A Data-Driven Decision-Making Tool for Prioritizing Resilience Strategies in Cold-Climate Urban Neighborhoods
Abstract
1. Introduction
2. Materials and Methods
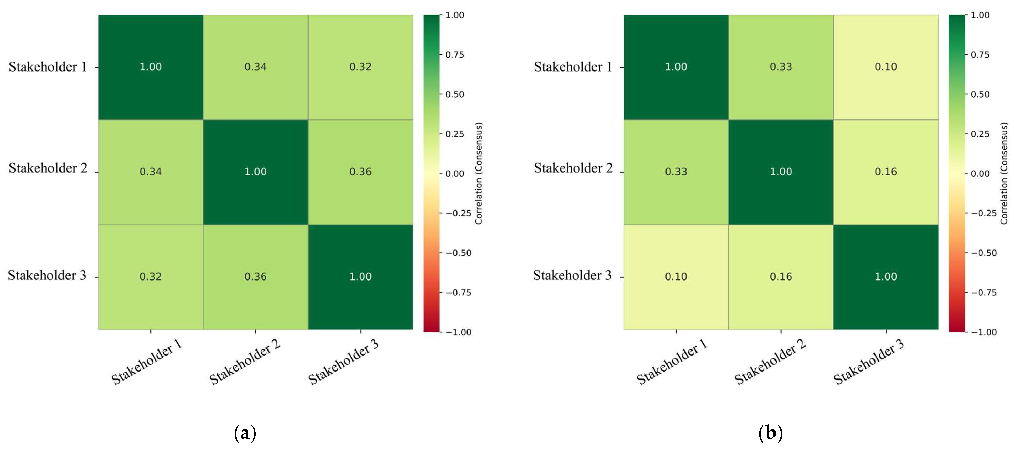
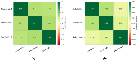
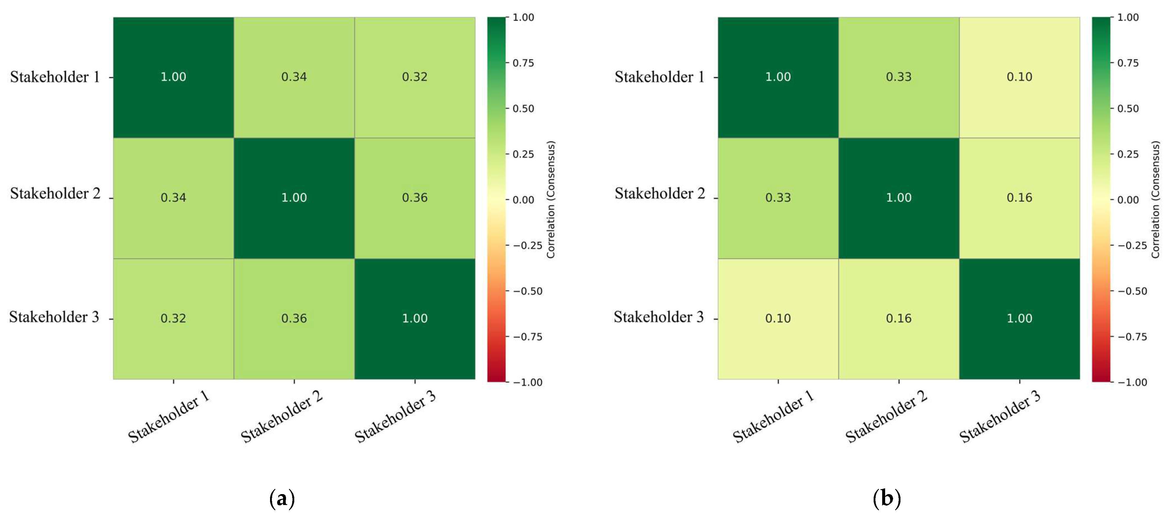
- Stakeholder Identification and Objectives: Three representative stakeholders were assumed with distinct priorities reflecting typical urban planning contexts (Figure 9).
- Objective Weighting Using Ranked Order Centroid (ROC): The ranked objectives were then converted into numerical weights using the Ranked Order Centroid (ROC) method. This approach assigns decreasing weights from the most to the least important objective while ensuring the total sum of weights equals one for each stakeholder. ROC provides a simple yet effective method to incorporate ordinal preferences into quantitative analysis, particularly suitable when precise utility values are unavailable. The weight for an objective at rank i () is calculated by Equation (10):
- Probabilistic Simulations: Monte Carlo simulations were performed to account for uncertainty in the strategy’s potential impact on each objective for each stakeholder.
- Calculating Scores: Scores were calculated while taking the objectives’ weights into account. TIP is normalized by weighted equal sum, producing the Weighted Impact Potential (WIP), an equivalent to AIP score, through Equation (11):
3. Results
3.1. Holistic Scenario
3.2. Long-Term vs. Short-Term Scenarios
3.3. Energy Oriented vs. Thermally Oriented Scenarios
3.4. Coefficient of Variation for Total Impact Potential (TIP) Scores
3.5. Worst, Mean, and Best Cases
3.6. Hypothetical Case Study
4. Discussion
4.1. Holistic Scenario
4.2. Long-Term vs. Short-Term Scenarios
4.3. Energy Oriented vs. Thermally Oriented Scenarios
4.4. Coefficient of Variation for Total Impact Potential (TIP) Scores
4.5. Worst, Mean and Best Cases
4.6. Hypothetical Case Study
4.7. Insights, Limitations and Future Works
5. Conclusions
Author Contributions
Funding
Data Availability Statement
Conflicts of Interest
Abbreviations
| α | Alpha |
| β | Beta |
| A | Adoption Score |
| AIP | Average Impact Potential |
| BR | Breadth Reward score |
| CHP | combined heat and power |
| CoV | coefficient of variation |
| ESS | energy storage systems |
| κ | Concentration of a probability distribution function |
| μ | mean |
| MCS | Monte Carlo simulations |
| PCM | phase changing materials |
| PIᵢ | probability of impact score for each objective i (PIᵢ) |
| RES | renewable energy systems |
| TABS | thermally activated building structures |
| TIP | Total Impact Potential |
| WIP | Weighted impact potential |
| WWR | window-to-wall ratio |
Appendix A
References
- Zhang, X.; Flato, G.; Kirchmeier-Young, M.; Vincent, L.; Wan, H.; Wang, X.; Rong, R.; Fyfe, J.; Li, G.; Kharin, V.V. Chapter 4: Changes in Temperature and Precipitation Across Canada. In Canada’s Changing Climate Report; Government of Canada: Ottawa, ON, Canada, 2019; Volume 13. [Google Scholar]
- Surviving the Heat: The Impacts of the 2021 Western Heat Dome in Canada. Available online: https://science.gc.ca/site/science/en/blogs/science-health/surviving-heat-impacts-2021-western-heat-dome-canada (accessed on 11 August 2025).
- Chang, S.E.; McDaniels, T.L.; Mikawoz, J.; Peterson, K. Infrastructure Failure Interdependencies in Extreme Events: Power Outage Consequences in the 1998 Ice Storm. Nat. Hazards 2007, 41, 337–358. [Google Scholar] [CrossRef]
- Rajaram, N.; Hohenadel, K.; Gattoni, L.; Khan, Y.; Birk-Urovitz, E.; Li, L.; Schwartz, B. Assessing Health Impacts of the December 2013 Ice Storm in Ontario, Canada. BMC Public Health 2016, 16, 544. [Google Scholar] [CrossRef]
- Daley, W.R.; Smith, A.; Paz-Argandona, E.; Malilay, J.; McGeehin, M. An Outbreak of Carbon Monoxide Poisoning after a Major Ice Storm in Maine. J. Emerg. Med. 2000, 18, 87–93. [Google Scholar] [CrossRef] [PubMed]
- Zuo, J.; Pullen, S.; Palmer, J.; Bennetts, H.; Chileshe, N.; Ma, T. Impacts of Heat Waves and Corresponding Measures: A Review. J. Clean. Prod. 2015, 92, 1–12. [Google Scholar] [CrossRef]
- Thériault, J.M.; McFadden, V.; Thompson, H.D.; Cholette, M. Meteorological Factors Responsible for Major Power Outages during a Severe Freezing Rain Storm over Eastern Canada. J. Appl. Meteorol. Climatol. 2022, 61, 1239–1255. [Google Scholar] [CrossRef]
- Hachem-Vermette, C.; Yadav, S. Impact of Power Interruption on Buildings and Neighborhoods and Potential Technical and Design Adaptation Methods. Sustainability 2023, 15, 15299. [Google Scholar] [CrossRef]
- Casey, J.A.; Fukurai, M.; Hernández, D.; Balsari, S.; Kiang, M.V. Power Outages and Community Health: A Narrative Review. Curr. Environ. Health Rep. 2020, 7, 371–383. [Google Scholar] [CrossRef]
- Lebel, G.; Marjolaine, D.; Bustinza, R. Surveillance des Impacts des Vagues de Chaleur Extrême sur la Santé au Québec à l’Été 2018; Institut National de Santé Publique Du Québec: Québec, QC, Canada, 2018. [Google Scholar]
- Deb, A.; Sultana, H. Urban Resilience: Assessment of Performance and Science Mapping from a Climate Change Perspective. Sustain. Environ. 2024, 10, 2388936. [Google Scholar] [CrossRef]
- Wang, L. Exploring a Knowledge Map for Urban Resilience to Climate Change. Cities 2022, 131, 104048. [Google Scholar] [CrossRef]
- Baniassadi, A.; Sailor, D.J.; Scott Krayenhoff, E.; Broadbent, A.M.; Georgescu, M. Passive Survivability of Buildings under Changing Urban Climates across Eight US Cities. Environ. Res. Lett. 2019, 14, 074028. [Google Scholar] [CrossRef]
- Wilson, A. Passive Survivability: Understanding and Quantifying the Thermal Habitability of Buildings during Power Outages. In Climate Adaptation and Resilience Across Scales; Taylor Francis Group: Abingdon, UK, 2021; pp. 141–152. [Google Scholar]
- Ji, L.; Shu, C.; Gaur, A.; Wang, L.; Lacasse, M. A State-of-the-Art Review of Studies on Urban Green Infrastructure for Thermal Resilient Communities. Build. Environ. 2024, 257, 111524. [Google Scholar] [CrossRef]
- Hachem-Vermette, C.; Singh, K. Role of Neighbourhood Spatial and Energy Design in Reducing Energy Vulnerability during Power Disruption. Renew. Sustain. Energy Rev. 2023, 183, 113519. [Google Scholar] [CrossRef]
- Andersson, E.; Grimm, N.B.; Lewis, J.A.; Redman, C.L.; Barthel, S.; Colding, J.; Elmqvist, T. Urban Climate Resilience through Hybrid Infrastructure. Curr. Opin. Environ. Sustain. 2022, 55, 101158. [Google Scholar] [CrossRef]
- Ribeiro, D.; Mackres, E.; Baatz, B.; Cluett, R.; Jarrett, M.; Kelly, M.; Vaidyanathan, S. Enhancing Community Resilience through Energy Efficiency; American Council for an Energy-Efficient Economy (ACEEE): Washington, DC, USA, 2015. [Google Scholar]
- Zeng, X.; Yu, Y.; Yang, S.; Lv, Y.; Sarker, M.N.I. Urban Resilience for Urban Sustainability: Concepts, Dimensions, and Perspectives. Sustainability 2022, 14, 2481. [Google Scholar] [CrossRef]
- Castañeda, N.R.; Pineda-Pinto, M.; Gulsrud, N.M.; Cooper, C.; O’Donnell, M.; Collier, M. Exploring the Restorative Capacity of Urban Green Spaces and Their Biodiversity through an Adapted One Health Approach: A Scoping Review. Urban. For. Urban. Green. 2024, 100, 128489. [Google Scholar] [CrossRef]
- Wolfram, M.; Borgström, S.; Farrelly, M. Urban Transformative Capacity: From Concept to Practice. Ambio 2019, 48, 437–448. [Google Scholar] [CrossRef]
- Zhang, J.; Zhang, M.; Li, G. Multi-Stage Composition of Urban Resilience and the Influence of Pre-Disaster Urban Functionality on Urban Resilience. Nat. Hazards 2021, 107, 447–473. [Google Scholar] [CrossRef]
- Sheng, M.; Reiner, M.; Sun, K.; Hong, T. Assessing Thermal Resilience of an Assisted Living Facility during Heat Waves and Cold Snaps with Power Outages. Build. Environ. 2023, 230, 110001. [Google Scholar] [CrossRef]
- Gaarder, J.E.; Friis, N.K.; Larsen, I.S.; Time, B.; Møller, E.B.; Kvande, T. Optimization of Thermal Insulation Thickness Pertaining to Embodied and Operational GHG Emissions in Cold Climates—Future and Present Cases. Build. Environ. 2023, 234, 110187. [Google Scholar] [CrossRef]
- Oladipo, Y.G. Evaluating Overheating Preventative Measures in Residential Buildings and Passive Survivability. Master’s Thesis, Massachusetts Institute of Technology, Cambridge, MA, USA, 2021. Available online: https://hdl.handle.net/1721.1/139224 (accessed on 11 August 2025).
- Calama-González, C.M.; Escandón, R.; Alonso, A.; Suárez, R.; León-Rodríguez, Á.L.; Sánchez-Ostiz Gutiérrez, A.; Arriazu-Ramos, A.; Monge-Barrio, A. Thermal Insulation Impact on Overheating Vulnerability Reduction in Mediterranean Dwellings. Heliyon 2023, 9, e16102. [Google Scholar] [CrossRef]
- Schnidrig, J.; Chuat, A.; Terrier, C.; Maréchal, F.; Margni, M. Power to the People: On the Role of Districts in Decentralized Energy Systems. Energies 2024, 17, 1718. [Google Scholar] [CrossRef]
- Huang, W.; Zhang, X.; Li, K.; Zhang, N.; Strbac, G.; Kang, C. Resilience Oriented Planning of Urban Multi-Energy Systems with Generalized Energy Storage Sources. IEEE Trans. Power Syst. 2022, 37, 2906–2918. [Google Scholar] [CrossRef]
- Charani Shandiz, S.; Foliente, G.; Rismanchi, B.; Wachtel, A.; Jeffers, R.F. Resilience Framework and Metrics for Energy Master Planning of Communities. Energy 2020, 203, 117856. [Google Scholar] [CrossRef]
- Jeffers, R.; Wachtel, A.M.; Zhivov, A.M.; Thompson, C.B.; Srivastava, A.; Daniels, P.W. Integration of Resilience Goals into Energy Master Planning Framework for Communities. In Proceedings of the ASHRAE Transactions—2020 Winter Conference, Orlando, FL, USA, 1–5 February 2020. [Google Scholar]
- Irmak, M.A.; Yilmaz, S.; Mutlu, E.; Yilmaz, H. Analysis of Different Urban Spaces on Thermal Comfort in Cold Regions: A Case from Erzurum. Theor. Appl. Climatol. 2020, 141, 1593–1609. [Google Scholar] [CrossRef]
- Andenæs, E.; Kvande, T.; Muthanna, T.M.; Lohne, J. Performance of Blue-Green Roofs in Cold Climates: A Scoping Review. Buildings 2018, 8, 55. [Google Scholar] [CrossRef]
- Xing, Q.; Hao, X.; Lin, Y.; Tan, H.; Yang, K. Experimental Investigation on the Thermal Performance of a Vertical Greening System with Green Roof in Wet and Cold Climates during Winter. Energy Build. 2019, 183, 105–117. [Google Scholar] [CrossRef]
- Mehmood, A. Of Resilient Places: Planning for Urban Resilience. Eur. Plan. Stud. 2016, 24, 407–419. [Google Scholar] [CrossRef]
- Gaur, A.S.; Fitiwi, D.Z.; Curtis, J. Heat Pumps and Our Low-Carbon Future: A Comprehensive Review. Energy Res. Soc. Sci. 2021, 71, 101764. [Google Scholar] [CrossRef]
- Mahmoud, M.; Ramadan, M.; Naher, S.; Pullen, K.; Baroutaji, A.; Olabi, A.G. Recent Advances in District Energy Systems: A Review. Therm. Sci. Eng. Prog. 2020, 20, 100678. [Google Scholar] [CrossRef]
- Sharifi, A. Trade-Offs and Conflicts between Urban Climate Change Mitigation and Adaptation Measures: A Literature Review. J. Clean. Prod. 2020, 276, 122813. [Google Scholar] [CrossRef]
- Sharifi, A. Co-Benefits and Synergies between Urban Climate Change Mitigation and Adaptation Measures: A Literature Review. Sci. Total Environ. 2021, 750, 141642. [Google Scholar] [CrossRef]
- Meerow, S.; Newell, J.P.; Stults, M. Defining Urban Resilience: A Review. Landsc. Urban. Plan. 2016, 147, 38–49. [Google Scholar] [CrossRef]
- Sharifi, A.; Chelleri, L.; Fox-Lent, C.; Grafakos, S.; Pathak, M.; Olazabal, M.; Moloney, S.; Yumagulova, L.; Yamagata, Y. Conceptualizing Dimensions and Characteristics of Urban Resilience: Insights from a Co-Design Process. Sustainability 2017, 9, 1032. [Google Scholar] [CrossRef]
- Grewal, K.S.; Hachem-Vermette, C.; Yadav, S. Decision-Making Method to Prioritize and Implement Solar Strategies on Neighborhood Level. Energy Rep. 2024, 12, 2062–2076. [Google Scholar] [CrossRef]
- Brown, C.; Shaker, R.R.; Das, R. A Review of Approaches for Monitoring and Evaluation of Urban Climate Resilience Initiatives. Environ. Dev. Sustain. 2018, 20, 23–40. [Google Scholar] [CrossRef]
- Dianat, H.; Wilkinson, S.; Williams, P.; Khatibi, H. Choosing a Holistic Urban Resilience Assessment Tool. Int. J. Disaster Risk Reduct. 2022, 71, 102789. [Google Scholar] [CrossRef]
- Berbés-Blázquez, M.; Cook, E.M.; Grimm, N.B.; Iwaniec, D.M.; Mannetti, L.M.; Muñoz-Erickson, T.A.; Wahl, D. Assessing Resilience, Equity, and Sustainability of Future Visions across Two Urban Scales. Sustain. Sci. 2023, 18, 2549–2566. [Google Scholar] [CrossRef]
- Shamsipour, A.; Jahanshahi, S.; Mousavi, S.S.; Shoja, F.; Ansari Golenji, R.; Tayebi, S.; Alavi, S.A.; Sharifi, A. Assessing and Mapping Urban Ecological Resilience Using the Loss-Gain Approach: A Case Study of Tehran, Iran. Sustain. Cities Soc. 2024, 103, 105252. [Google Scholar] [CrossRef]
- Wang, L.; Xue, X.; Wang, Z.; Zhang, L. A Unified Assessment Approach for Urban Infrastructure Sustainability and Resilience. Adv. Civ. Eng. 2018, 2018, 2073968. [Google Scholar] [CrossRef]
- Reitberger, R.; Palm, N.; Palm, H.; Lang, W. Urban Systems Exploration: A Generic Process for Multi-Objective Urban Planning to Support Decision Making in Early Design Phases. Build. Environ. 2024, 254, 111360. [Google Scholar] [CrossRef]
- Hopfe, C.J.; McLeod, R.S. Enhancing Resilient Community Decision-Making Using Building Performance Simulation. Build. Environ. 2021, 188, 107398. [Google Scholar] [CrossRef]
- Bretagnolle, A.; Daudé, É.; Pumain, D. From Theory to Modelling: Urban Systems as Complex Systems. In Proceedings of the 13th European Colloquium on Theoretical and Quantitative Geography, Lucca, Italy, 5–9 September 2003. [Google Scholar] [CrossRef]
- Büyüközkan, G.; Ilıcak, Ö.; Feyzioğlu, O. A Review of Urban Resilience Literature. Sustain. Cities Soc. 2022, 77, 103579. [Google Scholar] [CrossRef]
- Carramiñana, D.; Bernardos, A.M.; Besada, J.A.; Casar, J.R. Towards Resilient Cities: A Hybrid Simulation Framework for Risk Mitigation through Data-Driven Decision Making. Simul. Model. Pract. Theory 2024, 133, 102924. [Google Scholar] [CrossRef]
- Bozza, A.; Asprone, D.; Manfredi, G. Developing an Integrated Framework to Quantify Resilience of Urban Systems against Disasters. Nat. Hazards 2015, 78, 1729–1748. [Google Scholar] [CrossRef]
- Salomon, J.; Broggi, M.; Kruse, S.; Weber, S.; Beer, M. Resilience Decision-Making for Complex Systems. ASME J. Risk Uncertainty Part B 2020, 6, 020901. [Google Scholar] [CrossRef]
- Nozhati, S. A Resilience-Based Framework for Decision Making Based on Simulation-Optimization Approach. Struct. Saf. 2021, 89, 102032. [Google Scholar] [CrossRef]
- Govindan, R.; Al-Ansari, T. Computational Decision Framework for Enhancing Resilience of the Energy, Water and Food Nexus in Risky Environments. Renew. Sustain. Energy Rev. 2019, 112, 653–668. [Google Scholar] [CrossRef]
- Datola, G. Implementing Urban Resilience in Urban Planning: A Comprehensive Framework for Urban Resilience Evaluation. Sustain. Cities Soc. 2023, 98, 104821. [Google Scholar] [CrossRef]
- Ribeiro, B.; Bailey, T. Indicators for Local Energy Resilience; ACEEE: Washington, DC, USA, 2017. [Google Scholar]
- Mutani, G.; Todeschi, V. Energy Resilience, Vulnerability and Risk in Urban Spaces. J. Sustain. Dev. Energy Water Environ. Syst. 2018, 6, 694–709. [Google Scholar] [CrossRef]
- Buckley, N.; Mills, G.; Letellier-Duchesne, S.; Benis, K. Designing an Energy-Resilient Neighbourhood Using an Urban Building Energy Model. Energies 2021, 14, 4445. [Google Scholar] [CrossRef]
- Sharifi, A.; Yamagata, Y. A Conceptual Framework for Assessment of Urban Energy Resilience. Energy Procedia 2015, 75, 2904–2909. [Google Scholar] [CrossRef]
- Dursun, D.; Yavas, M. Climate-Sensitive Urban Design in Cold Climate Zone: The City of Erzurum, Turkey. Int. Rev. Spat. Plan. Sustain. Dev. 2015, 3, 17–38. [Google Scholar] [CrossRef][Green Version]
- ur Rehman, H.; Hamdy, M.; Hasan, A. Towards Extensive Definition and Planning of Energy Resilience in Buildings in Cold Climate. Buildings 2024, 14, 1453. [Google Scholar] [CrossRef]
- Singh, K.; Hachem-Vermette, C. Techniques of Improving Infrastructure and Energy Resilience in Urban Setting. Energies 2022, 15, 6253. [Google Scholar] [CrossRef]
- Shandiz, S.C.; Rismanchi, B.; Foliente, G.; Aye, L. A Model for Energy Master Planning and Resilience Assessment of Net-Zero Emissions Community. Sustain. Resilient Infrastruct. 2023, 8, 375–399. [Google Scholar] [CrossRef]
- Nik, V.M.; Perera, A.T.D.; Chen, D. Towards Climate Resilient Urban Energy Systems: A Review. Natl Sci Rev 2021, 8, nwaa134. [Google Scholar] [CrossRef] [PubMed]
- Erker, S.; Stangl, R.; Stoeglehner, G. Resilience in the Light of Energy Crises—Part I: A Framework to Conceptualise Regional Energy Resilience. J. Clean. Prod. 2017, 164, 420–433. [Google Scholar] [CrossRef]
- Keith, L.; Meerow, S. Planning for Urban Heat Resilience; Planning Advisory Services Report 600; American Planning Association: Chicago, IL, USA, 2022; ISBN 978-1-61190-208-2. [Google Scholar]
- Leal Filho, W.; Echevarria Icaza, L.; Neht, A.; Klavins, M.; Morgan, E.A. Coping with the Impacts of Urban Heat Islands. A Literature Based Study on Understanding Urban Heat Vulnerability and the Need for Resilience in Cities in a Global Climate Change Context. J. Clean. Prod. 2018, 171, 1140–1149. [Google Scholar] [CrossRef]
- Rempel, A.R.; Danis, J.; Rempel, A.W.; Fowler, M.; Mishra, S. Improving the Passive Survivability of Residential Buildings during Extreme Heat Events in the Pacific Northwest. Appl. Energy 2022, 321, 119323. [Google Scholar] [CrossRef]
- Wang, R.; Lu, S.; Zhai, X.; Feng, W. The Energy Performance and Passive Survivability of High Thermal Insulation Buildings in Future Climate Scenarios. Build. Simul. 2022, 15, 1209–1225. [Google Scholar] [CrossRef]
- Gatto, A.; Drago, C. A Taxonomy of Energy Resilience. Energy Policy 2020, 136, 111007. [Google Scholar] [CrossRef]
- Depecker, P.; Menezo, C.; Virgone, J.; Lepers, S. Design of Buildings Shape and Energetic Consumption. Build. Environ. 2001, 36, 627–635. [Google Scholar] [CrossRef]
- Hadavi, M.; Pasdarshahri, H. Investigating Effects of Urban Configuration and Density on Urban Climate and Building Systems Energy Consumption. J. Build. Eng. 2021, 44, 102710. [Google Scholar] [CrossRef]
- Strømann-Andersen, J.; Sattrup, P.A. The Urban Canyon and Building Energy Use: Urban Density versus Daylight and Passive Solar Gains. Energy Build. 2011, 43, 2011–2020. [Google Scholar] [CrossRef]
- Liu, X.; Liu, Z.; Wu, Y.; Hu, S.; Bu, F.; An, J.; Zhou, X.; Yan, D. A Novel Quantitative Method of Heatwave Classification for Building Resilience Analysis. Sustain. Cities Soc. 2024, 112, 105603. [Google Scholar] [CrossRef]
- Azimi, Z.; Shafaat, A. Proposing Design Strategies for Contemporary Courtyards Based on Thermal Comfort in Cold and Semi-Arid Climate Zones. Build. Environ. 2024, 266, 112150. [Google Scholar] [CrossRef]
- Sayadi, S.; Hayati, A.; Salmanzadeh, M. Optimization of Window-to-Wall Ratio for Buildings Located in Different Climates: An IDA-Indoor Climate and Energy Simulation Study. Energies 2021, 14, 1974. [Google Scholar] [CrossRef]
- Tian, Z.; Zhang, S.; Deng, J.; Hrynyszyn, B.D. Evaluation on Overheating Risk of a Typical Norwegian Residential Building under Future Extreme Weather Conditions. Energies 2020, 13, 658. [Google Scholar] [CrossRef]
- Alsehail, A.; Almhafdy, A. The Effect of Window-to-Wall Ratio (WWR) and Window Orientation (WO) on the Thermal Performance: A Preliminary Overview. Environ.-Behav. Proc. J. 2020, 5, 165–173. [Google Scholar] [CrossRef]
- Duraković, B. Passive Solar Heating/Cooling Strategies. In PCM-Based Building Envelope Systems: Innovative Energy Solutions for Passive Design; Springer: Cham, Switzerland, 2020; pp. 39–62. [Google Scholar] [CrossRef]
- Mussard, M. Solar Energy under Cold Climatic Conditions: A Review. Renew. Sustain. Energy Rev. 2017, 74, 733–745. [Google Scholar] [CrossRef]
- Pourghorban, A.; Asoodeh, H. The Impacts of Advanced Glazing Units on Annual Performance of the Trombe Wall Systems in Cold Climates. Sustain. Energy Technol. Assess. 2022, 51, 101983. [Google Scholar] [CrossRef]
- Ozel, M. Thermal, Economical and Environmental Analysis of Insulated Building Walls in a Cold Climate. Energy Convers. Manag. 2013, 76, 674–684. [Google Scholar] [CrossRef]
- White, L.M.; Wright, G.S. Assessing Resiliency and Passive Survivability in Multifamily Buildings. In Proceedings of the 2020 Building Performance Analysis Conference and SimBuild co-organized by ASHRAE and IBPSA-USA, Chicago, IL, USA, 29 September–1 October 2022; Volume 9, pp. 144–155. [Google Scholar]
- Prozuments, A.; Borodinecs, A.; Bebre, G.; Bajare, D. A Review on Trombe Wall Technology Feasibility and Applications. Sustainability 2023, 15, 3914. [Google Scholar] [CrossRef]
- Sergei, K.; Shen, C.; Jiang, Y. A Review of the Current Work Potential of a Trombe Wall. Renew. Sustain. Energy Rev. 2020, 130, 109947. [Google Scholar] [CrossRef]
- Stazi, F.; Mastrucci, A.; di Perna, C. Trombe Wall Management in Summer Conditions: An Experimental Study. Solar Energy 2012, 86, 2839–2851. [Google Scholar] [CrossRef]
- Arntsen, T.A.; Hrynyszyn, B.D. Optimization of Window Design for Daylight and Thermal Comfort in Cold Climate Conditions. Energies 2021, 14, 8013. [Google Scholar] [CrossRef]
- Foroughi, R.; Asadi, S.; Khazaeli, S. On the Optimization of Energy Efficient Fenestration for Small Commercial Buildings in the United States. J. Clean. Prod. 2021, 283, 124604. [Google Scholar] [CrossRef]
- Singhal, G.; Devi, S.; Balaji, K.; Rajasekar, E.; Natarajan, S. Optimization of Building Form and Fenestration for Current and Future Climate Scenarios. In Proceedings of the Building Simulation 2019: 16th Conference of IBPSA, Rome, Italy, 2–4 September 2019; Volume 16, pp. 3046–3054. [Google Scholar]
- Fang, Y.; Cho, S. Design Optimization of Building Geometry and Fenestration for Daylighting and Energy Performance. Solar Energy 2019, 191, 7–18. [Google Scholar] [CrossRef]
- Liu, X.; Wu, Y. A Review of Advanced Architectural Glazing Technologies for Solar Energy Conversion and Intelligent Daylighting Control. Archit. Intell. 2022, 1, 10. [Google Scholar] [CrossRef]
- Rezaei, S.D.; Shannigrahi, S.; Ramakrishna, S. A Review of Conventional, Advanced, and Smart Glazing Technologies and Materials for Improving Indoor Environment. Sol. Energy Mater. Sol. Cells 2017, 159, 26–51. [Google Scholar] [CrossRef]
- Liu, M.; Wittchen, K.B.; Heiselberg, P.K. Control Strategies for Intelligent Glazed Façade and Their Influence on Energy and Comfort Performance of Office Buildings in Denmark. Appl. Energy 2015, 145, 43–51. [Google Scholar] [CrossRef]
- Qahtan, A.M.; Shaik, S.; Alwadai, Y.A.; Alhamami, S.; Alawlaki, A.S.; Alyami, M.H.; Kodati, J.A. Smart Glazing Systems vs Conventional Glazing: A Comprehensive Study on Temperature Control, Daylighting, and Sustainability. Int. J. Sustain. Dev. Plan. 2024, 19, 939–947. [Google Scholar] [CrossRef]
- Zhou, P.; Wang, H.; Li, F.; Dai, Y.; Huang, C. Development of Window Opening Models for Residential Building in Hot Summer and Cold Winter Climate Zone of China. Energy Built Environ. 2022, 3, 363–372. [Google Scholar] [CrossRef]
- Wu, H.; Zhang, T. Multi-Objective Optimization of Energy, Visual, and Thermal Performance for Building Envelopes in China’s Hot Summer and Cold Winter Climate Zone. J. Build. Eng. 2022, 59, 105034. [Google Scholar] [CrossRef]
- O’connor, D.; Calautit, J.K.S.; Hughes, B.R. A Review of Heat Recovery Technology for Passive Ventilation Applications. Renew. Sustain. Energy Rev. 2016, 54, 1481–1493. [Google Scholar] [CrossRef]
- Xu, Q.; Riffat, S.; Zhang, S. Review of Heat Recovery Technologies for Building Applications. Energies 2019, Vol. 12, Page 1285 2019, 12, 1285. [Google Scholar] [CrossRef]
- Calautit, J.K.; O’Connor, D.; Tien, P.W.; Wei, S.; Pantua, C.A.J.; Hughes, B. Development of a Natural Ventilation Windcatcher with Passive Heat Recovery Wheel for Mild-Cold Climates: CFD and Experimental Analysis. Renew. Energy 2020, 160, 465–482. [Google Scholar] [CrossRef]
- Lee, S.H.; Hong, T.; Le, M.; Medina, L.; Xu, Y.; Robinson, A.; Piette, M.A. Assessment of Energy and Thermal Resilience Performance to Inform Climate Mitigation of Multifamily Buildings in Disadvantaged Communities. Sustain. Cities Soc. 2024, 104, 105319. [Google Scholar] [CrossRef]
- Ji, L.; Shu, C.; Laouadi, A.; Lacasse, M.; Wang, L. (Leon) Quantifying Improvement of Building and Zone Level Thermal Resilience by Cooling Retrofits against Summertime Heat Events. Build. Environ. 2023, 229, 109914. [Google Scholar] [CrossRef]
- Bomberg, M.; Kisilewicz, T.; Nowak, K. Is There an Optimum Range of Airtightness for a Building? J. Build. Phys. 2016, 39, 395–421. [Google Scholar] [CrossRef]
- Sdei, A.; Mcevoy, M. The Effects of Insulation and Air-Tightness in Reducing the Overheating Risk of Retrofitted Social Housing. Environments 2016, 11, 13. [Google Scholar]
- Khalid, H.L.; Donn, M.; Merwood-Salisbury, J. Systematic Literature Review on the Barriers to Using Operable Windows for Passive Cooling. Adv. Build. Energy Res. 2025, 19, 419–466. [Google Scholar] [CrossRef]
- Mutani, G.; Todeschi, V.; Beltramino, S. Energy Consumption Models at Urban Scale to Measure Energy Resilience. Sustainability 2020, 12, 5678. [Google Scholar] [CrossRef]
- Carlos, J.S. The Impact of Thermal Mass on Cold and Hot Climate Zones of Portugal. Indoor Built Environ. 2017, 26, 733–743. [Google Scholar] [CrossRef]
- Akander, J.; Bakhtiari, H.; Ghadirzadeh, A.; Mattsson, M.; Hayati, A. Development of an AI Model Utilizing Buildings’ Thermal Mass to Optimize Heating Energy and Indoor Temperature in a Historical Building Located in a Cold Climate. Buildings 2024, 14, 1985. [Google Scholar] [CrossRef]
- Reilly, A.; Kinnane, O. The Impact of Thermal Mass on Building Energy Consumption. Appl. Energy 2017, 198, 108–121. [Google Scholar] [CrossRef]
- Touchaei, A.G.; Akbari, H. Evaluation of the Seasonal Effect of Increasing Albedo on Urban Climate and Energy Consumption of Buildings in Montreal. Urban. Clim. 2015, 14, 278–289. [Google Scholar] [CrossRef]
- Madessa, H.B. A Review of the Performance of Buildings Integrated with Phase Change Material: Opportunities for Application in Cold Climate. Energy Procedia 2014, 62, 318–328. [Google Scholar] [CrossRef]
- Zhou, Z.; Zhang, Z.; Zuo, J.; Huang, K.; Zhang, L. Phase Change Materials for Solar Thermal Energy Storage in Residential Buildings in Cold Climate. Renew. Sustain. Energy Rev. 2015, 48, 692–703. [Google Scholar] [CrossRef]
- Li, Z.; Chow, D.H.C.; Yao, J.; Zheng, X.; Zhao, W. The Effectiveness of Adding Horizontal Greening and Vertical Greening to Courtyard Areas of Existing Buildings in the Hot Summer Cold Winter Region of China: A Case Study for Ningbo. Energy Build. 2019, 196, 227–239. [Google Scholar] [CrossRef]
- Medl, A.; Stangl, R.; Florineth, F. Vertical Greening Systems—A Review on Recent Technologies and Research Advancement. Build. Environ. 2017, 125, 227–239. [Google Scholar] [CrossRef]
- Wang, P.; Wong, Y.H.; Tan, C.Y.; Li, S.; Chong, W.T. Vertical Greening Systems: Technological Benefits, Progresses and Prospects. Sustainability 2022, 14, 12997. [Google Scholar] [CrossRef]
- Pérez, G.; Coma, J.; Cabeza, L.F. Vertical Greening Systems to Enhance the Thermal Performance of Buildings and Outdoor Comfort. In Nature Based Strategies for Urban and Building Sustainability; Butterworth-Heinemann: Oxford, UK, 2018; pp. 99–108. [Google Scholar] [CrossRef]
- Tang, X.; Qu, M. Phase Change and Thermal Performance Analysis for Green Roofs in Cold Climates. Energy Build. 2016, 121, 165–175. [Google Scholar] [CrossRef]
- Jamei, E.; Chau, H.W.; Seyedmahmoudian, M.; Stojcevski, A. Review on the Cooling Potential of Green Roofs in Different Climates. Sci. Total Environ. 2021, 791, 148407. [Google Scholar] [CrossRef] [PubMed]
- Lönnqvist, J.; Blecken, G.T.; Viklander, M. Vegetation Cover and Plant Diversity on Cold Climate Green Roofs. J. Urban Ecol. 2021, 7. [Google Scholar] [CrossRef]
- Psomas, T.; Fiorentini, M.; Kokogiannakis, G.; Heiselberg, P. Ventilative Cooling through Automated Window Opening Control Systems to Address Thermal Discomfort Risk during the Summer Period: Framework, Simulation and Parametric Analysis. Energy Build. 2017, 153, 18–30. [Google Scholar] [CrossRef]
- Psomas, T.; Heiselberg, P.; Lyme, T.; Duer, K. Automated Roof Window Control System to Address Overheating on Renovated Houses: Summertime Assessment and Intercomparison. Energy Build. 2017, 138, 35–46. [Google Scholar] [CrossRef]
- Shum, C.; Zhong, L. A Review of Smart Solar Shading Systems and Their Applications: Opportunities in Cold Climate Zones. J. Build. Eng. 2023, 64, 105583. [Google Scholar] [CrossRef]
- Shum, C.; Zhong, L. Optimizing Automated Shading Systems for Enhanced Energy Performance in Cold Climate Zones: Strategies, Savings, and Comfort. Energy Build. 2023, 300, 113638. [Google Scholar] [CrossRef]
- Shafaghat, A.; Keyvanfar, A. Dynamic Façades Design Typologies, Technologies, Measurement Techniques, and Physical Performances across Thermal, Optical, Ventilation, and Electricity Generation Outlooks. Renew. Sustain. Energy Rev. 2022, 167, 112647. [Google Scholar] [CrossRef]
- Jones, P.; Hou, S.S.; Li, X. Towards Zero Carbon Design in Offices: Integrating Smart Facades, Ventilation, and Surface Heating and Cooling. Renew. Energy 2015, 73, 69–76. [Google Scholar] [CrossRef][Green Version]
- Chel, A.; Kaushik, G. Renewable Energy Technologies for Sustainable Development of Energy Efficient Building. Alexandria Eng. J. 2018, 57, 655–669. [Google Scholar] [CrossRef]
- Aljashaami, B.A.; Ali, B.M.; Salih, S.A.; Alwan, N.T.; Majeed, M.H.; Ali, O.M.; Alomar, O.R.; Velkin, V.I.; Shcheklein, S.E. Recent Improvements to Heating, Ventilation, and Cooling Technologies for Buildings Based on Renewable Energy to Achieve Zero-Energy Buildings: A Systematic Review. Results Eng. 2024, 23, 102769. [Google Scholar] [CrossRef]
- Noh, Y.; Jafarinejad, S.; Anand, P. A Review on Harnessing Renewable Energy Synergies for Achieving Urban Net-Zero Energy Buildings: Technologies, Performance Evaluation, Policies, Challenges, and Future Direction. Sustainability 2024, 16, 3444. [Google Scholar] [CrossRef]
- Niu, J.; Tian, Z.; Lu, Y.; Zhao, H. Flexible Dispatch of a Building Energy System Using Building Thermal Storage and Battery Energy Storage. Appl. Energy 2019, 243, 274–287. [Google Scholar] [CrossRef]
- Xu, Z.; Guan, X.; Jia, Q.S.; Wu, J.; Wang, D.; Chen, S. Performance Analysis and Comparison on Energy Storage Devices for Smart Building Energy Management. IEEE Trans. Smart Grid 2012, 3, 2136–2147. [Google Scholar] [CrossRef]
- Schindler, B.Y.; Blank, L.; Levy, S.; Kadas, G.; Pearlmutter, D.; Blaustein, L. Integration of Photovoltaic Panels and Green Roofs: Review and Predictions of Effects on Electricity Production and Plant Communities. Isr. J. Ecol. Evol. 2016, 62, 68–73. [Google Scholar] [CrossRef]
- Casini, M. Extended Reality for Smart Building Operation and Maintenance: A Review. Energies 2022, 15, 3785. [Google Scholar] [CrossRef]
- Villar-Ramos, M.M.; Hernández-Pérez, I.; Aguilar-Castro, K.M.; Zavala-Guillén, I.; Macias-Melo, E.V.; Hernández-López, I.; Serrano-Arellano, J. A Review of Thermally Activated Building Systems (TABS) as an Alternative for Improving the Indoor Environment of Buildings. Energies 2022, 15, 6179. [Google Scholar] [CrossRef]
- Gong, H.; Ione, D.M. Improving the Power Outage Resilience of Buildings with Solar PV through the Use of Battery Systems and EV Energy Storage. Energies 2021, 14, 5749. [Google Scholar] [CrossRef]
- Klymchuk, O.; Pozdniakova, G. Improving the reliability of heat supply systems in the conditions of power outage. Odes’kyi Politech. Univ. Pr. 2024, 70, 48. [Google Scholar] [CrossRef]
- Rędzińska, K.; Piotrkowska, M. Urban Planning and Design for Building Neighborhood Resilience to Climate Change. Land 2020, 9, 387. [Google Scholar] [CrossRef]
- Joseph, D.D.; Doon, R.A. The Impact of Climate Change on Vulnerable Populations: Social Responses to a Changing Environment; Multidisciplinary Digital Publishing Institute: Basel, Switzerland, 2023; ISBN 978-3-0365-5503-4. [Google Scholar]
- Aram, F.; Higueras García, E.; Solgi, E.; Mansournia, S. Urban Green Space Cooling Effect in Cities. Heliyon 2019, 5, e01339. [Google Scholar] [CrossRef] [PubMed]
- Jandaghian, Z.; Colombo, A. The Role of Water Bodies in Climate Regulation: Insights from Recent Studies on Urban Heat Island Mitigation. Buildings 2024, 14, 2945. [Google Scholar] [CrossRef]
- Manteghi, G.; Bin Limit, H.; Remaz, D. Water Bodies an Urban Microclimate: A Review. Mod. Appl. Sci. 2015, 9, 1–12. [Google Scholar] [CrossRef]
- Mazhar, A.R.; Liu, S.; Shukla, A. A State of Art Review on the District Heating Systems. Renew. Sustain. Energy Rev. 2018, 96, 420–439. [Google Scholar] [CrossRef]
- Gang, W.; Wang, S.; Xiao, F.; Gao, D.C. District Cooling Systems: Technology Integration, System Optimization, Challenges and Opportunities for Applications. Renew. Sustain. Energy Rev. 2016, 53, 253–264. [Google Scholar] [CrossRef]
- Harsini, A.E. Resilience-Oriented District Energy System Integrated with Renewable Energy and Multi-Level Seasonal Energy Storage. J. Energy Storage 2023, 72, 108645. [Google Scholar] [CrossRef]
- Yan, M.; He, Y.; Shahidehpour, M.; Ai, X.; Li, Z.; Wen, J. Coordinated Regional-District Operation of Integrated Energy Systems for Resilience Enhancement in Natural Disasters. IEEE Trans. Smart Grid 2018, 10, 4881–4892. [Google Scholar] [CrossRef]
- Rahgozar, S.; Zare Ghaleh Seyyedi, A.; Siano, P. A Resilience-Oriented Planning of Energy Hub by Considering Demand Response Program and Energy Storage Systems. J. Energy Storage 2022, 52, 104841. [Google Scholar] [CrossRef]
- Ang, A.H.-S.; Tang, W.H. Probability Concepts in Engineering Planning and Design. In Decision, Risk, and Reliability, 1st ed.; John Wiley & Sons, Inc.: New York, NY, USA, 1984; Volume 2. [Google Scholar]
- Guimarães, V.d.A.; Leal Junior, I.C.; da Silva, M.A.V. Evaluating the Sustainability of Urban Passenger Transportation by Monte Carlo Simulation. Renew. Sustain. Energy Rev. 2018, 93, 732–752. [Google Scholar] [CrossRef]
- Mitropoulos, L.K.; Prevedouros, P.D.; Yu, X.; Nathanail, E.G. A Fuzzy and a Monte Carlo Simulation Approach to Assess Sustainability and Rank Vehicles in Urban Environment. Transp. Res. Procedia 2017, 24, 296–303. [Google Scholar] [CrossRef]
- Mustafa, A.; Ebaid, A.; Omrani, H.; McPhearson, T. A Multi-Objective Markov Chain Monte Carlo Cellular Automata Model: Simulating Multi-Density Urban Expansion in NYC. Comput. Environ. Urban. Syst. 2021, 87, 101602. [Google Scholar] [CrossRef]
- Wang, Z.H.; Bou-Zeid, E.; Au, S.K.; Smith, J.A. Analyzing the Sensitivity of WRF’s Single-Layer Urban Canopy Model to Parameter Uncertainty Using Advanced Monte Carlo Simulation. J. Appl. Meteorol. Climatol. 2011, 50, 1795–1814. [Google Scholar] [CrossRef]
- Tian, K.; Jiang, S.; Gong, W.; Dai, L.; Liu, H. A Monte Carlo Simulation Study on Probability Distribution of Urban Tunnel Fire. Syst. Sci. Control. Eng. 2021, 9, 23–31. [Google Scholar] [CrossRef]
- Aronica, G.T.; Franza, F.; Bates, P.D.; Neal, J.C. Probabilistic Evaluation of Flood Hazard in Urban Areas Using Monte Carlo Simulation. Hydrol. Process 2012, 26, 3962–3972. [Google Scholar] [CrossRef]
- Wu, X.; Huang, X. Screening of Urban Environmental Vulnerability Indicators Based on Coefficient of Variation and Anti-Image Correlation Matrix Method. Ecol. Indic. 2023, 150, 110196. [Google Scholar] [CrossRef]





















| UL: Urban Level, ST: Strategy Type, DV: Design Variable | |||||
|---|---|---|---|---|---|
| No. | UL | ST | DV | Strategy | Reference |
| 1 | Building Component | Passive | Form and Morphology | Compact Buildings | [61,72,73,74,75] |
| 2 | Courtyards Buildings | [61,76] | |||
| 3 | Orientation | Longer South-facing Facades and High WWR | [77,78,79,80,81,82,83,84] | ||
| 4 | Glazing | Trombe Wall | [85,86,87] | ||
| 5 | High-Performance Glazing | [84,88,89,90,91] | |||
| 6 | Passive Responsive Glazing | [92,93,94,95] | |||
| 7 | Air Tightness and Ventilation | Operable Windows | [13,23,69,84,96,97] | ||
| 8 | Natural Ventilation with Passive Heat Recovery Systems | [25,98,99,100,101,102] | |||
| 9 | High Airtight Envelopes | [23,84,103,104] | |||
| 10 | Opaque Surfaces | Operable Indoor Blinds | [13,23,62,69,84,105] | ||
| 11 | Fixed Outdoor Shading | [13,23,62,69,84,105] | |||
| 12 | High Thermal Mass | [13,69,84,106,107,108,109] | |||
| 13 | Envelope Insulation | [13,18,24,57,62,69,83,84] | |||
| 14 | High-Albedo Materials | [13,31,67,68,69,101,102,110] | |||
| 15 | Phase Changing Materials (PCMs) on Surfaces | [111,112] | |||
| 16 | Green & Blue Infra. | Vertical Greening Systems | [15,33,113,114,115,116] | ||
| 17 | Green Roofs | [15,18,32,57,62,117,118,119] | |||
| 18 | Active | Envelope Efficiency | Active Responsive Glazing | [92,93,94,95] | |
| 19 | Automated Windows | [120,121] | |||
| 20 | Active Heat Recovery Systems | [98,99,100] | |||
| 21 | Automated Indoor Blinds | [122,123] | |||
| 22 | Automated Outdoor Shading | [124,125] | |||
| 23 | Energy Generation | Renewable Energy Systems for Cooling | [18,30,57,62,114,126,127,128,129,130,131] | ||
| 24 | Renewable Energy Systems for Heating | [18,30,57,62,114,126,127,128,129,130,131] | |||
| 25 | Energy Management and Consumption | Smart Building Operation Systems | [132] | ||
| 26 | Thermally Activated Building Structures (TABS) | [133] | |||
| 27 | Combined Heat and Power (CHP) | [18,57] | |||
| 28 | Energy Storage Systems (ESS) for Buildings | [129,130,134] | |||
| 29 | Backup fuel systems | [30,62,135] | |||
| 30 | Heat Pumps | [30,62] | |||
| UL: Urban Level, ST: Strategy Type, DV: Design Variable | |||||
|---|---|---|---|---|---|
| No. | UL | ST | DV | Strategy | Reference |
| 1 | Neighborhood | Passive | Form and Morphology | Compact Urban Form | [67,74,136] |
| 2 | Sparse Urban Form | [61,73,74] | |||
| 3 | Courtyard Forms | [61,76] | |||
| 4 | Surfaces and Reflectiveness | High-Albedo Pavements | [13,31,67,68,69,101,102,110] | ||
| 5 | Permeable Pavements | [15,68] | |||
| 6 | Urban Planning | Resilience Hubs | [137] | ||
| 7 | Green & Blue Infra. | Green Spaces | [15,31,138] | ||
| 8 | Linear Greenery | [15,31,67,68,138] | |||
| 9 | Vertical Greening Systems | [15,33,113,114,115,116] | |||
| 10 | Green Roofs | [15,18,32,62,117,118,119] | |||
| 11 | Manmade Water Bodies | [15,18,31,138,139,140] | |||
| 12 | Active | Energy Management and Consumption | Microgrids | [18,28,29,57,59,106] | |
| 13 | District Energy Systems | [141,142,143,144] | |||
| 14 | Combined Heat and Power (CHP) | [18,57,59] | |||
| 15 | Energy Systems Storage (ESS) | [18,28,29,30,57,62,106,145] | |||
| 16 | Fuel-based backup generators | [62,135] | |||
| 17 | Energy Generation | Decentralized Renewable and Diversified Energy Sources for Cooling | [18,28,59,62,66,71,106,135] | ||
| 18 | Decentralized Renewable and Diversified Energy Sources for Heating | [18,28,59,62,66,71,106] | |||
| Positive/Negative Impact | ||
|---|---|---|
| Effectiveness | Certainty | |
| Strategy | H: High | H: High |
| M: Medium | M: Medium | |
| L: Low | L: Low | |
| E: Energy, T: Thermal, L: Long-Term, S: Short-Term, Objectives Numbers Follow the Numbers in Figure 6 | ||||||||||||||
|---|---|---|---|---|---|---|---|---|---|---|---|---|---|---|
| Objective Focus | E | E | E | E | E | T | T | E | E | T | T | T | T | E |
| Resilience Objective Number | 1 | 2 | 3 | 4 | 5 | 6 | 7 | 1 | 2 | 3 | 4 | 1 | 2 | 3 |
| Resilience Capacity | L | L | L | L | L | L | L | S | S | S | S | B | B | B |
| P_ Compact Buildings | HH | NLH | HH | NMH | MH | HH | ||||||||
| P_ Courtyards Buildings | MH | MH | NMH | LH | HM | MH | ||||||||
| P_ South Facades and high window-to-wall ratio | HH | NLH | NLH | HH | NLH | |||||||||
| P_ Trombe Wall | HH | NLH | HM | HH | NLH | LH | ||||||||
| P_ High-Performance Glazing | HH | NLH | HH | HH | NLH | LM | ||||||||
| P_ Passive Responsive Glazing | MM | MM | MM | MM | MM | LH | ||||||||
| P_ Operable Windows | HH | MH | NLH | MH | ML | |||||||||
| P_ Nat. Vent. and P. Heat Recovery Systems | MH | MH | LM | HM | HM | |||||||||
| P_ High Airtight Envelopes | HH | NMH | HH | NHH | HH | |||||||||
| P_ Operable Indoor Blinds | MH | MH | HM | MH | LH | |||||||||
| P_ Fixed Outdoor Shading | MH | LH | LH | ′ | ||||||||||
| P_ High Thermal Mass | NLH | MH | MH | MH | LH | LH | ||||||||
| P_ Insulation | HH | HH | HH | NLH | NLH | HH | ||||||||
| P_ High-Albedo Materials | NMH | MH | NHH | HM | HM | |||||||||
| P_ Phase Changing Materials | LH | MH | MH | MH | MM | |||||||||
| P_ Vertical Greening Systems | LH | HH | MH | NLH | HM | LH | HH | |||||||
| P_ Green Roofs | LH | HH | LH | LH | MM | LH | HM | |||||||
| A_ Active Responsive Glazing | MM | MM | HM | HM | MM | NLH | ||||||||
| A_ Automated Windows | MH | HL | NLH | MH | ML | |||||||||
| A_ Active Heat Recovery Systems | HH | HM | HH | LH | LH | LH | MH | |||||||
| A_ Automated Indoor Blinds | MH | HM | MH | HM | MH | MH | ||||||||
| A_ Automated Outdoor Shading | LH | MH | HM | MH | MH | |||||||||
| A_ Ren. Sys. for Cooling | MH | HM | HH | HL | MM | HM | ||||||||
| A_ Ren. Sys. for Heating | MH | HM | HH | HL | MM | HM | ||||||||
| A_ Smart Building Operation Systems | MM | MM | HH | |||||||||||
| A_ Thermally Activated Building Structures (TABS) | HH | LH | MM | HM | LH | LH | ||||||||
| A_ Combined Heat and Power (CHP) | HM | HH | HM | MH | HH | |||||||||
| A_ Energy Storage Systems (ESS) for Buildings | HH | MH | MH | HH | HH | HH | ||||||||
| A_ Backup fuel systems | LH | HH | HH | |||||||||||
| A_ Heat Pumps | HH | HH | HH | HH | ||||||||||
| E: Energy, T: Thermal, L: Long-Term, S: Short-Term, Objectives Numbers Follow the Numbers in Figure 6 | ||||||||||||||
|---|---|---|---|---|---|---|---|---|---|---|---|---|---|---|
| Objective Focus | E | E | E | E | E | T | T | E | E | T | T | T | T | E |
| Resilience Objective Number | 1 | 2 | 3 | 4 | 5 | 6 | 7 | 1 | 2 | 3 | 4 | 1 | 2 | 3 |
| Resilience Capacity | L | L | L | L | L | L | L | S | S | S | S | B | B | B |
| P_ Compact Urban Form | HH | MH | HH | NHH | MH | HM | MH | HM | ||||||
| P_ Sparse Urban Form | MM | LM | NHH | HH | MH | NMH | MH | NMH | ||||||
| P_ Courtyard Forms | MH | MH | NMH | LH | HM | MH | ||||||||
| P_ High-Albedo Pavements | NMH | MH | NHH | HM | HM | |||||||||
| P_ Permeable Pavements | MH | MM | MH | |||||||||||
| P_ Resilience Hubs | MH | LH | MH | MH | HH | HH | ||||||||
| P_ Green Spaces (Parks and Gardens) | MM | HH | MM | NMM | HH | LH | HH | MH | ||||||
| P_ Linear Greenery (Trees/Bioswales/Rain gardens) | LH | MH | LH | NMM | MH | MH | LH | |||||||
| P_ Vertical Greening Systems | LH | HH | MH | NLH | HM | LH | HH | |||||||
| P_ Green Roofs | LH | HH | LH | LH | MM | LH | HM | |||||||
| P_ Manmade Water Bodies | MH | MH | LH | LH | MM | NLH | HM | NLH | ||||||
| A_ Microgrids | HH | HH | HH | HM | MH | MH | ||||||||
| A_ District Energy Systems | HH | HM | HH | MH | NLH | MH | ||||||||
| A_ Combined Heat and Power (CHP) | HM | HH | HM | MH | HH | |||||||||
| A_ Energy Systems Storage (ESS) for Neighborhood | HH | MH | MH | HH | HH | HH | ||||||||
| A_ Backup fuel systems | LH | HH | HH | |||||||||||
| A_ Decent. Ren. Sys. For Cooling | MH | HM | HH | HL | MM | HM | ||||||||
| A_ Decent. Ren. Sys. For Heating | MH | HM | HH | HL | MM | HM | ||||||||
| Positive Impact | |||||
|---|---|---|---|---|---|
| Effectiveness | Assumed Mean [0.0, 1.0] | Scaled Mean (μ) [0.2, 1.0] | Certainty | Concentration (κ) | |
| Strategy | H | 0.8 | 0.84 | H | 125 |
| M | 0.5 | 0.6 | M | 25 | |
| L | 0.2 | 0.36 | L | 5 | |
| Negative Impact | |||||
|---|---|---|---|---|---|
| Effectiveness | Assumed Mean [0.0, 1.0] | Scaled Mean (μ) [0.2, 1.0] | Certainty | Concentration (κ) | |
| Strategy | H | 0.8 | −0.84 | H | 125 |
| M | 0.5 | −0.6 | M | 25 | |
| L | 0.2 | −0.36 | L | 5 | |
| Net Objectives Achieved | Breadth Reward Score | Net Objectives Achieved | Breadth Reward Score |
|---|---|---|---|
| −3 | −0.6309 | 3 | 0.6309 |
| −2 | −0.5 | 4 | 0.7325 |
| −1 | −0.3155 | 5 | 0.8155 |
| 0 | 0 | 6 | 0.8856 |
| 1 | 0.3155 | 7 | 0.9464 |
| 2 | 0.5 | 8 | 1 |
| Objectives Rank | Objective Weight | Objectives Rank | Objective Weight |
|---|---|---|---|
| 1 | 0.37 | 5 | 0.07 |
| 2 | 0.23 | 6 | 0.04 |
| 3 | 0.16 | 7 | 0.02 |
| 4 | 0.11 |
| Scenario | CoV Range | Strategies with High CoV |
|---|---|---|
| Holistic | B: [0.017, 0.127]/N: [0.017, 0.134] | - |
| Long-term | B: [0.02, 0.126]/N: [0.019, 0.02] | - |
| Short-term | B: [−0.078, 0.346]/N: [0.02, 0.191] | B: south-facing facades with a high window-to-wall ratio (WWR): 0.407 |
| Energy Oriented | B: [0.017, 0.191]/N: [0.017, 0.105] | - |
| Thermally Oriented | B: [0.032, 0.407]/N: [0.024, 0.112] | B: active responsive glazing: 0.346 |
Disclaimer/Publisher’s Note: The statements, opinions and data contained in all publications are solely those of the individual author(s) and contributor(s) and not of MDPI and/or the editor(s). MDPI and/or the editor(s) disclaim responsibility for any injury to people or property resulting from any ideas, methods, instructions or products referred to in the content. |
© 2025 by the authors. Licensee MDPI, Basel, Switzerland. This article is an open access article distributed under the terms and conditions of the Creative Commons Attribution (CC BY) license (https://creativecommons.org/licenses/by/4.0/).
Share and Cite
Hassan, A.N.M.; Hachem-Vermette, C. A Data-Driven Decision-Making Tool for Prioritizing Resilience Strategies in Cold-Climate Urban Neighborhoods. Energies 2025, 18, 5421. https://doi.org/10.3390/en18205421
Hassan ANM, Hachem-Vermette C. A Data-Driven Decision-Making Tool for Prioritizing Resilience Strategies in Cold-Climate Urban Neighborhoods. Energies. 2025; 18(20):5421. https://doi.org/10.3390/en18205421
Chicago/Turabian StyleHassan, Ahmed Nouby Mohamed, and Caroline Hachem-Vermette. 2025. "A Data-Driven Decision-Making Tool for Prioritizing Resilience Strategies in Cold-Climate Urban Neighborhoods" Energies 18, no. 20: 5421. https://doi.org/10.3390/en18205421
APA StyleHassan, A. N. M., & Hachem-Vermette, C. (2025). A Data-Driven Decision-Making Tool for Prioritizing Resilience Strategies in Cold-Climate Urban Neighborhoods. Energies, 18(20), 5421. https://doi.org/10.3390/en18205421

