Extreme Dual-Parameter Optical Fiber Sensor Composed of MgO Fabry–Perot Composite Cavities for Simultaneous Measurement of Temperature and Pressure
Abstract
1. Introduction
2. Structure and Principle
2.1. The Principle of Sensor
2.2. Demodulation and Temperature Decoupling Principle
3. Sensor Fabrication
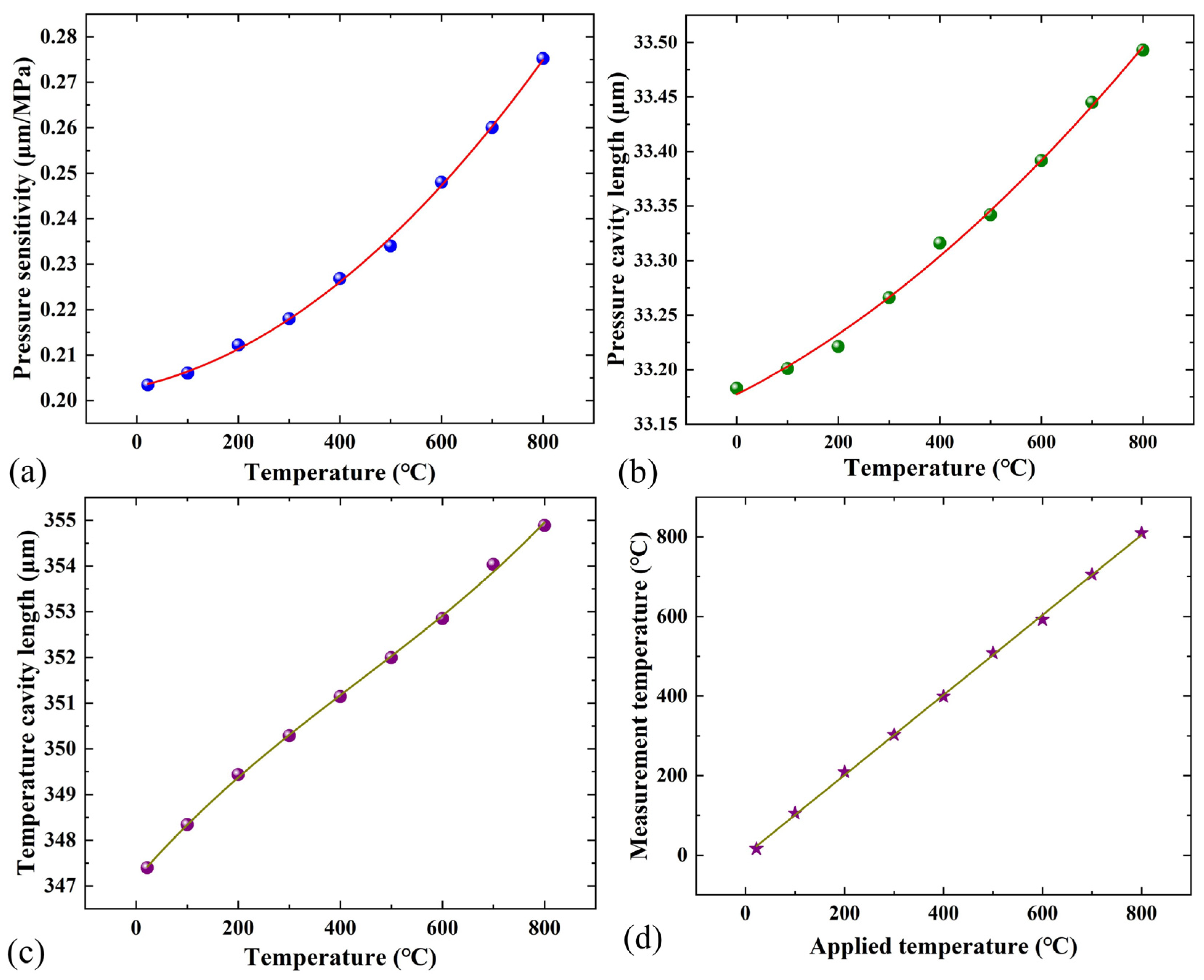
4. Experiments and Discussion
5. Conclusions
Author Contributions
Funding
Institutional Review Board Statement
Informed Consent Statement
Data Availability Statement
Conflicts of Interest
References
- Cao, Y.; Li, G.; Li, Z.; Chen, J.; Zheng, Y.; Zhao, D.; Yang, Y.; Xue, C. Extreme dual-parameter measurement of high static pressure and high acoustic pressure based on fibre-optic Fabry-Pérot sensor at 500 °C. Opt. Laser Technol. 2025, 188, 112955. [Google Scholar] [CrossRef]
- Faure-Beaulieu, A.; Dharmaputra, B.; Schuermans, B.; Wang, G.; Caruso, S.; Zahn, M.; Noiray, N. Measuring acoustic transfer matrices of high-pressure hydrogen/air flames for aircraft propulsion. Combust. Flame 2024, 270, 113776. [Google Scholar] [CrossRef]
- Lee, B.; Kim, C.; Yang, I.; Lee, K.; Lee, Y. Performance Evaluation of a Rake Used for Measuring Total Pressure and Total Temperature Inside an Engine Inlet Duct. Int. J. Aeronaut. Space Sci. 2019, 20, 346–354. [Google Scholar] [CrossRef]
- Zhang, Q.; Ma, H.; Guo, J.; Li, Z.; Xiao, A.; Liu, Y. Analysis of cooling effects and measurement errors in water-cooled thermocouples for total temperature measurement in aviation engine combustion chambers. Int. J. Therm. Sci. 2024, 205, 109290. [Google Scholar] [CrossRef]
- Belavic, D.; Bradesko, A.; Zarnik, M.S.; Rojac, T. Construction of a piezoelectric-based resonance ceramic pressure sensor designed for high-temperature applications. Metrol. Meas. Syst. 2015, 22, 331–340. [Google Scholar] [CrossRef]
- Daniel, J.; Nguyen, S.; Chowdhury, M.A.R.; Xu, S.; Xu, C. Temperature and pressure wireless ceramic sensor (Distance = 0.5 meter) for extreme environment applications. Sensors 2021, 21, 6648. [Google Scholar] [CrossRef]
- Sun, B.; Xiong, J.; Hong, Y.; Zhang, W.; Bi, K.; Zheng, M.; Li, C. AC Bridge Pressure Sensor With Temperature Compensation for High Temperature and Pressure Composite Environment. IEEE Sens. J. 2024, 24, 36579–36586. [Google Scholar] [CrossRef]
- Zhang, W.; Zhang, Z.; Yao, B.; Jing, J.; Xu, Y.; Zhao, Z.; Guo, Y.; Xue, C.; Tian, Z. A Masterpiece of Superior Crystals: Quartz Resonant Pressure Sensor—A Review. IEEE Sens. J. 2024, 24, 9278–9298. [Google Scholar] [CrossRef]
- Yu, H.; Wang, J.; Lu, Y.; Xie, B.; Shang, Y.; Liu, Z. A silicon resonant pressure sensor based on thermal stresses matched structures. J. Phys. Conf. Ser. 2023, 2740, 012041. [Google Scholar] [CrossRef]
- Stefano, S.; Ponticelli, G.S.; Pettinato, S.; Genna, S.; Guarino, S. High-Pressure Sensors Based on Laser-Manufactured Sintered Silicon Carbide. Appl. Sci. 2020, 10, 7095. [Google Scholar]
- Yi, J. Sapphire Fabry-Perot Pressure Sensor at High Temperature. IEEE Sens. J. 2020, 21, 1596–1602. [Google Scholar] [CrossRef]
- Wang, Z.; Chen, J.; Wei, H.; Liu, H.; Ma, Z.; Chen, N.; Chen, Z.; Wang, T.; Pang, F. Sapphire Fabry-Perot interferometer for high-temperature pressure sensing. Appl. Opt. 2020, 59, 5189–5196. [Google Scholar] [CrossRef]
- Yi, J.; Lally, E.; Wang, A.; Xu, Y. Demonstration of an all-sapphire Fabry-Pérot cavity for pressure sensing. IEEE Photonics Technol. Lett. 2010, 23, 9–11. [Google Scholar] [CrossRef]
- Lazic, A.; Smiljanic, M.M.; Tanaskovic, D.; Raljic-Rafajilovic, M.; Cvetanovic, K.; Milinkovic, E.; Bokovic, M.V.; Andric, S.; Jokic, I.; Poljak, P.; et al. Novel MEMS Multisensor Chip for Aerodynamic Pressure Measurements. Sensors 2025, 25, 600. [Google Scholar] [CrossRef]
- Li, T.; Huang, T.; Zheng, Y.; Wang, N.; Han, X.; Tan, Y.; Zhou, Z. High Temperature-Pressure Metalized Optical Fiber Dual FP Sensor with Welding Encapsulation. IEEE Sens. J. 2024, 24, 25724–25733. [Google Scholar] [CrossRef]
- Qi, X.; Wang, S.; Jiang, J.; Liu, K.; Wang, X.; Yang, Y.; Liu, T. Fiber Optic Fabry-Perot Pressure Sensor with Embedded MEMS Micro-Cavity for Ultra-High Pressure Detection. J. Light. Technol. 2018, 37, 2719–2725. [Google Scholar] [CrossRef]
- Liang, T.; Li, W.; Lei, C.; Li, Y.; Li, Z.; Xiong, J. All-SiC Fiber-Optic Sensor Based on Direct Wafer Bonding for High Temperature Pressure Sensing. Photonic Sens. 2022, 12, 130–139. [Google Scholar] [CrossRef]
- Li, J.S.; Jia, P.G.; Fang, G.C.; Wang, J.; Qian, J.; Ren, Q.Y.; Xiong, J.J. Batch-producible all-silica fiber-optic Fabry–Perot pressure sensor for high-temperature applications up to 800 °C. Sens. Actuators A Phys. 2022, 334, 113363. [Google Scholar] [CrossRef]
- Zhang, Y.; Jiang, Y.; Deng, H.; Gao, H.; Tang, C.; Wang, X. All-sapphire-based optical fiber pressure sensor with an ultra-wide pressure range based on femtosecond laser micromachining and direct bonding. Opt. Express 2023, 31, 41967–41978. [Google Scholar] [CrossRef]
- Zhang, Y.; Jiang, Y. An All-Sapphire Fiber Diaphragm-Free Extrinsic Fabry-Perot Interferometric Sensor for the Measurement of Gas Pressure at Ultrahigh Temperature. IEEE Sens. J. 2023, 23, 5818–5823. [Google Scholar] [CrossRef]
- Shao, Z.; Chen, M.; Shan, Z.; Sun, Z.; Wang, Y.; Yan, L.; Wang, Y.; Liu, B. High Sensitivity All Sapphire-Based Optical Fiber Fabry-Perot Pressure Sensor for Harsh Environment. IEEE Trans. Instrum. Meas. 2024, 73, 9515009. [Google Scholar] [CrossRef]
- Jia, P.G.; Liang, H.; Fang, G.C.; Qian, J.; Feng, F.; Liang, T.; Xiong, J.J. Batch-producible MEMS fiber-optic Fabry-Perot pressure sensor for high-temperature application. Appl. Opt. 2018, 57, 6687–6692. [Google Scholar] [CrossRef]
- Yao, C.K.; Kumar, P.; Liu, B.X.; Dehnaw, A.M.; Peng, P.C. Simultaneous Vibration and Temperature Real-Time Monitoring Using Single Fiber Bragg Grating and Free Space Optics. Appl. Sci. 2024, 14, 11099. [Google Scholar] [CrossRef]
- Yin, J.; Liu, T.; Jiang, J.; Liu, K.; Wang, S.; Qin, Z.; Zou, S. Batch-producible fiber-optic fabry-pérot sensor for simultaneous pressure and temperature sensing. IEEE Photonics Technol. Lett. 2014, 26, 2070–2073. [Google Scholar]
- Chen, X.; Tong, X.; Zhang, C.; Deng, C.; Mao, Y.; Chen, S. High-precision optical fiber Fabry–Perot composite sensor for pressure and temperature. Opt. Commun. 2022, 506, 127580. [Google Scholar] [CrossRef]
- Adib, M.; Habib, N.; Bashter, I.; Fathallah, M.; Saleh, A. MgO singlecrystal as an efficient thermal neutron filter. Ann. Nucl. Energy 2011, 38, 2673–2679. [Google Scholar] [CrossRef]
- Liu, J.; Jia, P.G.; Feng, F.; An, G.W.; Liang, T.; Hong, Y.P.; Xiong, J.J. MgO Single Crystals MEMS-Based Fiber-Optic Fabry–Perot Pressure Sensor for Harsh Monitoring. IEEE Sens. J. 2021, 21, 4272–4279. [Google Scholar] [CrossRef]
- Li, J.S.; Jia, P.G.; Qian, J.; Wang, J.; An, G.W.; Xiong, J.J. Fabrication of an all-silica microsphere-lens on optical fiber for free-space light coupling and sensing in extreme environments. Appl. Opt. 2022, 61, 3743–3747. [Google Scholar] [CrossRef]
- Lim, K.D.; Choi, H.K.; Sohn, I.B.; Lee, B.H.; Kim, J.T. Fabrication of lensed optical fibers for biosensing probes using CO2 and femtosecond lasers. Appl. Sci. 2021, 11, 3738. [Google Scholar] [CrossRef]
- Liao, Y.; Liu, J.; Dai, Y.; Wang, J.; Wan, S.; Zhang, L.; Wang, H.; Jia, P. Temperature-compensated fiber-optic Fabry-Perot pressure sensor based on sapphire MEMS technology for high temperature environment up to 1500 °C. Opt. Express 2025, 33, 19453–19463. [Google Scholar] [CrossRef]
- Zhang, Q.; Lei, J.; Chen, Y.; Wu, Y.; Chen, C.; Xiao, H. 3D printing of all-glass fiber-optic pressure sensor for high temperature applications. IEEE Sens. J. 2019, 19, 11242–11246. [Google Scholar] [CrossRef] [PubMed]
- Chen, H.B.; Liu, J.; Zhang, X.X.; Wang, W.; Ma, Z.B.; Lv, W.T.; Guo, Z.L. High-order harmonic-frequency cross-correlation algorithm for absolute cavity length interrogation of white-light fiber-optic fabry-perot sensors. J. Light. Technol. 2020, 38, 953–960. [Google Scholar] [CrossRef]
- Zhang, J.Y.; Zhang, X.X.; Guo, Z.; Chen, H.B.; Chen, Y.; Wang, W. Fundamental and high-order cross-correlation combined demodulation method for absolute cavity length measurement of fiber-optic fabry-perot sensors. Opt. Eng. 2022, 61, 096102. [Google Scholar] [CrossRef]
- Zhao, A.H.; Ren, Q.Y.; Su, C.X.; Tu, J.C.; Huang, Y.H.; An, G.W.; Liu, J.; Jia, P.G.; Xiong, J.J. Extensible multi-wavelength interrogation method for arbitrary cavities in low-fineness multi-cavity Fabry-Pérot interferometric sensors. Opt. Express 2024, 32, 6141–6153. [Google Scholar] [CrossRef]
- Liu, J.; Jia, P.G.; Chen, X.Y.; Liang, T.; Liu, H.; Liu, W.Y.; Xiong, J.J. Surface characterization of patterning on MgO single crystals using wet chemical etching process to advance MEMS devices. J. Micromech. Microeng. 2020, 30, 015001. [Google Scholar] [CrossRef]
- Liu, J.; Jia, P.G.; Li, J.S.; Feng, F.; Liang, T.; Liu, W.Y.; Xiong, J.J. Hydrophilic direct bonding of MgO/MgO for high-temperature MEMS devices. IEEE Access 2020, 8, 67242–67249. [Google Scholar] [CrossRef]








| Step | Parameters | Duration | Purpose and Results |
|---|---|---|---|
| Oxygen plasma surface activation | Pressure: 200 mTorr; power: 200 W | 30 s | Further cleans the MgO surface and increases the activation energy of bonding surface |
| Wet chemical surface activation | NH4OH: H2O2: H2O = 1:1:5 | 60 s | |
| Hot-press bonding | Pressure: 4 MPa; temperature: 1200 °C | 140 min | Bonding strength: ~7 MPa |
Disclaimer/Publisher’s Note: The statements, opinions and data contained in all publications are solely those of the individual author(s) and contributor(s) and not of MDPI and/or the editor(s). MDPI and/or the editor(s) disclaim responsibility for any injury to people or property resulting from any ideas, methods, instructions or products referred to in the content. |
© 2025 by the authors. Licensee MDPI, Basel, Switzerland. This article is an open access article distributed under the terms and conditions of the Creative Commons Attribution (CC BY) license (https://creativecommons.org/licenses/by/4.0/).
Share and Cite
Liu, J.; Zhang, L.; Wang, Z.; Cao, R.; Dai, Y.; Jia, P. Extreme Dual-Parameter Optical Fiber Sensor Composed of MgO Fabry–Perot Composite Cavities for Simultaneous Measurement of Temperature and Pressure. Appl. Sci. 2025, 15, 8891. https://doi.org/10.3390/app15168891
Liu J, Zhang L, Wang Z, Cao R, Dai Y, Jia P. Extreme Dual-Parameter Optical Fiber Sensor Composed of MgO Fabry–Perot Composite Cavities for Simultaneous Measurement of Temperature and Pressure. Applied Sciences. 2025; 15(16):8891. https://doi.org/10.3390/app15168891
Chicago/Turabian StyleLiu, Jia, Lei Zhang, Ziyue Wang, Ruike Cao, Yunteng Dai, and Pinggang Jia. 2025. "Extreme Dual-Parameter Optical Fiber Sensor Composed of MgO Fabry–Perot Composite Cavities for Simultaneous Measurement of Temperature and Pressure" Applied Sciences 15, no. 16: 8891. https://doi.org/10.3390/app15168891
APA StyleLiu, J., Zhang, L., Wang, Z., Cao, R., Dai, Y., & Jia, P. (2025). Extreme Dual-Parameter Optical Fiber Sensor Composed of MgO Fabry–Perot Composite Cavities for Simultaneous Measurement of Temperature and Pressure. Applied Sciences, 15(16), 8891. https://doi.org/10.3390/app15168891

