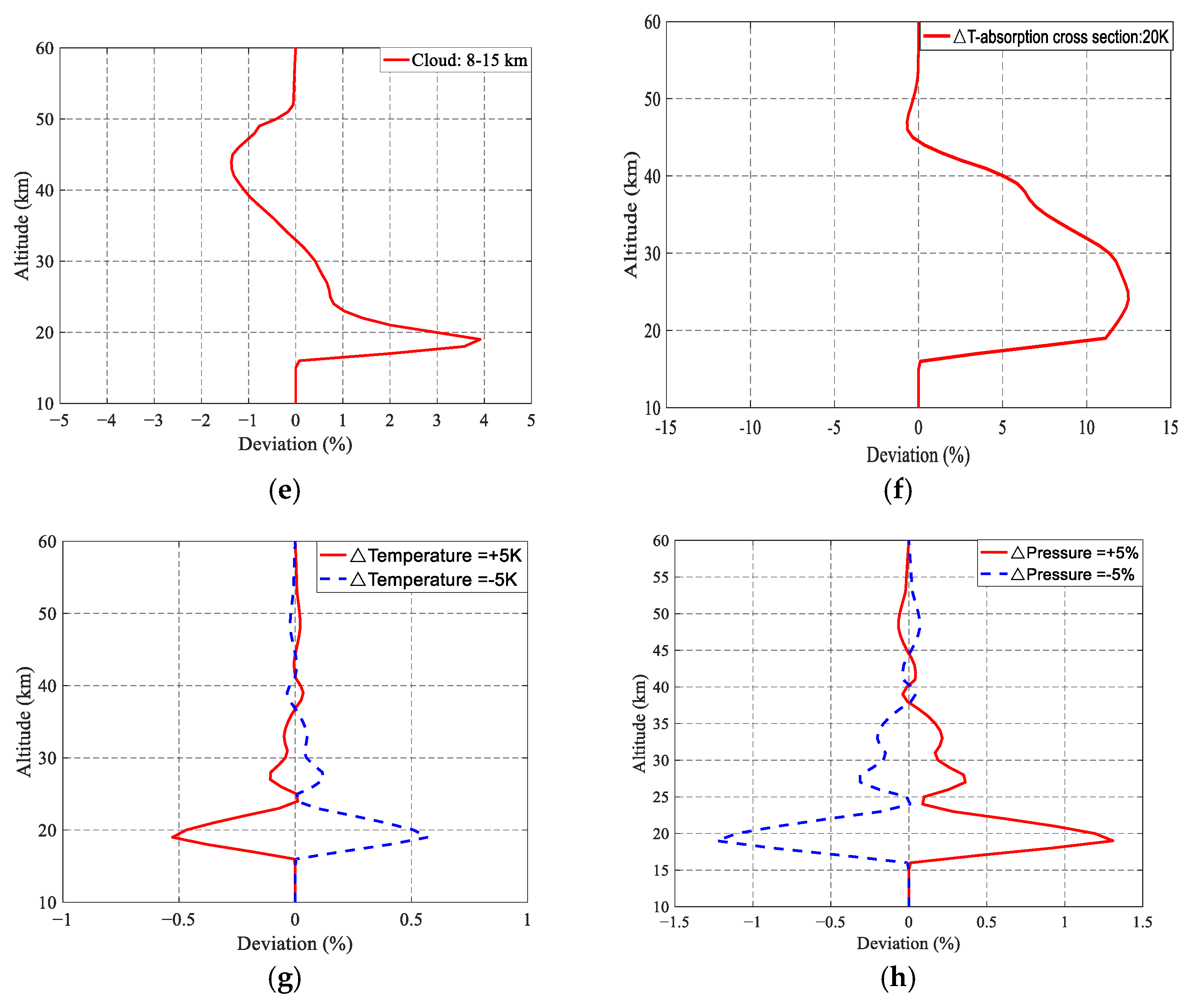
3.1. Sensitivity Analysis
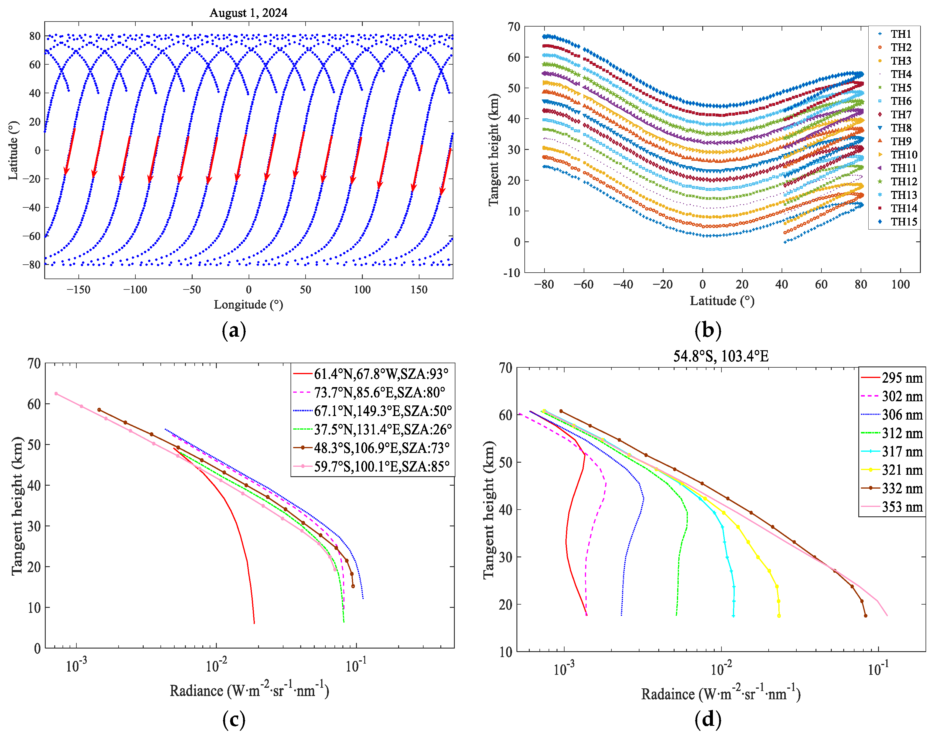
3.2. Retrieval Results and Comparison with OMPS/LP
3.2.1. Single Profile Comparison
3.2.2. Month Profiles Comparison
4. Discussion
5. Conclusions
Supplementary Materials
Author Contributions
Funding
Data Availability Statement
Acknowledgments
Conflicts of Interest
References
- Chipperfield, M.P.; Bekki, S.; Dhomse, S.; Harris, N.R.P.; Hassler, B.; Hossaini, R.; Steinbrecht, W.; Thieblemont, R.; Weber, M. Detecting recovery of the stratospheric ozone layer. Nature 2017, 549, 211–218. [Google Scholar] [CrossRef]
- Liu, S.; Zong, X.; Qiao, C.; Lyu, D.; Zhang, W.; Zhang, J.; Liu, H.; Duan, M. Retrieval of Stratospheric Ozone Profiles from Limb Scattering Measurements of the Backward Limb Spectrometer on Chinese Space Laboratory Tiangong-2: Preliminary Results. Remote Sens. 2022, 14, 4771. [Google Scholar] [CrossRef]
- Li, F.; Newman, P.A.; Waugh, D.W. Impacts of stratospheric ozone recovery on southern ocean temperature and heat budget. Geophys. Res. Lett. 2023, 50, e2023GL103951. [Google Scholar] [CrossRef]
- Stone, K.A.; Solomon, S.; Kinnison, D.E.; Mills, M.J. On recent large Antarctic ozone holes and ozone recovery metrics. Geophys. Res. Lett. 2021, 48, e2021GL095232. [Google Scholar] [CrossRef]
- Chiodo, G.; Friedel, M.; Seeber, S.; Domeisen, D.I.V.; Stenke, A.; Sukhodolov, T.; Zilker, F. The influence of springtime Arctic ozone recovery on stratospheric and surface climate. Atmos. Chem. Phys. 2023, 23, 10451–10472. [Google Scholar] [CrossRef]
- Liu, N.; Xie, F.; Xia, Y.; Niu, Y.; Liu, H.; Xiang, X.; Han, Y. Impact of Methane Emissions on Future Stratospheric Ozone Recovery. Adv. Atmos. Sci. 2025, 42, 1463–1482. [Google Scholar] [CrossRef]
- Chen, X.; Wu, L.L.; Chen, X.Y.; Zhang, Y.; Guo, J.P.; Safieddine, S.; Huang, F.X.; Wang, X.M. Cross-Tropopause Transport of Surface Pollutants during the Beijing 21 July Deep Convection Event. J. Atmos. Sci. 2022, 79, 1349–1362. [Google Scholar] [CrossRef]
- Ma, P.F.; Mao, H.Q.; Zhang, J.H.; Yang, X.; Zhao, S.H.; Wang, Z.T.; Li, Q.; Wang, Y.; Chen, C.H. Satellite monitoring of stratospheric ozone intrusion exceptional events—A typical case of China in 2019. Atmos. Pollut. Res. 2022, 13, 101297. [Google Scholar] [CrossRef]
- Bognar, K.; Tegtmeier, S.; Bourassa, A.; Roth, C.; Warnock, T.; Zawada, D.; Degenstein, D. Stratospheric ozone trends for 1984–2021 in the SAGE II–OSIRIS–SAGE III/ISS composite dataset. Atmos. Chem. Phys. 2022, 22, 9553–9569. [Google Scholar] [CrossRef]
- Kessenich, H.E.; Seppälä, A.; Rodger, C.J. Potential drivers of the recent large Antarctic ozone holes. Nat. Commun. 2023, 14, 7259. [Google Scholar] [CrossRef]
- Ardra, D.; Kuttippurath, J.; Roy, R.; Kumar, P.; Raj, S.; Muller, R.; Feng, W.H. The Unprecedented Ozone Loss in the Arctic Winter and Spring of 2010/2011 and 2019/2020. ACS Earth Space Chem. 2022, 6, 683–693. [Google Scholar] [CrossRef]
- Ma, C.; Su, H.; Lelieveld, J.; Randel, W.; Yu, P.; Andreae, M.O.; Cheng, Y. Smoke-charged vortex doubles hemispheric aerosol in the middle stratosphere and buffers ozone depletion. Sci. Adv. 2024, 10, eadn3657. [Google Scholar] [CrossRef]
- Chen, Z.X.; Liu, J.; Qie, X.S.; Cheng, X.G.; Yang, M.M.; Shu, L.; Zang, Z. Stratospheric influence on surface ozone pollution in China. Nat. Commun. 2024, 15, 4064. [Google Scholar] [CrossRef]
- Petropavlovskikh, I.; Wild, J.D.; Abromitis, K.; Effertz, P.; Miyagawa, K.; Flynn, L.E.; Maillard-Barra, E.; Damadeo, R.; McConville, G.; Johnson, B.; et al. Ozone trends in homogenized Umkehr, ozonesonde, and COH overpass records. Atmos. Chem. Phys. 2025, 25, 2895–2936. [Google Scholar] [CrossRef]
- Lu, J.P.; Lou, S.J.; Huang, X.; Xue, L.; Ding, K.; Liu, T.Y.; Ma, Y.; Wang, W.K.; Ding, A.J. Stratospheric Aerosol and Ozone Responses to the Hunga Tonga-Hunga Ha’apai Volcanic Eruption. Geophys. Res. Lett. 2023, 50, e2022GL102315. [Google Scholar] [CrossRef]
- Sofieva, V.F.; Szelag, M.; Tamminen, J.; Arosio, C.; Rozanov, A.; Weber, M.; Degenstein, D.; Bourassa, A.; Zawada, D.; Kiefer, M.; et al. Updated merged SAGE-CCI-OMPS+ dataset for the evaluation of ozone trends in the stratosphere. Atmos. Meas. Tech. 2023, 16, 1881–1899. [Google Scholar] [CrossRef]
- Zhu, F.; Si, F.Q.; Dou, K.; Zhan, K.; Zhou, H.J.; Luo, Y.H. Retrieval of Ozone Profiles Using a Weighted Multiplicative Algebraic Reconstruction Technique from SCIAMACHY Limb Scattering Observations. J. Earth Sci. 2025, 36, 314–326. [Google Scholar] [CrossRef]
- Arosio, C.; Rozanov, A.; Malinina, E.; Eichmann, K.; von Clarmann, T.; Burrows, J.P. Retrieval of ozone profiles from OMPS limb scattering observations. Atmos. Meas. Tech. 2018, 11, 2135–2149. [Google Scholar] [CrossRef]
- Zhu, F.; Li, S.W.; Luo, J. Retrieval of upper stratospheric ozone profiles from SCIAMACHY Hartley-Huggins limb scatter spectra using WMART. Int. J. Remote Sens. 2024, 45, 4385–4406. [Google Scholar] [CrossRef]
- Bourassa, A.E.; Roth, C.Z.; Zawada, D.J.; Rieger, L.A.; McLinden, C.A.; Degenstein, D.A. Drift-corrected Odin-OSIRIS ozone product: Algorithm and updated stratospheric ozone trends. Atmos. Meas. Tech. 2018, 11, 489–498. [Google Scholar] [CrossRef]
- Kramarova, N.A.; Bhartia, P.K.; Jaross, G.; Moy, L.; Xu, P.; Chen, Z.; DeLand, M.; Froidevaux, L.; Livesey, N.; Degenstein, D.; et al. Validation of ozone profile retrievals derived from the OMPS LP version 2.5 algorithm against correlative satellite measurements. Atmos. Meas. Tech. 2018, 11, 2837–2861. [Google Scholar] [CrossRef]
- Li, Y. Instructions for the Use of the Limb L1 Product of the Ultraviolet Hyperspectral Ozone Monitoring Suite–Limb on Fengyun-3 F Satellite (V1.2), 2024, 26p. Available online: https://img.nsmc.org.cn/PORTAL/NSMC/DATASERVICE/OperatingGuide/FY3F/FY-3F_L1_Data_Instruction_OMS-L_20241012.pdf (accessed on 16 October 2024).
- NSMC. Available online: https://www.nsmc.org.cn/nsmc/cn/instrument/OMS-L.html (accessed on 15 April 2025).
- Li, Z.; Wang, S.; Huang, Y.; Ma, Q.; Xue, Q.; Li, Z. Pre-Launch Calibration of the Tiangong-2 Front-Azimuth Broadband Hyperspectrometer; Springer: Singapore, 2019; pp. 49–60. [Google Scholar]
- Rozanov, V.V.; Dinter, T.; Rozanov, A.V.; Wolanin, A.; Bracher, A.; Burrows, J.P. Radiative transfer modeling through terrestrial atmosphere and ocean accounting for inelastic processes: Software package SCIATRAN. J. Quant. Spectrosc. Radiat. Transf. 2017, 194, 65–85. [Google Scholar] [CrossRef]
- Bogumil, K.; Orphal, J.; Burrows, J.P. Temperature dependent absorption cross sections of O3, NO2, and other atmospheric trace gases measured with the SCIAMACHY spectrometer. In Proceedings of the ERS-Envisat-Symposium, Goteborg, Sweden, 16–20 October 2000; p. 10. [Google Scholar]
- Shettle, E.P.; Fenn, R.W. Models for the Aerosols of the Lower Atmosphere and the Effects of Humidity Variations on Their Optical Properties; Air Force Geophysics Laboratory: Hanscom, MA, USA, 1979. [Google Scholar]
- Kneizys, F.X.; Shettle, E.P.; Abreu, L.W.; Chetwynd, J.H.; Anderson, G.P.; Gallery, W.O.; Selby, J.E.A.; Clough, S.A. Users Guide to LOWTRAN 7; Air Force Geophysics Laboratory: Hanscom, MA, USA, 1986; 576p. [Google Scholar]
- Degenstein, D.A.; Bourassa, A.E.; Roth, C.Z.; Llewellyn, E.J. Limb scatter ozone retrieval from 10 to 60 km using a multiplicative algebraic reconstruction technique. Atmos. Chem. Phys. 2009, 9, 6521–6529. [Google Scholar] [CrossRef]
- Rohen, G.J.; von Savigny, C.; Llewellyn, E.J.; Kaiser, J.W.; Eichmann, K.-U.; Bracher, A.; Bovensmann, H.; Burrows, J.P. First results of ozone profiles between 35 and 65 km retrieved from SCIAMACHY limb spectra and observations of ozone depletion during the solar proton events in October/November 2003. Atmos. Remote Sens. Earth’s Surf. Troposphere Stratos. Mesos. II 2006, 37, 2263–2268. [Google Scholar] [CrossRef]
- Jia, J.; Rozanov, A.; Ladstatter-Weissenmayer, A.; Burrows, J.P. Global validation of SCIAMACHY limb ozone data (versions 2.9 and 3.0, IUP Bremen) using ozonesonde measurements. Atmos. Meas. Tech. 2015, 8, 3369–3383. [Google Scholar] [CrossRef]
- Roth, C.Z.; Degenstein, D.A.; Bourassa, A.E.; Llewellyn, E.J. The retrieval of vertical profiles of the ozone number density using Chappuis band absorption information and a multiplicative algebraic reconstruction technique. Can. J. Phys. 2007, 85, 1225–1243. [Google Scholar] [CrossRef]
- von Clarmann, T.; Degenstein, D.A.; Livesey, N.J.; Bender, S.; Braverman, A.; Butz, A.; Compernolle, S.; Damadeo, R.; Dueck, S.; Eriksson, P.; et al. Overview: Estimating and reporting uncertainties in remotely sensed atmospheric composition and temperature. Atmos. Meas. Tech. 2020, 13, 4393–4436. [Google Scholar] [CrossRef]
- Arosio, C.; Rozanov, A.; Gorshelev, V.; Laeng, A.; Burrows, J.P. Assessment of the error budget for stratospheric ozone profiles retrieved from OMPS limb scatter measurements. Atmos. Meas. Tech. 2022, 15, 5949–5967. [Google Scholar] [CrossRef]
- Zhu, F.; Si, F.Q.; Zhou, H.J.; Dou, K.; Zhao, M.J.; Zhang, Q. Sensitivity Analysis of Ozone Profiles Retrieved from SCIAMACHY Limb Radiance Based on the Weighted Multiplicative Algebraic Reconstruction Technique. Remote Sens. 2022, 14, 3954. [Google Scholar] [CrossRef]
- Rahpoe, N.; von Savigny, C.; Weber, M.; Rozanov, A.V.; Bovensmann, H.; Burrows, J.P. Error budget analysis of SCIAMACHY limb ozone profile retrievals using the SCIATRAN model. Atmos. Meas. Tech. 2013, 6, 2825–2837. [Google Scholar] [CrossRef]
- Flittner, D.E.; Bhartia, P.K.; Herman, B.M. O3 profiles retrieved from limb scatter measurements: Theory. Geophys. Res. Lett. 2000, 27, 2601–2604. [Google Scholar] [CrossRef]
- SonKaew, T.; Rozanov, V.V.; von Savigny, C.; Rozanov, A.; Bovensmann, H.; Burrows, J.P. Cloud sensitivity studies for stratospheric and lower mesospheric ozone profile retrievals from measurements of limb—Scattered solar radiation. Atmos. Meas. Tech. 2009, 2, 653–665. [Google Scholar] [CrossRef]
- Kramarova, N.; DeLand, M. OMPS Limb Profiler Ozone Product O3: Version 2.6 Data Release Notes 2023, 36p. Available online: https://disc.gsfc.nasa.gov/datasets/OMPS_NPP_LP_L2_O3_DAILY_2.6/summary (accessed on 28 November 2023).
- Zhu, F.; Li, S.W.; Yang, T.P.; Si, F.Q. Research on Inversion and Application of Ozone Profile Based on OMPS Limb Scattering Observation. Acta Opt. Sin. 2025, 45, 82–92. [Google Scholar]













| Item | Indicator |
|---|---|
| Spectral coverage | 290–500 nm |
| Spectral resolution | 0.6 nm |
| SNR | >300@0.1 μw/(cm2 × sr × nm) |
| Vertical coverage | 15–60 km |
| Vertical resolution | 3 km |
| Instantaneous field of view | 2.3° (horizontal) × 0.045° (vertical) |
| HPV1 | HPV2 | HPV3 | HPV4 | HPV5 | HPV6 | HPV7 | |
|---|---|---|---|---|---|---|---|
| (nm) | 295 | 302 | 306 | 312 | 317 | 321 | 332 |
| (nm) | 353 | 353 | 353 | 353 | 353 | 353 | 353 |
| (km) | 49 | 42 | 42 | 36 | 33 | 27 | 18 |
| (km) | 57 | 54 | 51 | 49 | 42 | 40 | 36 |
| (km) | 60 | 60 | 54 | 52 | 45 | 42 | 40 |
| Parameters | Values |
|---|---|
| Wavelength used in UV (nm) | 295, 302, 306, 312, 317, 322 |
| Wavelength used in Vis (nm) | 606 |
| Reference wavelength used in UV (nm) | 353 |
| Reference wavelength used in Vis (nm) | 510,675 |
| Normalization altitude used in UV (km) | 60.5 |
| Normalization altitude used in Vis (km) | 40.5 |
Disclaimer/Publisher’s Note: The statements, opinions and data contained in all publications are solely those of the individual author(s) and contributor(s) and not of MDPI and/or the editor(s). MDPI and/or the editor(s) disclaim responsibility for any injury to people or property resulting from any ideas, methods, instructions or products referred to in the content. |
© 2025 by the authors. Licensee MDPI, Basel, Switzerland. This article is an open access article distributed under the terms and conditions of the Creative Commons Attribution (CC BY) license (https://creativecommons.org/licenses/by/4.0/).
Share and Cite
Zhu, F.; Li, S.; Si, F. Retrieval of Ozone Profiles from Limb Scattering Measurements of the OMS on FY-3F Satellite. Remote Sens. 2025, 17, 3784. https://doi.org/10.3390/rs17233784
Zhu F, Li S, Si F. Retrieval of Ozone Profiles from Limb Scattering Measurements of the OMS on FY-3F Satellite. Remote Sensing. 2025; 17(23):3784. https://doi.org/10.3390/rs17233784
Chicago/Turabian StyleZhu, Fang, Suwen Li, and Fuqi Si. 2025. "Retrieval of Ozone Profiles from Limb Scattering Measurements of the OMS on FY-3F Satellite" Remote Sensing 17, no. 23: 3784. https://doi.org/10.3390/rs17233784
APA StyleZhu, F., Li, S., & Si, F. (2025). Retrieval of Ozone Profiles from Limb Scattering Measurements of the OMS on FY-3F Satellite. Remote Sensing, 17(23), 3784. https://doi.org/10.3390/rs17233784
