Sign in to use this feature.

Years

Between: -

Subjects

remove_circle_outline
remove_circle_outline
remove_circle_outline
remove_circle_outline
remove_circle_outline
remove_circle_outline
remove_circle_outline
remove_circle_outline
remove_circle_outline

Journals

Article Types

Countries / Regions

Search Results (252)

Search Parameters:
Keywords = nonpoint pollution control

Order results
Result details
Results per page
Select all
Export citation of selected articles as:
30 pages, 7257 KB  
Article
Water Surface Ratio and Inflow Rate of Paddy Polder Under the Stella Nitrogen Cycle Model
by Yushan Jiang, Junyu Hou, Fanyu Zeng, Jilin Cheng and Liang Wang
Sustainability 2026, 18(2), 897; https://doi.org/10.3390/su18020897 - 15 Jan 2026
Abstract
To address the challenge of optimizing hydrological parameters for nitrogen pollution control in paddy polders, this study coupled the Stella eco-dynamics model with an external optimization algorithm and developed a nonlinear programming framework using the water surface ratio and inflow rate as decision [...] Read more.
To address the challenge of optimizing hydrological parameters for nitrogen pollution control in paddy polders, this study coupled the Stella eco-dynamics model with an external optimization algorithm and developed a nonlinear programming framework using the water surface ratio and inflow rate as decision variables and the maximum nitrogen removal rate as the objective function. The simulation and optimization conducted for the Hongze Lake polder area indicated that the model exhibited strong robustness, as verified through Monte Carlo uncertainty analysis, with coefficients of variation (CV) of nitrogen outlet concentrations all below 3%. Under the optimal regulation scheme, the maximum nitrogen removal rates (η1, η2, and η4) during the soaking, tillering, and grain-filling periods reached 98.86%, 98.74%, and 96.26%, respectively. The corresponding optimal inflow rates (Q*) were aligned with the lower threshold limits of each growth period (1.20, 0.80, and 0.50 m3/s). The optimal channel water surface ratios (A1*) were 3.81%, 3.51%, and 3.34%, respectively, while the optimal pond water surface ratios (A2*) were 19.94%, 16.30%, and 17.54%, respectively. Owing to the agronomic conflict between “water retention without drainage” and concentrated fertilization during the heading period, the maximum nitrogen removal rate (η3) during this stage was only 37.34%. The optimal channel water surface ratio (A1*) was 2.37%, the pond water surface ratio (A2*) was 19.04%, and the outlet total nitrogen load increased to 8.39 mg/L. Morphological analysis demonstrated that nitrate nitrogen and organic nitrogen dominated the outlet water body. The “simulation–optimization” coupled framework established in this study can provides quantifiable decision-making tools and methodological support for the precise control and sustainable management of agricultural non-point source pollution in the floodplain area. Full article
23 pages, 4805 KB  
Article
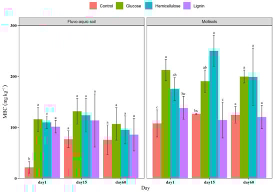
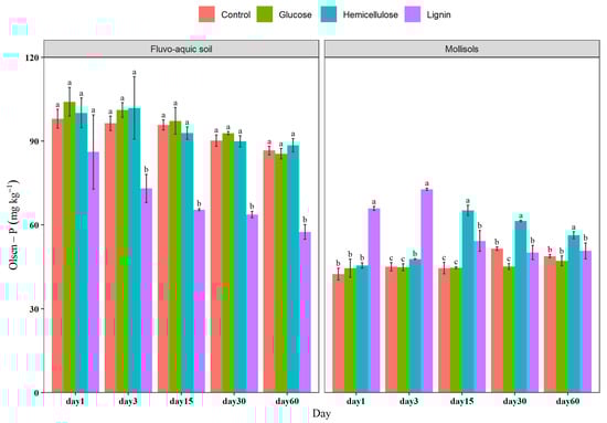
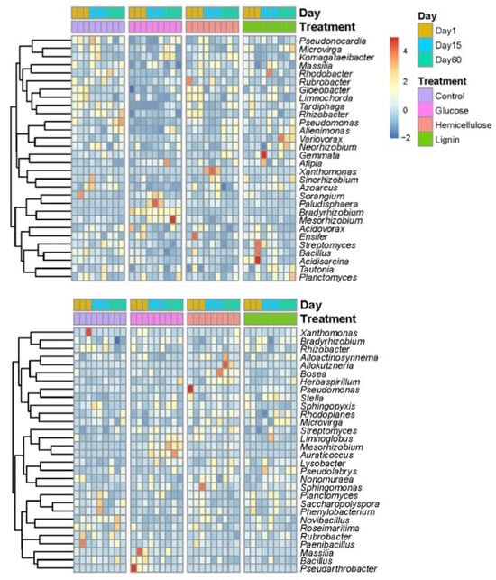
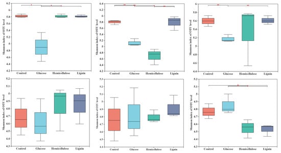
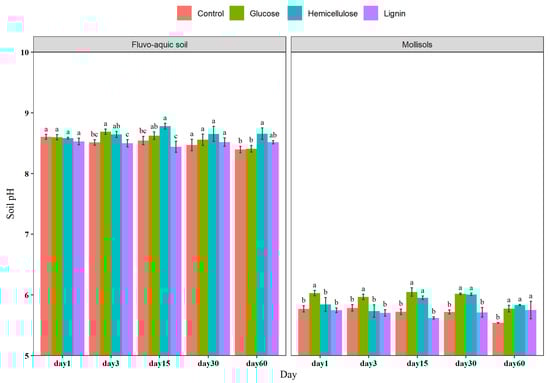
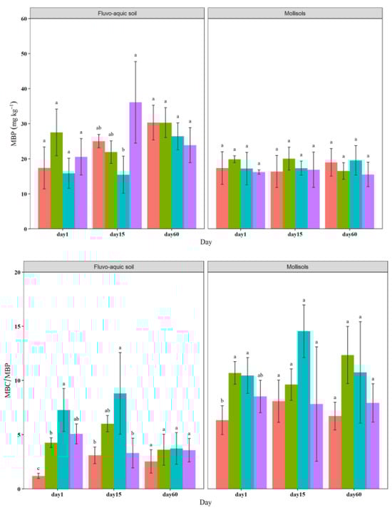
Glucose and Lignin Differentially Drive Phosphorus Fractions to Vary in Mollisols (WRB) and Fluvo-Aquic Soil (Chinese Soil Taxonomy) via Microbial Community Shifts
by Xue Li, Fuyue Dai, Shuo Chen, Hongyuan Wang, Shuxia Wu, Bingqian Fan and Hongbin Liu
Agriculture 2026, 16(2), 213; https://doi.org/10.3390/agriculture16020213 - 14 Jan 2026
Viewed by 29
Abstract
Carbon (C) is crucial for nutrient cycling and the assembly of microbial populations in the soil. However, it is still unclear how the C-source utilization characteristics of microbes in distinct types of soils respond to changes in soil phosphorus (P) activity. This study [...] Read more.
Carbon (C) is crucial for nutrient cycling and the assembly of microbial populations in the soil. However, it is still unclear how the C-source utilization characteristics of microbes in distinct types of soils respond to changes in soil phosphorus (P) activity. This study investigated how the addition of different C sources with different decomposition rates (glucose, hemicellulose, and lignin) affects P transformation in two distinct agricultural soils (i.e., Mollisols and Fluvo-aquic soil). Results revealed that the short-term glucose addition to soil induced rapid acidification and microbial biomass accumulation, thereby significantly increasing labile P (NaHCO3-Pi, NaOH-Po) content in Fluvo-aquic soil. Lignin amendment promoted gradual HCl-P release in Mollisols, reflecting differential microbial utilization strategies. Glucose stimulated phosphatase activity (2.5–3.0× control) and phoD gene abundance (4.8×) in Fluvo-aquic soil in the early stage, favoring the growth of Pseudomonas and Burkholderia, whereas lignin sustained the mineralization of fungal-associated P in Mollisols (1.8–2.3× phosphatase activity) by enhancing the abundance of Streptomyces and Bradyrhizobium. Soil type dictated P mobilization efficiency. The Fluvo-aquic soil exhibited rapid but transient P release via bacterial dominance, while Mollisols retained slower yet persistent P availability through specialized microbial consortia. Notably, glucose enhanced organic P mineralization by stimulating C decomposition by microbes, particularly in C-rich Mollisols. Lignin increased P availability in Mollisols via Fe/Al-P desorption. However, in Fluvo-aquic soil, lignin reduced the availability of P through microbial immobilization. These findings highlight that C source degradability and soil properties interactively govern microbial-mediated P cycling in soil. Therefore, organic amendments in contrasting agroecosystems need to be optimized. Full article
(This article belongs to the Special Issue Phosphorus Utilization and Management in Agricultural Soil Systems)
Show Figures

Figure 1

28 pages, 1401 KB  
Article
Research on Extended STIRPAT Model of Agricultural Grey Water Footprint from the Perspective of Green Development
by Zhili Huang and Zhenhuang Lin
Processes 2026, 14(2), 268; https://doi.org/10.3390/pr14020268 - 12 Jan 2026
Viewed by 123
Abstract
The accounting and analysis of agricultural grey water footprint (AGWF) are crucial for building a low-water-consumption agricultural production model and improving water resource efficiency in Fujian Province. This study innovatively integrated green development indicators into an extended STIRPAT model, quantitatively analyzed the drivers [...] Read more.
The accounting and analysis of agricultural grey water footprint (AGWF) are crucial for building a low-water-consumption agricultural production model and improving water resource efficiency in Fujian Province. This study innovatively integrated green development indicators into an extended STIRPAT model, quantitatively analyzed the drivers of AGWF from six dimensions (population, economy, technology, dietary structure, meteorology, and green development) based on data from 2009 to 2023. The results indicated that the AGWF in Fujian Province exhibited an overall upward trend, increasing from 114.61 billion m3 to 221.30 billion m3. Population expansion (elasticity: 0.49853) and economic growth (elasticity: 0.46329) were identified as the primary positive drivers, while technological progress exerted a mitigating effect (elasticity: −0.07253). The impacts of dietary structure, precipitation, and green development measures, though statistically significant, were quantitatively limited within the study period (elasticities of 0.0312, 0.0273, and 0.004, respectively). These findings provide quantitative support for formulating targeted policies for agricultural water resource management and non-point source pollution control in regions with similar characteristics. Full article
Show Figures

Figure 1

23 pages, 8392 KB  
Article
Analysis of Critical “Source-Area-Period” of Agricultural Non-Point Source Pollution in Typical Hilly and Mountainous Areas: A Case Study of Yongchuan District, Chongqing City, China
by Yanrong Lu, Xiuhong Li, Meiying Sun, Le Zhang, Yuying Zhang, Yitong Yin and Rongjin Yang
Agriculture 2026, 16(1), 103; https://doi.org/10.3390/agriculture16010103 - 31 Dec 2025
Viewed by 252
Abstract
Significant achievements have been made in the control of point source pollution. However, agricultural non-point source pollution (AGNPSP) has become a serious threat to ecological environment quality and is now the main source of pollution in the Yangtze River Basin. The topographical features [...] Read more.
Significant achievements have been made in the control of point source pollution. However, agricultural non-point source pollution (AGNPSP) has become a serious threat to ecological environment quality and is now the main source of pollution in the Yangtze River Basin. The topographical features of the upper Yangtze River region are primarily characterised by hilly and mountainous terrain, marked by steep slopes and pronounced undulations. This renders the land susceptible to soil erosion, thereby becoming a significant conduit for the entry of AGNPSP into water bodies. Consequently, there is an urgent need to identify critical sources, areas and periods of AGNPSP and to promote the effective prevention and control of such pollution. The present study adopted the Yongchuan District of Chongqing, a region characterised by hilly and mountainous terrain in the upper reaches of the Yangtze River, as a case study. The research, conducted from 2018 to 2021, sought to identify the “critical sources—areas—periods“ of AGNPSP. In order to surmount the challenge posed by the absence of fundamental data, the study constructed and integrated three models. The export coefficient model was used to calculate the pollution load, the pollutant load intensity model was used for spatial analysis, and the equal-scale pollution load equation was used to assess the contribution degree of different pollutants. Furthermore, the study developed a monthly pollutant flux model to accurately identify the critical pollution periods within the year. In conclusion, the research results have indicated the necessity of a governance strategy that is to be implemented with utmost priority. This strategy is to be based on the following hierarchy: critical sources, areas, and periods. The results of the study indicate the following: (1) The pollutants that exhibit the greatest contribution in Yongchuan District are total nitrogen (TN)and chemical oxygen demand (COD), accounting for 34% and 33%, respectively. The primary source of pollution is attributed to livestock and poultry breeding, accounting for 49.7% of the total pollution load. (2) The critical area of AGNPSP in Yongchuan District is located in the south of the district and primarily comprises Zhutuo Town, Hegeng Town and Xianlong Town. Among the critical areas identified, livestock and poultry farming accounts for 68% of the pollution load. (3) The monthly variation of pollutant fluxes demonstrates a single peak pattern, with the peak occurring in June. The data indicates that the flux of pollutants in June and July accounted for 37% of the total, thus identifying these months as critical periods for the management of AGNPSP in Yongchuan District. The critical source–area–period analysis indicates that the comprehensive management strategy for AGNPSP should focus on critical sources, areas and periods. Furthermore, it should adopt a prioritised, zoned and phased management approach. This approach has the potential to promote cost-effective and efficient prevention and control, thereby facilitating the achievement of sustainable agricultural development. Full article
(This article belongs to the Section Agricultural Soils)
Show Figures

Figure 1

19 pages, 8499 KB  
Article
Study on the Relationship Between Landscape Features and Water Eutrophication in the Liangzi Lake Basin Based on the XGBoost Machine Learning Algorithm and the SHAP Interpretability Method
by Shen Fu, Jianxiang Zhang, Si Chen, Yuan Zhang, Qi Yu, Min Wang and Hai Liu
Land 2026, 15(1), 5; https://doi.org/10.3390/land15010005 - 19 Dec 2025
Viewed by 256
Abstract
Lake eutrophication exhibits pronounced spatial heterogeneity at the watershed scale, yet a systematic and quantitative understanding of how landscape characteristics drive these variations remains limited. In this study, a long-term and internally consistent trophic state dataset for the Liangzi Lake Basin was constructed [...] Read more.
Lake eutrophication exhibits pronounced spatial heterogeneity at the watershed scale, yet a systematic and quantitative understanding of how landscape characteristics drive these variations remains limited. In this study, a long-term and internally consistent trophic state dataset for the Liangzi Lake Basin was constructed by integrating Landsat imagery from 1990 to 2022 with a semi-analytical water color inversion method. A multi-scale landscape feature system incorporating both land use composition and landscape pattern metrics was developed at the sub-basin level to elucidate the mechanisms by which landscape characteristics influence eutrophication dynamics. The XGBoost model was employed to characterize the nonlinear relationships between landscape attributes and trophic conditions, while the SHAP interpretability approach was applied to quantify the relative contribution of individual landscape components and their interaction pathways. The analytical framework demonstrates that landscape pattern attributes—such as fragmentation, diversity, and connectivity—play essential roles in shaping the spatial variability of eutrophication by modulating hydrological processes, nutrient transport, and ecological buffering capacity. By integrating remote sensing observations with interpretable machine learning, the study reveals the complexity and scale dependence of landscape–water interactions, providing a methodological foundation for advancing the understanding of eutrophication drivers. The findings offer theoretical guidance and practical references for optimizing watershed landscape planning, controlling non-point source pollution, and supporting ecological restoration efforts in lake basins. Full article
Show Figures

Figure 1

17 pages, 3009 KB  
Article
Study on Calculation of Nonpoint Source Pollution Load into Taipu River Based on InVEST Model
by Hongyu Yu, Feng Liu, Weiwei Wu, Xiangpeng Mu, Hui Liu and Baiyinbaoligao
Sustainability 2026, 18(1), 31; https://doi.org/10.3390/su18010031 - 19 Dec 2025
Viewed by 180
Abstract
To address the challenges in simulating nonpoint source pollution inflow, pollutant source distribution, and migration pathways in plain river network regions, this study innovatively proposes an optimized technical framework based on the NDR module of the InVEST model. Through land use data reconstruction, [...] Read more.
To address the challenges in simulating nonpoint source pollution inflow, pollutant source distribution, and migration pathways in plain river network regions, this study innovatively proposes an optimized technical framework based on the NDR module of the InVEST model. Through land use data reconstruction, DEM negative value correction, and flow accumulation threshold optimization, the framework effectively resolves key issues including pollutant receiving water identification, runoff path simulation, and pollutant migration termination determination, significantly enhancing the model’s applicability to complex river systems. Using the Taipu River as a case study, this research investigates the spatial distribution characteristics of nonpoint source pollution load inflow and its sources in major rivers within plain river network regions. Results show that in 2023, total nitrogen and total phosphorus inflows into the Taipu River were 1004.11 t/a and 83.80 t/a, respectively, with pollution loads primarily originating from the Wangning Polders in the midstream, Chengnan New District Small Watersheds and Chang Yang River Small Watersheds, mainly entering the Taipu River through tributaries such as the Beijing-Hangzhou Grand Canal and Nanzha Port. Calculations based on measured data indicate total nitrogen and total phosphorus inflows into the Taipu River were approximately 1300 t/a and 90 t/a, respectively, consistent with model predictions. Building on environmental capacity assessment results, this study proposes targeted recommendations for precision-based nonpoint source pollution control in the Taipu River basin. The findings provide scientific evidence and technical paradigms for nonpoint source pollution management and sustainable management in plain river network regions. Full article
Show Figures

Figure 1

17 pages, 1770 KB  
Article
Analysis of the First Flush Effect of Rainfall Runoff Pollution in Typical Livestock and Poultry Breeding Areas
by Jie Wang, Yan Wang, Chunhua Li and Chun Ye
Water 2025, 17(24), 3487; https://doi.org/10.3390/w17243487 - 10 Dec 2025
Viewed by 380
Abstract
Livestock manure is currently one of the major sources of non-point source pollution. Reasonably determining the impact of rainfall runoff on free-range livestock areas and identifying the rainfall interception time for different pollutants are of great significance for managing watershed water environments. Using [...] Read more.
Livestock manure is currently one of the major sources of non-point source pollution. Reasonably determining the impact of rainfall runoff on free-range livestock areas and identifying the rainfall interception time for different pollutants are of great significance for managing watershed water environments. Using the Yongchuan District of Chongqing as a case study, the runoff water pollution scouring results (M(V) curve) of typical areas, including free-range livestock and poultry breeding areas and park impermeable road, were tested and analyzed by using an artificial rainfall simulation device under 45 and 90 mm/h, aiming to provide a reference for the efficient interception of main pollutants in different livestock and poultry breeding areas. The results of the M(V) curve analysis revealed the following: (1) Among the 15 pollutants in the livestock and poultry breeding area of the study area, the first flushing effect of total dissolved phosphorus and nitrite nitrogen was the most obvious. After 24 min of rainfall, the cumulative load of total dissolved phosphorus in this area accounted for 85.71% of the total load, while the cumulative load of nitrite nitrogen accounted for 83.41% of the total load at this time. (2) The first flush effect of pollutants at 45 mm/h is higher than that at 90 mm/h. At 45 mm/h, the first flush effect of pollutants is in the order of total dissolved phosphorus > nitrite nitrogen > total nitrogen > ammonia nitrogen > permanganate index, while at 90 mm/h, it is nitrite nitrogen > permanganate index > ammonia nitrogen > total dissolved phosphorus > total nitrogen. This phenomenon can be attributed to the distinct existence forms of pollutants in road runoff (dissolved and particulate phases), combined with the smaller raindrop diameter and steeper wash-off slope under 45 mm/h. (3) Distinct patterns in total pollution load and first flush effects were observed across different livestock and poultry breeding areas. The highest total pollutant load was recorded in the hen farm, whereas the most intensive first flush occurred in large-scale pig and goose farms. Furthermore, 52.68 to 82.63% of pollutants in Yongchuan District’s livestock and poultry breeding areas can be effectively intercepted by setting the initial rainfall interception time to within 18~24 min after rainfall runoff, as indicated by comparative analysis with relevant water quality standards. Research demonstrates significant first flush effects in livestock and poultry breeding areas of Yongchuan District, Chongqing. It is recommended to implement rainfall interception measures within 18~24 min after rainfall runoff. These findings provide valuable references for effective pollution control of rainfall runoff from impervious surfaces. Full article
(This article belongs to the Section Water Quality and Contamination)
Show Figures

Graphical abstract

23 pages, 6822 KB  
Article
From Retrieval to Fate: UAV-Based Hyperspectral Remote Sensing of Soil Nitrogen and Its Leaching Risks in a Wheat-Maize Rotation System
by Zilong Zhang, Shiqin Wang, Jingjin Ma, Chunying Wang, Zhixiong Zhang, Xiaoxin Li, Wenbo Zheng and Chunsheng Hu
Remote Sens. 2025, 17(24), 3956; https://doi.org/10.3390/rs17243956 - 7 Dec 2025
Viewed by 482
Abstract
Spatiotemporally continuous monitoring of soil nitrogen is essential for rational farmland nitrogen management and non-point source pollution control. This study focused on a typical wheat-maize rotation system in the North China Plain under four nitrogen fertilizer application levels (N0: 0 kg/ha; N200: 200 [...] Read more.
Spatiotemporally continuous monitoring of soil nitrogen is essential for rational farmland nitrogen management and non-point source pollution control. This study focused on a typical wheat-maize rotation system in the North China Plain under four nitrogen fertilizer application levels (N0: 0 kg/ha; N200: 200 kg/ha; N400: 400 kg/ha; N600: 600 kg/ha). By integrating soil profile sampling with UAV-based hyperspectral remote sensing, we identified soil nitrogen distribution characteristics and established a retrieval relationship between hyperspectral data and seasonal soil nitrogen dynamics. Results showed that higher nitrogen fertilizer levels significantly increased soil nitrogen content, with N400 and N600 causing nitrate nitrogen (NO3-N) peaks in both surface and deep layers indicating leaching risk. Hyperspectral imagery at the jointing stage, combined with PLSR and XGBoost-SHAP models, effectively retrieved NO3-N at 0–50 cm depths. Canopy spectral traits correlated with nitrogen leaching and deep accumulation, suggesting they can serve as early indicators of leaching risk. The “sky-ground” collaborative approach provides conceptual and technical support for precise nitrogen management and pollution control. Full article
Show Figures

Figure 1

21 pages, 2916 KB  
Article
Bridging Uncertainty in SWMM Model Calibration: A Bayesian Analysis of Optimal Rainfall Selection
by Zhiyu Shao, Jinsong Wang, Xiaoyuan Zhang, Jiale Du and Scott Yost
Water 2025, 17(23), 3435; https://doi.org/10.3390/w17233435 - 3 Dec 2025
Viewed by 544
Abstract
SWMM (Stormwater Management Model) is one of the most widely used computation tools in urban water resources management. Traditionally, the choice of rainfall data for calibrating the SWMM model has been arbitrary, lacking clarity on the most suitable rainfall types. In addition, the [...] Read more.
SWMM (Stormwater Management Model) is one of the most widely used computation tools in urban water resources management. Traditionally, the choice of rainfall data for calibrating the SWMM model has been arbitrary, lacking clarity on the most suitable rainfall types. In addition, the simplification in the SWMM hydrological module of the rainfall–runoff process, coupled with measurement errors, introduces a high level of uncertainty in the calibration. This study investigates the influences of rainfall types on the highly uncertain SWMM model calibration by implementing the Bayesian inference theory. A Bayesian SWMM calibration framework was established, in which an advanced DREAM(zs) (Differential Evolution Adaptive Metropolis, Version ZS) sampling method was used. The investigation focused on eight key hydrological parameters of SWMM. The impact of rainfall types was analyzed using nine rainfall intensities and three rainfall patterns. Results show that rainfall events equivalent to a one-year return period (R5, 42.70 mm total depth) or higher generally yield the most accurate parameters, with posterior distribution standard deviations reduced by 40–60% compared to low-intensity rainfalls. Notably, three parameters (impervious area percentage [Imperv], storage depth of impervious area [S-imperv], and Manning’s coefficient of impervious area [N-imperv]) demonstrated consistent accuracy irrespective of rainfall intensity, with a coefficient of variation below 0.05 for Imperv and S-imperv across all rainfall intensities. Furthermore, it was found that rainfall events with double peaks resulted in more satisfactory calibration compared to single or triple peaks, reducing the standard deviation of the Width parameter from 168.647 (single-peak) to 110.789 (double-peak). The findings from this study could offer valuable insights for selecting appropriate rainfall events before SWMM model calibration for more accurate predictions when it comes to urban non-point pollution control strategies and watershed management. Full article
Show Figures

Figure 1

18 pages, 1750 KB  
Article
Forecasting and Fertilization Control of Agricultural Non-Point Source Pollution with Short-Term Meteorological Data
by Haoran Wang, Liming Zhang, Yinguo Qiu, Ruigang Nan, Yan Jin, Jianing Xie, Qitao Xiao and Juhua Luo
Appl. Sci. 2025, 15(23), 12688; https://doi.org/10.3390/app152312688 - 29 Nov 2025
Viewed by 303
Abstract
Agricultural non-point source pollution (AGNPSP) is one of the core challenges facing global water environment management. Existing research mainly focuses on post-event estimation of pollution loads and source analysis, while studies on proactive risk warning for watershed non-point source pollution are relatively limited, [...] Read more.
Agricultural non-point source pollution (AGNPSP) is one of the core challenges facing global water environment management. Existing research mainly focuses on post-event estimation of pollution loads and source analysis, while studies on proactive risk warning for watershed non-point source pollution are relatively limited, especially those that integrate with agricultural production practices. Therefore, this study takes the River Tongyang Watershed as the research object and establishes a fertilization warning and regulation model based on short-term meteorological data. First, it simulates the migration and transformation processes of pollutants within the watershed under different meteorological conditions and analyzes their spatiotemporal evolution characteristics. Then, combined with real-time water quality monitoring data at the lake inlet, it calculates the residual environmental capacity for pollutants in the river water. Finally, based on this environmental capacity and the farmland area, it back-calculates the maximum safe fertilization amount for each plot under different meteorological scenarios to achieve precise fertilization management. When the planned fertilization amount does not exceed this maximum safe value, environmental risks are within a controllable range; if exceeded, fertilization should be proportionally reduced to prevent non-point source pollution. The results indicate that this model can accurately predict the concentration trends of non-point source pollutants and can develop differentiated fertilization strategies based on rainfall scenarios. The “fertilization determined by water” decision-making framework established in this study provides a technically significant pathway for shifting watershed agricultural non-point source pollution management from passive treatment to active prevention. Full article
Show Figures

Figure 1

23 pages, 2462 KB  
Article
Mechanistic Insights into the Differential Effects of Biochar and Organic Fertilizer on Nitrogen Loss Pathways in Vegetable Soils: Linking Soil Carbon, Aggregate Stability, and Denitrifying Microbes
by Shixiong Li, Linsong Hu, Chun Ma, Manying Li, Yuanyang Peng, Yin Peng, Xilatu Dabu and Jiangling Huang
Agriculture 2025, 15(22), 2326; https://doi.org/10.3390/agriculture15222326 - 8 Nov 2025
Viewed by 651
Abstract
Biochar and organic fertilizer applications are widely recognized as effective strategies for mitigating greenhouse gas emissions and controlling agricultural non-point source pollution in agroecosystems. However, the combined effects of these two approaches on greenhouse gas emissions and agricultural non-point source pollution remain insufficiently [...] Read more.
Biochar and organic fertilizer applications are widely recognized as effective strategies for mitigating greenhouse gas emissions and controlling agricultural non-point source pollution in agroecosystems. However, the combined effects of these two approaches on greenhouse gas emissions and agricultural non-point source pollution remain insufficiently understood. Through consecutive field-based positioning plot trials, this study systematically examined the individual and combined effects of biochar and organic fertilizer amendments on N runoff loss (WTN) and gaseous emissions (N2O and NH3), N-cycling functional microbial communities, and soil physicochemical properties. Results demonstrated that conventional chemical fertilization resulted in 20.70% total N loss (4.48% gaseous emissions, 15.22% runoff losses). Biochar and organic fertilizer applications significantly reduced WTN losses by 8.06% and 7.43%, respectively, and decreased gaseous losses by 2.01% and 1.88%, while concurrently enhancing plant N uptake and soil residual N. Random forest analysis combined with partial least squares structural equation modeling revealed that soil organic carbon directly modulated nitrogen runoff losses and indirectly influenced aggregate stability and macroaggregate formation. Dissolved organic carbon (DOC) and recalcitrant organic carbon (ROC) exhibited dual regulatory effects on NH3 volatilization through both direct pathways and indirect mediation via aggregate stability. Notably, biochar and organic fertilizer amendments induced significant compositional shifts in nirS- and nirK-type denitrifying microbial communities. pH, cation exchange capacity (CEC), and iron oxide–carbon complexes (IOCS) were identified as key factors suppressing N2O emissions through inhibitory effects on Azoarcus and Bosea genera. Our findings demonstrate that biochar and organic fertilizers differentially modulate soil physicochemical properties and denitrifier community structure, with emission reduction disparities attributable to distinct mechanisms’ enhanced aggregate stability and modified denitrification potential through genus-level microbial community restructuring, particularly affecting Azoarcus and Bosea populations. This study offers valuable insights into the regulation of carbon sources for nitrogen management strategies within sustainable acidic soil vegetable production systems. Full article
(This article belongs to the Section Agricultural Soils)
Show Figures

Figure 1

21 pages, 12126 KB  
Article
Optimization of Synergistic Water Resources, Water Environment, and Water Ecology Remediation and Restoration Project: Application in the Jinshan Lake Basin
by Wenyang Jiang, Xin Liu, Yue Wang, Yue Zhang, Xinxin Chen, Yuxing Sun, Jun Chen and Wanshun Zhang
Water 2025, 17(20), 2986; https://doi.org/10.3390/w17202986 - 16 Oct 2025
Viewed by 568
Abstract
The concept of synergistic water resources, water environment, water ecology remediation, and restoration (3WRR) is essential for addressing the interlinked challenges of water scarcity, pollution, and ecological degradation. An intelligent platform of remediation and restoration project optimization was developed, integrating multi-source data fusion, [...] Read more.
The concept of synergistic water resources, water environment, water ecology remediation, and restoration (3WRR) is essential for addressing the interlinked challenges of water scarcity, pollution, and ecological degradation. An intelligent platform of remediation and restoration project optimization was developed, integrating multi-source data fusion, a coupled air–land–water model, and dynamic decision optimization to support 3WRR in river basins. Applied to the Jinshan Lake Basin (JLB) in China’s Greater Bay Area, the platform assessed 894 scenarios encompassing diverse remediation and restoration plans, including point/non-point source reduction, sediment dredging, recycled water reuse, ecological water replenishment, and sluice gate control, accounting for inter-annual meteorological variability. The results reveal that source control alone (95% reduction in point and non-point loads) leads to limited improvement, achieving less than 2% compliance with Class IV water quality standards in tributaries. Integrated engineering–ecological interventions, combining sediment dredging with high-flow replenishment from the Xizhijiang River (26.1 m3/s), increases compliance days of Class IV water quality standards by 10–51 days. Concerning the lake plans, including sluice regulation and large-volume water exchange, the lake area met the Class IV standard for COD, NH3-N, and TP by over 90%. The platform’s multi-objective optimization framework highlights that coordinated, multi-scale interventions substantially outperform isolated strategies in both effectiveness and sustainability. These findings provide a replicable and data-driven paradigm for 3WRR implementation in complex river–lake systems. The platform’s application and promotion in other watersheds worldwide will serve to enable the low-cost and high-efficiency management of watershed water environments. Full article
(This article belongs to the Section Water Resources Management, Policy and Governance)
Show Figures

Figure 1

31 pages, 6434 KB  
Article
Research on the Impact of Landscape Pattern in Haikou City on Urban Water Body Quality
by Yingping Zhong, Yunxia Du, Ya Huang, Shusong Huang and Jing Pu
Water 2025, 17(20), 2922; https://doi.org/10.3390/w17202922 - 10 Oct 2025
Viewed by 676
Abstract
In the rapid development process of cities, as important ecological corridors and landscape carriers, the water quality conditions of urban water bodies are not only related to the health of the ecological environment, but also closely linked to the quality of life of [...] Read more.
In the rapid development process of cities, as important ecological corridors and landscape carriers, the water quality conditions of urban water bodies are not only related to the health of the ecological environment, but also closely linked to the quality of life of residents. The landscape pattern, as an important component of the urban ecosystem, has a potential impact on water quality. As a tropical coastal city, the unique water network pattern of Haikou City is facing the dual challenges of landscape fragmentation and water quality pollution in its rapid urban expansion. In order to study the impact of the landscape pattern of Haikou City on urban water bodies, this study takes the urban water bodies of Haikou City as the research object. By comprehensively applying landscape ecology methods and water quality monitoring techniques, and using landscape pattern indices (such as the number of patches, fragmentation degree, spread degree, etc.) and on-site investigation of water quality parameter data (such as chemical oxygen demand (COD), total nitrogen (TN), total phosphorus (TP), etc.), and by using correlation analysis and redundancy analysis, we explore the mechanism by which landscape patterns affect water quality. The results show that: (1) There are significant differences in water quality among water bodies. The concentrations of COD and TN in Hongcheng Lake are relatively high. The average values reached 86.603 mg/L and 13.368 mg/L, respectively, mainly affected by the high-intensity construction land around. Jinniu Lake has a high degree of landscape fragmentation and relatively high concentrations of NH3-N and TP. The average values are 2.086 mg/L and 0.154 mg/L, respectively. The Meishe River has a strong water purification capacity due to its good vegetation coverage. (2) The influence of landscape pattern on water quality has a scale effect. Hongcheng Lake, Jinniu Lake, and Meishe River all have the best interpretation rate of water quality in the 2000 m buffer zone landscape pattern. (3) The expansion of construction land has significantly exacerbated water pollution, while natural vegetation landscapes with high connectivity and low fragmentation can effectively improve water quality. The research reveals the correlation between urban landscape planning and water quality protection. It is suggested that by enhancing ecological connectivity, controlling non-point source pollution, and implementing differentiated seasonal management, the self-purification capacity of water bodies can be improved, providing a scientific basis for ecological restoration and sustainable development in Haikou City. Full article
(This article belongs to the Section Urban Water Management)
Show Figures

Figure 1

21 pages, 10220 KB  
Article
Fragmentation Susceptibility of Controlled-Release Fertilizer Particles: Implications for Nutrient Retention and Sustainable Horticulture
by Zixu Chen, Yongxian Wang, Xiubo Chen, Linlong Jing, Linlin Sun, Hongjian Zhang and Jinxing Wang
Horticulturae 2025, 11(10), 1215; https://doi.org/10.3390/horticulturae11101215 - 9 Oct 2025
Viewed by 593
Abstract
As an important technology to enhance nutrient use efficiency and reduce agricultural non-point source pollution, controlled-release fertilizers (CRFs) have been widely applied in modern agriculture. However, during packaging, transportation, and field application, CRF particles are prone to mechanical impacts, which can lead to [...] Read more.
As an important technology to enhance nutrient use efficiency and reduce agricultural non-point source pollution, controlled-release fertilizers (CRFs) have been widely applied in modern agriculture. However, during packaging, transportation, and field application, CRF particles are prone to mechanical impacts, which can lead to particle fragmentation and damage to the controlled-release coating. This compromises the release kinetics, increases nutrient loss risk, and ultimately exacerbates environmental issues such as eutrophication. Currently, studies on the impact-induced fragmentation behavior of CRF particles remain limited, and there is an urgent need to investigate their fragmentation susceptibility mechanisms from the perspective of internal stress evolution. In this study, the mechanical properties of CRF particles were first experimentally determined to obtain essential parameters. A two-layer finite element model representing the coating and core structure of the particles was then constructed, and a fragmentation susceptibility index was proposed as the key evaluation criterion. The index, defined as the ratio of fractured volume to peak impact energy, reflects the efficiency of energy conversion at the critical moment of particle rupture (1–5). An explicit dynamic simulation framework incorporating multiple influencing factors—equivalent diameter, sphericity, impact material, velocity, and angle—was developed to analyze fragmentation behavior from the perspective of energy transformation. Based on the observed effects of these variables on fragmentation susceptibility, three regression models were developed using response surface methodology to quantitatively predict fragmentation susceptibility. Comparative analysis between the simulation and experimental results showed a fragmentation rate error range of 0–11.47%. The findings reveal the relationships between particle fragmentation modes and energy responses under various impact conditions. This research provides theoretical insights and technical guidance for optimizing the mechanical stability of CRFs and developing environmentally friendly fertilization strategies. Full article
(This article belongs to the Section Plant Nutrition)
Show Figures

Figure 1

24 pages, 2044 KB  
Article
Evaluation of the Synergistic Control Efficiency of Multi-Dimensional Best Management Practices Based on the HYPE Model for Nitrogen and Phosphorus Pollution in Rural Small Watersheds
by Yi Wang, Yule Liu, Huawu Wu, Junwei Ding, Qian Xiao and Wen Chen
Agriculture 2025, 15(19), 2030; https://doi.org/10.3390/agriculture15192030 - 27 Sep 2025
Viewed by 888
Abstract
Non-point source pollution (NPS) from agriculture is a primary driver of water eutrophication, necessitating effective control for regional water ecological security and sustainable agricultural development. This study focuses on the Chenzhuang village watershed, a typical green agricultural demonstration area in Jiangsu Province, using [...] Read more.
Non-point source pollution (NPS) from agriculture is a primary driver of water eutrophication, necessitating effective control for regional water ecological security and sustainable agricultural development. This study focuses on the Chenzhuang village watershed, a typical green agricultural demonstration area in Jiangsu Province, using the HYPE model to analyze hydrological processes and Total Nitrogen (TN) and Total Phosphorus (TP) migration patterns. The model achieved robust performance, with Nash–Sutcliffe Efficiency (NSE) values exceeding 0.7 for daily runoff and 0.35 for monthly TN and TP simulations, ensuring reliable predictions. A multi-scenario simulation framework evaluated the synergistic control effectiveness of Best Management Practices (BMPs), including agricultural production management, nutrient management, and landscape configuration, on TN and TP pollution. The results showed that crop rotation reduced annual average TN and TP concentrations by 11.8% and 13.6%, respectively, by shortening the fallow period. Substituting 50% of chemical fertilizers with organic fertilizers decreased TN by 50.5% (from 1.92 mg/L to 0.95 mg/L) and TP by 68.2% (from 0.22 mg/L to 0.07 mg/L). Converting 3% of farmland to forest enhanced pollutant interception, reducing TN by 4.14% and TP by 2.78%. The integrated BMP scenario (S13), combining these measures, achieved TN and TP concentrations of 0.63 mg/L and 0.046 mg/L, respectively, meeting Class II surface water standards since 2020. Economic analysis revealed an annual net income increase of approximately 15,000 CNY for a 50-acre plot. This was achieved through cost savings, increased crop value, and policy compensation. These findings validate a “source reduction–process interception” approach, providing a scalable management solution for NPS control in small rural watersheds while balancing environmental and economic benefits. Full article
(This article belongs to the Special Issue Detection and Management of Agricultural Non-Point Source Pollution)
Show Figures

Figure 1

Back to TopTop