Sign in to use this feature.

Years

Between: -

Subjects

remove_circle_outline
remove_circle_outline
remove_circle_outline
remove_circle_outline
remove_circle_outline
remove_circle_outline

Journals

Article Types

Countries / Regions

Search Results (53)

Search Parameters:
Keywords = nonminimum phase system

Order results
Result details
Results per page
Select all
Export citation of selected articles as:
27 pages, 9914 KB  
Article
Design of Robust Adaptive Nonlinear Backstepping Controller Enhanced by Deep Deterministic Policy Gradient Algorithm for Efficient Power Converter Regulation
by Seyyed Morteza Ghamari, Asma Aziz and Mehrdad Ghahramani
Energies 2025, 18(18), 4941; https://doi.org/10.3390/en18184941 - 17 Sep 2025
Viewed by 728
Abstract
Power converters play an important role in incorporating renewable energy sources into power systems. Among different converter designs, Buck and Boost converters are popular, as they use fewer components and deliver cost savings and high efficiency. However, Boost converters are known as non–minimum [...] Read more.
Power converters play an important role in incorporating renewable energy sources into power systems. Among different converter designs, Buck and Boost converters are popular, as they use fewer components and deliver cost savings and high efficiency. However, Boost converters are known as non–minimum phase systems, imposing harder constraints for designing a robust converter. Developing an efficient controller for these topologies can be difficult since they exhibit nonlinearity and distortion in high frequency modes. The Lyapunov-based Adaptive Backstepping Control (ABSC) technology is used to regulate suitable outputs for these structures. This approach is an updated version of the technique that uses the stability Lyapunov function to produce increased stability and resistance to fluctuations in real-world circumstances. However, in real-time situations, disturbances with larger ranges such as supply voltage changes, parameter variations, and noise may have a negative impact on the operation of this strategy. To increase the controller’s flexibility under more difficult working settings, the most appropriate first gains must be established. To solve these concerns, the ABSC’s performance is optimized using the Reinforcement Learning (RL) adaptive technique. RL has several advantages, including lower susceptibility to error, more trustworthy findings obtained from data gathering from the environment, perfect model behavior within a certain context, and better frequency matching in real-time applications. Random exploration, on the other hand, can have disastrous effects and produce unexpected results in real-world situations. As a result, we choose the Deep Deterministic Policy Gradient (DDPG) approach, which uses a deterministic action function rather than a stochastic one. Its key advantages include effective handling of continuous action spaces, improved sample efficiency through off-policy learning, and faster convergence via its actor–critic architecture that balances value estimation and policy optimization. Furthermore, this technique uses the Grey Wolf Optimization (GWO) algorithm to improve the initial set of gains, resulting in more reliable outcomes and quicker dynamics. The GWO technique is notable for its disciplined and nature-inspired approach, which leads to faster decision-making and greater accuracy than other optimization methods. This method considers the system as a black box without its exact mathematical modeling, leading to lower complexity and computational burden. The effectiveness of this strategy is tested in both modeling and experimental scenarios utilizing the Hardware-In-Loop (HIL) framework, with considerable results and decreased error sensitivity. Full article
(This article belongs to the Special Issue Power Electronics for Smart Grids: Present and Future Perspectives II)
Show Figures

Figure 1

34 pages, 14222 KB  
Article
Linear Algebra-Based Internal Model Control Strategies for Non-Minimum Phase Systems: Design and Evaluation
by Sebastián Insuasti, Gabriel Gómez-Guerra, Gustavo Scaglia and Oscar Camacho
Processes 2025, 13(9), 2942; https://doi.org/10.3390/pr13092942 - 15 Sep 2025
Viewed by 836
Abstract
This paper addresses the challenge of trajectory tracking in non-minimum-phase systems, which are known for their limitations in performance and stability within process control. The primary objective is to evaluate the feasibility of using linear-algebra-based control strategies to achieve precise tracking in such [...] Read more.
This paper addresses the challenge of trajectory tracking in non-minimum-phase systems, which are known for their limitations in performance and stability within process control. The primary objective is to evaluate the feasibility of using linear-algebra-based control strategies to achieve precise tracking in such systems. The primary hypothesis is that internal model-based compensators can transform non-minimum-phase behavior into equivalent minimum-phase dynamics, thereby enabling the application of linear algebra techniques for controller design. To validate this approach, both simulation and experimental tests are conducted, first with a Continuous Stirred Tank Reactor (CSTR) model and then with the TCLab educational platform. The results show that the proposed method effectively achieves robust trajectory tracking, even in the presence of external disturbances and sensor noise. The primary contribution of this work is to demonstrate that internal model-based compensation enables the application of linear control methods to a class of systems that are typically considered challenging to control. This not only simplifies the design process but also enhances control performance, highlighting the practical relevance and applicability of the approach for real-world non-minimum-phase systems processes. Full article
(This article belongs to the Special Issue Design and Analysis of Adaptive Identification and Control)
Show Figures

Graphical abstract

21 pages, 2550 KB  
Article
A Hybrid Control Strategy for a Gantry Crane with the Concept of Multi-Diffeomorphism
by Samia Snoussi, Khalil Jouili and Sahbi Boubaker
Symmetry 2025, 17(8), 1302; https://doi.org/10.3390/sym17081302 - 12 Aug 2025
Viewed by 649
Abstract
This paper investigates the stabilization problem of a class of nonlinear systems characterized by non-minimum phase behavior within each subsystem, with a focus on an application to a gantry crane system that employs friction to control its swing angle. In practical crane operations, [...] Read more.
This paper investigates the stabilization problem of a class of nonlinear systems characterized by non-minimum phase behavior within each subsystem, with a focus on an application to a gantry crane system that employs friction to control its swing angle. In practical crane operations, the demand for accelerated system response is critical to improving productivity; however, this often induces significant variations in the swing angle, potentially destabilizing the system. To overcome this challenge, we propose a hybrid control approach that combines the concept of multi-diffeomorphism with symmetry considerations to enhance the smoothness of transient responses. Unlike classical input–output feedback linearization, which typically relies on a single diffeomorphism and may compromise the zero dynamics stability, the proposed method distributes the transformation across multiple diffeomorphisms, ensuring balanced and coordinated transient behavior. The design involves the simultaneous development of subsystem-dependent feedback controllers, which collaboratively guarantee the global stability of the overall closed-loop nonlinear gantry crane system. The Lyapunov stability framework is employed to rigorously demonstrate that the tracking errors converge asymptotically to meet the desired performance specifications. In addition, the simulation results demonstrate that the developed hybrid control approach notably enhances the system’s responsiveness while preserving both symmetry and the stability of the zero dynamics. Specifically, the swing angle decreases by over 90% in less than 2 s, highlighting the method’s efficiency in minimizing oscillations during fast operations. This study highlights the practical benefits of integrating symmetry-aware multi-diffeomorphism techniques into nonlinear control design. Such techniques are found to be particularly effective for underactuated mechanical systems like gantry cranes. Full article
(This article belongs to the Section Computer)
Show Figures

Figure 1

18 pages, 3683 KB  
Article
Influence of Aerodynamic Modeling Errors on the Dynamic Characteristics of a Missile
by Qiang Li, Xiaming Yuan and Jihong Zhu
Aerospace 2025, 12(7), 619; https://doi.org/10.3390/aerospace12070619 - 10 Jul 2025
Viewed by 1122
Abstract
Flight mechanics/dynamics models are essential for analyzing aircraft flight performance, where aerodynamic data play a critical role. This paper establishes a missile flight dynamics model and investigates the influence of aerodynamic modeling errors based on wind tunnel test data. Common aerodynamic modeling methods [...] Read more.
Flight mechanics/dynamics models are essential for analyzing aircraft flight performance, where aerodynamic data play a critical role. This paper establishes a missile flight dynamics model and investigates the influence of aerodynamic modeling errors based on wind tunnel test data. Common aerodynamic modeling methods are compared, the effects of longitudinal coefficient deviations on the linearized missile model are analyzed using a deviation test approach, and the results are validated through simulations. The results show that interpolation-based aerodynamic modeling may lead to overfitting; segmented or denser Mach number testing is recommended to improve accuracy. Although aerodynamic error models based on derivatives and coefficients are applicable only within limited flight envelopes, they offer faster simulation and convenient uncertainty introduction. The missile’s longitudinal eigenvalue distribution is affected only by CLα, CmCL, and Cmq¯. The frequency domain differences between lift and pitch control surface effects determine the system’s non-minimum phase behavior. Furthermore, aerodynamic uncertainties may increase overshoot risk in a closed-loop control system, highlighting the need for robust control design. Full article
(This article belongs to the Section Aeronautics)
Show Figures

Figure 1

19 pages, 1289 KB  
Article
Adaptive Control of Nonlinear Non-Minimum Phase Systems Using Actor–Critic Reinforcement Learning
by Monia Charfeddine, Khalil Jouili and Mongi Ben Moussa
Symmetry 2025, 17(7), 1083; https://doi.org/10.3390/sym17071083 - 7 Jul 2025
Cited by 2 | Viewed by 965
Abstract
This study introduces a novel control strategy tailored to nonlinear systems with non-minimum phase (NMP) characteristics. The framework leverages reinforcement learning within a cascade control architecture that integrates an Actor–Critic structure. Controlling NMP systems poses significant challenges due to the inherent instability of [...] Read more.
This study introduces a novel control strategy tailored to nonlinear systems with non-minimum phase (NMP) characteristics. The framework leverages reinforcement learning within a cascade control architecture that integrates an Actor–Critic structure. Controlling NMP systems poses significant challenges due to the inherent instability of their internal dynamics, which hinders effective output tracking. To address this, the system is reformulated using the Byrnes–Isidori normal form, allowing the decoupling of the input–output pathway from the internal system behavior. The proposed control architecture consists of two nested loops: an inner loop that applies input–output feedback linearization to ensure accurate tracking performance, and an outer loop that constructs reference signals to stabilize the internal dynamics. A key innovation in this design lies in the incorporation of symmetry principles observed in both system behavior and control objectives. By identifying and utilizing these symmetrical structures, the learning algorithm can be guided toward more efficient and generalized policy solutions, enhancing robustness. Rather than relying on classical static optimization techniques, the method employs a learning-based strategy inspired by previous gradient-based approaches. In this setup, the Actor—modeled as a multilayer perceptron (MLP)—learns a time-varying control policy for generating intermediate reference signals, while the Critic evaluates the policy’s performance using Temporal Difference (TD) learning. The proposed methodology is validated through simulations on the well-known Inverted Pendulum system. The results demonstrate significant improvements in tracking accuracy, smoother control signals, and enhanced internal stability compared to conventional methods. These findings highlight the potential of Actor–Critic reinforcement learning, especially when symmetry is exploited, to enable intelligent and adaptive control of complex nonlinear systems. Full article
(This article belongs to the Section Engineering and Materials)
Show Figures

Figure 1

35 pages, 5603 KB  
Article
Zero–Average Dynamics Technique Applied to the Buck–Boost Converter: Results on Periodicity, Bifurcations, and Chaotic Behavior
by Diego A. Londoño Patiño, Simeón Casanova Trujillo and Fredy E. Hoyos
Energies 2025, 18(8), 2051; https://doi.org/10.3390/en18082051 - 16 Apr 2025
Viewed by 715
Abstract
This study addresses chaos control in a Buck–Boost converter using ZAD technique and FPIC. The system analysis identified 1-periodic orbits and observed the occurrence of flip bifurcations, indicating chaotic behavior characterized by sensitivity to initial conditions. To mitigate these instabilities, FPIC was successfully [...] Read more.
This study addresses chaos control in a Buck–Boost converter using ZAD technique and FPIC. The system analysis identified 1-periodic orbits and observed the occurrence of flip bifurcations, indicating chaotic behavior characterized by sensitivity to initial conditions. To mitigate these instabilities, FPIC was successfully applied, stabilizing periodic orbits and significantly reducing chaos in the system. Numerical simulations verified the presence of chaos, confirmed by positive Lyapunov exponents, and demonstrated the effectiveness of the applied control methods. Steady-state and transient responses of the open-loop model and experimental system were evaluated, showing a strong correlation between them. Under varying load conditions, the numerical model accurately predicted the converter’s real dynamics, validating the proposed approach. Additionally, closed-loop control with ZAD exhibited robust performance, maintaining stable inductor current even during abrupt load changes, thus achieving effective control in non-minimum phase systems. This work contributes to the design of robust control strategies for power converters, optimizing their stability and dynamic response in applications that require precise management of power under variable conditions. Finally, a comparison was made between the performance of the Buck–Boost converter controlled with ZAD and the one controlled by PID. It was observed that both controllers effectively regulate the current, with a steady-state error of less than 1%. However, the system controlled with ZAD maintains a fixed switching frequency, whereas the PID-controlled system lacks a fixed switching frequency and operates with a very high PWM frequency. This high frequency in the PID-controlled system presents a disadvantage, as it leads to issues such as chattering, duty cycle saturation, and consequently, overheating of the MOSFET. Full article
Show Figures

Figure 1

16 pages, 7025 KB  
Article
An Improved ADRC Design Based on a Generalized Differentiator for a Nonlinear Hydraulic Turbine Regulating System
by Jiwen Zhang, Shaojie Liu, Jingyan Li, Donghai Li and Zhengwei Wang
Processes 2025, 13(1), 86; https://doi.org/10.3390/pr13010086 - 2 Jan 2025
Cited by 2 | Viewed by 1047
Abstract
In recent years, with the advancement of renewable energy technologies, hydropower has assumed an increasingly important regulatory and balancing role in the power system. It plays an important role in grid frequency stability. This requires a faster response speed and superior disturbance immunity [...] Read more.
In recent years, with the advancement of renewable energy technologies, hydropower has assumed an increasingly important regulatory and balancing role in the power system. It plays an important role in grid frequency stability. This requires a faster response speed and superior disturbance immunity of the hydropower regulation system. The characteristics of active disturbance rejection control (ADRC) make it suitable for solving these kinds of nonlinearities, oscillations, and disturbances of hydro-generating units. The traditional ADRC has a complex structure and a large amount of parameter adjustments. In this paper, an improved ADRC based on a generalized differentiator is proposed, and the control loop consists of only the proportional and integrator. The parameters to be adjusted are reduced to two. The structure of the traditional ADRC is simplified. In several types of typical linear systems, the improved ADRC can harvest almost the same dynamic performance as the traditional ADRC. After applying the improved method to the simulation of a hydraulic turbine speed control system, a satisfactory response speed, superior anti-interference ability, and robustness are obtained. Full article
(This article belongs to the Section Energy Systems)
Show Figures

Figure 1

23 pages, 7277 KB  
Article
Dual Control Strategy for Non-Minimum Phase Behavior Mitigation in DC-DC Boost Converters Using Finite Control Set Model Predictive Control and Proportional–Integral Controllers
by Alejandra Marmol, Elyas Zamiri, Marziye Purraji, Duberney Murillo, Jairo Tuñón Díaz, Aitor Vazquez and Angel de Castro
Appl. Sci. 2024, 14(22), 10318; https://doi.org/10.3390/app142210318 - 9 Nov 2024
Cited by 6 | Viewed by 2711
Abstract
Model Predictive Control (MPC) has emerged as a promising alternative for controlling power converters, offering benefits such as flexibility, simplicity, and rapid control response, particularly when short-horizon algorithms are employed. This paper introduces a system using a short-horizon Finite Control Set MPC (FCS-MPC) [...] Read more.
Model Predictive Control (MPC) has emerged as a promising alternative for controlling power converters, offering benefits such as flexibility, simplicity, and rapid control response, particularly when short-horizon algorithms are employed. This paper introduces a system using a short-horizon Finite Control Set MPC (FCS-MPC) strategy to specifically address the challenge of non-minimum phase behavior in boost converters. The non-minimum phase issue, which complicates the control process by introducing an initial inverse response, is effectively mitigated by the proposed method. A Proportional–Integral (PI) controller is integrated to dynamically adjust the reference current based on the output voltage error, thereby enhancing overall system stability and performance. Unlike conventional PI-MPC methods, where the PI controller has an influence on the system dynamics, the PI controller in this approach is solely used for tuning the reference current needed for the FCS-MPC controller. The PI controller addresses small deviations in output voltage, primarily due to model prediction inaccuracies, ensuring steady-state accuracy, while the FCS-MPC handles fast dynamic responses to adapt the controller’s behavior based on load conditions. This dual control strategy effectively balances the need for precise voltage regulation and rapid adaptation to varying load conditions. The proposed method’s effectiveness is validated through a multi-stage simulation test, demonstrating significant improvements in response time and stability compared to traditional control methods. Hardware-in-the-loop testing further confirms the system’s robustness and potential for real-time applications in power electronics. Full article
Show Figures

Figure 1

18 pages, 11712 KB  
Article
A Joint Active Damping Strategy Based on LCL-Type Grid-Connected Inverters for Grid Current Feedback and PCC Voltage Unit Feedforward
by Shanwen Ke and Bo Liang
Sensors 2024, 24(18), 6029; https://doi.org/10.3390/s24186029 - 18 Sep 2024
Cited by 2 | Viewed by 2135
Abstract
The negative high-pass filter feedback of the grid current (NFGCF) can offer active damping for the LCL-type grid-connected inverter. Due to the control delay in digital control systems, this damping can cause the system to exhibit non-minimum phase behavior within specific frequency [...] Read more.
The negative high-pass filter feedback of the grid current (NFGCF) can offer active damping for the LCL-type grid-connected inverter. Due to the control delay in digital control systems, this damping can cause the system to exhibit non-minimum phase behavior within specific frequency ranges. This study proposes a joint active damping approach that combines grid current feedback and the point of common coupling (PCC) voltage unit feedforward. The proposed method introduces a dynamic damping region that varies with grid impedance. By developing suitable damping loop control parameters, this region can span the entire frequency range, even exceeding the Nyquist frequency fs/2. The research results demonstrate that the proposed approach enhances robustness against variations in grid impedance and eliminates non-minimum phase behavior. Simulation and experimental outcomes validate the effectiveness of this joint active damping method. Full article
(This article belongs to the Section Electronic Sensors)
Show Figures

Figure 1

21 pages, 7759 KB  
Article
Trajectory Planning through Model Inversion of an Underactuated Spatial Gantry Crane Moving in Structured Cluttered Environments
by Jason Bettega, Dario Richiedei and Iacopo Tamellin
Actuators 2024, 13(5), 176; https://doi.org/10.3390/act13050176 - 7 May 2024
Cited by 3 | Viewed by 1815
Abstract
Handling suspended loads in cluttered environments is critical due to the oscillations arising while the load is traveling. Exploiting active control algorithms is often unviable in industrial applications, due to the necessity of installing sensors on the load side, which is expensive and [...] Read more.
Handling suspended loads in cluttered environments is critical due to the oscillations arising while the load is traveling. Exploiting active control algorithms is often unviable in industrial applications, due to the necessity of installing sensors on the load side, which is expensive and often impractical due to technological limitations. In this light, this paper proposes a trajectory planning method for underactuated, non-flat, non-minimum phase spatial gantry crane moving in structured cluttered environments. The method relies on model inversion. First, the system dynamics is partitioned into actuated and unactuated coordinates and then the load displacements are described as a non-linear separable function of these. The unactuated dynamic is unstable; hence, the displacement, velocity, and acceleration references are modified through the output redefinition technique. Finally, platform trajectory is computed, and the desired displacements of the load are obtained. The effectiveness of the proposed method is assessed through numerical and experimental tests performed on a laboratory testbed composed by an Adept Quattro robot moving a pendulum. The load is moved in a cluttered environment, and collisions are avoided while simultaneously tracking the prescribed trajectory effectively. Full article
(This article belongs to the Special Issue Dynamics and Control of Underactuated Systems)
Show Figures

Figure 1

20 pages, 3840 KB  
Article
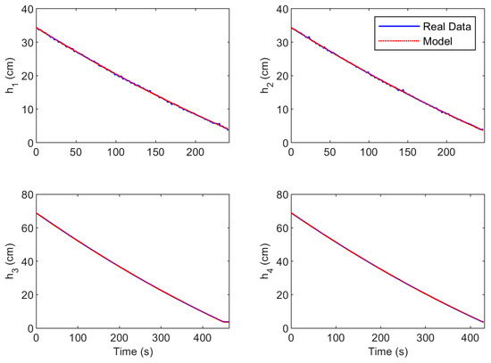
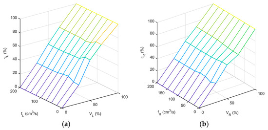
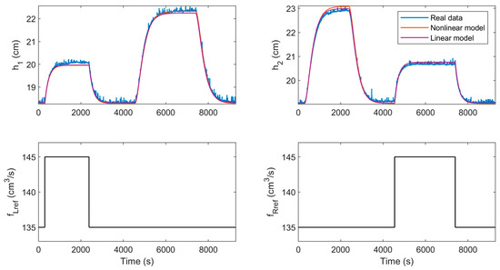
Grey-Box Modeling and Decoupling Control of a Lab Setup of the Quadruple-Tank System
by Juan Garrido, Sergio Garrido-Jurado and Francisco Vázquez
Actuators 2024, 13(3), 87; https://doi.org/10.3390/act13030087 - 25 Feb 2024
Cited by 2 | Viewed by 2203
Abstract
The quadruple-tank system (QTS) is a popular educational resource in universities for studying multivariable control systems. It enables the analysis of the interaction between variables and the limitations imposed by multivariable non-minimum phase zeros, as well as the evaluation of new multivariable control [...] Read more.
The quadruple-tank system (QTS) is a popular educational resource in universities for studying multivariable control systems. It enables the analysis of the interaction between variables and the limitations imposed by multivariable non-minimum phase zeros, as well as the evaluation of new multivariable control methodologies. The works utilizing this system present a theoretical model that may be too idealistic and based on erroneous assumptions in real-world implementations, such as the linear behavior of the actuators. In other cases, an identified linear model is directly provided. This study outlines the practical grey-box modeling procedure conducted for the QTS at the University of Cordoba and provides guidance for its implementation. A configurable nonlinear model was developed and controlled in a closed loop using different controllers. Specifically, decentralized control, static decoupling control, and simplified decoupling control were compared. The simulation designs were experimentally validated with high accuracy, demonstrating that the conclusions reached with the developed model can be extrapolated to the real system. The comparison of these three control designs illustrates the advantages and disadvantages of decoupling in certain situations, especially in the presence of non-minimum phase zeros. Full article
(This article belongs to the Section Control Systems)
Show Figures

Figure 1

17 pages, 5460 KB  
Article
An Objective Holographic Feedback Linearization Based on a Sliding Mode Control for a Buck Converter with a Constant Power Load
by Jiyong Li, Benquan Pi, Pengcheng Zhou, Jingwen Li, Hao Dong and Peiwen Chen
Electronics 2023, 12(18), 3976; https://doi.org/10.3390/electronics12183976 - 21 Sep 2023
Cited by 1 | Viewed by 1596
Abstract
As a typical load, the constant power load (CPL) has negative impedance characteristics. The stability of the buck converter system with a mixed load of CPL and resistive load is affected by the size of the CPL. When the resistive load is larger [...] Read more.
As a typical load, the constant power load (CPL) has negative impedance characteristics. The stability of the buck converter system with a mixed load of CPL and resistive load is affected by the size of the CPL. When the resistive load is larger than the CPL, the buck converter with the output voltage as an output function is a non-minimum phase nonlinear system, because its linear approximation has a right-half-plane pole. The non-minimum phase characteristic limits the application of many control techniques, but the objective holographic feedback linearization control (OHFLC) method is a good control strategy that can bypass the non-minimum phase system and make the system stable. However, the traditional OHFLC method, in designing the controller, generally uses a linear optimal quadratic design method to obtain a linear feedback control law. It requires a state quantity component with a one-order relative degree to the system. But it is not easy to find such a suitable state quantity with a one-order relative degree to the system. In this paper, an improved OHFLC method is proposed for Buck converters with a mixed loads of CPL and resistive loads, using the sliding mode control (SMC) theory to design the controller, so that the output state quantity components with different relative degrees to the system can be used in the holographic feedback linearization method. Finally, the simulation and experimental results also demonstrate that this method has the same, or even better, dynamic response performance and robustness than the traditional OHFLC method. Full article
(This article belongs to the Special Issue Advanced Control Techniques of Power Electronics)
Show Figures

Figure 1

17 pages, 5988 KB  
Article
High-Precision Control of Industrial Robot Manipulator Based on Extended Flexible Joint Model
by Siyong Xu, Zhong Wu and Tao Shen
Actuators 2023, 12(9), 357; https://doi.org/10.3390/act12090357 - 12 Sep 2023
Cited by 3 | Viewed by 3789
Abstract
High-precision industrial manipulators are essential components in advanced manufacturing. Model-based feedforward is the key to realizing the high-precision control of industrial robot manipulators. However, traditional feedforward control approaches are based on rigid models or flexible joint models which neglect the elasticities out of [...] Read more.
High-precision industrial manipulators are essential components in advanced manufacturing. Model-based feedforward is the key to realizing the high-precision control of industrial robot manipulators. However, traditional feedforward control approaches are based on rigid models or flexible joint models which neglect the elasticities out of the rotational directions and degrade the setpoint precision significantly. To eliminate the effects of elasticities in all directions, a high-precision setpoint feedforward control method is proposed based on the output redefinition of the extended flexible joint model (EFJM). First, the flexible industrial robots are modeled by the EFJM to describe the elasticities in joint rotational directions and out of the rotational directions. Second, the nonminimum-phase EFJM is transformed into a minimum-phase system by using output redefinition. Third, the setpoint control task is transformed from Cartesian space into joint space by trajectory planning based on the EFJM. Third, a universal recursive algorithm is designed to compute the feedforward torque based on the EFJM. Moreover, the computational performance is improved. By compensating the pose errors caused by elasticities in all directions, the proposed method can effectively improve the setpoint control precision. The effectiveness of the proposed method is illustrated by simulation and experimental studies. The experimental results show that the proposed method reduces position errors by more than 65% and the orientation errors by more than 62%. Full article
(This article belongs to the Special Issue Modeling, Optimization and Control of Robotic Systems)
Show Figures

Figure 1

17 pages, 2128 KB  
Article
Robust Sliding-Mode Control Design of DC-DC Zeta Converter Operating in Buck and Boost Modes
by Humam Al-Baidhani, Fabio Corti, Alberto Reatti and Marian K. Kazimierczuk
Mathematics 2023, 11(17), 3791; https://doi.org/10.3390/math11173791 - 4 Sep 2023
Cited by 8 | Viewed by 3038
Abstract
This paper presents a new nonlinear control scheme for a pulse-width modulated dc-dc Zeta converter operating in buck and boost modes. The averaged model of the dc-dc power converter is derived, based on which a robust control law is developed using a simplified [...] Read more.
This paper presents a new nonlinear control scheme for a pulse-width modulated dc-dc Zeta converter operating in buck and boost modes. The averaged model of the dc-dc power converter is derived, based on which a robust control law is developed using a simplified sliding-mode control technique. The existence and stability conditions are introduced to select proper controller gains that ensure fast output voltage convergence towards reference voltage. A detailed design procedure is provided to realize the control scheme using low-cost discrete components. The proposed control method handles large disturbances, accommodates the non-minimum phase property, and maintains regulated output voltage during step-up and step-down operation modes. The control system also maintains constant switching frequency, improves the transient response, and eliminates the steady-state error at the output voltage. A MATLAB/SIMULINK model is developed to simulate the closed-loop dc-dc Zeta converter in continuous conduction mode and investigate the tracking and regulation performance. The simulation results confirm the robustness and stability of the nonlinear controlled power converter under abrupt line and load variations. Full article
(This article belongs to the Special Issue Dynamics and Control Theory with Applications)
Show Figures

Figure 1

17 pages, 2477 KB  
Article
Closed-Loop Stability of a Non-Minimum Phase Quadruple Tank System Using a Nonlinear Model Predictive Controller with EKF
by Ismaila A. Oyehan, Ajiboye S. Osunleke and Olanrewaju O. Ajani
ChemEngineering 2023, 7(4), 74; https://doi.org/10.3390/chemengineering7040074 - 17 Aug 2023
Cited by 4 | Viewed by 3072
Abstract
The dynamics of a quadruple tank system (QTS) represent an extensive class of multivariate nonlinear uncertain systems found in the industry. It has been established that changes in split fractions affect the transmission zero location, thereby altering the operating conditions between the minimum [...] Read more.
The dynamics of a quadruple tank system (QTS) represent an extensive class of multivariate nonlinear uncertain systems found in the industry. It has been established that changes in split fractions affect the transmission zero location, thereby altering the operating conditions between the minimum and non-minimum phase regions. The latter is difficult to control as more fluid flows into the two upper tanks than into the two bottom tanks, resulting in competing effects between the initial and final system responses. This attribute, alongside nonlinearity, uncertainties, constraints, and a multivariate nature, can degrade closed-loop system performance, leading to instability. In this study, we addressed the aforementioned challenges by designing controllers for the regulation of the water flow in the two bottom tanks of the QTS. For comparative analysis, three controller algorithms—a nonlinear model predictive controller (NMPC), NMPC augmented with an extended Kalman filter (i.e., NMPC-EKF) and linear model predictive controller (LMPC)—were considered in the analysis and design of the control mechanism for the quadruple water level system in a non-minimum phase condition via the Matrix Laboratory (MATLAB) simulation package environment. The simulated and real-time results in the closed loop were analyzed, and the controller performances were considered based on faster setpoint responses, less oscillation, settling time, overshoot, and smaller integral absolute error (IAE) and integral square error (ISE) under various operational conditions. The study showed that the NMPC, when augmented with an EKF, is effective for the control of a QTS in the non-minimum phase and could be designed for more complex, nonlinear, and multivariable dynamics systems, even in the presence of constraints. Full article
Show Figures

Figure 1

Back to TopTop