Sign in to use this feature.

Years

Between: -

Subjects

remove_circle_outline
remove_circle_outline
remove_circle_outline
remove_circle_outline
remove_circle_outline
remove_circle_outline
remove_circle_outline
remove_circle_outline
remove_circle_outline

Journals

Article Types

Countries / Regions

remove_circle_outline
remove_circle_outline
remove_circle_outline
remove_circle_outline

Search Results (248)

Search Parameters:
Keywords = outage capacity

Order results
Result details
Results per page
Select all
Export citation of selected articles as:
27 pages, 1540 KB  
Article
Unraveling COVID-19’s Impact on Raw Material Supply Chains and Production in the Turkish Pipe Industry: A Critical ANOVA and Advanced MCDM Evaluation
by Hatef Javadi, Oguz Toragay, Mehmet Akif Yerlikaya, Marco Falagario and Nicola Epicoco
Appl. Sci. 2026, 16(2), 959; https://doi.org/10.3390/app16020959 - 16 Jan 2026
Viewed by 141
Abstract
This paper analyzes the impact of COVID-19 on the supply chain and production, investigating countermeasures for industrial recovery. In particular, the study examines how COVID-19 has affected the raw material supply chain, production, and outages on a real case study, that is, Turkey’s [...] Read more.
This paper analyzes the impact of COVID-19 on the supply chain and production, investigating countermeasures for industrial recovery. In particular, the study examines how COVID-19 has affected the raw material supply chain, production, and outages on a real case study, that is, Turkey’s Glass-Reinforced Plastic (GRP) pipe industry. Using two- and three-way analysis of variance (ANOVA), significant negative impacts on the raw material supply chain are identified with 95% confidence. To enhance decision-making, the fuzzy q-rung orthopair set (FQROPS) and entropy-based multi-criteria decision-making (MCDM) methods are integrated in the baseline method. Specifically, ANOVA-identified factors, such as cost, supply continuity, production capacity, and risk level, are used as criteria in the MCDM analysis. Entropy determined criteria weights and FQROPS evaluate alternatives based on their proximity to the ideal solution. Findings show that significant disruptions occurred due to the pandemic. In addition, the MCDM analysis reveals that pre-pandemic conditions for key materials, such as fiberglass and resin, were significantly more favorable in terms of cost, supply continuity, production capacity, and risk levels. This integrated approach provides strategic insights for managing supply chains and production in the GRP pipe industry during and after pandemic events. Full article
Show Figures

Figure 1

18 pages, 4187 KB  
Review
Impacts of Distributed Renewable Energy Source Integration on the Reliability of Distribution Networks: A Bibliometric Review
by Bianca Letícia Moura Silva, Maria Gabriela Mendonça Peixoto and Marcelo Carneiro Gonçalves
Energies 2026, 19(1), 75; https://doi.org/10.3390/en19010075 - 23 Dec 2025
Viewed by 311
Abstract
Traditional reliability indicators, such as SAIDI, SAIFI, DEC, and FEC, remain essential benchmarks, but they have proven insufficient to capture recovery capacity and vulnerability under extreme events. This bibliometric review clarifies these limitations while mapping how advanced control solutions—such as deep reinforcement learning [...] Read more.
Traditional reliability indicators, such as SAIDI, SAIFI, DEC, and FEC, remain essential benchmarks, but they have proven insufficient to capture recovery capacity and vulnerability under extreme events. This bibliometric review clarifies these limitations while mapping how advanced control solutions—such as deep reinforcement learning (DRL), model predictive control (MPC), and graph neural networks (GNNs)—are being employed to enhance network restoration, voltage regulation, and outage management. By integrating discussions of conventional indices with the emerging role of artificial intelligence and storage technologies, this study provides a dual contribution: (i) identifying how resilience and reliability are being redefined in the literature, and (ii) highlighting research gaps in the standardization of event-based metrics, such as restoration time and customer minutes lost. The results aim to support regulators and operators in adopting intelligent, secure, and sustainable strategies for distribution networks, ensuring that technological advances are aligned with energy justice and real operational challenges. Full article
Show Figures

Figure 1

24 pages, 749 KB  
Article
Solution Methods for the Dynamic Generalized Quadratic Assignment Problem
by Yugesh Dhungel and Alan McKendall
Mathematics 2025, 13(24), 4021; https://doi.org/10.3390/math13244021 - 17 Dec 2025
Viewed by 294
Abstract
In this paper, the generalized quadratic assignment problem (GQAP) is extended to consider multiple time periods and is called the dynamic GQAP (DGQAP). This problem considers assigning a set of facilities to a set of locations for multiple periods in the planning horizon [...] Read more.
In this paper, the generalized quadratic assignment problem (GQAP) is extended to consider multiple time periods and is called the dynamic GQAP (DGQAP). This problem considers assigning a set of facilities to a set of locations for multiple periods in the planning horizon such that the sum of the transportation, assignment, and reassignment costs is minimized. The facilities may have different space requirements (i.e., unequal areas), and the capacities of the locations may vary during a multi-period planning horizon. Also, multiple facilities may be assigned to each location during each period without violating the capacities of the locations. This research was motivated by the problem of assigning multiple facilities (e.g., equipment) to locations during outages at electric power plants. This paper presents mathematical models, construction algorithms, and two simulated annealing (SA) heuristics for solving the DGQAP problem. The first SA heuristic (SAI) is a direct adaptation of SA to the DGQAP, and the second SA heuristic (SAII) is the same as SAI with a look-ahead/look-back search strategy. In computational experiments, the proposed heuristics are first compared to an exact method on a generated data set of smaller instances (data set 1). Then the proposed heuristics are compared on a generated data set of larger instances (data set 2). For data set 1, the proposed heuristics outperformed a commercial solver (CPLEX) in terms of solution quality and computational time. SAI obtained the best solutions for all the instances, while SAII obtained the best solution for all but one instance. However, for data set 2, SAII obtained the best solution for nineteen of the twenty-four instances, while SAI obtained five of the best solutions. The results highlight the effectiveness and efficiency of the proposed heuristics, particularly SAII, for solving the DGQAP. Full article
Show Figures

Figure 1

35 pages, 3890 KB  
Article
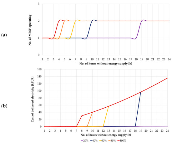
Novel Concept of Assessing the Cost of Delivered and Non-Delivered Electricity by Deploying Mobile Electricity Storage Facilities
by Krzysztof Zagrajek, Mariusz Kłos, Marc Petit, Józef Paska and Łukasz Sosnowski
Energies 2025, 18(23), 6190; https://doi.org/10.3390/en18236190 - 26 Nov 2025
Cited by 1 | Viewed by 426
Abstract
Due to the growing importance of ensuring energy security while using low-carbon sources of electricity, it is necessary to use energy storage technologies. However, sometimes it is not possible to use stationary battery energy storage systems. In such cases, mobile energy storage facilities [...] Read more.
Due to the growing importance of ensuring energy security while using low-carbon sources of electricity, it is necessary to use energy storage technologies. However, sometimes it is not possible to use stationary battery energy storage systems. In such cases, mobile energy storage facilities are an alternative solution. This article presents a methodology for assessing the cost of delivering or not delivering energy to the end user when demand will be covered by mobile electricity storage facilities. It is proposed that financial compensation for the end user should depend on hourly revenues and a bonus coefficient. Next, the cost of delivering energy to the end user was minimized by changing the nominal capacity of the mobile energy storage battery and the number of vehicles, taking into account technical and spatial constraints. The results show that the average cost of delivering energy from mobile energy storage systems can vary from 0.4 EUR/kWh to even 184 EUR/kWh, with an average cost of 9.1 EUR/kWh. However, it should be emphasized that a fleet of vehicles with mobile energy storage facilities can only provide energy for a limited period of time. Out of all the simulations carried out, the best results were achieved for the 1 and 4 h power outages; the level of successful electricity provision was above 80%. Full article
Show Figures

Figure 1

17 pages, 1038 KB  
Article
Unified Performance Analysis of Free-Space Optical Systems over Dust-Induced Fading Channels
by Maged Abdullah Esmail
Electronics 2025, 14(23), 4637; https://doi.org/10.3390/electronics14234637 - 25 Nov 2025
Viewed by 475
Abstract
Free-space optical (FSO) communication systems offer fiber-like bandwidth, high security, and rapid deployment; however, their performance is highly susceptible to atmospheric impairments, such as dust storms, which can cause fading that degrades link reliability. In this study, we analyze the performance of FSO [...] Read more.
Free-space optical (FSO) communication systems offer fiber-like bandwidth, high security, and rapid deployment; however, their performance is highly susceptible to atmospheric impairments, such as dust storms, which can cause fading that degrades link reliability. In this study, we analyze the performance of FSO links under a dust-induced fading channel modeled as a Beta distribution channel. We derive an expression for the instantaneous signal-to-noise ratio (SNR) distribution. Using the SNR expression, we construct a general framework that yields closed-form formulas for fundamental performance measures such as outage probability, average bit-error rate (BER), and ergodic capacity. The analysis considers both intensity modulation/direct detection (IM/DD) and coherent detection techniques, encompassing typical modulation schemes including modulation formats such as on–off keying (OOK), M-ary phase-shift keying (M-PSK), and M-ary quadrature amplitude modulation (M-QAM). The results show that dust-induced fading penalizes all modulations, though coherent detection achieves better error performance than IM/DD at equivalent SNR. For example, a coherent receiver requires approximately 4.4 dB lower average SNR than an IM/DD system to achieve the same outage probability. Overall, the proposed unified framework shows that dust-induced fading can severely degrade the performance of FSO links, while also quantifying how network operators can trade off complexity and performance when choosing between coherent and IM/DD detection under realistic dust-storm conditions. Full article
(This article belongs to the Section Microwave and Wireless Communications)
Show Figures

Figure 1

30 pages, 7290 KB  
Article
Modeling and Optimization of a Hybrid Solar–Wind Energy System Using HOMER: A Case Study of L’Anse Au Loup
by Sujith Eswaran and Ashraf Ali Khan
Energies 2025, 18(21), 5794; https://doi.org/10.3390/en18215794 - 3 Nov 2025
Viewed by 1348
Abstract
The rural community of L’Anse au Loup in southern Labrador depends on a long-distance transmission link to Hydro-Québec for its electricity supply, with diesel generation as backup during outages. This dependence raises electricity costs, exposes the community to supply disruptions, and limits control [...] Read more.
The rural community of L’Anse au Loup in southern Labrador depends on a long-distance transmission link to Hydro-Québec for its electricity supply, with diesel generation as backup during outages. This dependence raises electricity costs, exposes the community to supply disruptions, and limits control over local energy security. This study evaluates the feasibility of a solar–wind hybrid energy system to reduce imported electricity and improve supply reliability. A detailed site assessment identified a 50-hectare area north of the community as suitable for system installation, offering adequate space and minimal land-use conflict. Using Hybrid Optimization of Multiple Energy Resources (HOMER Pro 3.18.3) software, the analysis modeled local load data, renewable resource profiles, and financial parameters to determine the optimal grid-connected configuration. The optimized design installs 19.25 MW of photovoltaic (PV) and 4.62 MW of wind capacity, supported by inverters and maximum power point tracking (MPPT) to ensure stable operation. Simulations show that the hybrid system supplies about 70% of annual demand, cuts greenhouse gas emissions by more than 95% compared with conventional generation, and lowers long-term energy costs. The results confirm that the proposed configuration can strengthen local energy security and provide a replicable framework for other remote and coastal communities in Newfoundland and Labrador pursuing decarbonization. Full article
Show Figures

Figure 1

31 pages, 3366 KB  
Article
Beyond Efficiency: Integrating Resilience into the Assessment of Road Intersection Performance
by Nazanin Zare, Maria Luisa Tumminello, Elżbieta Macioszek and Anna Granà
Smart Cities 2025, 8(6), 184; https://doi.org/10.3390/smartcities8060184 - 1 Nov 2025
Viewed by 1110
Abstract
Extreme weather events, such as storms, pose significant challenges to the reliability and efficiency of urban road networks, making intersection design and management critical to maintaining mobility. This paper addresses the dual objectives of traffic efficiency and resilience by evaluating the performance of [...] Read more.
Extreme weather events, such as storms, pose significant challenges to the reliability and efficiency of urban road networks, making intersection design and management critical to maintaining mobility. This paper addresses the dual objectives of traffic efficiency and resilience by evaluating the performance of roundabouts, signalized, and two-way stop-controlled (TWSC) intersections under normal and storm-disrupted conditions. A mixed-method approach was adopted, combining a heuristic framework from the Highway Capacity Manual with microsimulations in AIMSUN Next. Three Polish case studies were examined; each was modeled under alternative control strategies. The findings demonstrate the superior robustness of roundabouts, which retain functionality during power outages, while signalized intersections reveal vulnerabilities when control systems fail, reverting to less efficient TWSC behavior. TWSC intersections consistently exhibited the weakest performance, particularly under high or uneven traffic demand. Despite methodological differences in delay estimation, the convergence of results through Level of Service categories strengthens the reliability of findings. Beyond technical evaluation, the study underscores the importance of resilient intersection design in climate-vulnerable regions and the value of integrating analytical and simulation-based methods. By situating intersection performance within urban resilience, this research provides actionable insights for policymakers, planners, and engineers seeking to balance efficiency with adaptability in infrastructure planning. Full article
Show Figures

Figure 1

18 pages, 1439 KB  
Article
Performance Analysis for Integrated Sensing and Communication Systems in Rainfall Scenarios
by Songtao Huang, Jing Li, Jing Cao, Shaozhong Fu, Yujian Jin and Shuo Zhang
Atmosphere 2025, 16(11), 1249; https://doi.org/10.3390/atmos16111249 - 31 Oct 2025
Viewed by 642
Abstract
This paper investigates an integrated sensing and communication (ISAC) system operating in a rainfall scenario, where a base station (BS) simultaneously serves multiple communication users and performs rainfall detection. Specifically, considering the fading characteristics of the millimeter-wave (mmWave) channel and the impact of [...] Read more.
This paper investigates an integrated sensing and communication (ISAC) system operating in a rainfall scenario, where a base station (BS) simultaneously serves multiple communication users and performs rainfall detection. Specifically, considering the fading characteristics of the millimeter-wave (mmWave) channel and the impact of rainfall on the signal propagation link, we adopt the Weibull distribution as the channel model between the nodes. Based on the above, the received signal-to-noise ratio (SNR), channel capacity, bit error rate (BER), and outage probability of the users within the system are analyzed to characterize the communication performance. Furthermore, the sensing capability of the BS is demonstrated through the analysis of the probability of rainfall. Simulation results reveal that increasing the distance between the BS and users significantly degrades their communication performance. Furthermore, the performance is highly sensitive to the rainfall intensity. Specifically, compared to storm conditions, light rain yields an improvement of 16.9 dB in the average user SNR, a 7.2 bps/Hz increase in channel capacity, and a 40.2% reduction in the outage probability. Additionally, an increase in the complex dielectric constant of raindrops substantially reduces the backscattering coefficient at the ISAC BS. Full article
Show Figures

Figure 1

35 pages, 12982 KB  
Article
A Data-Driven Decision-Making Tool for Prioritizing Resilience Strategies in Cold-Climate Urban Neighborhoods
by Ahmed Nouby Mohamed Hassan and Caroline Hachem-Vermette
Energies 2025, 18(20), 5421; https://doi.org/10.3390/en18205421 - 14 Oct 2025
Cited by 1 | Viewed by 853
Abstract
Cold-climate urban neighborhoods face mounting energy and thermal risks from extreme weather and power outages, creating trade-offs between different resilience capacities and objectives. This study develops a scalable, data-driven decision-making tool to support early-stage prioritization of resilience strategies at both the building component [...] Read more.
Cold-climate urban neighborhoods face mounting energy and thermal risks from extreme weather and power outages, creating trade-offs between different resilience capacities and objectives. This study develops a scalable, data-driven decision-making tool to support early-stage prioritization of resilience strategies at both the building component and neighborhood levels. A database of 48 active and passive strategies was systematically linked to 14 resilience objectives, reflecting energy- and thermally oriented capacities. Each strategy–objective pair was qualitatively assessed through a literature review and translated into probability distributions. Monte Carlo simulations (10,000 iterations) were performed to generate possible outcomes and several scores were calculated. Comparative scenario analysis—spanning holistic, short-term, long-term, energy-oriented, and thermally oriented perspectives—highlighted distinct adoption patterns. Active energy strategies, such as ESS, decentralized RES, microgrids, and CHP, consistently achieved the highest adoption (A) scores across levels and scenarios. Several passive measures, including green roofs, natural ventilation with passive heat recovery, and responsive glazing, also demonstrated strong multi-objective performance and outage resilience. A case study application integrated stakeholder-specific objective weightings, revealing convergent strategies suitable for immediate adoption and divergent ones requiring negotiation. This tool provides an adaptable probabilistic foundation for evaluating resilience strategies under uncertainty. Full article
Show Figures

Figure 1

20 pages, 643 KB  
Article
Improving Physical Layer Security for Multi-Hop Transmissions in Underlay Cognitive Radio Networks with Various Eavesdropping Attacks
by Kyusung Shim and Beongku An
Electronics 2025, 14(19), 3867; https://doi.org/10.3390/electronics14193867 - 29 Sep 2025
Viewed by 467
Abstract
This paper investigates physical layer security (PHY-security) for multi-hop transmission in underlay cognitive radio networks under various eavesdropping attacks. To enhance secrecy performance, we propose two opportunistic scheduling schemes. The first scheme, called the minimal node selection (MNS) scheme, selects the node in [...] Read more.
This paper investigates physical layer security (PHY-security) for multi-hop transmission in underlay cognitive radio networks under various eavesdropping attacks. To enhance secrecy performance, we propose two opportunistic scheduling schemes. The first scheme, called the minimal node selection (MNS) scheme, selects the node in each cluster that minimizes the eavesdropper’s channel capacity. The second scheme, named the optimal node selection (ONS) scheme, chooses the node that maximizes secrecy capacity by using both the main and eavesdropper channel information. To reveal the relationship between network parameters and secrecy performance, we derive closed-form expressions for the secrecy outage probability (SOP) under different scheduling schemes and eavesdropping scenarios. Numerical results show that the ONS scheme provides the most robust secrecy performance among the considered schemes. Furthermore, we analyze the impact of key network parameters on secrecy performance. In detail, although the proposed ONS scheme requires more channel information than the MNS scheme, under a 20 dB interference threshold, the secrecy performance of the ONS scheme is 15% more robust than that of the MNS scheme. Full article
(This article belongs to the Section Networks)
Show Figures

Figure 1

22 pages, 3550 KB  
Article
Empirical Assessment of Passive Thermal Resilience in Buildings with Varying Heat Storage Capacity During Heatwaves and Power Outages
by Marta Gortych, Anna Staszczuk and Tadeusz Kuczyński
Energies 2025, 18(18), 4871; https://doi.org/10.3390/en18184871 - 13 Sep 2025
Cited by 2 | Viewed by 1319
Abstract
This study evaluates the passive thermal resilience of two full-scale residential buildings during natural summer heatwaves and blackout-like conditions in a temperate European climate. The buildings share identical geometry and ventilation but differ in envelope mass and ground coupling. Building B1 is a [...] Read more.
This study evaluates the passive thermal resilience of two full-scale residential buildings during natural summer heatwaves and blackout-like conditions in a temperate European climate. The buildings share identical geometry and ventilation but differ in envelope mass and ground coupling. Building B1 is a masonry structure with a slab-on-ground floor, while B2 is a lightweight timber-frame house. In 2019, B1 underwent a retrofit in which floor insulation was removed to enable direct subsoil heat exchange. Three complementary frameworks were applied: model IOD, AWD, OEF, the indicators AF and αIOD, and the health-based scenario rating HE, HIHH, and WBGT. Across all metrics, B1 demonstrated superior resilience, with overheating fully eliminated after ground coupling was introduced. B2, in contrast, remained vulnerable under both moderate and extreme events. The findings highlight the critical role of thermal mass and soil buffering in maintaining safe indoor conditions without active systems. Under certain circumstances, omitting under-slab insulation can improve summer resilience without significantly compromising winter performance. A companion life-cycle analysis confirms lower cumulative carbon emissions for B1 under all SSP scenarios to 2100. Passive ground coupling thus emerges as a low-cost, maintenance-free adaptation strategy with co-benefits for mitigation and occupant safety. Full article
Show Figures

Figure 1

25 pages, 2747 KB  
Article
A Dynamic Information-Theoretic Network Model for Systemic Risk Assessment with an Application to China’s Maritime Sector
by Lin Xiao, Arash Sioofy Khoojine, Hao Chen and Congyin Wang
Mathematics 2025, 13(18), 2959; https://doi.org/10.3390/math13182959 - 12 Sep 2025
Viewed by 869
Abstract
This paper develops a dynamic information-theoretic network framework to quantify systemic risk in China’s maritime–commodity nexus with a focus on the Yangtze River Basin using eight monthly indicators, CCFI, CBCFI, BDI, YRCFI, GAUP, MPCT, CPUS, and ASMC. We resample, impute, standardize, and difference [...] Read more.
This paper develops a dynamic information-theoretic network framework to quantify systemic risk in China’s maritime–commodity nexus with a focus on the Yangtze River Basin using eight monthly indicators, CCFI, CBCFI, BDI, YRCFI, GAUP, MPCT, CPUS, and ASMC. We resample, impute, standardize, and difference series to achieve stationary time series. Nonlinear interdependencies are estimated via KSG mutual information (MI) within sliding windows; networks are filtered using the Planar Maximally Filtered Graph (PMFG) with bootstrap edge validation (95th percentile) and benchmarked against the MST. Average MI indicates moderate yet heterogeneous dependence (about 0.13–0.17), revealing a container/port core (CCFI–YRCFI–MPCT), a bulk/energy spine (BDI–CPUS), and commodity bridges via GAUP. Dynamic PMFG metrics show a generally resilient but episodically vulnerable structure: density and compactness decline in turbulence. Stress tests demonstrate high redundancy to diffuse link failures (connectivity largely intact until ∼70–80% edge removal) but pronounced sensitivity of diffusion capacity to targeted multi-node outages. Early-warning indicators based on entropy rate and percolation threshold Z-scores flag recurring windows of elevated fragility; change point detection evaluation of both metrics isolates clustered regime shifts (2015–2016, 2018–2019, 2021–2022, and late 2023–2024). A Systemic Importance Index (SII) combining average centrality and removal impact ranks MPCT and CCFI as most critical, followed by BDI, with GAUP/CPUS mid-peripheral and ASMC peripheral. The findings imply that safeguarding port throughput and stabilizing container freight conditions deliver the greatest resilience gains, while monitoring bulk/energy linkages is essential when macro shocks synchronize across markets. Full article
(This article belongs to the Section E: Applied Mathematics)
Show Figures

Figure 1

26 pages, 2695 KB  
Article
TSN-Interworked Deterministic Transmission over WLAN
by Woojin Ahn
Sensors 2025, 25(18), 5660; https://doi.org/10.3390/s25185660 - 11 Sep 2025
Viewed by 1039
Abstract
Many Time-Sensitive Networking (TSN) workloads require deterministic service across heterogeneous links, yet commodity WLANs are contention-based. Although IEEE 802.11be introduced Restricted Target Wake Time (r-TWT) for prioritized access, its ability to robustly guarantee determinism in mixed deployments with legacy devices remains unverified. We [...] Read more.
Many Time-Sensitive Networking (TSN) workloads require deterministic service across heterogeneous links, yet commodity WLANs are contention-based. Although IEEE 802.11be introduced Restricted Target Wake Time (r-TWT) for prioritized access, its ability to robustly guarantee determinism in mixed deployments with legacy devices remains unverified. We propose a standards-aligned scheme that composes r-TWT, Quiet Time Period (QTP), and an optional Randomized Enqueue (RE) policy. These three mechanisms act in concert to protect the Scheduled Traffic (ST) service period (SP) while minimizing the impact on Non-Scheduled Traffic (NST). To analyze how the proposed scheme impacts existing WLANs, we focus the analysis on how the scheme reshapes the contention period (CP)—where opportunistic capacity is realized—by modeling SP/CP timing with renewal theory and embedding it into an EDCA Markov chain. Simulation results confirm that the proposed scheme protects ST determinism: ST throughput remains pinned to the ceiling with zero observed outage and bounded delay across a wide range of station counts. The proposed scheme minimizes NST throughput degradation in the system-peak throughput range (8–12 stations). Full article
(This article belongs to the Section Sensor Networks)
Show Figures

Figure 1

22 pages, 10816 KB  
Article
Research on the Security Scenario Simulation and Evolution Path of China’s Power System Based on the SWITCH-China Model
by Qin Wang, Lang Tang, Yuanzhe Zhu, Jincan Zeng, Xi Liu, Rongfeng Deng, Binghao He, Guori Huang, Minwei Liu and Peng Wang
Energies 2025, 18(18), 4806; https://doi.org/10.3390/en18184806 - 9 Sep 2025
Viewed by 840
Abstract
Accelerated climate warming has led to the frequent occurrence of extreme weather events, resulting in high-frequency, large-scale, and highly destructive power outages and electricity shortages, which serve as a wake-up call for the safe and stable operation of the power system. To predict [...] Read more.
Accelerated climate warming has led to the frequent occurrence of extreme weather events, resulting in high-frequency, large-scale, and highly destructive power outages and electricity shortages, which serve as a wake-up call for the safe and stable operation of the power system. To predict safety risks, this study constructs a baseline scenario and five power security scenarios based on the SWITCH-China model, systematically assessing the impact of external shocks on the power system’s evolution path and carbon reduction economics. The results indicate that external shocks are the key factors influencing the power system’s installed capacity structure and generation mix. The increase in demand forces the substitution of non-fossil energy. In the demand growth scenario, by 2060, wind and solar installed capacity will be 1.034 billion kilowatts higher than in the baseline scenario. Rising fuel costs will accelerate the exit of fossil fuel units. In the fuel cost increase scenario, 765 million kilowatts of coal power were reduced cumulatively across three time points. Wind and solar outages, along with transmission failures, lead to significant local economic investments while also causing inter-provincial carbon transfer. In the wind and solar outage scenario, provinces with a high proportion of wind and solar, such as Guangdong and Guizhou, see an increase in carbon emissions of 31 million tons and 8 million tons, respectively. Conversely, provinces with a lower proportion of wind and solar, such as Inner Mongolia and Xinjiang, reduce carbon emissions by 46 million tons and 39 million tons, respectively. Energy storage development supports the expansion of non-fossil energy in the power system. The study recommends accelerating wind and solar deployment, building a storage system at the scale of hundreds of billions of kilowatt-hours, and optimizing the inter-provincial transmission network to address the dual challenges of power security and carbon neutrality. Full article
(This article belongs to the Special Issue Planning, Operation, and Control of New Power Systems: 2nd Edition)
Show Figures

Figure 1

21 pages, 807 KB  
Article
Enhanced Renewable Energy Integration: A Comprehensive Framework for Grid Planning and Hybrid Power Plant Allocation
by Mahmoud Taheri, Abbas Rabiee and Innocent Kamwa
Energies 2025, 18(17), 4561; https://doi.org/10.3390/en18174561 - 28 Aug 2025
Viewed by 924
Abstract
Renewable energy sources play a crucial role in the urgent global pursuit of decarbonizing electricity systems. However, persistent grid congestion and lengthy planning approval processes remain the main barriers to the accelerated deployment of new green energy source capacities. Capitalizing on the synergies [...] Read more.
Renewable energy sources play a crucial role in the urgent global pursuit of decarbonizing electricity systems. However, persistent grid congestion and lengthy planning approval processes remain the main barriers to the accelerated deployment of new green energy source capacities. Capitalizing on the synergies afforded by co-locating hybrid power plants—particularly those that harness temporally anti-correlated renewable sources such as wind and solar—behind a unified connection point presents a compelling opportunity. To this end, this paper pioneers a comprehensive planning framework for hybrid configurations, integrating transmission grid and renewable energy assets planning to include energy storage systems, wind, and solar energy capacities within a long-term planning horizon. A mixed-integer linear programming model is developed that considers both the technical and economic aspects of combined grid planning and hybrid power plant allocation. Additionally, the proposed framework incorporates the N − 1 contingency criterion, ensuring system reliability in the face of potential transmission line outages, thereby adding a layer of versatility and resilience to the approach. The model minimizes the net present value of costs, encompassing both capital and operational expenditures as well as curtailment costs. The efficacy of the proposed model is demonstrated through its implementation on the benchmark IEEE 24-bus RTS system, with findings underscoring the pivotal role of hybrid power plants in enabling cost-effective and rapid sustainable energy integration. Full article
Show Figures

Figure 1

Back to TopTop