Sign in to use this feature.

Years

Between: -

Subjects

remove_circle_outline
remove_circle_outline
remove_circle_outline
remove_circle_outline
remove_circle_outline
remove_circle_outline
remove_circle_outline
remove_circle_outline
remove_circle_outline

Journals

remove_circle_outline
remove_circle_outline
remove_circle_outline
remove_circle_outline
remove_circle_outline
remove_circle_outline
remove_circle_outline
remove_circle_outline
remove_circle_outline
remove_circle_outline
remove_circle_outline
remove_circle_outline

Article Types

Countries / Regions

remove_circle_outline
remove_circle_outline
remove_circle_outline
remove_circle_outline

Search Results (496)

Search Parameters:
Keywords = nonlinear susceptibility

Order results
Result details
Results per page
Select all
Export citation of selected articles as:
31 pages, 10197 KB  
Article
A Wi-Fi/PDR Fusion Localization Method Based on Genetic Algorithm Global Optimization
by Linpeng Zhang, Ji Ma, Yanhua Liu, Lian Duan, Yunfei Liang and Yanhe Lu
Sensors 2025, 25(24), 7628; https://doi.org/10.3390/s25247628 - 16 Dec 2025
Viewed by 165
Abstract
In indoor environments, fusion localization methods that combine Wi-Fi fingerprinting and Pedestrian Dead Reckoning (PDR) are constrained by the high sensitivity of traditional filters, such as the Extended Kalman Filter (EKF), to initial states and by their susceptibility to nonlinear drift. This study [...] Read more.
In indoor environments, fusion localization methods that combine Wi-Fi fingerprinting and Pedestrian Dead Reckoning (PDR) are constrained by the high sensitivity of traditional filters, such as the Extended Kalman Filter (EKF), to initial states and by their susceptibility to nonlinear drift. This study presents a Wi-Fi/PDR fusion localization approach based on global geometric alignment optimized via a Genetic Algorithm (GA). The proposed method models the PDR trajectory as an integrated geometric entity and performs a global search for the optimal two-dimensional similarity transformation that aligns it with discrete Wi-Fi observations, thereby eliminating dependence on precise initial conditions and mitigating multipath noise. Experiments conducted in a real office environment (14 × 9 m, eight dual-band APs) with a double-L trajectory demonstrate that the proposed GA fusion achieves the lowest mean error of 0.878 m (compared to 2.890 m, 1.277 m, and 1.193 m for Wi-Fi, PDR, and EKF fusion, respectively) and an RMSE of 0.978 m. It also attains the best trajectory fidelity (DTW = 0.390 m, improving by 71.0%, 14.7%, and 27.8%) and the smallest maximum deviation (Hausdorff = 1.904 m, 52.4% lower than Wi-Fi). The cumulative error distribution shows that 90% of GA fusion errors are within 1.5 m, outperforming EKF and PDR. Additional experiments that compare the proposed GA optimizer with Levenberg–Marquardt (LM), particle swarm optimization (PSO), and Procrustes alignment, as well as tests with 30% artificial Wi-Fi outliers, further confirm the robustness of the Huber-based cost and the effectiveness of the global optimization framework. These results indicate that the proposed GA-based fusion method achieves high robustness and accuracy in the tested office-scale scenario and demonstrate its potential as a practical multi-sensor fusion approach for indoor localization. Full article
(This article belongs to the Special Issue Smart Sensor Systems for Positioning and Navigation)
Show Figures

Figure 1

30 pages, 12283 KB  
Article
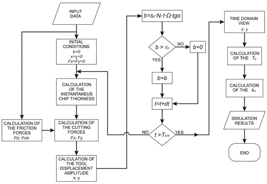
A Novel Mathematical Model for Predicting Self-Excited Vibrations in Micromilling of Aluminium 7075
by Cvijetin Mladjenovic, Dejan Marinković, Katarina Monkova, Miloš Knežev and Aleksandar Živković
Metals 2025, 15(12), 1375; https://doi.org/10.3390/met15121375 - 15 Dec 2025
Viewed by 138
Abstract
Micro milling of metallic materials presents unique dynamic challenges due to highly nonlinear cutting forces and the susceptibility to self-excited vibrations (chatter). This paper presents a novel mathematical model for chatter prediction in micro milling, based on an enhanced formulation of cutting forces [...] Read more.
Micro milling of metallic materials presents unique dynamic challenges due to highly nonlinear cutting forces and the susceptibility to self-excited vibrations (chatter). This paper presents a novel mathematical model for chatter prediction in micro milling, based on an enhanced formulation of cutting forces that includes the frictional interaction between the tool’s flank face and the machined surface. The proposed approach enables accurate simulation of the cutting process and prediction of the limiting depth of cut, beyond which chatter occurs. Experimental validation was performed using pneumatic spindle and micro end mills, with chatter detection based on surface inspection via digital microscopy. A strong correlation was observed between the simulated and experimentally determined limiting depths of cut, confirming the model’s predictive capability. This research offers a new methodology for modelling cutting forces and improves the ability to predict chatter in micro milling processes, contributing to the optimization of machining parameters across a wide range of materials. Full article
Show Figures

Figure 1

28 pages, 1813 KB  
Article
Econometric and Python-Based Forecasting Tools for Global Market Price Prediction in the Context of Economic Security
by Dmytro Zherlitsyn, Volodymyr Kravchenko, Oleksiy Mints, Oleh Kolodiziev, Olena Khadzhynova and Oleksandr Shchepka
Econometrics 2025, 13(4), 52; https://doi.org/10.3390/econometrics13040052 - 15 Dec 2025
Viewed by 220
Abstract
Debate persists over whether classical econometric or modern machine learning (ML) approaches provide superior forecasts for volatile monthly price series. Despite extensive research, no systematic cross-domain comparison exists to guide model selection across diverse asset types. In this study, we compare traditional econometric [...] Read more.
Debate persists over whether classical econometric or modern machine learning (ML) approaches provide superior forecasts for volatile monthly price series. Despite extensive research, no systematic cross-domain comparison exists to guide model selection across diverse asset types. In this study, we compare traditional econometric models with classical ML baselines and hybrid approaches across financial assets, futures, commodities, and market index domains. Universal Python-based forecasting tools include month-end preprocessing, automated ARIMA order selection, Fourier terms for seasonality, circular terms, and ML frameworks for forecasting and residual corrections. Performance is assessed via anchored rolling-origin backtests with expanding windows and a fixed 12-month horizon. MAPE comparisons show that ARIMA-based models provide stable, transparent benchmarks but often fail to capture the nonlinear structure of high-volatility series. ML tools can enhance accuracy in these cases, but they are susceptible to stability and overfitting on monthly histories. The most accurate and reliable forecasts come from models that combine ARIMA-based methods with Fourier transformation and a slight enhancement using machine learning residual correction. ARIMA-based approaches achieve about 30% lower forecast errors than pure ML (18.5% vs. 26.2% average MAPE and 11.6% vs. 16.8% median MAPE), with hybrid models offering only marginal gains (0.1 pp median improvement) at significantly higher computational cost. This work demonstrates the domain-specific nature of model performance, clarifying when hybridization is effective and providing reproducible Python pipelines suited for economic security applications. Full article
Show Figures

Figure 1

32 pages, 15541 KB  
Article
Coupled CFD–DEM Modeling of Sinkhole Development Due to Exfiltration from Buried Pipe Defects
by Jun Xu, Bryce Vaughan and Fei Wang
Eng 2025, 6(12), 365; https://doi.org/10.3390/eng6120365 - 14 Dec 2025
Viewed by 98
Abstract
Leakage from defective buried pipelines can lead to progressive soil erosion and void formation, ultimately resulting in ground collapse or sinkhole development. To better understand the underlying mechanisms of this process, this research utilizes a coupled computational fluid dynamics (CFD)–discrete element method (DEM) [...] Read more.
Leakage from defective buried pipelines can lead to progressive soil erosion and void formation, ultimately resulting in ground collapse or sinkhole development. To better understand the underlying mechanisms of this process, this research utilizes a coupled computational fluid dynamics (CFD)–discrete element method (DEM) modeling approach to investigate soil erosion processes driven by water leakage from defective underground pipelines. The numerical model captures fluid–particle interactions at both macroscopic and microscopic scales, providing detailed insights into erosion initiation, void zone evolution, and particle transport dynamics under varying hydraulic and geometric conditions. Parametric studies were conducted to evaluate the effects of exfiltration pressure, defect size, and particle diameter on erosion behavior. Results show that erosion intensity and particle migration increase with hydraulic pressure up to a threshold, beyond which compaction and particle bridging reduce sustained transport. The intermediate defect size (12.7 mm) consistently produced the most continuous and stable erosion channels, while smaller and larger defects exhibited localized or asymmetric detachment patterns. Particle size strongly influenced erosion susceptibility, with finer grains mobilized more readily under the same flow conditions. The CFD–DEM simulations successfully reproduce the nonlinear and self-reinforcing nature of internal erosion, revealing how hydraulic gradients and particle rearrangement govern the transition from local detachment to large-scale cavity development. These findings advance the understanding of subsurface instability mechanisms around leaking pipelines and provide a physically consistent CFD–DEM framework that aligns well with published studies. The model effectively reproduces the key stages of erosion observed in the literature, offering a valuable tool for assessing erosion-induced risks and for designing preventive measures to protect buried infrastructure. Full article
(This article belongs to the Special Issue Fluid-Structure Interaction in Civil Engineering)
Show Figures

Figure 1

25 pages, 1878 KB  
Article
Slope Compensation and Bifurcation in a DC-DC, Single-Input, Multiple-Output, CMOS Integrated Converter Under Current-Mode and Comparator-Based Hybrid Control
by Mathieu Ginet, Eric Feltrin, Nicolas Jeanniot, Bruno Allard and Xuefang Lin-Shi
J. Low Power Electron. Appl. 2025, 15(4), 69; https://doi.org/10.3390/jlpea15040069 - 12 Dec 2025
Viewed by 182
Abstract
Single-Input, Multi-Output (SIMO) converters present significant challenges when operated under current-mode control, due to their strongly non-linear dynamics and susceptibility to bifurcation phenomena. To mitigate the effects on the converter’s steady-state, a double slope compensation solution is proposed. The compensation parameters play a [...] Read more.
Single-Input, Multi-Output (SIMO) converters present significant challenges when operated under current-mode control, due to their strongly non-linear dynamics and susceptibility to bifurcation phenomena. To mitigate the effects on the converter’s steady-state, a double slope compensation solution is proposed. The compensation parameters play a critical role in shaping the system dynamics and rejecting the susceptibility to bifurcation. This paper proposes a detailed analysis methodology to investigate the design parameter space regarding the slope compensations with respect to bifurcation phenomena. The approach is validated on a CMOS integrated converter, where theoretical predictions are compared to the simulation results of a full transistor-level model of the circuit. Full article
(This article belongs to the Topic Advanced Integrated Circuit Design and Application)
Show Figures

Figure 1

30 pages, 15770 KB  
Article
A Hybrid Deep Learning Framework for Enhanced Fault Diagnosis in Industrial Robots
by Jun Wu, Yuepeng Zhang, Bo Gao, Linzhong Xia, Xueli Zhu, Hui Wang and Xiongbo Wan
Algorithms 2025, 18(12), 779; https://doi.org/10.3390/a18120779 - 10 Dec 2025
Viewed by 261
Abstract
Predominant fault diagnosis in industrial robots depends on dedicated vibration or acoustics sensors. However, their practical deployment is often limited by installation constraints, susceptibility to environmental noise, and cost considerations. Applying Energy-Based Maintenance (EBM) principles to achieve enhanced fault diagnosis under practical industrial [...] Read more.
Predominant fault diagnosis in industrial robots depends on dedicated vibration or acoustics sensors. However, their practical deployment is often limited by installation constraints, susceptibility to environmental noise, and cost considerations. Applying Energy-Based Maintenance (EBM) principles to achieve enhanced fault diagnosis under practical industrial conditions, we propose a hybrid deep learning framework, the Multi-head Graph Attention Network (MGAT) with Multi-scale CNNBiLSTM Fusion (MGAT-MCNNBiLSTM) for industrial robots. This approach obviates the need for additional dedicated sensors, effectively mitigating associated deployment complexities. The framework embodies four core innovations: (1) Based on the EBM paradigm, motor current is established as the most effective and practical choice for enabling cost-efficient and scalable industrial robot fault diagnosis. A corresponding dataset of motor current has been acquired from industrial robots operating under diverse fault scenarios. (2) An integrated MGAT-MCNNBiLSTM architecture that synergistically models multiscale local features and complex dynamics through its MCNNBiLSTM module while capturing nonlinear interdependencies via MGAT. This comprehensive feature representation enables robust and highly accurate fault detection. (3) The study found that the application of spectral preprocessing techniques yields a marked and statistically significant enhancement in diagnostic performance. A comprehensive and systematic analysis was undertaken to uncover the underlying reasons for this observed performance improvement. (4) To emulate challenging industrial settings and cost-sensitive implementations, noise signal injection was employed to evaluate model robustness in high-electromagnetic-interference environments and low-cost, low-resolution ADC implementations. Experimental validation on real-world industrial robot datasets demonstrates that MGAT-MCNNBiLSTM achieves a superior diagnostic accuracy of 90.7560%. This performance marks a significant absolute improvement of 1.51–8.55% over competing models, including LCNNBiLSTM, SCNNBiLSTM, MCCBiLSTM, GAT, and MGAT. Under challenging noise and low-resolution conditions, the proposed model consistently outperforms CNNBiLSTM variants, GAT, and MGAT with an improvement of 1.37–10.26% and enhanced industrial utility and deployment potential. Full article
Show Figures

Figure 1

34 pages, 7587 KB  
Article
A Symmetric Analysis of COVID-19 Transmission Using a Fuzzy Fractional SEIRi–UiHR Model
by Ragavan Murugasan, Veeramani Chinnadurai, Carlos Martin-Barreiro and Prasantha Bharathi Dhandapani
Symmetry 2025, 17(12), 2128; https://doi.org/10.3390/sym17122128 - 10 Dec 2025
Viewed by 176
Abstract
In this research article, we propose a fuzzy fractional-order SEIRiUiHR model to describe the transmission dynamics of COVID-19, comprising susceptible, exposed, infected, reported, unreported, hospitalized, and recovered compartments. The uncertainty in initial conditions is represented using fuzzy numbers, [...] Read more.
In this research article, we propose a fuzzy fractional-order SEIRiUiHR model to describe the transmission dynamics of COVID-19, comprising susceptible, exposed, infected, reported, unreported, hospitalized, and recovered compartments. The uncertainty in initial conditions is represented using fuzzy numbers, and the fuzzy Laplace transform combined with the Adomian decomposition method is employed to solve nonlinear differential equations and also to derive approximate analytical series of solutions. In addition to fuzzy lower and upper bound solutions, a model is introduced to provide a representative trajectory under uncertainty. A key feature of the proposed model is its inherent symmetry in compartmental transitions and structural formulation, which show the difference in reported and unreported cases. Numerical experiments are conducted to compare fuzzy and normal (non-fuzzy) solutions, supported by 3D visualizations. The results reveal the influence of fractional-order and fuzzy parameters on epidemic progression, demonstrating the model’s capability to capture realistic variability and to provide a flexible framework for analyzing infectious disease dynamics. Full article
(This article belongs to the Section Mathematics)
Show Figures

Figure 1

20 pages, 6978 KB  
Article
Nonlinear Seismic Response Analysis of a Building Foundation on Liquefaction-Prone Soil in Padada, Davao del Sur
by Juliana Marie Fitri T. Cerado and Gilford B. Estores
Buildings 2025, 15(24), 4420; https://doi.org/10.3390/buildings15244420 - 7 Dec 2025
Viewed by 241
Abstract
The Philippines, located along the Pacific Ring of Fire, is highly susceptible to significant seismic activity arising from the active convergence of major tectonic plates. These seismic events often induce ground shaking intense enough to trigger soil liquefaction, particularly in geologically sensitive regions [...] Read more.
The Philippines, located along the Pacific Ring of Fire, is highly susceptible to significant seismic activity arising from the active convergence of major tectonic plates. These seismic events often induce ground shaking intense enough to trigger soil liquefaction, particularly in geologically sensitive regions such as Davao del Sur. This study presents a nonlinear static and dynamic analysis of a mat foundation for a proposed midrise building located within the liquefaction-prone zone of Padada, Davao del Sur. Geotechnical data were obtained through rotary drilling and Standard Penetration Tests (SPTs), which provided the basis for developing the numerical model. Liquefaction assessment was conducted using the PLAXIS Liquefaction Model (UBC3D-PLM), confirming that the site adjacent to the Padada–Mainit River exhibits a high liquefaction potential. Subsequently, finite element analyses were performed in PLAXIS 3D using ground motion records from the 2013 Bohol Earthquake, scaled to 1.0 g, and modeled under the Hardening Soil Model with Small-Strain Stiffness (HSsmall). Results showed excess pore pressure ratios approaching 1, and vertical displacements of the mat foundation exceed 100 mm. These results suggest severe degradation in soil strength, as well as reduced friction angles and mobilized pressure. Full article
(This article belongs to the Special Issue Research on Building Foundations and Underground Engineering)
Show Figures

Figure 1

25 pages, 5842 KB  
Article
Temperature Prediction of Mass Concrete During the Construction with a Deeply Optimized Intelligent Model
by Fuwen Zheng, Shiyu Xia, Jin Chen, Dijia Li, Qinfeng Lu, Lijin Hu, Xianshan Liu, Yulin Song and Yuhang Dai
Buildings 2025, 15(23), 4392; https://doi.org/10.3390/buildings15234392 - 4 Dec 2025
Viewed by 210
Abstract
In the construction of ultra-high voltage (UHV) transformation substations, mass concrete is highly susceptible to temperature-induced cracking due to thermal gradients arising from the disparity between internal hydration heat and external environmental conditions. Such cracks can severely compromise the structural integrity and load-bearing [...] Read more.
In the construction of ultra-high voltage (UHV) transformation substations, mass concrete is highly susceptible to temperature-induced cracking due to thermal gradients arising from the disparity between internal hydration heat and external environmental conditions. Such cracks can severely compromise the structural integrity and load-bearing capacity of foundations, making accurate temperature prediction and effective thermal control critical challenges in engineering practice. To address these challenges and enable real-time monitoring and dynamic regulation of temperature evolution, this study proposes a novel hybrid forecasting model named CPO-VMD-SSA-Transformer-GRU for predicting temperature behavior in mass concrete. First, sine wave simulations with varying sample sizes were conducted using three models: Transformer-GRU, VMD-Transformer-GRU, and CPO-VMD-SSA-Transformer-GRU. The results demonstrate that the proposed CPO-VMD-SSA-Transformer-GRU model achieves superior predictive accuracy and exhibits faster convergence toward theoretical values. Subsequently, four performance metrics were evaluated: Mean Absolute Error (MAE), Mean Squared Error (MSE), Root Mean Square Error (RMSE), and Coefficient of Determination (R2). The model was then applied to predict temperature variations in mass concrete under laboratory conditions. For the univariate time series at Checkpoint 1, the evaluation metrics were MAE: 0.033736, MSE: 0.0018812, RMSE: 0.036127, and R2: 0.98832; at Checkpoint 2, the values were MAE: 0.016725, MSE: 0.00091304, RMSE: 0.019114, and R2: 0.96773. In addition, the proposed model was used to predict the temperature in the rising stage, indicating high reliability in capturing nonlinear and high-dimensional thermal dynamics in the whole construction process. Furthermore, the model was extended to multivariate time series to enhance its practical applicability in real-world concrete construction. At Checkpoint 1, the corresponding metrics were MAE: 0.56293, MSE: 0.34035, RMSE: 0.58339, and R2: 0.95414; at Checkpoint 2, they were MAE: 0.85052, MSE: 0.78779, RMSE: 0.88757, and R2: 0.91385. These results indicate significantly improved predictive performance compared to the univariate configuration, thereby further validating the accuracy, stability, and robustness of the multivariate CPO-VMD-SSA-Transformer-GRU framework. The model effectively captures complex temperature fluctuation patterns under dynamic environmental and operational conditions, enabling precise, reliable, and adaptive temperature forecasting. This comprehensive analysis establishes a robust methodological foundation for advanced temperature prediction and optimized thermal management strategies in real-world civil engineering applications. Full article
(This article belongs to the Special Issue Innovation and Technology in Sustainable Construction)
Show Figures

Figure 1

20 pages, 2263 KB  
Article
A Non-Invasive Optical Sensor for Real-Time State of Charge and Capacity Fading Tracking in Vanadium Redox Flow Batteries
by Shang-Ching Chuang, Cheng-Hsien Kuo, Yao-Ming Wang, Ning-Yih Hsu, Han-Jou Lin, Jen-Yuan Kuo and Chau-Chang Chou
Energies 2025, 18(23), 6366; https://doi.org/10.3390/en18236366 - 4 Dec 2025
Viewed by 157
Abstract
Accurate and real-time state of charge (SOC) monitoring is critical for the safe, efficient, and stable long-term operation of vanadium redox flow batteries (VRFBs). Traditional monitoring methods are susceptible to errors arising from side reactions, cumulative drift, and electrolyte imbalance. This study develops [...] Read more.
Accurate and real-time state of charge (SOC) monitoring is critical for the safe, efficient, and stable long-term operation of vanadium redox flow batteries (VRFBs). Traditional monitoring methods are susceptible to errors arising from side reactions, cumulative drift, and electrolyte imbalance. This study develops a non-invasive optical sensor module for the negative electrolyte (anolyte), utilizing the favorable spectral properties of V(II)/V(III) ions at 850 nm for real-time SOC tracking. A fifth-order polynomial model was employed for calibration, successfully managing the non-linear optical response of highly concentrated electrolytes and achieving exceptional accuracy (adjusted R2 > 0.9999). The optical sensor reliably tracked capacity degradation over 50 galvanostatic cycles, yielding a degradation curve that showed a high correlation with the conventional coulomb counting method, thus confirming its feasibility for assessing battery’s state of health. Contrary to initial expectations, operating at higher current densities resulted in a lower capacity degradation rate (CDR). This phenomenon is primarily attributed to the time-dependent nature of parasitic side reactions. Higher current densities reduce the cycle duration, thereby minimizing the temporal exposure of active species to degradation mechanisms and mitigating cumulative ion imbalance. This mechanism was corroborated by physicochemical analysis via UV-Vis spectroscopy, which revealed a strong correlation between the severity of spectral deviation and the CDR ranking. This non-invasive optical technology offers a low-cost and effective solution for precise VRFB management and preventative maintenance. Full article
Show Figures

Figure 1

29 pages, 1877 KB  
Article
The Basic Reproduction Number for Petri Net Models: A Next-Generation Matrix Approach
by Trevor Reckell, Beckett Sterner and Petar Jevtić
Appl. Sci. 2025, 15(23), 12827; https://doi.org/10.3390/app152312827 - 4 Dec 2025
Viewed by 191
Abstract
The basic reproduction number (R0) is an epidemiological metric that represents the average number of new infections caused by a single infectious individual in a completely susceptible population. The methodology for calculating this metric is well-defined for numerous model types, [...] Read more.
The basic reproduction number (R0) is an epidemiological metric that represents the average number of new infections caused by a single infectious individual in a completely susceptible population. The methodology for calculating this metric is well-defined for numerous model types, including, most prominently, Ordinary Differential Equations (ODEs). The basic reproduction number is used in disease modeling to predict the potential of an outbreak and the transmissibility of a disease, as well as by governments to inform public health interventions and resource allocation for controlling the spread of diseases. A Petri Net (PN) is a directed bipartite graph where places, transitions, arcs, and the firing of the arcs determine the dynamic behavior of the system. Petri Net models have been an increasingly used tool within the epidemiology community. However, no generalized method for calculating R0 directly from PN models has been established. Thus, in this paper, we establish a generalized computational framework for calculating R0 directly from Petri Net models. We adapt the next-generation matrix method to be compatible with multiple Petri Net formalisms, including both deterministic Variable Arc Weight Petri Nets (VAPNs) and stochastic continuous-time Petri Nets (SPNs). We demonstrate the method’s versatility on a range of complex epidemiological models, including those with multiple strains, asymptomatic states, and nonlinear dynamics. Crucially, we numerically validate our framework by demonstrating that the analytically derived R0 values are in strong agreement with those estimated from simulation data, thereby confirming the method’s accuracy and practical utility. Full article
Show Figures

Figure 1

26 pages, 2983 KB  
Article
Global Dynamics and Optimal Control of a Dual-Target HIV Model with Latent Reservoirs
by Fawaz K. Alalhareth, Fahad K. Alghamdi, Mohammed H. Alharbi and Miled El Hajji
Mathematics 2025, 13(23), 3868; https://doi.org/10.3390/math13233868 - 2 Dec 2025
Viewed by 193
Abstract
In this paper, we develop a mathematical model to investigate HIV infection dynamics, where we focus on the virus’s dual-target mechanism involving both CD4+ T cells and macrophages. Our model is structured as a system of seven nonlinear ordinary differential equations [...] Read more.
In this paper, we develop a mathematical model to investigate HIV infection dynamics, where we focus on the virus’s dual-target mechanism involving both CD4+ T cells and macrophages. Our model is structured as a system of seven nonlinear ordinary differential equations describing the interactions between susceptible, latent, and infected cells, alongside free virus particles. We derive the basic reproduction number, R0, as two components, R01 and R02, which quantify the respective contributions of CD4+ T cells and macrophages to viral spread. It is deduced that the infection-free steady state is globally asymptotically stable once R01, ensuring viral eradication. For R0>1, a stable endemic steady state emerges, indicating the persistence of the infection. Later, we develop an optimal control strategy to study the impact of reverse transcriptase and protease inhibitors. This analysis identifies a critical drug efficacy threshold, ϵ=11R0, necessary for viral eradication. The numerical simulations and the sensitivity analysis provide key parameters that drive viral dynamics, offering practical insights for designing targeted therapies, particularly during the early stages of infection. Full article
(This article belongs to the Special Issue Modeling, Control and Optimization of Biological Systems)
Show Figures

Figure 1

16 pages, 1598 KB  
Article
Sliding Mode Control of Symmetric Permanent Magnet Synchronous Motor Based on Novel Adaptive Reaching Law and Combining Improved Terminal Fast Sliding Mode Disturbance Observer
by Mingyuan Hu, Changning Wei, Lei Zhang, Ping Wang, Dongjun Zhang and Tongwei Xie
Symmetry 2025, 17(12), 2057; https://doi.org/10.3390/sym17122057 - 2 Dec 2025
Viewed by 235
Abstract
Permanent Magnet Synchronous Motors (PMSMs) exhibit inherent symmetry in their electromagnetic structure yet behave as nonlinear and strongly coupled systems that are susceptible to internal parameter perturbations and external disturbances, posing challenges to effective control under dynamic operating conditions. To address these issues, [...] Read more.
Permanent Magnet Synchronous Motors (PMSMs) exhibit inherent symmetry in their electromagnetic structure yet behave as nonlinear and strongly coupled systems that are susceptible to internal parameter perturbations and external disturbances, posing challenges to effective control under dynamic operating conditions. To address these issues, this paper proposes a sliding mode control strategy for PMSMs that integrates a Novel Adaptive Reaching Law (NARL) and an Improved Terminal Fuzzy Sliding Mode Disturbance Observer (IFTSMDO), denoted as SMC-NARL-IFTSMDO. The NARL is designed with a state-dependent dynamic gain adjustment mechanism and terminal attractive factor characteristics: it increases the gain to ensure fast convergence when the system state is far from the sliding mode surface, and adaptively attenuates the gain to suppress chattering when approaching the sliding mode surface, thereby balancing the contradiction between convergence speed and chattering in traditional sliding mode control. The IFTSMDO constructs a composite sliding mode surface incorporating error derivatives, terminal power terms, and saturation functions, which enhances the sensitivity of disturbance estimation in the small-error stage, avoids high-frequency chattering caused by sign functions, and provides accurate feedforward compensation for the speed loop controller to improve the system’s anti-disturbance capability. Additionally, the asymptotic stability of the proposed control strategy is strictly proven using the Lyapunov stability theory, laying a solid theoretical foundation for its application. Experiments are conducted on a TMS320F28379D DSP-based platform, and quantitative results show that compared with the traditional sliding mode control (SMC-TRL), the proposed strategy reduces the no-load startup response time by 60%, the steady-state speed fluctuation by 60%, and the speed fluctuation under load disturbance by 81.5%, fully demonstrating its superiority in dynamic response and anti-disturbance performance. Full article
(This article belongs to the Special Issue Symmetry in Intelligent Spindle Modelling and Vibration Analysis)
Show Figures

Figure 1

18 pages, 30685 KB  
Article
Leveraging Explainable Artificial Intelligence for Place-Based and Quantitative Strategies in Urban Pluvial Flooding Management
by Chaorui Tan, Entong Ke and Haochen Shi
ISPRS Int. J. Geo-Inf. 2025, 14(12), 475; https://doi.org/10.3390/ijgi14120475 - 1 Dec 2025
Viewed by 309
Abstract
Reducing urban pluvial flooding susceptibility requires identifying dominant variables in different regions and offering quantitative management strategies, which remains a challenge for existing methodologies. To address this, this study delves into the characteristics of SHAP’s (Shapley Additive exPlanations) local interpretability and proposes a [...] Read more.
Reducing urban pluvial flooding susceptibility requires identifying dominant variables in different regions and offering quantitative management strategies, which remains a challenge for existing methodologies. To address this, this study delves into the characteristics of SHAP’s (Shapley Additive exPlanations) local interpretability and proposes a novel and concise framework based on explainable artificial intelligence (ensemble learning-SHAP) and applies it to the central urban area of Guangzhou as a case study. The research findings are as follows: (1) This framework captures the nonlinear and threshold effects of flood drivers, identifying specific inflection points where landscape features shift from mitigating to exacerbating flooding. (2) Anthropogenic variables, specifically impervious surface density (ISD) and vegetation (kNDVI), are identified as the dominant variables driving susceptibility in urban hotspots at the grid scale. (3) The interpretability results demonstrate high stability across model iterations. Finally, based on these findings, this study provides place-based and quantitative pluvial flooding management recommendations: for areas dominated by impervious surfaces and vegetation, maintaining the impervious surface density below 0.8 and the kNDVI above 0.25 can effectively reduce the susceptibility to urban flooding. This study provides a framework for achieving place-based and quantitative flooding management and offers valuable scientific insights for flooding management, urban planning, and sustainable urban development in the central district of Guangzhou, as well as in broader developing regions. Full article
Show Figures

Figure 1

16 pages, 777 KB  
Article
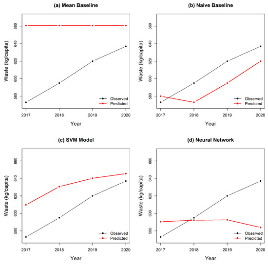
Rethinking Machine Learning Evaluation in Waste Management Research
by Paul Mullane, Colin Fitzpatrick and Eoin Martino Grua
Sustainability 2025, 17(23), 10707; https://doi.org/10.3390/su172310707 - 29 Nov 2025
Viewed by 431
Abstract
Reliable model evaluation is critical in waste management research, where machine learning is increasingly used to inform policy, circular economy strategies and progress towards the United Nations Sustainable Development Goals. However, common evaluation practices often fail to account for key methodological challenges, risking [...] Read more.
Reliable model evaluation is critical in waste management research, where machine learning is increasingly used to inform policy, circular economy strategies and progress towards the United Nations Sustainable Development Goals. However, common evaluation practices often fail to account for key methodological challenges, risking misleading conclusions. This study presents a theoretical analysis supplemented with a practical example of municipal solid waste generation in Ireland to demonstrate how standard evaluation metrics can produce distorted results. In particular, the widespread use of the R2 in waste management/sustainability machine learning is examined, showing its susceptibility to inflation when data exhibit strong correlations, temporal dependence or non-linear model structures. The findings show that reliance on the R2 misrepresents model performance under conditions typical of waste datasets. In the Irish example, the R2 often suggested a degradation of predictive ability even when error-based metrics, such as root mean squared error (RMSE) and mean absolute error (MAE), indicated improvement or stability. These results demonstrate the need for evaluation frameworks that move beyond single, correlation-based metrics. Future work should focus on developing and standardising robust practices to ensure that machine learning can support transparent, reliable and effective decision-making in waste management and circular economy contexts. Full article
(This article belongs to the Special Issue Waste Management for Sustainability: Emerging Issues and Technologies)
Show Figures

Figure 1

Back to TopTop