Temporal Evolution, Source Apportionment, and Health Risks of Atmospheric Halocarbons: A Case Study in the Central Yangtze River Delta Region
Abstract
1. Introduction
2. Materials and Methods
2.1. Study Area and Monitoring Methods
2.2. Positive Matrix Factorization Model
2.3. Conditional Bivariate Probability Function
2.4. Health Risk Assessment
3. Result and Discussion
3.1. Characteristics of Halocarbon Concentrations
3.2. Emission Source Profiles and Potential Sources Regions of Halocarbons
3.2.1. Emission Source Profiles at Shanxi Site
3.2.2. Potential Sources Regions of Halocarbons at Shanxi Site
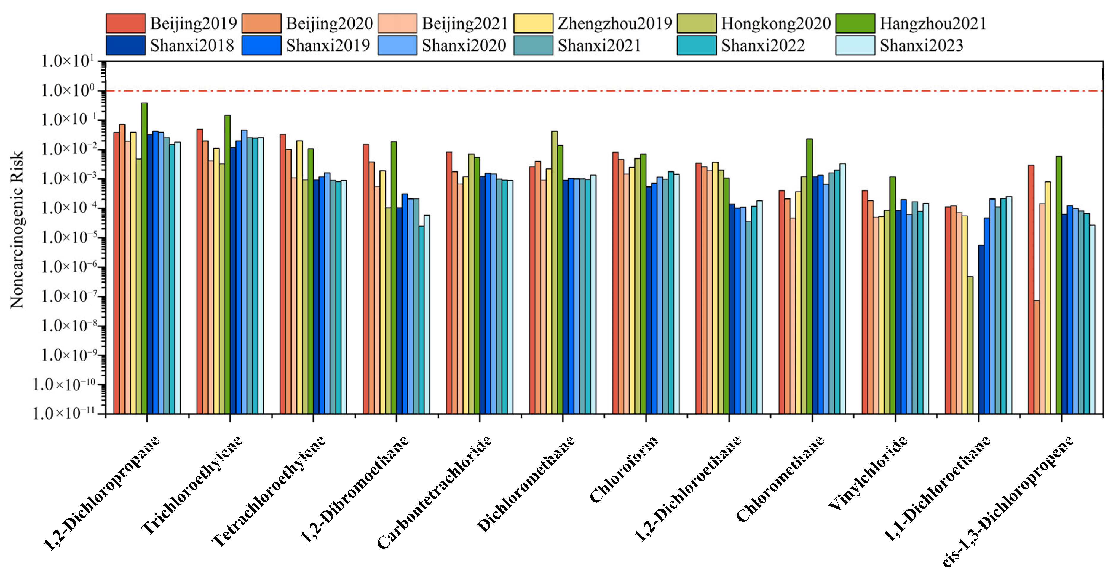
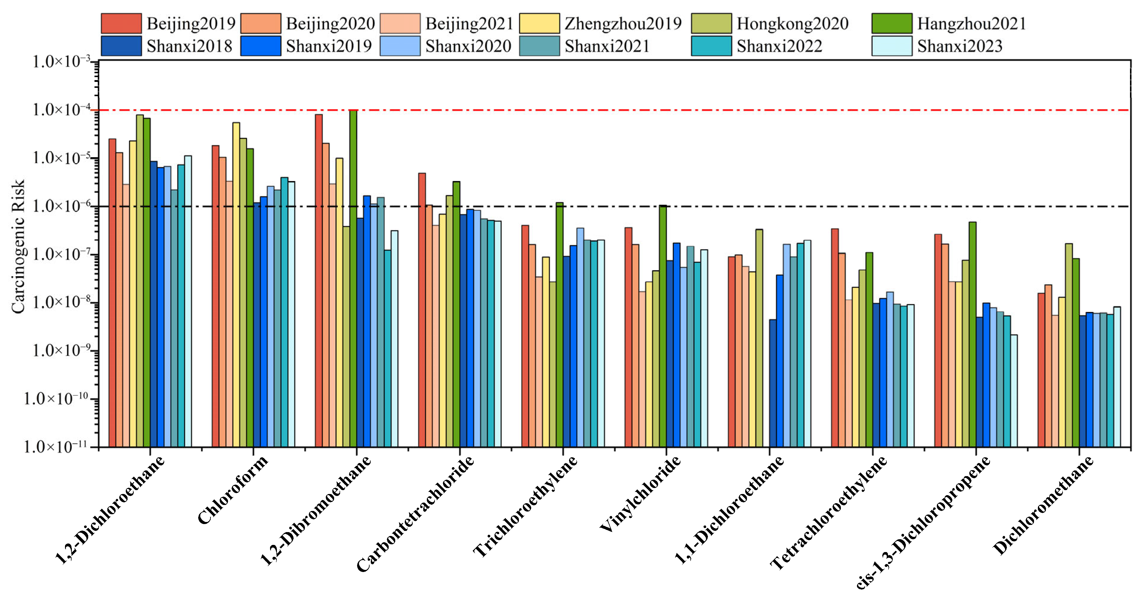
3.3. Health Risk Assessment at Shanxi Site
3.3.1. The Health Risk of Species
3.3.2. The Health Risk of Sources
4. Conclusions
Supplementary Materials
Author Contributions
Funding
Institutional Review Board Statement
Informed Consent Statement
Data Availability Statement
Conflicts of Interest
Abbreviations
| YRD | Yangtze River Delta |
| CFCs | Chlorofluorocarbons |
| HCFCs | Hydrochlorofluorocarbons |
| HFCs | Hydrofluorocarbons |
| ODSs | Ozone Depleting Substances |
| PMF | Positive Matrix Factorization |
| VOCs | Volatile Organic Compounds |
| CBPF | Conditional Bivariate Probability Function |
| EPA | U.S. Environmental Protection Agency |
| GC | Gas Chromatography |
| FID | Flame Ionization Detection |
| PLOT | Porous Layer Open Tubular |
| MS | Mass Spectrometric |
References
- World Meteorological Organization. Scientific Assessment of Ozone Depletion: 2014. Pursuant to Article 6 of the Montreal Protocol on Substances That Deplete the Ozone Layer; Scientific Assessment of Ozone Depletion; World Meteorological Organization: Geneva, Switzerland, 2015; ISBN 978-9966-076-01-4. [Google Scholar]
- Park, S.; Western, L.M.; Saito, T.; Redington, A.L.; Henne, S.; Fang, X.; Prinn, R.G.; Manning, A.J.; Montzka, S.A.; Fraser, P.J.; et al. A Decline in Emissions of CFC-11 and Related Chemicals from Eastern China. Nature 2021, 590, 433–437. [Google Scholar] [CrossRef] [PubMed]
- WMO. WMO Scientific Assessment of Ozone Depletion: 2022; GAW Report No. 278; WMO: Geneva, Switzerland, 2022; ISBN 978-9914-733-97-6. [Google Scholar]
- Halons Technical Options Committee. Report of the Halons Technical Options Committee; United Nations Environment Programme: Nairobi, Kenya, 2018; Volume 1, ISBN 978-9966-076-48-9. [Google Scholar]
- Hossaini, R.; Chipperfield, M.P.; Montzka, S.A.; Rap, A.; Dhomse, S.; Feng, W. Efficiency of Short-Lived Halogens at Influencing Climate through Depletion of Stratospheric Ozone. Nat. Geosci. 2015, 8, 186–190. [Google Scholar] [CrossRef]
- An, M.; Western, L.M.; Say, D.; Chen, L.; Claxton, T.; Ganesan, A.L.; Hossaini, R.; Krummel, P.B.; Manning, A.J.; Mühle, J.; et al. Rapid Increase in Dichloromethane Emissions from China Inferred through Atmospheric Observations. Nat. Commun. 2021, 12, 7279. [Google Scholar] [CrossRef]
- Oram, D.E.; Ashfold, M.J.; Laube, J.C.; Gooch, L.J.; Humphrey, S.; Sturges, W.T.; Leedham-Elvidge, E.; Forster, G.L.; Harris, N.R.P.; Mead, M.I.; et al. A Growing Threat to the Ozone Layer from Short-Lived Anthropogenic Chlorocarbons. Atmos. Chem. Phys. 2017, 17, 11929–11941. [Google Scholar] [CrossRef]
- Laube, J.C.; Engel, A.; Bonisch, H.; Mobius, T.; Worton, D.R.; Sturges, W.T.; Grunow, K.; Schmidt, U. Contribution of Very Short-Lived Organic Substances to Stratospheric Chlorine and Bromine in the Tropics—A Case Study. Atmos. Chem. Phys. 2008, 8, 7325–7334. [Google Scholar] [CrossRef]
- Hossaini, R.; Chipperfield, M.P.; Saiz-Lopez, A.; Harrison, J.J.; Von Glasow, R.; Sommariva, R.; Atlas, E.; Navarro, M.; Montzka, S.A.; Feng, W.; et al. Growth in Stratospheric Chlorine from Short-lived Chemicals Not Controlled by the Montreal Protocol. Geophys. Res. Lett. 2015, 42, 4573–4580. [Google Scholar] [CrossRef]
- Liang, Q.; Atlas, E.; Blake, D.; Dorf, M.; Pfeilsticker, K.; Schauffler, S. Convective Transport of Very Short Lived Bromocarbons to the Stratosphere. Atmos. Chem. Phys. 2014, 14, 5781–5792. [Google Scholar] [CrossRef]
- Cai, C.; Geng, F.; Tie, X.; Yu, Q.; An, J. Characteristics and Source Apportionment of VOCs Measured in Shanghai, China. Atmos. Environ. 2010, 44, 5005–5014. [Google Scholar] [CrossRef]
- Jin, S.; Zhong, L.; Zhang, X.; Li, X.; Li, B.; Fang, X. Indoor Volatile Organic Compounds: Concentration Characteristics and Health Risk Analysis on a University Campus. Int. J. Environ. Res. Public Health 2023, 20, 5829. [Google Scholar] [CrossRef]
- Zuo, H.; Jiang, Y.; Yuan, J.; Wang, Z.; Zhang, P.; Guo, C.; Wang, Z.; Chen, Y.; Wen, Q.; Wei, Y.; et al. Pollution Characteristics and Source Differences of VOCs before and after COVID-19 in Beijing. Sci. Total Environ. 2024, 907, 167694. [Google Scholar] [CrossRef]
- MEE List of Key Controlled Emerging Pollutants (2023 Edition). Available online: https://www.mee.gov.cn/gzk/gz/202212/t20221230_1009192.shtml (accessed on 10 April 2025).
- United States Environmental Protection Agency. About Urban Air Toxics. Available online: https://www.epa.gov/haps/about-urban-air-toxics (accessed on 10 April 2025).
- Fang, X.; Park, S.; Saito, T.; Tunnicliffe, R.; Ganesan, A.L.; Rigby, M.; Li, S.; Yokouchi, Y.; Fraser, P.J.; Harth, C.M.; et al. Rapid Increase in Ozone-Depleting Chloroform Emissions from China. Nat. Geosci. 2019, 12, 89–93. [Google Scholar] [CrossRef]
- An, M.; Western, L.M.; Hu, J.; Yao, B.; Mühle, J.; Ganesan, A.L.; Prinn, R.G.; Krummel, P.B.; Hossaini, R.; Fang, X.; et al. Anthropogenic Chloroform Emissions from China Drive Changes in Global Emissions. Environ. Sci. Technol. 2023, 57, 13925–13936. [Google Scholar] [CrossRef] [PubMed]
- Benish, S.E.; Salawitch, R.J.; Ren, X.; He, H.; Dickerson, R.R. Airborne Observations of CFCs Over Hebei Province, China in Spring 2016. J. Geophys. Res. Atmos. 2021, 126, e2021JD035152. [Google Scholar] [CrossRef]
- Claxton, T.; Hossaini, R.; Wilson, C.; Montzka, S.A.; Chipperfield, M.P.; Wild, O.; Bednarz, E.M.; Carpenter, L.J.; Andrews, S.J.; Hackenberg, S.C.; et al. A Synthesis Inversion to Constrain Global Emissions of Two Very Short Lived Chlorocarbons: Dichloromethane, and Perchloroethylene. J. Geophys. Res. Atmos. 2020, 125, e2019JD031818. [Google Scholar] [CrossRef]
- Ji, Y.; Xu, L.; Li, H.; Wang, C.; Xu, D.; Li, L.; Zhang, H.; Duan, J.; Zhang, Y.; Wang, X.; et al. Pollution Characteristics and Health Risk Assessment of Summertime Atmospheric Volatile Halogenated Hydrocarbons in a Typical Urban Area of Beijing, China. Atmosphere 2020, 11, 1021. [Google Scholar] [CrossRef]
- Zheng, P.; Chen, T.; Dong, C.; Liu, Y.; Li, H.; Han, G.; Sun, J.; Wu, L.; Gao, X.; Wang, X.; et al. Characteristics and Sources of Halogenated Hydrocarbons in the Yellow River Delta Region, Northern China. Atmos. Res. 2019, 225, 70–80. [Google Scholar] [CrossRef]
- Yi, L.; An, M.; Yu, H.; Ma, Z.; Xu, L.; O’Doherty, S.; Rigby, M.; Western, L.M.; Ganesan, A.L.; Zhou, L.; et al. In Situ Observations of Halogenated Gases at the Shangdianzi Background Station and Emission Estimates for Northern China. Environ. Sci. Technol. 2023, 57, 7217–7229. [Google Scholar] [CrossRef]
- Guo, H.; So, K.L.; Simpson, I.J.; Barletta, B.; Meinardi, S.; Blake, D.R. C1–C8 Volatile Organic Compounds in the Atmosphere of Hong Kong: Overview of Atmospheric Processing and Source Apportionment. Atmos. Environ. 2007, 41, 1456–1472. [Google Scholar] [CrossRef]
- Zeng, L.; Dang, J.; Guo, H.; Lyu, X.; Simpson, I.J.; Meinardi, S.; Wang, Y.; Zhang, L.; Blake, D.R. Long-Term Temporal Variations and Source Changes of Halocarbons in the Greater Pearl River Delta Region, China. Atmos. Environ. 2020, 234, 117550. [Google Scholar] [CrossRef]
- Cao, X.; Gu, D.; Li, X.; Leung, K.F.; Sun, H.; Mai, Y.; Chan, W.M.; Liang, Z. Characteristics and Source Origin Analysis of Halogenated Hydrocarbons in Hong Kong. Sci. Total Environ. 2023, 862, 160504. [Google Scholar] [CrossRef]
- Yi, L.; Wu, J.; An, M.; Xu, W.; Fang, X.; Yao, B.; Li, Y.; Gao, D.; Zhao, X.; Hu, J. The Atmospheric Concentrations and Emissions of Major Halocarbons in China during 2009–2019. Environ. Pollut. 2021, 284, 117190. [Google Scholar] [CrossRef] [PubMed]
- Yu, Y.; Xu, H.; Yao, B.; Pu, J.; Jiang, Y.; Ma, Q.; Fang, X.; O’Doherty, S.; Chen, L.; He, J. Estimate of Hydrochlorofluorocarbon Emissions during 2011–2018 in the Yangtze River Delta, China. Environ. Pollut. 2022, 307, 119517. [Google Scholar] [CrossRef] [PubMed]
- Li, B.; Ho, S.S.H.; Li, X.; Guo, L.; Feng, R.; Fang, X. Pioneering Observation of Atmospheric Volatile Organic Compounds in Hangzhou in Eastern China and Implications for Upcoming 2022 Asian Games. J. Environ. Sci. 2023, 124, 723–734. [Google Scholar] [CrossRef] [PubMed]
- Li, X.; Li, B.; Yang, Y.; Hu, L.; Chen, D.; Hu, X.; Feng, R.; Fang, X. Characteristics and Source Apportionment of Some Halocarbons in Hangzhou, Eastern China during 2021. Sci. Total Environ. 2022, 865, 160894. [Google Scholar] [CrossRef]
- Fan, M.-Y.; Zhang, Y.-L.; Lin, Y.-C.; Li, L.; Xie, F.; Hu, J.; Mozaffar, A.; Cao, F. Source Apportionments of Atmospheric Volatile Organic Compounds in Nanjing, China during High Ozone Pollution Season. Chemosphere 2021, 263, 128025. [Google Scholar] [CrossRef]
- Jiang, Y.; Zhang, A.; Zou, Q.; Zhang, L.; Zuo, H.; Ding, J.; Wang, Z.; Li, Z.; Jin, L.; Xu, D.; et al. Long-Term Halocarbon Observations in an Urban Area of the YRD Region, China: Characteristic, Sources Apportionment and Health Risk Assessment. Toxics 2024, 12, 738. [Google Scholar] [CrossRef]
- Chen, R.; Li, T.; Huang, C.; Yu, Y.; Zhou, L.; Hu, G.; Yang, F.; Zhang, L. Characteristics and Health Risks of Benzene Series and Halocarbons near a Typical Chemical Industrial Park. Environ. Pollut. 2021, 289, 117893. [Google Scholar] [CrossRef]
- Hu, K.; Liu, Z.; Wang, M.; Zhang, B.; Lin, H.; Lu, X.; Chen, W. VOCs Fugitive Emission Characteristics and Health Risk Assessment from Typical Plywood Industry in the Yangtze River Delta Region, China. Atmosphere 2021, 12, 1530. [Google Scholar] [CrossRef]
- Mo, Z.; Lu, S.; Shao, M. Volatile Organic Compound (VOC) Emissions and Health Risk Assessment in Paint and Coatings Industry in the Yangtze River Delta, China. Environ. Pollut. 2021, 269, 115740. [Google Scholar] [CrossRef]
- Xiong, Y.; Huang, Y.; Du, K. Health Risk-Oriented Source Apportionment of Hazardous Volatile Organic Compounds in Eight Canadian Cities and Implications for Prioritizing Mitigation Strategies. Environ. Sci. Technol. 2022, 56, 12077–12085. [Google Scholar] [CrossRef]
- TH-PKU 300B GC-MS/FID. Available online: https://www.thyb.cn/en/index.aspx (accessed on 26 November 2025).
- Wang, M.; Zeng, L.; Lu, S.; Shao, M.; Liu, X.; Yu, X.; Chen, W.; Yuan, B.; Zhang, Q.; Hu, M.; et al. Development and Validation of a Cryogen-Free Automatic Gas Chromatograph System (GC-MS/FID) for Online Measurements of Volatile Organic Compounds. Anal. Methods 2014, 6, 9424–9434. [Google Scholar] [CrossRef]
- US. EPA Compendium Method TO-15. Available online: https://www.epa.gov/sites/default/files/2019-11/documents/to-15r.pdf (accessed on 13 June 2025).
- WS500-UMB Smart Weather Sensor. Available online: https://www.lufft.com/products/compact-weather-sensors-293/ws500-umb-smart-weather-sensor-1842/ (accessed on 26 November 2025).
- United States Environmental Protection Agency. Positive Matrix Factorization Model for Environmental Data Analyses. Available online: https://www.epa.gov/air-research/positive-matrix-factorization-model-environmental-data-analyses (accessed on 27 October 2023).
- Paatero, P.; Tapper, U. Analysis of Different Modes of Factor Analysis as Least Squares Fit Problems. Chemom. Intell. Lab. Syst. 1993, 18, 183–194. [Google Scholar] [CrossRef]
- Zhang, Z.; Man, H.; Qi, L.; Wang, X.; Liu, H.; Zhao, J.; Wang, H.; Jing, S.; He, T.; Wang, S.; et al. Measurement and Minutely-Resolved Source Apportionment of Ambient VOCs in a Corridor City during 2019 China International Import Expo Episode. Sci. Total Environ. 2021, 798, 149375. [Google Scholar] [CrossRef] [PubMed]
- United States Environmental Protection Agency. Risk Evaluation for 1,3-Butadiene. Available online: https://www.epa.gov/assessing-and-managing-chemicals-under-tsca/risk-evaluation-13-butadiene (accessed on 29 May 2025).
- Gu, Y.; Liu, B.; Dai, Q.; Zhang, Y.; Zhou, M.; Feng, Y.; Hopke, P.K. Multiply Improved Positive Matrix Factorization for Source Apportionment of Volatile Organic Compounds during the COVID-19 Shutdown in Tianjin, China. Environ. Int. 2022, 158, 106979. [Google Scholar] [CrossRef]
- Rai, P.; Chakraborty, A.; Mandariya, A.K.; Gupta, T. Composition and Source Apportionment of PM1 at Urban Site Kanpur in India Using PMF Coupled with CBPF. Atmos. Res. 2016, 178–179, 506–520. [Google Scholar] [CrossRef]
- Guo, H.; Cheng, H.R.; Ling, Z.H.; Louie, P.K.K.; Ayoko, G.A. Which Emission Sources Are Responsible for the Volatile Organic Compounds in the Atmosphere of Pearl River Delta? J. Hazard. Mater. 2011, 188, 116–124. [Google Scholar] [CrossRef]
- Hui, L.; Ma, T.; Gao, Z.; Gao, J.; Wang, Z.; Xue, L.; Liu, H.; Liu, J. Characteristics and Sources of Volatile Organic Compounds during High Ozone Episodes: A Case Study at a Site in the Eastern Guanzhong Plain, China. Chemosphere 2021, 265, 129072. [Google Scholar] [CrossRef]
- Carslaw, D.C.; Ropkins, K. Openair—An R Package for Air Quality Data Analysis. Environ. Model. Softw. 2012, 27–28, 52–61. [Google Scholar] [CrossRef]
- United States Environmental Protection Agency. Integrated Risk Information System. Available online: https://www.epa.gov/iris (accessed on 22 July 2024).
- United States Environmental Protection Agency. Guiding Principles for Monte Carlo Analysis. Available online: https://www.epa.gov/risk/guiding-principles-monte-carlo-analysis (accessed on 20 October 2024).
- Ministry of Environmental Protection of People’s Republic of China. MEE The Chinese Exposure Factors Handbook (Adults); China Environmental Science Press: Beijing, China, 2013; ISBN 978-7-5111-1592-8. [Google Scholar]
- Liu, Y.; Yin, S.; Zhang, S.; Ma, W.; Zhang, X.; Qiu, P.; Li, C.; Wang, G.; Hou, D.; Zhang, X.; et al. Drivers and Impacts of Decreasing Concentrations of Atmospheric Volatile Organic Compounds (VOCs) in Beijing during 2016–2020. Sci. Total Environ. 2024, 906, 167847. [Google Scholar] [CrossRef]
- General Office of the State Council; PRC. China Extends Holidays, Strengthens Control of Coronavirus Epidemic. Available online: https://english.www.gov.cn/policies/policywatch/202001/27/content_WS5e2ea828c6d019625c60400f.html (accessed on 10 June 2025).
- Ministry of Emergency Management of the People's Republic of China. Available online: https://www.mem.gov.cn/xw/gdyj/202002/t20200221_344620.shtml (accessed on 10 November 2024).
- NCC National Climate Center. Available online: http://cmdp.ncc-cma.net/influ/moni_china.php (accessed on 5 April 2025).
- Zhang, G.; Mu, Y.; Liu, J.; Zhang, C.; Zhang, Y.; Zhang, Y.; Zhang, H. Seasonal and Diurnal Variations of Atmospheric Peroxyacetyl Nitrate, Peroxypropionyl Nitrate, and Carbon Tetrachloride in Beijing. J. Environ. Sci. 2014, 26, 65–74. [Google Scholar] [CrossRef]
- Wang, H.L.; Chen, C.H.; Wang, Q.; Huang, C.; Su, L.Y.; Huang, H.Y.; Lou, S.R.; Zhou, M.; Li, L.; Qiao, L.P.; et al. Chemical Loss of Volatile Organic Compounds and Its Impact on the Source Analysis through a Two-Year Continuous Measurement. Atmos. Environ. 2013, 80, 488–498. [Google Scholar] [CrossRef]
- Zhao, Q.; Bi, J.; Liu, Q.; Ling, Z.; Shen, G.; Chen, F.; Qiao, Y.; Li, C.; Ma, Z. Sources of Volatile Organic Compounds and Policy Implications for Regional Ozone Pollution Control in an Urban Location of Nanjing, East China. Atmos. Chem. Phys. 2020, 20, 3905–3919. [Google Scholar] [CrossRef]
- Song, M.; Li, X.; Yang, S.; Yu, X.; Zhou, S.; Yang, Y.; Chen, S.; Dong, H.; Liao, K.; Chen, Q.; et al. Spatiotemporal Variation, Sources, and Secondary Transformation Potential of Volatile Organic Compounds in Xi’an, China. Atmos. Chem. Phys. 2021, 21, 4939–4958. [Google Scholar] [CrossRef]
- Li, S.; Park, M.-K.; Jo, C.O.; Park, S. Emission Estimates of Methyl Chloride from Industrial Sources in China Based on High Frequency Atmospheric Observations. J. Atmos. Chem. 2017, 74, 227–243. [Google Scholar] [CrossRef]
- Li, B.; Zhao, X.; Li, X.; Hu, X.; Hu, L.; Chen, D.; An, M.; Yang, Y.; Feng, R.; Guo, L.; et al. Emission Factors of Ozone-Depleting Chloromethanes during Production Processes Based on Field Measurements Surrounding a Typical Chloromethane Plant in China. J. Clean. Prod. 2023, 414, 137573. [Google Scholar] [CrossRef]
- Song, P.; Geng, F.-H.; Sang, X.-F.; Chan, C.-Y.; Chan, L.-Y.; Yu, Q. Characteristics and Sources of Non-Methane Hydrocarbons and Halocarbons in Wintertime Urban Atmosphere of Shanghai, China. Env. Monit. Assess. 2012, 184, 5957–5970. [Google Scholar] [CrossRef]
- Toxicological Profile for Chloromethane; Agency for Toxic Substances and Disease Registry (ATSDR) Toxicological Profiles; Agency for Toxic Substances and Disease Registry (US): Atlanta, GA, USA, 2023.
- Yao, S.; Wang, Q.; Zhang, J.; Zhang, R.; Gao, Y.; Zhang, H.; Li, J.; Zhou, Z. Ambient Volatile Organic Compounds in a Heavy Industrial City: Concentration, Ozone Formation Potential, Sources, and Health Risk Assessment. Atmos. Pollut. Res. 2021, 12, 101053. [Google Scholar] [CrossRef]
- Zhang, Y.; Li, C.; Yan, Q.; Han, S.; Zhao, Q.; Yang, L.; Liu, Y.; Zhang, R. Typical Industrial Sector-Based Volatile Organic Compounds Source Profiles and Ozone Formation Potentials in Zhengzhou, China. Atmos. Pollut. Res. 2020, 11, 841–850. [Google Scholar] [CrossRef]
- Zhang, H.; Ji, Y.; Wu, Z.; Peng, L.; Bao, J.; Peng, Z.; Li, H. Atmospheric Volatile Halogenated Hydrocarbons in Air Pollution Episodes in an Urban Area of Beijing: Characterization, Health Risk Assessment and Sources Apportionment. Sci. Total Environ. 2022, 806, 150283. [Google Scholar] [CrossRef]
- Xiong, Y.; Bari, M.A.; Xing, Z.; Du, K. Ambient Volatile Organic Compounds (VOCs) in Two Coastal Cities in Western Canada: Spatiotemporal Variation, Source Apportionment, and Health Risk Assessment. Sci. Total Environ. 2020, 706, 135970. [Google Scholar] [CrossRef]
- Hossaini, R.; Sherry, D.; Wang, Z.; Chipperfield, M.; Feng, W.; Oram, D.; Adcock, K.; Montzka, S.; Simpson, I.; Mazzeo, A.; et al. On the Atmospheric Budget of Ethylene Dichloride and Its Impact on Stratospheric Chlorine and Ozone (2002–2020). EGUsphere 2024. [Google Scholar] [CrossRef]
- Yang, G. Advances in Clinical Research Due to Occupational Hazards Trichlorethylene. Chin. J. Urban Rural Enterp. Hyg. 2015, 30, 32–34. [Google Scholar] [CrossRef]
- Lyu, Z.; Li, G.; Bai, H.; Liu, X.; Shao, X. Emission Characteristics and Health Risk Assessment of Volatile Organic Compounds from Electronics-Manufacturing Industry. China Environ. Sci. 2024, 45, 1074–1087. [Google Scholar] [CrossRef]
- Liang, Y.; Liu, K.; Chen, H.; Feng, J. Investigation on Occupational Hazards of 202 Electronic Enterprises in a City in Guangdong Province. Occup. Health Emerg. Rescue 2024, 42, 45–48+62. [Google Scholar] [CrossRef]
- Li, J.; Zhang, J. Separation of 1,1-Dichloroethane from High-Boiling Residue in Vinyl Chloride Synthesis. Polyvinyl Chloride 2001, 57–60. [Google Scholar]
- Lyu, Q.; Wang, Z.; Zhang, Q.; Li, H.; Guo, X.; Bai, H. Determination of 1,1-Dichloroethlane and 1,2-Dichloroethlane in Textiles by Headspace Gas Chromatography. Phys. Test. Chem. Anal. Part B Chem. Anal. 2015, 51, 1430–1433. [Google Scholar] [CrossRef]
- Xu, Z.; Zou, Q.; Jin, L.; Shen, Y.; Shen, J.; Xu, B.; Qu, F.; Zhang, F.; Xu, J.; Pei, X.; et al. Characteristics and Sources of Ambient Volatile Organic Compounds (VOCs) at a Regional Background Site, YRD Region, China: Significant Influence of Solvent Evaporation during Hot Months. Sci. Total Environ. 2023, 857, 159674. [Google Scholar] [CrossRef]
- Toxicological Review for 1,3-DICHLOROPROPENE (CAS No. 542-75-6). Available online: https://iris.epa.gov/static/pdfs/0224tr.pdf (accessed on 11 April 2025).
- Ministry of Agriculture of the PRC. Announcement No. 199 of the Ministry of Agriculture of the People’s Republic of China. Available online: https://www.moa.gov.cn/ztzl/ncpzxzz/flfg/200709/t20070919_893058.htm (accessed on 10 March 2025).
- Economy and Information of Technology Department of Zhejiang. Several Opinions on Promoting the High-Quality Development of the Pharmaceutical Industry in Zhejiang Province. Available online: https://jxt.zj.gov.cn/art/2021/1/7/art_1229123418_4420281.html (accessed on 27 February 2025).
- Xue, B.; Guo, X.; Cao, J.; Yang, S.; Qiu, Z.; Wang, J.; Shen, Z. The Occurrence, Ecological Risk, and Control of Disinfection by-Products from Intensified Wastewater Disinfection during the COVID-19 Pandemic. Sci. Total Environ. 2023, 900, 165602. [Google Scholar] [CrossRef]
- Li, Z.; Song, G.; Bi, Y.; Gao, W.; He, A.; Lu, Y.; Wang, Y.; Jiang, G. Occurrence and Distribution of Disinfection Byproducts in Domestic Wastewater Effluent, Tap Water, and Surface Water during the SARS-CoV-2 Pandemic in China. Environ. Sci. Technol. 2021, 55, 4103–4114. [Google Scholar] [CrossRef]
- Zhu, H.; Xue, L.; Liu, J. Types, Hazards and Pollution Status of Chlorinated Disinfection By-Products in Surface Water. Res. Environ. Sci. 2020, 33, 1640–1648. [Google Scholar] [CrossRef]
- Chu, W.; Fang, C.; Deng, Y.; Xu, Z. Intensified Disinfection Amid COVID-19 Pandemic Poses Potential Risks to Water Quality and Safety. Environ. Sci. Technol. 2021, 55, 4084–4086. [Google Scholar] [CrossRef]
- Liang, X.; Chen, L.; Sun, X.; Ou, R.; Liu, M.; Lu, Q.; Ye, D. Historical Volatile Organic Compound Emission Performance, Drivers, and Mitigation Potential for Automobile Manufacturing in China. J. Clean. Prod. 2024, 470, 143348. [Google Scholar] [CrossRef]
- Jiaxing Municipal Bureau of Statistics. Jiaxing Statistical Yearbook. Available online: https://tjj.jiaxing.gov.cn/col/col1512382/index.html#reloaded (accessed on 30 August 2024).
- Economy and Information of Technology Department of Zhejiang. Economic Operation Analysis of the Electronic Information Industry of Zhejiang Province in 2020. Available online: https://jxt.zj.gov.cn/art/2021/3/8/art_1657978_58926210.html (accessed on 2 April 2025).
- Wu, K.; Duan, M.; Zhou, J.; Zhou, Z.; Tan, Q.; Song, D.; Lu, C.; Deng, Y. Sources Profiles of Anthropogenic Volatile Organic Compounds from Typical Solvent Used in Chengdu, China. J. Environ. Eng. 2020, 146, 05020006. [Google Scholar] [CrossRef]
- Liu, Y.; Weng, W.; Zhang, Q.; Li, Q.; Xu, J.; Zheng, L.; Su, Y.; Wu, D.; Yan, W.; Zhang, J.; et al. Ozone-Depleting Substances Unintendedly Emitted From Iron and Steel Industry: CFCs, HCFCs, Halons and Halogenated Very Short-Lived Substances. J. Geophys. Res. Atmos. 2024, 129, e2024JD041035. [Google Scholar] [CrossRef]
- Hu, X.; Yao, B.; Fang, X. Anthropogenic Emissions of Ozone-Depleting Substance CH3Cl during 2000–2020 in China. Environ. Pollut. 2022, 310, 119903. [Google Scholar] [CrossRef]
- Zhang, D.; He, B.; Yuan, M.; Yu, S.; Yin, S.; Zhang, R. Characteristics, Sources and Health Risks Assessment of VOCs in Zhengzhou, China during Haze Pollution Season. J. Environ. Sci. 2021, 108, 44–57. [Google Scholar] [CrossRef] [PubMed]
- Li, X. Characteristics, Emission Sources and Health Risk Study of Atmospheric Volatile Halocarbons in Hangzhou. Master’s Thesis, Zhejiang University, Hangzhou, China, 2023. [Google Scholar]
- Wong, Y.K.; Chan, W.W.; Gu, D.; Wong, T.W.; Chan, K.J.D.; Yu, J.Z.; Lau, A.K.H. Characterization of Toxic Air Pollutants in Hong Kong, China: Two-Decadal Trends and Health Risk Assessments. Atmos. Environ. 2023, 314, 120129. [Google Scholar] [CrossRef]
- Zhao, F.; Chen, T.; Dong, C.; Li, H.; Liu, Z.; Bi, Y.; Guo, Z.; Wang, X.; Yang, L.; Wang, T.; et al. Long-Term Trends and Sources of Atmospheric Halocarbons at Mount Taishan, Northern China. Environ. Sci. 2022, 43, 723–734. [Google Scholar]
- Gautam, S.; Arora, S. Chloroform: Risk Assessment, Environmental, and Health Hazard. In Hazardous Chemicals; Elsevier: Amsterdam, The Netherlands, 2025; pp. 439–451. ISBN 978-0-323-95235-4. [Google Scholar]
- World Health Organization. Guidelines for Drinking-Water Quality, 4th ed.; incorporating the first addendum; World Health Organization: Geneva, Switzerland, 2017; ISBN 978-92-4-154995-0. [Google Scholar]
- MEE Emission Standard of Air Pollutants for Pharmaceutical Industry. Available online: https://sthjt.zj.gov.cn/art/2022/1/27/art_1201911_58931099.html (accessed on 10 March 2025).
- Smith, R.L. Use of Monte Carlo Simulation for Human Exposure Assessment at a Superfund Site. Risk Anal. 1994, 14, 433–439. [Google Scholar] [CrossRef]
- Wang, W.; Wang, Y.; Zheng, X.; Zhang, L.; Zhou, Y.; Huang, H. Study on VOCs Emission Inventory and Characteristics of Vehicle Maintenance Industry in Tianjin. Guangzhou Chem. Ind. 2017, 45, 123–126. [Google Scholar]
- Mo, Z.; Lu, S.; Li, Y.; Shao, M.; Qu, H. Emission Characteristics of Volatile Organic Compounds(VOCs) from Typical Solvent Use Factories in Beijing. China Environ. Sci. 2015, 35, 374–380. [Google Scholar]
- Guha, N.; Loomis, D.; Grosse, Y.; Lauby-Secretan, B.; Ghissassi, F.E.; Bouvard, V.; Benbrahim-Tallaa, L.; Baan, R.; Mattock, H.; Straif, K. Carcinogenicity of Trichloroethylene, Tetrachloroethylene, Some Other Chlorinated Solvents, and Their Metabolites. Lancet Oncol. 2012, 13, 1192–1193. [Google Scholar] [CrossRef]
- Guo, H.; Ding, A.J.; Wang, T.; Simpson, I.J.; Blake, D.R.; Barletta, B.; Meinardi, S.; Rowland, F.S.; Saunders, S.M.; Fu, T.M.; et al. Source Origins, Modeled Profiles, and Apportionments of Halogenated Hydrocarbons in the Greater Pearl River Delta Region, Southern China. J. Geophys. Res. 2009, 114, 2008JD011448. [Google Scholar] [CrossRef]
- Chipperfield, M.P.; Hossaini, R.; Montzka, S.A.; Reimann, S.; Sherry, D.; Tegtmeier, S. Renewed and Emerging Concerns over the Production and Emission of Ozone-Depleting Substances. Nat. Rev. Earth Env. 2020, 1, 251–263. [Google Scholar] [CrossRef]
- Liang, X.; Sun, X.; Xu, J.; Ye, D. Improved Emissions Inventory and VOCs Speciation for Industrial OFP Estimation in China. Sci. Total Environ. 2020, 745, 140838. [Google Scholar] [CrossRef] [PubMed]
- IARC Working Group on the Evaluation of Carcinogenic Risks to Humans. 1,3-Butadiene, Ethylene Oxide, and Vinyl Halides (Vinyl Flouride, Vinyl Chloride, and Vinyl Bromide); IARC Monographs on the Evaluation of Carcinogenic Risks to Humans; International Agency for Research on Cancer: Lyon, France; Geneva, Switzerland, 2008; ISBN 978-92-832-1297-3. [Google Scholar]
- Chen, K.; Gu, X.; Cai, M.; Zhao, W.; Wang, B.; Yang, H.; Liu, X.; Li, X. Emission Characteristics, Environmental Impacts and Health Risk Assessment of Volatile Organic Compounds from the Typical Chemical Industry in China. J. Environ. Sci. 2025, 149, 113–125. [Google Scholar] [CrossRef]
- Cheng, N.; Jing, D.; Zhang, C.; Chen, Z.; Li, W.; Li, S.; Wang, Q. Process-Based VOCs Source Profiles and Contributions to Ozone Formation and Carcinogenic Risk in a Typical Chemical Synthesis Pharmaceutical Industry in China. Sci. Total Environ. 2021, 752, 141899. [Google Scholar] [CrossRef]
- Lin, Q.; Gao, Z.; Zhu, W.; Chen, J.; An, T. Underestimated Contribution of Fugitive Emission to VOCs in Pharmaceutical Industry Based on Pollution Characteristics, Odorous Activity and Health Risk Assessment. J. Environ. Sci. 2023, 126, 722–733. [Google Scholar] [CrossRef]
- Zhong, Z.; Ji, Y.; Zhao, M.; Zhou, G.; Hou, Y.; Fan, L.; Ye, D.; Huang, H. Comparison of Emission Characteristics and Risk Assessment of Volatile Organic Compounds of Typical Pharmaceutical Industries in Central Plains, China. Atmos. Pollut. Res. 2025, 16, 102396. [Google Scholar] [CrossRef]
- Lv, G. Studies on the Pollution Characteristics of Volatile Organic Compounds (VOCs) from Pharmaceutical Industry. Master’s Thesis, Hebei University of Science and Technology, Shijiazhuang, China, 2013. [Google Scholar]
- The Montreal Protocol on Substances That Deplete the Ozone Layer|Ozone Secretariat. Available online: https://ozone.unep.org/treaties/montreal-protocol/montreal-protocol-substances-deplete-ozone-layer (accessed on 13 June 2025).
- Lin, Y.; Gong, D.; Lv, S.; Ding, Y.; Wu, G.; Wang, H.; Li, Y.; Wang, Y.; Zhou, L.; Wang, B. Observations of High Levels of Ozone-Depleting CFC-11 at a Remote Mountain-Top Site in Southern China. Environ. Sci. Technol. Lett. 2019, 6, 114–118. [Google Scholar] [CrossRef]
- Fisher, D.A.; Midgley, P.M. The Production and Release to the Atmosphere of CFCs 113, 114 and 115. Atmos. Environment. Part A. Gen. Top. 1993, 27, 271–276. [Google Scholar] [CrossRef]
- Lewis, R.J.; Sax, N.I. Sax’s Dangerous Properties of Industrial Materials; Wiley: New York, NY, USA, 2004; ISBN 978-0-471-47662-7. [Google Scholar]
- Toxicological Profile For 1,1-Dichloroethane; Foreword; Agency for Toxic Substances and Disease Registry (US): Atlanta GA, USA, 2015. Available online: https://www.ncbi.nlm.nih.gov/books/NBK591211/ (accessed on 2 April 2025).
- Wu, J.; Fang, X.; Xu, W.; Wan, D.; Shi, Y.; Su, S.; Hu, J.; Zhang, J. Chlorofluorocarbons, Hydrochlorofluorocarbons, and Hydrofluorocarbons in the Atmosphere of Four Chinese Cities. Atmos. Environ. 2013, 75, 83–91. [Google Scholar] [CrossRef]
- Lv, Z.; Liu, X.; Wang, G.; Shao, X.; Li, Z.; Nie, L.; Li, G. Sector-Based Volatile Organic Compounds Emission Characteristics from the Electronics Manufacturing Industry in China. Atmos. Pollut. Res. 2021, 12, 101097. [Google Scholar] [CrossRef]
- Xu, Z.; Xiong, H.; Zhang, Y.; Jin, X. Emission Characteristics and Emission Reduction Potential of Volatile Organic Compounds from Typical Industrial Sources in Jiangsu Province. Chin. J. Environ. Eng. 2024, 18, 547–559. [Google Scholar] [CrossRef]
- Xia, B.; Zhang, Q.; Zhang, S.; Liu, Y. On Emission Characteristics and Prevention Countermeasures of the Electronics Industry Waste VOCs. Environ. Sustain. Dev. 2014, 39, 81–83. [Google Scholar] [CrossRef]
- SAC, PRC Limits for Volatile Organic Compounds Content in Cleaning Agents. Available online: https://openstd.samr.gov.cn/bzgk/gb/newGbInfo?hcno=FE1FC015A8AC8E87F74085C3ADE06C3E (accessed on 13 June 2025).
- Toxicological Profile for 1,2-Dibromoethane; Agency for Toxic Substances and Disease Registry (US): Atlanta GA, USA, 2018. Available online: https://www.ncbi.nlm.nih.gov/books/NBK591108/ (accessed on 2 April 2025).








| Site | Nanjing [30] | Hangzhou [29] | Hangzhou [28] | Shanxi (This Study) | |||||
|---|---|---|---|---|---|---|---|---|---|
| Duration | July 2018–August 2018 | January 2021–December 2021 | January 2021–February 2021 | 2018 | 2019 | 2020 | 2021 | 2022 | 2023 |
| Dichloromethane | 1.26 | 2.207 | 1.77 | 1.194 ± 0.891 | 1.440 ± 0.860 | 1.205 ± 1.139 | 1.351 ± 0.785 | 1.309 ± 0.817 | 1.831 ± 1.122 |
| Chloromethane | 0.16 | 0.912 | 0.66 | 0.401 ± 0.267 | 0.478 ± 0.423 | 0.205 ± 0.506 | 0.752 ± 0.694 | 0.666 ± 0.520 | 1.121 ± 0.721 |
| Chloroform | 0.17 | 0.129 | 0.11 | 0.082 ± 0.056 | 0.098 ± 0.120 | 0.294 ± 0.431 | 0.300 ± 0.314 | 0.299 ± 0.151 | 0.213 ± 0.088 |
| Trichloroethylene | 0.13 | 0.05 | 0.12 | 0.032 ± 0.027 | 0.064 ± 0.094 | 0.084 ± 0.132 | 0.122 ± 0.059 | 0.068 ± 0.051 | 0.070 ± 0.042 |
| Tetrachloroethylene | 0.06 | 0.057 | 0.07 | 0.043 ± 0.036 | 0.053 ± 0.036 | 0.064 ± 0.034 | 0.041 ± 0.023 | 0.037 ± 0.022 | 0.041 ± 0.030 |
| 1,2-Dichloroethane | 0.95 | 0.596 | 0.71 | 0.632 ± 0.556 | 0.488 ± 0.532 | 0.399 ± 0.705 | 0.404 ± 0.297 | 0.632 ± 0.241 | 0.772 ± 0.354 |
| 1,2-Dichloropropane | 0.57 | 0.306 | 0.24 | 0.217 ± 0.404 | 0.279 ± 0.358 | 0.267 ± 0.301 | 0.171 ± 0.151 | 0.099 ± 0.085 | 0.121 ± 0.113 |
| Carbon tetrachloride | 0.12 | 0.079 | 0.09 | 0.149 ± 0.079 | 0.186 ± 0.141 | 0.178 ± 0.101 | 0.118 ± 0.070 | 0.113 ± 0.076 | 0.109 ± 0.017 |
| 1,1-Dichloroethane | 0.05 | 0.058 | 0.12 | 0.005 ± 0.004 | 0.034 ± 0.116 | 0.062 ± 0.265 | 0.417 ± 0.405 | 0.190 ± 0.302 | 0.217 ± 0.121 |
| Vinyl chloride | 0.05 | 0.043 | 0.05 | 0.027 ± 0.034 | 0.058 ± 0.063 | 0.020 ± 0.043 | 0.052 ± 0.080 | 0.025 ± 0.037 | 0.045 ± 0.057 |
| 1,2-Dibromoethane | 0.18 | 0.02 | 0.001 ± 0.003 | 0.003 ± 0.008 | 0.002 ± 0.002 | 0.002 ± 0.002 | 0.000 ± 0.000 | 0.001 ± 0.001 | |
| cis-1,3-Dichloropropene | 0.1 | 0.023 | 0.02 | 0.002 ± 0.006 | 0.003 ± 0.007 | 0.003 ± 0.004 | 0.003 ± 0.002 | 0.002 ± 0.012 | 0.001 ± 0.002 |
| trans-1,3-Dichloropropene | 0.13 | 0.017 | 0.02 | 0.001 ± 0.003 | 0.001 ± 0.002 | 0.001 ± 0.001 | 0.001 ± 0.001 | 0.002 ± 0.003 | 0.002 ± 0.002 |
Disclaimer/Publisher’s Note: The statements, opinions and data contained in all publications are solely those of the individual author(s) and contributor(s) and not of MDPI and/or the editor(s). MDPI and/or the editor(s) disclaim responsibility for any injury to people or property resulting from any ideas, methods, instructions or products referred to in the content. |
© 2025 by the authors. Licensee MDPI, Basel, Switzerland. This article is an open access article distributed under the terms and conditions of the Creative Commons Attribution (CC BY) license (https://creativecommons.org/licenses/by/4.0/).
Share and Cite
Jiang, Y.; Zhang, A.; Zou, Q.; Zuo, H.; Ding, J.; Zhang, L.; Jin, L.; Xu, D.; Niu, Y.; Xu, B.; et al. Temporal Evolution, Source Apportionment, and Health Risks of Atmospheric Halocarbons: A Case Study in the Central Yangtze River Delta Region. Toxics 2025, 13, 1085. https://doi.org/10.3390/toxics13121085
Jiang Y, Zhang A, Zou Q, Zuo H, Ding J, Zhang L, Jin L, Xu D, Niu Y, Xu B, et al. Temporal Evolution, Source Apportionment, and Health Risks of Atmospheric Halocarbons: A Case Study in the Central Yangtze River Delta Region. Toxics. 2025; 13(12):1085. https://doi.org/10.3390/toxics13121085
Chicago/Turabian StyleJiang, Yuchun, Anqi Zhang, Qiaoli Zou, Hanfei Zuo, Jinmei Ding, Lu Zhang, Lingling Jin, Da Xu, Yuwen Niu, Bingye Xu, and et al. 2025. "Temporal Evolution, Source Apportionment, and Health Risks of Atmospheric Halocarbons: A Case Study in the Central Yangtze River Delta Region" Toxics 13, no. 12: 1085. https://doi.org/10.3390/toxics13121085
APA StyleJiang, Y., Zhang, A., Zou, Q., Zuo, H., Ding, J., Zhang, L., Jin, L., Xu, D., Niu, Y., Xu, B., & Li, X. (2025). Temporal Evolution, Source Apportionment, and Health Risks of Atmospheric Halocarbons: A Case Study in the Central Yangtze River Delta Region. Toxics, 13(12), 1085. https://doi.org/10.3390/toxics13121085
