Sign in to use this feature.

Years

Between: -

Subjects

remove_circle_outline
remove_circle_outline
remove_circle_outline
remove_circle_outline
remove_circle_outline
remove_circle_outline
remove_circle_outline
remove_circle_outline
remove_circle_outline

Journals

Article Types

Countries / Regions

Search Results (80)

Search Parameters:
Keywords = off-on

Order results
Result details
Results per page
Select all
Export citation of selected articles as:
30 pages, 1713 KB  
Article
Safe-Calibrated TCN–Transformer Transfer Learning for Reliable Battery SoH Estimation Under Lab-to-Field Domain Shift
by Kumbirayi Nyachionjeka and Ehab H. E. Bayoumi
World Electr. Veh. J. 2026, 17(3), 149; https://doi.org/10.3390/wevj17030149 - 17 Mar 2026
Viewed by 762
Abstract
Battery state-of-health (SoH) estimation is central to transportation electrification because it conditions safety limits, warranty accounting, power capability management, and long-horizon fleet optimization. Although deep temporal architectures can achieve high laboratory accuracy, field deployment is frequently limited by laboratory (Lab)-to-field (L2F) domain shift [...] Read more.
Battery state-of-health (SoH) estimation is central to transportation electrification because it conditions safety limits, warranty accounting, power capability management, and long-horizon fleet optimization. Although deep temporal architectures can achieve high laboratory accuracy, field deployment is frequently limited by laboratory (Lab)-to-field (L2F) domain shift that alters input statistics, feature definitions, and noise regimes. Under such a shift, predictors may remain strongly monotonic, preserving degradation ordering and become operationally unreliable due to systematic output distortion (e.g., compression/warping of the SoH scale). A deployment-complete L2F transfer learning pipeline is presented, built around a gated Temporal Convolutional Network (TCN)–Transformer fusion backbone, domain-specific adapters and heads, alignment-regularized fine-tuning, and row-level inference via sliding-window overlap averaging. To address the dominant deployment failure mode, a Safe Calibration stage robustly filters calibration pairs and selects among candidate calibrators under a strict do-no-harm criterion. On an unseen deployment stream (2154 labeled rows), overlap-averaged raw inference achieves MAE = 0.0439, RMSE = 0.0501, and R2 = 0.7451, consistent with mid-to-high SoH range compression, while Safe Calibration (Isotonic-Balanced selected) corrects nonlinear scaling without violating monotonic structure, improving to MAE = 0.0188, RMSE = 0.0252, and R2 = 0.9357 to obtain a complete understanding of the challenges due to domain shifts, evaluation is extended to include other architecture baselines such as TCN-only, Transformer-only, Gated Recurrent Unit (GRU), and Long Short-Term Memory (LSTM), and a Ridge regression baseline. Also added is explicit alignment and calibration ablations that include CORAL off/on, that is, none vs. Safe-Global vs. Context-Aware under identical leakage-safe splits and the same overlap-averaged deployment inference operator. This work goes beyond peak-score reporting and looks at the robustness of a pipeline under domain shift, which is quantified across four random seeds and multiple deployment streams, with uncertainty summarized via mean ± std and bootstrap confidence intervals for Mean of Absolute value of Errors (MAE)/Root of the Mean of the Square of Errors (RMSE) computed from per-example absolute errors. Full article
(This article belongs to the Section Storage Systems)
Show Figures

Figure 1

26 pages, 3197 KB  
Article
Design and Fabrication of a Compact Evaporator–Absorber Unit with Mechanical Enhancement for LiBr–H2O Vertical Falling-Film Absorption, Part I: Experimental Validation
by Genis Díaz-Flórez, Carlos Alberto Olvera-Olvera, Santiago Villagrana-Barraza, Luis Octavio Solís-Sánchez, Héctor A. Guerrero-Osuna, Teodoro Ibarra-Pérez, Ramón Jaramillo-Martínez, Hans C. Correa-Aguado and Germán Díaz-Flórez
Technologies 2025, 13(11), 538; https://doi.org/10.3390/technologies13110538 - 19 Nov 2025
Cited by 1 | Viewed by 1327
Abstract
Compact, low-power absorption cooling supports decentralized refrigeration needs and is positioned here as a sustainable approach within environmental technologies. This paper presents the design, fabrication, and experimental validation of a compact LiBr–H2O evaporator–absorber, in which a low-energy fan assists in transporting [...] Read more.
Compact, low-power absorption cooling supports decentralized refrigeration needs and is positioned here as a sustainable approach within environmental technologies. This paper presents the design, fabrication, and experimental validation of a compact LiBr–H2O evaporator–absorber, in which a low-energy fan assists in transporting refrigerant vapor from the evaporator to the absorber within a single vertical falling-film vessel. Twelve heat-load phases were tested with the fan OFF/ON, while temperatures, pressures, and flow rates were continuously monitored. The analysis focuses on temperature and pressure separation metrics, as well as a dimensionless separation index. Results show that fan assistance stabilizes thermal and pressure differentials and attenuates oscillations across grouped loads. The most significant benefits are observed at low to intermediate heat inputs, whereas the effect becomes marginal at higher loads, indicating the dominance of natural transport mechanisms. The compact unit remains thermally stable under all tested conditions. These findings indicate that a simple, low-power mechanical enhancement can improve controllability in an integrated evaporator–absorber without complex internal geometries. Protected under a Mexican utility model (IMPI, MX 4573 B), this prototype provides a replicable experimental basis for supporting compact, low-power solutions for sustainable, decentralized cooling in the field of environmental technologies. Full article
(This article belongs to the Section Manufacturing Technology)
Show Figures

Figure 1

18 pages, 2923 KB  
Article
Nitrogen-Doped Carbon Dots as a Fluorescent “Off–On” Probe for Selective Ascorbic Acid Detection via H2O2-Mediated Quenching
by Jingjing Jia, Xue Liu and Wenjing Wang
Nanomaterials 2025, 15(13), 976; https://doi.org/10.3390/nano15130976 - 23 Jun 2025
Cited by 2 | Viewed by 2139
Abstract
Nitrogen-doped carbon dots (NCDs) exhibiting superior fluorescence characteristics were synthesized employing o-phenylenediamine and 2-methylimidazole as precursors. The synthesized NCDs exhibited yellow photoluminescence with an excitation/emission maxima of 410/554 nm with a quantum yield of 28.41%. The presence of pyridinic N, pyrrolic N, graphitic [...] Read more.
Nitrogen-doped carbon dots (NCDs) exhibiting superior fluorescence characteristics were synthesized employing o-phenylenediamine and 2-methylimidazole as precursors. The synthesized NCDs exhibited yellow photoluminescence with an excitation/emission maxima of 410/554 nm with a quantum yield of 28.41%. The presence of pyridinic N, pyrrolic N, graphitic N, and amino N functionalities on the NCDs’ surface provided strong evidence for the successful nitrogen doping of the carbon dots. Upon exposure to hydrogen peroxide (H2O2), the NCDs exhibited a significant reduction in fluorescence intensity, which could be restored by the addition of ascorbic acid (AA), demonstrating a quantitative relationship between ascorbic acid and fluorescence efficiency. A novel fluorescence “off–on” system utilizing these NCDs was developed for the quantification of AA. The sensing mechanism relies on H2O2-induced fluorescence quenching via the selective oxidation of the NCDs’ surface, followed by fluorescence restoration upon AA addition due to the reduction in surface defects. Meanwhile, further experiments confirmed that the quenching mechanism was static quenching. The NCDs demonstrated a limit of detection (LOD) of 0.605 μM for AA detection. The use of NCDs for AA sensing was validated through the analysis of commercially available beverages. This study aimed to establish a simplified method for ascorbic acid detection. The experimental findings indicated that the developed technique exhibited high accuracy in quantifying ascorbic acid. These findings suggest that the developed NCDs possess considerable potential as a multifunctional sensing tool for various analytical applications. Full article
(This article belongs to the Section 2D and Carbon Nanomaterials)
Show Figures

Graphical abstract

20 pages, 5619 KB  
Article
Alginate Hydrogel Beads with a Leakproof Gold Shell for Ultrasound-Triggered Release
by Marcus Flowers, Alex Paulsen, Claire R. W. Kaiser, Adam B. Tuma, Hubert H. Lim, Brenda M. Ogle and Chun Wang
Pharmaceutics 2025, 17(1), 133; https://doi.org/10.3390/pharmaceutics17010133 - 19 Jan 2025
Cited by 1 | Viewed by 3585
Abstract
Background/Objectives: Focused ultrasound has advantages as an external stimulus for drug delivery as it is non-invasive, has high precision and can penetrate deep into tissues. Here, we report a gold-plated alginate (ALG) hydrogel system that retains highly water-soluble small-molecule fluorescein for sharp off/on [...] Read more.
Background/Objectives: Focused ultrasound has advantages as an external stimulus for drug delivery as it is non-invasive, has high precision and can penetrate deep into tissues. Here, we report a gold-plated alginate (ALG) hydrogel system that retains highly water-soluble small-molecule fluorescein for sharp off/on release after ultrasound exposure. Methods: The ALG is crosslinked into beads with calcium chloride and layered with a polycation to adjust the surface charge for the adsorption of catalytic platinum nanoparticles (Pt NPs). The coated bead is subject to electroless plating, forming a gold shell. Ultrasound is applied to the gold-plated ALG beads and the release of fluorescein with or without ultrasound stimulation is quantified. Results: Polyethylenimine (PEI), not poly-L-lysine (PLL), is able to facilitate Pt NP adsorption. Gold shell thickness is proportional to the duration of electroless plating and can be controlled. Gold-plated ALG beads are impermeable to the fluorescein cargo and have nearly zero leakage. Exposure to focused ultrasound initiated the release of fluorescein with full release achieved after 72 h. Conclusions: The gold-plated ALG hydrogel is a new material platform that can retain highly water-soluble molecules with a sharp off/on release initiated by focused ultrasound. Full article
(This article belongs to the Section Drug Delivery and Controlled Release)
Show Figures

Figure 1

17 pages, 6199 KB  
Article
Design and Synthesis of an Azo Reductase Responsive Flavonol–Indomethacin Hybrid Used for the Diagnosis and Treatment of Colitis
by Yaqin Gu, Rui Yang, Jine Chen, Yu Fan, Wenna Xie, Hongyan Wu and Jinfeng Ding
Molecules 2024, 29(17), 4244; https://doi.org/10.3390/molecules29174244 - 6 Sep 2024
Cited by 2 | Viewed by 1902
Abstract
Human intestinal bacteria are the primary producers of azo reductase, and the content of azo reductase is closely associated with various intestinal diseases, including ulcerative colitis (UC). The rapid detection of changes in azo reductase levels is crucial for diagnosing and promptly intervening [...] Read more.
Human intestinal bacteria are the primary producers of azo reductase, and the content of azo reductase is closely associated with various intestinal diseases, including ulcerative colitis (UC). The rapid detection of changes in azo reductase levels is crucial for diagnosing and promptly intervening in UC. In this study, a therapeutic agent, FAI, specifically targeting UC, was designed and synthesized. This agent was developed by linking the anti-inflammatory drug indomethacin to flavonols with antioxidant activity via an azo bond (off–on). Breakage of the azo bond breaks results in the release of both fluorophores and drugs, achieving targeted tracing and integrated treatment effects. In vivo and in vitro fluorescence imaging experiments were used to demonstrate the potential of FAI in the diagnosis of UC, together with synergistic therapeutic effects through the release of both fluorophores and anti-inflammatory agents. Therefore, this diagnostic agent shows promise as a potential tool for diagnosing and treating UC. Full article
(This article belongs to the Topic Advanced Biomaterials: Processing and Applications)
Show Figures

Figure 1

7 pages, 577 KB  
Communication
Differential Responses to Low- and High-Frequency Subthalamic Nucleus Deep Brain Stimulation on Sensor-Measured Components of Bradykinesia in Parkinson’s Disease
by Akash Mishra, Vikram Bajaj, Toni Fitzpatrick, Jeremy Watts, Anahita Khojandi and Ritesh A. Ramdhani
Sensors 2024, 24(13), 4296; https://doi.org/10.3390/s24134296 - 2 Jul 2024
Cited by 3 | Viewed by 2617
Abstract
Introduction: The current approach to assessing bradykinesia in Parkinson’s Disease relies on the Unified Parkinson’s Disease Rating Scale (UPDRS), which is a numeric scale. Inertial sensors offer the ability to probe subcomponents of bradykinesia: motor speed, amplitude, and rhythm. Thus, we sought to [...] Read more.
Introduction: The current approach to assessing bradykinesia in Parkinson’s Disease relies on the Unified Parkinson’s Disease Rating Scale (UPDRS), which is a numeric scale. Inertial sensors offer the ability to probe subcomponents of bradykinesia: motor speed, amplitude, and rhythm. Thus, we sought to investigate the differential effects of high-frequency compared to low-frequency subthalamic nucleus (STN) deep brain stimulation (DBS) on these quantified facets of bradykinesia. Methods: We recruited advanced Parkinson’s Disease subjects with a chronic bilateral subthalamic nucleus (STN) DBS implantation to a single-blind stimulation trial where each combination of medication state (OFF/ON), electrode contacts, and stimulation frequency (60 Hz/180 Hz) was assessed. The Kinesia One sensor system was used to measure upper limb bradykinesia. For each stimulation trial, subjects performed extremity motor tasks. Sensor data were recorded continuously. We identified STN DBS parameters that were associated with improved upper extremity bradykinesia symptoms using a mixed linear regression model. Results: We recruited 22 subjects (6 females) for this study. The 180 Hz STN DBS (compared to the 60 Hz STN DBS) and dopaminergic medications improved all subcomponents of upper extremity bradykinesia (motor speed, amplitude, and rhythm). For the motor rhythm subcomponent of bradykinesia, ventral contacts yielded improved symptom improvement compared to dorsal contacts. Conclusion: The differential impact of high- and low-frequency STN DBS on the symptoms of bradykinesia may advise programming for these patients but warrants further investigation. Wearable sensors represent a valuable addition to the armamentarium that furthers our ability to conduct objective, quantitative clinical assessments. Full article
(This article belongs to the Collection Sensors for Gait, Human Movement Analysis, and Health Monitoring)
Show Figures

Figure 1

15 pages, 3624 KB  
Article
A Mitochondria-Targeting Fluorescent Probe for the Dual Sensing of Hypochlorite and Viscosity without Signal Crosstalk in Living Cells and Zebrafish
by Chao Gao, Dan-Dan Chen, Lin Zhang, Ming-Lan Ma, Hu-Wei Liu and Hai-Rong Cui
Molecules 2024, 29(13), 3059; https://doi.org/10.3390/molecules29133059 - 27 Jun 2024
Cited by 7 | Viewed by 2083
Abstract
Hypochlorite (ClO) and viscosity both affect the physiological state of mitochondria, and their abnormal levels are closely related to many common diseases. Therefore, it is vitally important to develop mitochondria-targeting fluorescent probes for the dual sensing of ClO and viscosity. [...] Read more.
Hypochlorite (ClO) and viscosity both affect the physiological state of mitochondria, and their abnormal levels are closely related to many common diseases. Therefore, it is vitally important to develop mitochondria-targeting fluorescent probes for the dual sensing of ClO and viscosity. Herein, we have explored a new fluorescent probe, XTAPBn, which responds sensitively to ClO and viscosity with off–on fluorescence changes at 558 and 765 nm, respectively. Because the emission wavelength gap is more than 200 nm, XTAPBn can effectively eliminate the signal crosstalk during the simultaneous detection of ClO and viscosity. In addition, XTAPBn has several advantages, including high selectivity, rapid response, good water solubility, low cytotoxicity, and excellent mitochondrial-targeting ability. More importantly, probe XTAPBn is successfully employed to monitor the dynamic change in ClO and viscosity levels in the mitochondria of living cells and zebrafish. This study not only provides a reliable tool for identifying mitochondrial dysfunction but also offers a potential approach for the early diagnosis of mitochondrial-related diseases. Full article
Show Figures

Figure 1

11 pages, 511 KB  
Article
A Trial of a Virtual Fence to Mitigate Roadkill on an Unsealed Rural Road in Tasmania, Australia
by Steven G. Candy, James A. Bunker and Bruce Englefield
Animals 2024, 14(11), 1641; https://doi.org/10.3390/ani14111641 - 31 May 2024
Cited by 1 | Viewed by 2058
Abstract
A commercial roadkill Virtual Fence (VF) mitigation device (iPTE Traffic Solutions) was used in a field trial to test its effectiveness, for which previously published results have been inconsistent, along a 4.9 km segment of road on Bruny Island, Tasmania. A total of [...] Read more.
A commercial roadkill Virtual Fence (VF) mitigation device (iPTE Traffic Solutions) was used in a field trial to test its effectiveness, for which previously published results have been inconsistent, along a 4.9 km segment of road on Bruny Island, Tasmania. A total of 585 days of monitoring roadkill by species was conducted, with six sections that were alternatively switched on or off according to the Crossover and Multiple Before–After–Control–Impact (MBACI) experimental designs that divided monitoring into “off–on” then “on–off” periods. Aggregate counts, for each period by section combination, from daily counts of Tasmanian pademelons (Thylogale billardierii) were modelled, with a total count of 222. The statistical analysis used the MBACI design to estimate the VF effect using a log-odds ratio parameter (LORP) while accounting for local spatio-temporal effects. Both versions of the analysis, either averaged over the three spatial replicates (paired sections) or two temporal replicates (blocks), showed no statistically significant effect of the VF, judged as an LORP estimate not sufficiently below zero. Corresponding percentage reduction estimates of 9% and 16% were derived from the LORP. The corresponding statistical power required to detect a nominal significant reduction of 50% in rate was 0.5 and 0.6, respectively. This study confirms the results from a similar previous field trial in southern Tasmania that this VF is likely to lead to, if anything, only a minor reduction in roadkill. Full article
(This article belongs to the Section Animal Welfare)
Show Figures

Figure 1

16 pages, 8032 KB  
Article
Turn-on Coumarin Precursor: From Hydrazine Sensor to Covalent Inhibition and Fluorescence Detection of Rabbit Muscle Aldolase
by Sara Amer, Uri Miles, Michael Firer and Flavio Grynszpan
Molecules 2024, 29(10), 2175; https://doi.org/10.3390/molecules29102175 - 7 May 2024
Cited by 2 | Viewed by 2546
Abstract
Hydrazine, a highly toxic compound, demands sensitive and selective detection methods. Building upon our previous studies with pre-coumarin OFF–ON sensors for fluoride anions, we extended our strategy to hydrazine sensing by adapting phenol protecting groups (propionate, levulinate, and γ-bromobutanoate) to our pre-coumarin scaffold. [...] Read more.
Hydrazine, a highly toxic compound, demands sensitive and selective detection methods. Building upon our previous studies with pre-coumarin OFF–ON sensors for fluoride anions, we extended our strategy to hydrazine sensing by adapting phenol protecting groups (propionate, levulinate, and γ-bromobutanoate) to our pre-coumarin scaffold. These probes reacted with hydrazine, yielding a fluorescent signal with low micromolar limits of detection. Mechanistic studies revealed that hydrazine deprotection may be outperformed by a retro-Knoevenagel reaction, where hydrazine acts as a nucleophile and a base yielding a fluorescent diimide compound (6,6′-((1E,1′E)-hydrazine-1,2diylidenebis(methaneylylidene))bis(3(diethylamino)phenol, 7). Additionally, our pre-coumarins unexpectedly reacted with primary amines, generating a fluorescent signal corresponding to phenol deprotection followed by cyclization and coumarin formation. The potential of compound 3 as a theranostic Turn-On coumarin precursor was also explored. We propose that its reaction with ALDOA produced a γ-lactam, blocking the catalytic nucleophilic amine in the enzyme’s binding site. The cleavage of the ester group in compound 3 induced the formation of fluorescent coumarin 4. This fluorescent signal was proportional to ALDOA concentration, demonstrating the potential of compound 3 for future theranostic studies in vivo. Full article
(This article belongs to the Section Organic Chemistry)
Show Figures

Graphical abstract

12 pages, 3469 KB  
Article
Raman Lasing in a Tellurite Microsphere with Thermo-Optical on/off Switching by an Auxiliary Laser Diode
by Elena A. Anashkina, Maria P. Marisova, Vitaly V. Dorofeev and Alexey V. Andrianov
Micromachines 2023, 14(9), 1796; https://doi.org/10.3390/mi14091796 - 20 Sep 2023
Cited by 3 | Viewed by 1748
Abstract
The generation of coherent light based on inelastic stimulated Raman scattering in photonic microresonators has been attracting great interest in recent years. Tellurite glasses are promising materials for such microdevices since they have large Raman gain and large Raman frequency shift. We experimentally [...] Read more.
The generation of coherent light based on inelastic stimulated Raman scattering in photonic microresonators has been attracting great interest in recent years. Tellurite glasses are promising materials for such microdevices since they have large Raman gain and large Raman frequency shift. We experimentally obtained Raman lasing at a wavelength of 1.8 µm with a frequency shift of 27.5 THz from a 1.54 µm narrow-line pump in a 60 µm tellurite glass microsphere with a Q-factor of 2.5 × 107. We demonstrated experimentally a robust, simple, and cheap way of thermo-optically controlled on/off switching of Raman lasing in a tellurite glass microsphere by an auxiliary laser diode. With a permanently operating narrow-line pump laser, on/off switching of the auxiliary 405 nm laser diode led to off/on switching of Raman generation. We also performed theoretical studies supporting the experimental results. The temperature distribution and thermal frequency shifts in eigenmodes in the microspheres heated by the thermalized power of an auxiliary diode and the partially thermalized power of a pump laser were numerically simulated. We analyzed the optical characteristics of Raman generation in microspheres of different diameters. The numerical results were in good agreement with the experimental ones. Full article
(This article belongs to the Special Issue New Advances in Micromachined Resonators)
Show Figures

Figure 1

22 pages, 13879 KB  
Article
Novel Frequency-Reconfigurable Antennas with Ring Resonators and RF Switches: Enhancing Versatility and Adaptability in Wireless Communication Systems
by Duygu Nazan Gençoğlan, Merih Palandöken and Şule Çolak
Appl. Sci. 2023, 13(18), 10237; https://doi.org/10.3390/app131810237 - 12 Sep 2023
Cited by 9 | Viewed by 3125
Abstract
This study introduces innovative designs for frequency-reconfigurable antennas that utilize ring resonators combined with either PIN diodes or RF switches. These designs enhance the versatility, adaptability, and overall performance of the antennas in wireless communication systems. By controlling the switches and ring resonator, [...] Read more.
This study introduces innovative designs for frequency-reconfigurable antennas that utilize ring resonators combined with either PIN diodes or RF switches. These designs enhance the versatility, adaptability, and overall performance of the antennas in wireless communication systems. By controlling the switches and ring resonator, the antenna’s resonant frequencies and bandwidths can be adjusted, allowing for compatibility with various communication standards and frequency ranges. The proposed antenna exhibits four distinct operational states, each characterized by different resonance frequencies and operating frequency bands. Return loss, radiation pattern, radiation efficiency, and surface current distribution are analyzed for each state. State-1 (ON-ON) and State-2 (OFF-ON), which are characterized by resonance frequencies of 2.4 GHz and 3.33 GHz respectively, offer ranges suitable for Wi-Fi, Bluetooth, ISM, and IoT applications. State-3 (ON-OFF), with a resonance frequency of 3.0 GHz and bandwidth spanning from 2.59 GHz to 3.643 GHz, complies with Wi-Fi, Wi-Fi 6, and IoT requirements. State-4 (OFF-OFF) covers the band centered around 3.45 GHz. It is compatible with many applications such as 5G mid-band, Wi-Fi 6E, IoT, and cellular systems. The proposed antenna designs are versatile and compact since the overall antenna dimensions are 25 × 18 × 1.6 mm3. The radiation efficiency of the antenna configuration varies depending on operational states. By utilizing the advantages of both ring resonators and RF switches, the proposed antenna configurations offer new solutions that enhance their performance in wireless communication systems. This study compares the effects of using PIN diodes and SPDT switches on the performance of antennas and also examines the DC biasing effect on antenna characteristics. The simulation results are validated by the experimental analysis. The proposed antenna designs offer a new approach for wireless communication systems by using both ring resonators and RF switches. Full article
(This article belongs to the Special Issue Antenna Analysis and Design)
Show Figures

Figure 1

17 pages, 4059 KB  
Article
Development of Electrochromic Devices, Based on Polymeric Gel, for Energy Saving Applications
by Carmen Rizzuto, Riccardo C. Barberi and Marco Castriota
Polymers 2023, 15(16), 3347; https://doi.org/10.3390/polym15163347 - 9 Aug 2023
Cited by 9 | Viewed by 3691
Abstract
In this work, the implementation of an electrochromic device (10 cm × 10 cm in size) for energy saving applications has been presented. As electrochromic system has been used with an electrochromic solution (ECsol) made by ethyl viologen diperchlorate [EV(ClO4)2 [...] Read more.
In this work, the implementation of an electrochromic device (10 cm × 10 cm in size) for energy saving applications has been presented. As electrochromic system has been used with an electrochromic solution (ECsol) made by ethyl viologen diperchlorate [EV(ClO4)2], 1,1′-diethyl ferrocene (DEFc) and propylene carbonate (PC), as solvent. The final system has been obtained by mixing the ECsol, described above, with a polymeric system made by Bisphenol-A glycerolate (1 glycerol/phenol) diacrylate (BPA) and 2,2-Dimethoxy-2-phenylacetophenone (Irgacure 651) in a weight percentage equal to 60:40% w/w, respectively. Lithography has been used to make a spacer pattern with a thickness of about 15–20 µm between the two substrates. Micro-Raman spectroscopy confirmed the presence of the EV•+ as justified by the blue color of the electrochromic device in the ON state. Electrochemical and optical properties of the electrochromic device have been studied. The device shows reversible electrochromic behavior as confirmed by cyclic color variation due to the reduction and oxidation process of the EV2+/EV•+ couple. The electrochromic device shows a variation of the % transmittance in the visible region at 400 nm of 59.6% in the OFF state and 0.48% at 3.0 V. At 606 nm the transmittance in the bleached state is 84.58% in the OFF state and then decreases to 1.01% when it is fully colored at 3.0 V. In the NIR region at 890 nm, the device shows a transmittance of 74.3% in the OFF state and 23.7% at 3.0 V while at 1165 nm the values of the transmittance changed from 83.21% in the OFF state to 1.58% in the ON state at 3.0 V. The electrochromic device shows high values of CCR% and exhibits excellent values of CE in both visible and near-infrared regions when switched between OFF/ON states. In the NIR region at 890 nm, electrochromic devices can be used for the energy-saving of buildings with a promising CE of 120.9 cm2/C and 420.1 cm2/C at 1165 nm. Full article
Show Figures

Figure 1

9 pages, 3129 KB  
Communication
A GSH-Activatable Theranostic Prodrug Based on Photoinduced Electron Transfer for Cancer Fluorescence Imaging and Therapy
by Xuan Zhao, Xiaolong Zeng, Xinyu Wu, Lihong Shi, Sumin Zhu and Wen Sun
Chemosensors 2023, 11(7), 397; https://doi.org/10.3390/chemosensors11070397 - 15 Jul 2023
Cited by 3 | Viewed by 3195
Abstract
Traditional chemotherapeutic drugs have limitations due to their non-targeted ability toward cancer cells. Stimuli-activatable prodrugs are designed to overcome these obstacles. However, the real-time monitoring of stimuli-activatable theranostic prodrugs still poses challenges. Herein, a prodrug (Fe–SS–HCy), consisting of a ferrocene-modified hemicyanine linked via [...] Read more.
Traditional chemotherapeutic drugs have limitations due to their non-targeted ability toward cancer cells. Stimuli-activatable prodrugs are designed to overcome these obstacles. However, the real-time monitoring of stimuli-activatable theranostic prodrugs still poses challenges. Herein, a prodrug (Fe–SS–HCy), consisting of a ferrocene-modified hemicyanine linked via a disulfide bond, is synthesized for anticancer imaging and therapy. Before activation, the toxicity of Fe–SS–HCy is low. The fluorescence of Fe–SS–HCy is quenched by ferrocene due to photoinduced electron transfer. After being taken up by cancer cells, the intracellular GSH activates Fe–SS–HCy, which releases HCy. The fluorescence of HCy is restored and selectively accumulates in the mitochondria, which further produce reactive oxygen species (ROS) to induce cancer cell death. Thus, this “off-on” fluorogenic HCy presents a new strategy for monitoring prodrug activation in real-time and for enhancing therapeutic efficacy with reduced side effects. Full article
(This article belongs to the Special Issue Nanoprobes for Biosensing and Bioimaging)
Show Figures

Figure 1

15 pages, 7640 KB  
Article
A High-Functional-Density Integrated Inertial Switch for Super-Quick Initiation and Reliable Self-Destruction of a Small-Caliber Projectile Fuze
by Bo He, Yong Yuan, Jie Ren, Wenzhong Lou, Hengzhen Feng, Mingrong Zhang, Sining Lv and Wenting Su
Micromachines 2023, 14(7), 1377; https://doi.org/10.3390/mi14071377 - 5 Jul 2023
Cited by 4 | Viewed by 2593
Abstract
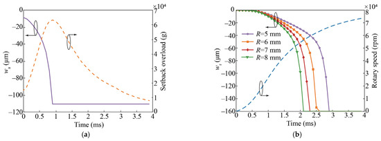
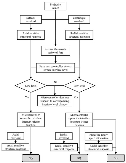
With the aim of achieving the combat technical requirements of super-quick (SQ) initiation and reliable self-destruction (SD) of a small-caliber projectile fuze, this paper describes a high-functional-density integrated (HFDI) inertial switch based on the “ON-OFF” state transition (i.e., almost no terminal ballistic motion). [...] Read more.
With the aim of achieving the combat technical requirements of super-quick (SQ) initiation and reliable self-destruction (SD) of a small-caliber projectile fuze, this paper describes a high-functional-density integrated (HFDI) inertial switch based on the “ON-OFF” state transition (i.e., almost no terminal ballistic motion). The reliable state switching of the HFDI inertial switch is studied via elastic–plastic mechanics and verified via both simulations and experiments. The theoretical and simulation results indicate that the designed switch can achieve the “OFF-ON” state transition in the internal ballistic system, and the switch can achieve the “ON-OFF” state transition in the simulated terminal ballistic system within 8 μs or complete the “ON-OFF” state transition as the rotary speed sharply decreases. The experimental results based on the anti-target method show the switch achieves the “ON-OFF” state transition on the μs scale, which is consistent with the simulation results. Compared with the switches currently used in small-caliber projectile fuzes, the HFDI inertial switch integrates more functions and reduces the height by about 44%. Full article
(This article belongs to the Section E:Engineering and Technology)
Show Figures

Figure 1

16 pages, 3542 KB  
Article
Investigation of the Relationship between Electronic Structures and Bioactivities of Polypyridyl Ru(II) Complexes
by Zhiying Hou, Yang Lu, Bin Zhang, A. F. M. Motiur Rahman, Yufen Zhao, Ning Xi, Ning Wang and Jinhui Wang
Molecules 2023, 28(13), 5035; https://doi.org/10.3390/molecules28135035 - 27 Jun 2023
Cited by 10 | Viewed by 2698
Abstract
Ruthenium (Ru)-based organometallic drugs have gained attention as chemotherapeutic and bioimaging agents due to their fewer side effects and excellent physical optical properties. Tuning the electronic structures of Ru complexes has been proven to increase the cytotoxicity of cancer cells and the luminescent [...] Read more.
Ruthenium (Ru)-based organometallic drugs have gained attention as chemotherapeutic and bioimaging agents due to their fewer side effects and excellent physical optical properties. Tuning the electronic structures of Ru complexes has been proven to increase the cytotoxicity of cancer cells and the luminescent efficiency of the analytical probes. However, the relationship between electronic structures and bioactivities is still unclear due to the potential enhancement of both electron donor and acceptor properties. Thus, we investigated the relationship between the electronic structures of Ru(II) complexes and cytotoxicity by optimizing the electron-withdrawing (complex 1), electron-neutral (complex 2), and electron-donating (complex 3) ligands through DFT calculations, bioactivities tests, and docking studies. Our results indicated that it was not sufficient to consider only either the effect of electron-withdrawing or electron-donating effects on biological activities instead of the total electronic effects. Furthermore, these complexes with electron-donating substituents (complex 3) featured unique “off-on” luminescent emission phenomena caused by the various “HOMO-LUMO” distributions when they interacted with DNA, while complex with electron-withdrawing substituent showed an “always-on” signature. These findings offer valuable insight into the development of bifunctional chemotherapeutic agents along with bioimaging ability. Full article
(This article belongs to the Section Bioorganic Chemistry)
Show Figures

Graphical abstract

Back to TopTop