Influence of Aerodynamic Modeling Errors on the Dynamic Characteristics of a Missile
Abstract
1. Introduction
2. Modeling and Methodology
- Pitch control (via elevators, ): Deflection of 4 rudder trailing edges upward or downward.
- Yaw control (via rudder, ): Deflection of 4 rudder trailing edges left or right.
- Roll control (via ailerons, ): Deflection of 4 rudder trailing edges in the circumferential direction clockwise or counterclockwise.
2.1. Flight Dynamics Modeling
- Atmospheric Environment Model: This provides essential parameters (speed of sound, air density, viscosity, and gravitational acceleration) as a function of flight altitude. These parameters serve as inputs to the aerodynamic, thrust, and mass/inertia models.
- Aerodynamic Model: This computes the resultant aerodynamic forces and moments based on the current flight state and control surface deflections.
- Thrust Model: This specifies the magnitude and direction of the propulsion force during the simulation.
- Mass and Inertia Model: This dynamically computes the missile’s weight (due to fuel consumption), center of gravity, and moments of inertia, accounting for variations over time and environmental conditions.
- Equation of Motion and an Integrator: These propagate the missile’s flight state (position, velocity, attitude, and angular rates) by integrating the forces, moments, and mass/inertia properties.
2.2. Aerodynamic Modeling
2.2.1. Aerodynamic Database Interpolation
2.2.2. Derivative Coefficient Model
2.3. Error Modeling
3. Results and Discussion
3.1. Aerodynamic Model Comparison
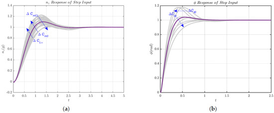
3.2. Influence of Aerodynamic Errors
4. Conclusions
- (1)
- Validation is Imperative for Aerodynamic Database Modeling: Although interpolation-based aerodynamic databases enable efficient simulation and facilitate the incorporation of force/moment uncertainties, they carry a significant risk of overfitting and exhibit limited applicability beyond a narrow flight envelope. Rigorous validation of these models is, therefore, essential.
- (2)
- Critical Aerodynamic Derivatives Govern Longitudinal Dynamics: The longitudinal short-period dynamics of the missile are governed by the following three distinct aerodynamic derivatives: (static stability), (pitch damping), and (aerodynamic center shift). Each dominates different aspects of the dynamic response. Furthermore, lift and pitch control surfaces exert distinct frequency-band influences on normal overload. Crucially, the effectiveness of the lift control surface is the primary driver of the missile’s longitudinal non-minimum phase behavior.
- (3)
- Modeling Errors Pose Control System Risks: Inaccuracies within aerodynamic coefficient models can induce potential overshoot in the control system response. This finding underscores the critical importance of both robust controller design and high-fidelity aerodynamic modeling to ensure stable and predictable missile flight performance.
Author Contributions
Funding
Data Availability Statement
Conflicts of Interest
Glossary
| Angle of attack, deg | |
| Zero-lift angle of attack, deg | |
| State matrix (system dynamics) | |
| Sideslip angle, deg | |
| Input matrix (control input effect) | |
| Output matrix (state-to-output mapping) | |
| Coefficient related to any aerodynamic coefficient | |
| Lift curve slope (derivative of lift coefficient with respect to angle ), 1/deg | |
| Drag coefficient | |
| Zero-lift drag coefficient | |
| Zero-lift drag coefficient proportional to the square of lift coefficient | |
| Lift coefficient | |
| Roll moment coefficient | |
| Zero side force roll moment coefficient | |
| Angle-of-attack-induced roll moment coefficient | |
| Sideslip-induced roll moment coefficient | |
| Roll damping derivative (dimensionless roll rate) | |
| Zero-lift moment coefficient | |
| Moment coefficient related to lift coefficient | |
| Zero-lift moment coefficient | |
| Pitch damping derivative (dimensionless pitch rate) | |
| Yawing moment coefficient | |
| Angle-of-attack-induced yawing moment coefficient | |
| Sideslip-induced yawing moment coefficient | |
| Side force coefficient | |
| Yawing moment coefficient | |
| Direct feedthrough matrix (input-to-output coupling) | |
| Accelerometer feedback loop gain | |
| Synthetic stability feedback loop gain | |
| Pitching rate feedback loop gain | |
| Control command gain | |
| Proportional controller gain | |
| Integrator controller coefficient | |
| Derivative controller coefficient | |
| Normal load factor (longitudinal) | |
| , | Roll rate and pitch rate, rad/s |
| , | Dimensionless roll rate and pitch rate |
| Input vector (control signal) | |
| State vector (system’s internal states) | |
| Time derivative of | |
| output vector (measured or observed outputs) | |
| Control surface deflection angles (e.g., aileron, elevator, and rudder) | |
| Damping ratio | |
| Roll angle, rad | |
| Natural frequency, rad/s | |
| Damped natural frequency, rad/s | |
| The following abbreviations are used in this manuscript | |
| PID | Proportional–integral–derivative controller |
| DOF | Degree of freedom |
| GPR | Gaussian process regression |
References
- Tai, S.; Wang, L.; Wang, Y.; Bu, C.; Yue, T. Flight Dynamics Modeling and Aerodynamic Parameter Identification of Four-Degree-of-Freedom Virtual Flight Test. AIAA J. 2023, 61, 2652–2665. [Google Scholar] [CrossRef]
- Chen, K.; Gu, H.; Li, P.; Fan, Z.; Wei, X. A longitudinal flight dynamics modeling method based on NARX neural network. Flight Dyn. 2023, 41, 37–43+51. [Google Scholar] [CrossRef]
- Gresham, J.L.; Simmons, B.M.; Hopwood, J.W.; Woolsey, C.A. Spin Aerodynamic Modeling for a Fixed-Wing Aircraft Using Flight Data. J. Aircr. 2024, 61, 128–139. [Google Scholar] [CrossRef]
- Li, H.; Chen, X.; Zhang, J.; Wang, L. Study on aircraft attitude dynamics under random excitation. Acta Aeronaut. Astronaut. Sin. 2022, 43, 225232. [Google Scholar] [CrossRef]
- Niu, C.; Yan, X.; Chen, B. Control-oriented modeling of a high-aspect-ratio flying wing with coupled flight dynamics. Chin. J. Aeronaut. 2023, 36, 409–422. [Google Scholar] [CrossRef]
- Li, H.; Chen, X.; Zhang, J.; Wang, B.; Peng, J.; Wang, L. Identification of a Stochastic Dynamic Model for Aircraft Flight Attitude Based on Measured Data. Int. J. Aerosp. Eng. 2023, 2023, 1–12. [Google Scholar] [CrossRef]
- Yechout, T.R.; Morris, S.L.; Bossert, D.E.; Hallgren, W.F.; Hall, J.K. Introduction to Aircraft Flight Mechanics; AIAA: Reston, VA, USA, 2014. [Google Scholar]
- Da Ronch, A.; Ghoreyshi, M.; Badcock, K.J. On the generation of flight dynamics aerodynamic tables by computational fluid dynamics. Prog. Aerosp. Sci. 2011, 47, 597–620. [Google Scholar] [CrossRef]
- Tai, S.; Wang, L.X.; Wang, Y.L.; Lu, S.G.; Bu, C.; Yue, T. Identification of Lateral-Directional Aerodynamic Parameters for Aircraft Based on a Wind Tunnel Virtual Flight Test. Aerospace 2023, 10, 350. [Google Scholar] [CrossRef]
- Şumnu, A.; Güzelbey, I.H. CFD Simulations and External Shape Optimization of Missile with Wing and Tailfin Configuration to Improve Aerodynamic Performance. J. Appl. Fluid Mech. 2021, 14, 1795–1807. [Google Scholar] [CrossRef]
- Deng, E.; Liu, X.-Y.; Ouyang, D.-H.; Yue, H.; Ni, Y.-Q. 3D ultrasonic anemometer array reveals jet flow structures at the entrance of high-speed railway tunnel. J. Wind Eng. Ind. Aerodyn. 2025, 257, 106004. [Google Scholar] [CrossRef]
- Han, S.; Xiang, N.; Huang, F.; Xu, A.; Zhang, J. On reducing high-speed train slipstream using vortex generators. Phys. Fluids 2025, 37, 055115. [Google Scholar] [CrossRef]
- Diepolder, J.; Saboo, S.; Akkinapalli, V.S.; Raab, S.; Zhang, J.; Bhardwaj, P.; Krenmayr, M.; Grüter, B.; Holzapfel, F. Flight Control Law Testing Using Optimal Control and Postoptimal Sensitivity Analysis; Springer International Publishing: Cham, Switzerland, 2018; pp. 25–45. [Google Scholar]
- Hamid, M.F.A.; Filippone, A. Aerodynamic modelling of flapping insect: A review. Proc. Inst. Mech. Eng. Part G J. Aerosp. Eng. 2023, 237, 1477–1492. [Google Scholar] [CrossRef]
- Semaan, R.; Oswald, P.; Maceda, G.C.Y.; Noack, B.R. Aerodynamic optimization of a generic light truck under unsteady conditions using gradient-enriched machine learning control. Exp. Fluids 2023, 64, 59. [Google Scholar] [CrossRef]
- Kou, J.; Zhang, W. Data-driven modeling for unsteady aerodynamics and aeroelasticity. Prog. Aerosp. Sci. 2021, 125, 100725. [Google Scholar] [CrossRef]
- Mi, B.; Cheng, S.; Zhan, H.; Yu, J.; Wang, Y. Development on Unsteady Aerodynamic Modeling Technology at High Angles of Attack. Arch. Comput. Methods Eng. 2024, 31, 4305–4357. [Google Scholar] [CrossRef]
- Chen, G.; Tang, Z.; Wang, W.; Xu, M. A novel aerodynamic modeling method for an axisymmetric missile with tiny units. Adv. Mech. Eng. 2019, 11, 62–68. [Google Scholar] [CrossRef]
- Hu, S.; Zhu, J. Aerodynamic Modeling for Hypersonic Flight Vehicles with Account of Scramjet Effects. In Proceedings of the 2017 IEEE International Conference on Systems, Man, and Cybernetics (SMC), Banff, AB, Canada, 5–8 October 2017; pp. 1657–1662. [Google Scholar]
- Rivers, M.B. NASA Common Research Model: A History and Future Plans. In Proceedings of the 2019 AIAA Science and Technology Forum and Exposition (SciTech), San Diego, CA, USA, 7–11 January 2019; p. 36. [Google Scholar] [CrossRef]
- Bertram, A.; Hoffmann, N.; Goertz, S.; Gebbink, R.; Janssen, S.R. An Alternative Wind Tunnel Data Correction Based on CFD and Experimental Data in the Transonic Flow Regime. In Proceedings of the AIAA Aviation 2021 Forum, VIRTUAL EVENT, 2–6 August 2021; p. 2982. [Google Scholar]
- Mavriplis, N.; Ting, K.-Y.; Soltani, R.M.; Nelson, C.P.; Livne, E.; Aiaa. Supersonic Configurations at Low Speeds (SCALOS): CFD Aided Wind Tunnel Data Corrections. In Proceedings of the AIAA Science and Technology (SciTech) Forum, National Harbor, MD, USA, 23–27 January 2023. [Google Scholar]
- Tang, C.; Gee, K.; Lawrence, S. Generation of Aerodynamic Data using a Design of Experiment and Data Fusion Approach. In Proceedings of the 43rd AIAA Aerospace Sciences Meeting and Exhibit, Reno, NV, USA, 10–13 January 2005. [Google Scholar]
- Yao, W.; Marques, S. Nonlinear Aerodynamic and Aeroelastic Model Reduction Using a Discrete Empirical Interpolation Method. AIAA J. 2017, 55, 624–637. [Google Scholar] [CrossRef]
- Liu, H.; Gao, X.; Chen, Z.; Yang, F. Efficient reduced-order aerodynamic modeling in low-Reynolds-number incompressible flows. Aerosp. Sci. Technol. 2021, 119, 107199. [Google Scholar] [CrossRef]
- Saetta, E.; Renato, T.; Iaccarino, G. Machine Learning to Predict Aerodynamic Stall. Int. J. Comput. Fluid Dyn. 2022, 36, 641–654. [Google Scholar] [CrossRef]
- Bellemare, M.G.; Candido, S.; Castro, P.S.; Gong, J.; Machado, M.C.; Moitra, S.; Ponda, S.S.; Wang, Z. Autonomous navigation of stratospheric balloons using reinforcement learning. Nature 2020, 588, 77–82. [Google Scholar] [CrossRef]
- Rysdyk, R.; Calise, A.J. Robust nonlinear adaptive flight control for consistent handling qualities. IEEE Trans. Control Syst. Technol. 2005, 13, 896–910. [Google Scholar] [CrossRef]
- Weiser, C.; Ossmann, D.; Looye, G. Design and flight test of a linear parameter varying flight controller. CEAS Aeronaut. J. 2020, 11, 955–969. [Google Scholar] [CrossRef]
- Thurgood, J.W.; Hunsaker, D.F. Sensitivity and Estimation of Flying-Wing Aerodynamic, Propulsion, and Inertial Parameters Using Simulation. In Proceedings of the AIAA Scitech 2021 Forum, VIRTUAL EVENT, 11–15,19–21 January 2021. [Google Scholar]
- Wang, X.; Shang, Y.; Du, J.; Jia, W.; Shi, J.; Lu, Y. An Aircraft Control Allocation Robustness Evaluation Method Based on Monte Carlo. J. Detect. Control 2022, 44, 98–103+110. Available online: http://www.tcykz.com/#/digest?ArticleID=1876 (accessed on 6 May 2025).
- Carlson, M.; Carl, S.; Rosa, S.W.; Hunt, W.; Niessen, B.; Yakawu, M.; Whitlock, C. Nonlinear Guidance and Optimal Control Design of Gemini V2 Small UAS with Robustness Analysis. In Proceedings of the AIAA SCITECH 2024 Forum, Orlando, FL, USA, 8–12 January 2024; p. 2397. [Google Scholar]
- Williams, J.W.; Brandenburg, W.E.; Woffinden, D.C.; Putnam, Z.R.; Aiaa. Validation of Linear Covariance Techniques for Mars Entry, Descent, and Landing Guidance and Navigation Performance Analysis. In Proceedings of the AIAA Science and Technology Forum and Exposition (AIAA SciTech Forum), San Diego, CA, USA, 3–7 January 2022. [Google Scholar]
- Xu, X.; Zhang, W.; Zhan, H. Multivariate Splines-Based Asymmetric Aerodynamic Modeling of Morphing Aircraft. J. Northwest. Polytech. Univ. 2018, 36, 211–219. [Google Scholar] [CrossRef][Green Version]
- Peng, X.; Kou, J.; Zhang, W. Multi-fidelity nonlinear unsteady aerodynamic modeling and uncertainty estimation based on Hierarchical Kriging. Appl. Math. Model. 2023, 122, 1–21. [Google Scholar] [CrossRef]
- Li, Q.; Liu, D.; Xu, X.; Chen, D. Experimental study of aerodynamic characterictics of CHN-T1 standard model in 2.4 m transonic wind tunnel. Acta Aerodyn. Sin. 2019, 37, 337–344. [Google Scholar] [CrossRef]
- Abd-elatif, M.A.; Qian, L.-j.; Bo, Y.-m. Optimization of three-loop missile autopilot gain under crossover frequency constraint. Def. Technol. 2016, 12, 32–38. [Google Scholar] [CrossRef]













| Interpolation Method | Linear | Makima | Spline | Kriging |
|---|---|---|---|---|
| Database model | 282.61 | 9541.98 | 680.04 | 401.25 |
| Derivatives model | 527.98 | 587.73 | 608.26 | 156.37 |
| Interpolation | Advantages | Disadvantages |
|---|---|---|
| Linear | • Simple; high efficiency • No overfitting risk | • Not smooth |
| Kriging | • Faster in simulation • Accurate | • Complex • Slow in training • Easy to overfit |
| Makima or Spline | • Relatively simple • Accurate | • Slow in simulation |
| Model | Advantages | Disadvantages |
|---|---|---|
| Database model | • Large applicable flight envelope • Highest accuracy | • Parameter deviation tests are difficult • Slow simulation speed |
| Derivative model | • Faster simulation • Easy use for control law design | • Reduced accuracy at high angles |
| Channel | Parameters | System Characteristic | Frequency Domain Characteristic |
|---|---|---|---|
| Longitudinal | + Bandwidth, peak frequency, and phase angle | ||
| + Bandwidth, peak frequency, and phase margin − Initial amplitude | |||
| − System peak and phase margin | |||
| No effect | + Pitch rate amplitude + Normal acceleration (mid- to low-frequency) | ||
| No effect | Affects acceleration response in a high-frequency range | ||
| Rolling | No effect | Disturbs magnitude at both high and low frequencies, but does not affect control phase characteristics | |
| No effect | No effect | ||
Determines roll convergence mode | Affects magnitude under low-frequency inputs Significantly impacts phase in mid-frequency range |
Disclaimer/Publisher’s Note: The statements, opinions and data contained in all publications are solely those of the individual author(s) and contributor(s) and not of MDPI and/or the editor(s). MDPI and/or the editor(s) disclaim responsibility for any injury to people or property resulting from any ideas, methods, instructions or products referred to in the content. |
© 2025 by the authors. Licensee MDPI, Basel, Switzerland. This article is an open access article distributed under the terms and conditions of the Creative Commons Attribution (CC BY) license (https://creativecommons.org/licenses/by/4.0/).
Share and Cite
Li, Q.; Yuan, X.; Zhu, J. Influence of Aerodynamic Modeling Errors on the Dynamic Characteristics of a Missile. Aerospace 2025, 12, 619. https://doi.org/10.3390/aerospace12070619
Li Q, Yuan X, Zhu J. Influence of Aerodynamic Modeling Errors on the Dynamic Characteristics of a Missile. Aerospace. 2025; 12(7):619. https://doi.org/10.3390/aerospace12070619
Chicago/Turabian StyleLi, Qiang, Xiaming Yuan, and Jihong Zhu. 2025. "Influence of Aerodynamic Modeling Errors on the Dynamic Characteristics of a Missile" Aerospace 12, no. 7: 619. https://doi.org/10.3390/aerospace12070619
APA StyleLi, Q., Yuan, X., & Zhu, J. (2025). Influence of Aerodynamic Modeling Errors on the Dynamic Characteristics of a Missile. Aerospace, 12(7), 619. https://doi.org/10.3390/aerospace12070619

