Sign in to use this feature.

Years

Between: -

Subjects

remove_circle_outline
remove_circle_outline
remove_circle_outline
remove_circle_outline
remove_circle_outline
remove_circle_outline
remove_circle_outline
remove_circle_outline
remove_circle_outline

Journals

Article Types

Countries / Regions

remove_circle_outline
remove_circle_outline
remove_circle_outline
remove_circle_outline

Search Results (438)

Search Parameters:
Keywords = natural-fiber-reinforced polymer

Order results
Result details
Results per page
Select all
Export citation of selected articles as:
25 pages, 14994 KB  
Article
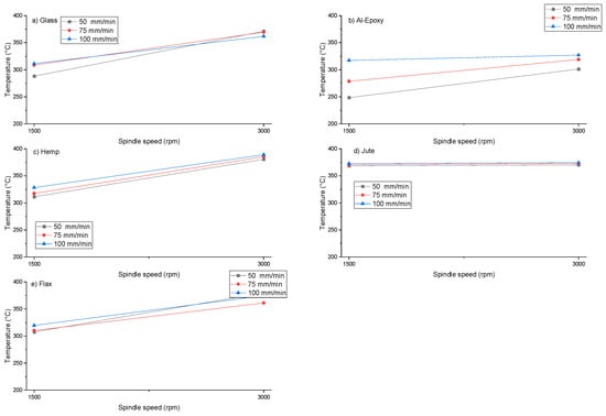
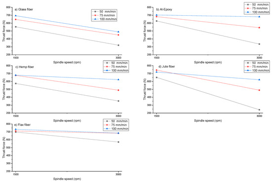
Comparative Analyses of Drilling Force, Temperature, and Damage in Natural and Glass Fiber-Reinforced Al–Epoxy Composites
by Muammer Kına, Uğur Köklü, Sezer Morkavuk, Mustafa Ay, Yalçın Boztoprak, Barkın Bakır and Murat Demiral
Polymers 2026, 18(2), 229; https://doi.org/10.3390/polym18020229 - 15 Jan 2026
Abstract
This study examined the drilling performance of five polymer composite systems: three natural fiber (jute, flax, hemp) composites with aluminum particle-reinforced epoxy, one glass fiber-reinforced composite with the same matrix, and an unreinforced aluminum particle-filled epoxy (Al–epoxy). Drilling experiments were performed at spindle [...] Read more.
This study examined the drilling performance of five polymer composite systems: three natural fiber (jute, flax, hemp) composites with aluminum particle-reinforced epoxy, one glass fiber-reinforced composite with the same matrix, and an unreinforced aluminum particle-filled epoxy (Al–epoxy). Drilling experiments were performed at spindle speeds of 1500 and 3000 rpm with feed rates of 50, 75, and 100 mm/min in order to evaluate the effect of cutting parameters on the drilling performance. Cutting zone temperatures were measured using thermocouples embedded within the drill bit’s cooling channels, while thrust forces were recorded with a dynamometer. Additionally, hole exit damage and inner hole surface roughness were evaluated to assess machining quality. The results showed that increasing spindle speed reduces thrust forces due to thermal softening of the matrix, whereas natural fiber-reinforced composites generally exhibit higher thrust forces and slightly rougher inner hole surfaces compared to synthetic counterparts. During drilling, the measured thrust forces ranged from 320 to 693 N for the glass fiber-reinforced specimen and from 335 to 702 N for the Al–epoxy specimen, while for natural fiber-reinforced composites the thrust force values were 352–679 N for hemp, 241–719 N for jute, and 571–732 N for flax specimens. Synthetic specimens (glass fiber and Al–epoxy) exhibited comparable cutting temperature ranges (288–371 °C and 248–327 °C, respectively), whereas natural fiber-reinforced composites showed higher and broader temperature ranges of 311–389 °C for hemp, 368–374 °C for jute, and 307–379 °C for flax specimens. The overall results indicated that lower forces were generated during the drilling of synthetic glass fiber-reinforced composites, while among natural fiber-reinforced plastics, flax fiber-reinforced composites stood out by exhibiting a balanced machining response. Full article
(This article belongs to the Special Issue Advanced Polymer Composites with High Mechanical Properties)
Show Figures

Figure 1

49 pages, 7983 KB  
Review
Polymer Composites in Additive Manufacturing: Current Technologies, Applications, and Emerging Trends
by Md Mahbubur Rahman, Safkat Islam, Mubasshira, Md Shaiful Islam, Raju Ahammad, Md Ashraful Islam, Md Abdul Hasib, Md Shohanur Rahman, Raza Moshwan, M. Monjurul Ehsan, Md Sanaul Rabbi, Md Moniruzzaman, Muhammad Altaf Nazir and Wei-Di Liu
Polymers 2026, 18(2), 192; https://doi.org/10.3390/polym18020192 - 10 Jan 2026
Viewed by 445
Abstract
Polymer composites have opened a novel innovation phase in additive manufacturing (AM), and now lightweight, high-strength, and geometrical advanced components with tailored functionalities can be produced. The present study introduces advances in polymer composite materials and their integration into AM processes, particularly in [...] Read more.
Polymer composites have opened a novel innovation phase in additive manufacturing (AM), and now lightweight, high-strength, and geometrical advanced components with tailored functionalities can be produced. The present study introduces advances in polymer composite materials and their integration into AM processes, particularly in rapidly growing industries such as aerospace, automotive, biomedical, and electronics. The embedding of cutting-edge reinforcement materials, such as nanoparticles, carbon fibers, and natural fibers, into polymer matrices enhances mechanical, thermal, electrical, and multifunctional properties. These material developments are combined with advanced fabrication techniques, including multi-material printing, in situ curing, and functionally graded manufacturing, which achieves accurate regulation of microstructures and properties. Furthermore, high-impact innovations such as smart polymer composites with self-healing or stimuli-responsive behaviors, the growing shift toward sustainable, bio-based composite alternatives, are driving progress. Despite significant advances, challenges remain in interfacial bonding, printability, process repeatability, and long-term durability. This review offers a comprehensive overview of current advancements and outlines future directions in polymer composite–based AM. Full article
Show Figures

Figure 1

28 pages, 5461 KB  
Article
Free Vibration and Static Behavior of Bio-Inspired Helicoidal Composite Spherical Caps on Elastic Foundations Applying a 3D Finite Element Method
by Amin Kalhori, Mohammad Javad Bayat, Masoud Babaei and Kamran Asemi
Buildings 2026, 16(2), 273; https://doi.org/10.3390/buildings16020273 - 8 Jan 2026
Viewed by 131
Abstract
Spherical caps exploit their intrinsic curvature to achieve efficient stress distribution, delivering exceptional strength-to-weight ratios. This advantage renders them indispensable for aerospace systems, pressurized containers, architectural domes, and structures operating in extreme environments, such as deep-sea or nuclear containment. Their superior load-bearing capacity [...] Read more.
Spherical caps exploit their intrinsic curvature to achieve efficient stress distribution, delivering exceptional strength-to-weight ratios. This advantage renders them indispensable for aerospace systems, pressurized containers, architectural domes, and structures operating in extreme environments, such as deep-sea or nuclear containment. Their superior load-bearing capacity enables diverse applications, including satellite casings and high-pressure vessels. Meticulous optimization of geometric parameters and material selection ensures robustness in demanding scenarios. Given their significance, this study examines the natural frequency and static response of bio-inspired helicoidally laminated carbon fiber–reinforced polymer matrix composite spherical panels surrounded by Winkler elastic foundation support. Utilizing a 3D elasticity approach and the finite element method (FEM), the governing equations of motion are derived via Hamilton’s Principle. The study compares five helicoidal stacking configurations—recursive, exponential, linear, semicircular, and Fibonacci—with traditional laminate designs, including cross-ply, quasi-isotropic, and unidirectional arrangements. Parametric analyses explore the influence of lamination patterns, number of plies, panel thickness, support rigidity, polar angles, and edge constraints on natural frequencies, static deflections, and stress distributions. The analysis reveals that the quasi-isotropic (QI) laminate configuration yields optimal vibrational performance, attaining the highest fundamental frequency. In contrast, the cross-ply (CP) laminate demonstrates marginally best static performance, exhibiting minimal deflection. The unidirectional (UD) laminate consistently shows the poorest performance across both static and dynamic metrics. These investigations reveal stress transfer mechanisms across layers and elucidate vibration and bending behaviors in laminated spherical shells. Crucially, the results underscore the ability of helicoidal arrangements in augmenting mechanical and structural performance in engineering applications. Full article
(This article belongs to the Special Issue Applications of Computational Methods in Structural Engineering)
Show Figures

Figure 1

0 pages, 2905 KB  
Article
Technical and Economic Evaluation of Oil Palm Empty Fruit Bunches as a Filler Alternative in Wood Polymer Composites for Sustainable Construction Applications
by Siti Mutia Mawaddah, Mochamad Chalid, Azizah Intan Pangesty, Muhammad Ghozali, Yora Faramitha, Firda Dimawarnita, Annisa Rifathin, Zarlina Zainuddin, Muhammad Hanif Ainun Azhar and Adam Febriyanto Nugraha
Recycling 2026, 11(1), 9; https://doi.org/10.3390/recycling11010009 - 6 Jan 2026
Viewed by 169
Abstract
Wood polymer composite (WPC), composed of polymer matrices reinforced with natural fibers, is increasingly used in structural and non-structural applications due to its sustainability and performance. Although teak and rice husk are common natural reinforcements, the use of oil palm empty fruit bunches [...] Read more.
Wood polymer composite (WPC), composed of polymer matrices reinforced with natural fibers, is increasingly used in structural and non-structural applications due to its sustainability and performance. Although teak and rice husk are common natural reinforcements, the use of oil palm empty fruit bunches (OPEFB) remains underexplored despite their abundance as agricultural waste. This study investigates the potential of OPEFB as an alternative reinforcement for recycled polyethylene-based WPC containing 20 wt% fiber and compares its morphology and performance with teak and rice husk. Compositional analysis shows that OPEFB exhibits lignin and cellulose contents as well as crystallinity comparable to teak, while exceeding rice husk in several structural parameters. These characteristics contribute to the highest tensile strength observed among the composites (37.45 MPa). Although its Shore D hardness is the lowest (58.8), the value remains within the acceptable range for construction applications. Combined with its favorable production costs, OPEFB emerges as a viable, resource-efficient alternative to conventional natural fibers, expanding the options for sustainable WPC development. Full article
Show Figures

Graphical abstract

16 pages, 3090 KB  
Article
Experimental and Numerical Assessment of Flexural Behavior of CFRP–Strengthened Timber Beams
by Milot Muhaxheri, Enes Krasniqi, Naser Kabashi, Ylli Murati and Ridvan Mahmuti
Polymers 2026, 18(1), 134; https://doi.org/10.3390/polym18010134 - 1 Jan 2026
Viewed by 349
Abstract
Glued laminated timber (glulam) is increasingly adopted as a sustainable structural material; however, its performance under bending can be limited by brittle tensile failures and variability caused by natural defects. This study examines the flexural behavior of glulam beams strengthened with externally bonded [...] Read more.
Glued laminated timber (glulam) is increasingly adopted as a sustainable structural material; however, its performance under bending can be limited by brittle tensile failures and variability caused by natural defects. This study examines the flexural behavior of glulam beams strengthened with externally bonded carbon fiber reinforced polymer (CFRP) sheets. A four-point bending experimental program was carried out on glulam beams with varying CFRP bonded lengths, including unreinforced control beams. The results demonstrate that CFRP reinforcement enhanced load–carrying capacity by up to 48%, increased stiffness, and shifted failure modes from brittle tension–side ruptures to more favorable compression–controlled mechanisms. A nonlinear finite element (FE) model was developed using DIANA software 10.5 to simulate the structural response of both unreinforced and CFRP–strengthened beams. The numerical model accurately reproduced the experimental load–deflection behavior, stress redistribution, and failure trends, with deviations in ultimate load prediction generally within ±16% across all reinforcement configurations. The simulations further revealed the critical influence of CFRP bonded length on stress transfer efficiency and failure mode transition, mimicking experimental observations. By integrating experimental findings with numerical simulations and simplified analytical predictions, the study demonstrates that reinforcement length and bond activation govern the effectiveness of CFRP strengthening. The proposed combined methodology provides a reliable framework for evaluating and designing CFRP strengthened glulam beams. Full article
Show Figures

Figure 1

22 pages, 1625 KB  
Review
Recycled Electric and Electronic Waste in Concrete: A Review of Mechanical Performance and Sustainability Potential with a Case Study in Romania
by Cristian Georgeoi, Ioan Petran, Camelia Maria Negrutiu and Pavel Ioan Sosa
CivilEng 2026, 7(1), 2; https://doi.org/10.3390/civileng7010002 - 31 Dec 2025
Viewed by 275
Abstract
This study examines the use of electronic waste (e-waste) as an alternative material in concrete for sustainability and natural resource conservation. Various e-wastes, such as Polyvinyl Chloride (PVC), Glass-Reinforced Plastic (GRP), Glass Fiber-Reinforced Polymer (GFRP), cross-linked polyethylene (XLPE), polyethylene (PE), electronic cable waste [...] Read more.
This study examines the use of electronic waste (e-waste) as an alternative material in concrete for sustainability and natural resource conservation. Various e-wastes, such as Polyvinyl Chloride (PVC), Glass-Reinforced Plastic (GRP), Glass Fiber-Reinforced Polymer (GFRP), cross-linked polyethylene (XLPE), polyethylene (PE), electronic cable waste (ECW), Waste Electrical Cable Rubber (WECR), copper fiber (Cu Fib.), aluminum Fibers (Al fib.), steel fibers, basalt fibers, glass fibers, aramid−carbon fibers, Kevlar fibers, jute fibers, and optical fibers, were tested for influence on compressive, flexural, tensile strength, modulus of elasticity, and water absorption. Outcomes show that fine particle waste at low levels (0.2–1.5%) can improve mechanical performance, while higher levels of replacement or coarse particles generally reduce performance. Mechanical and physical properties are highly sensitive to material type, particle size, and dose. Life cycle assessment (LCA) and predictive modeling are recommended as validation for sustainability benefits. Full article
(This article belongs to the Section Construction and Material Engineering)
Show Figures

Figure 1

32 pages, 6741 KB  
Article
Coupled ALE–Lagrangian Analysis of Pavement Damage Induced by Buried Natural Gas Pipeline Explosions
by Lijun Li, Jianying Chen, Jiguan Liang and Zhengshou Lai
Infrastructures 2026, 11(1), 10; https://doi.org/10.3390/infrastructures11010010 - 24 Dec 2025
Viewed by 221
Abstract
This study numerically investigates pavement damage caused by explosions in buried leaking natural gas pipelines using a coupled Lagrangian–Eulerian (CLE) framework in LS-DYNA. The gas phase is described by a Jones–Wilkins–Lee-based equation of state, while soil and pavement are modeled using a pressure-dependent [...] Read more.
This study numerically investigates pavement damage caused by explosions in buried leaking natural gas pipelines using a coupled Lagrangian–Eulerian (CLE) framework in LS-DYNA. The gas phase is described by a Jones–Wilkins–Lee-based equation of state, while soil and pavement are modeled using a pressure-dependent soil model and the Riedel–Hiermaier–Thoma concrete model with strain-based erosion, respectively. The approach is validated against benchmark underground explosion tests in sand and blast tests on reinforced concrete slabs, demonstrating accurate prediction of pressure histories, ejecta evolution, and crater or damage patterns. Parametric analyses are then conducted for different leaked gas masses and pipeline burial depths to quantify shock transmission, soil heave, pavement deflection, and damage evolution. The results indicate that the dynamic response of the pavement structure is most pronounced directly above the detonation point and intensifies significantly with increasing total leaked gas mass. For a total leaked gas mass of 36 kg, the maximum vertical deflection, the peak kinetic energy, and the peak pressure at the bottom interface at this location reach 148.46 mm, 14.64 kJ, and 10.82 MPa, respectively. Moreover, a deflection-based index is introduced to classify pavement response into slight (<20 mm), moderate (20–40 mm), severe (40–80 mm), and collapse (>80 mm) states, and empirical curves are derived to predict damage level from leakage mass and burial depth. Finally, the effectiveness of carbon fiber reinforced polymer (CFRP) strengthening schemes is assessed, showing that top and bottom surface reinforcement with a total CFRP thickness of 2.67 mm could reduce vertical deflection by up to 37.93% and significantly mitigates longitudinal cracking. The results provide a rational basis for safety assessment and blast resistant design of pavement structures above buried gas pipelines. Full article
(This article belongs to the Section Infrastructures and Structural Engineering)
Show Figures

Figure 1

34 pages, 9360 KB  
Review
Flame-Retardant Fiber-Reinforced Composites: Advances and Prospects in Multi-Performance Synergy
by Zihan Zhang, Feng Han, Haoran Li, Tianyu Li, Boran Yang, Jinhu Hu and Ye-Tang Pan
J. Compos. Sci. 2025, 9(12), 703; https://doi.org/10.3390/jcs9120703 - 16 Dec 2025
Viewed by 798
Abstract
Fiber-reinforced polymer composites, particularly carbon fiber and glass fiber reinforced composites, are widely used in cutting-edge industries due to their excellent properties, such as light weight and high strength. This review systematically compares and summarizes recent research advances in flame retardancy for carbon [...] Read more.
Fiber-reinforced polymer composites, particularly carbon fiber and glass fiber reinforced composites, are widely used in cutting-edge industries due to their excellent properties, such as light weight and high strength. This review systematically compares and summarizes recent research advances in flame retardancy for carbon fiber-reinforced polymers and glass fiber-reinforced polymers. Focusing on various polymer matrices, including epoxy, polyamide, and polyetheretherketone, the mechanisms and synergistic effects of different flame-retardant modification strategies—such as additive flame retardants, nanocomposites, coating techniques, intrinsically flame-retardant polymers, and advanced manufacturing processes—are analyzed with emphasis on improving flame retardancy and suppressing the “wick effect.” The review critically examines the challenges in balancing flame retardancy, mechanical performance, and environmental friendliness in current approaches, highlighting the key role of interface engineering in mitigating the “wick effect.” Based on this analysis, four future research directions are proposed: implementing green design principles throughout the material life cycle; promoting the use of natural fibers, bio-based resins, and bio-derived flame retardants; developing intelligent responsive flame-retardant systems based on materials such as metal–organic frameworks; advancing interface engineering through biomimetic design and advanced characterization to fundamentally suppress the fiber “wick effect”; and incorporating materials genome and high-throughput preparation technologies to accelerate the development of high-performance flame-retardant composites. This review aims to provide systematic theoretical insights and clear technical pathways for developing the next generation of high-performance, safe, and sustainable fiber-reinforced composites. Full article
(This article belongs to the Section Polymer Composites)
Show Figures

Graphical abstract

23 pages, 3058 KB  
Article
Research on the Adhesive Properties of Flax Fiber in the Production of Composite Materials
by Sergiy Lavrenko, Olga Gorach and Nataliia Lavrenko
Technologies 2025, 13(12), 582; https://doi.org/10.3390/technologies13120582 - 11 Dec 2025
Viewed by 373
Abstract
The article presents the results of theoretical and experimental research into the adhesive properties of flax fiber and their impact on the scientific development of composite material production. The research established that combining natural fibers with a polymer material or matrix increases the [...] Read more.
The article presents the results of theoretical and experimental research into the adhesive properties of flax fiber and their impact on the scientific development of composite material production. The research established that combining natural fibers with a polymer material or matrix increases the complexity of the composite forming process and causes problems in the physicochemical processes of matrix–filler interaction. This is explained by the low wettability of flax bast (13.0–14.5 g). It was found that the presence of cutins on oil flax fibers determines their high degree of hydrophobicity. To improve the adhesive properties of the bast, it was chemically treated to remove cellulose companions and cutins, high-molecular-weight compounds. The bast was chemically treated using the oxidative method. After chemical treatment, a fiber enriched with cellulose and freed from waxy substances was obtained. Thus, the cellulose content increased from 47.67–53.33% to 90.01–97.68%, and the waxy substances were almost completely removed. Their content in the bast was 18.13–18.57%, but after chemical treatment, it decreased to 0.01–0.04%. After chemical treatment, the wettability of the fiber increased to the required levels −104.94–122.78 g, indicating that the adhesive properties were significantly improved. The results of studies on physical and mechanical indicators demonstrate the high quality of the obtained composites. In terms of fluidity, all samples were superior to the control sample reinforced with cotton fiber. The theoretical and experimental research enabled the collection of experimental samples of composite materials. Full article
Show Figures

Graphical abstract

21 pages, 7246 KB  
Article
Recycling of Glass Fibers from Wind Turbine Blade Wastes via Chemical-Assisted Solvolysis
by Maria Modestou, Dionisis Semitekolos, Tao Liu, Christina Podara, Savvas Orfanidis, Ana Teresa Lima and Costas Charitidis
Fibers 2025, 13(12), 163; https://doi.org/10.3390/fib13120163 - 5 Dec 2025
Viewed by 650
Abstract
Wind turbine blades (WTBs) have always been considered one of the greatest engineering achievements. They primarily use glass fiber-reinforced polymers (GFRPs) because of their lightweight nature, impressive strength-to-weight ratio, and durability. Until now, typical disposal methods of End-of-Life (EoL) WTBs are landfill or [...] Read more.
Wind turbine blades (WTBs) have always been considered one of the greatest engineering achievements. They primarily use glass fiber-reinforced polymers (GFRPs) because of their lightweight nature, impressive strength-to-weight ratio, and durability. Until now, typical disposal methods of End-of-Life (EoL) WTBs are landfill or incineration. However, such practices are neither environmentally sustainable nor compliant with current regulations. This study investigates a low-temperature solvolysis process using a poly(ethylene glycol)/NaOH system under ambient pressure for efficient decomposition of the polyester matrix, promoting the potential of chemical recycling as an alternative to landfilling and incineration by offering a viable method for recovering glass fibers from WTB waste. A parametric study evaluated the influence of reaction time (4–5.5 h) and catalyst-to-resin ratio (0.1–2.0 g NaOH per g resin) on solvolysis efficiency. Optimal conditions (200 g PEG200, 12.5 g NaOH, 10 g GFRP, 5.5 h) achieved an ~80% decomposition efficiency and fibers exhibiting minimal surface degradation. SEM and EDX analyses confirmed limited morphological damage, while excessive NaOH (>15 g) caused notable etching of the glass fibers. ICP-OES of liquid residues detected high Na (780 mg/L) and Si (139 mg/L) concentrations, verifying partial dissolution of the fiber structure under strongly alkaline conditions. After applying a commercial sizing agent (Hydrosize HP2-06), TGA confirmed ~1.2% sizing mass, and nanoindentation analysis showed the interfacial modulus and hardness of re-sized fibers improved by over 70% compared to unsized recycled fibers, approaching the performance of virgin fibers. Full article
Show Figures

Graphical abstract

22 pages, 4620 KB  
Article
Evaluation of Tensile Strength, Elastic Modulus, Density, and Fiber Content of Glass Fiber-Reinforced Polymer Rebars During and After Exposure to High Temperatures
by Rafael Trevisan, Fernanda Pacheco, Roberto Christ, Hinoel Zamis Ehrenbring, Giovanna Menegussi Portela and Bernardo Tutikian
Buildings 2025, 15(24), 4398; https://doi.org/10.3390/buildings15244398 - 5 Dec 2025
Viewed by 618
Abstract
This study investigated the changes in the physical and mechanical properties of glass fiber-reinforced polymer (GFRP) rebars during and after exposure to elevated temperatures. The specimens were tested at 23 °C (ambient), 150 °C, 200 °C, 250 °C, 300 °C, and 350 °C [...] Read more.
This study investigated the changes in the physical and mechanical properties of glass fiber-reinforced polymer (GFRP) rebars during and after exposure to elevated temperatures. The specimens were tested at 23 °C (ambient), 150 °C, 200 °C, 250 °C, 300 °C, and 350 °C in an electric kiln coupled to a universal testing machine, without exposure to flames. The mechanical properties evaluated were the tensile strength and modulus of elasticity. After exposure, the surface damage was examined using scanning electron microscopy (SEM), and resin loss was quantified through fiber content tests. At ambient temperature, the average tensile strength and modulus of elasticity of the rebars were 956.4 MPa and 44.7 GPa, respectively. Damage observed during heating was more severe than that observed after heating and subsequent cooling. At 350 °C, up to 37% of the tensile strength was lost during heating, whereas the maximum reduction in modulus of elasticity was 8.3%, indicating that the fibers themselves were not significantly compromised by heat. After exposure and cooling, the maximum reduction in tensile strength was less than 1% (after exposure to 150 °C), while the modulus of elasticity exhibited a 7.9% decrease (after exposure to 200 °C). The glass transition temperature was measured at 101.7 °C. SEM analysis revealed signs of resin degradation caused by heat, including superficial damage, microcracks, reduced resin cover over the fibers, and ruptured fibers. Fiber content tests after exposure demonstrated a direct correlation between reduced fiber content and the decline in mechanical properties. The behavior of GFRP rebars after heating and cooling can provide important insights for assessing structural safety in post-fire buildings, since natural cooling led to partial resin recovery and improvements in mechanical performance. Full article
(This article belongs to the Section Building Materials, and Repair & Renovation)
Show Figures

Figure 1

16 pages, 2537 KB  
Article
Recycling of Polypropylene with Vitamin E Additives: Rheological Properties and Mechanical Characteristics
by Gulbarshin Shambilova, Alexander Korshunov, Markel Vinogradov, Zhanar Kadasheva, Rinat Iskakov, Altynay Kalauova, Georgy Makarov, Danagul Kalimanova and Sergey Legkov
Processes 2025, 13(12), 3923; https://doi.org/10.3390/pr13123923 - 4 Dec 2025
Viewed by 393
Abstract
Polypropylene (PP) is a highly sought-after synthetic polymer. Due to its properties, it has wide applications in a number of industries. One-dimensional molded materials (fibers and strands) are widely used in the textile and construction sectors. Concrete reinforcing using PP fiber is an [...] Read more.
Polypropylene (PP) is a highly sought-after synthetic polymer. Due to its properties, it has wide applications in a number of industries. One-dimensional molded materials (fibers and strands) are widely used in the textile and construction sectors. Concrete reinforcing using PP fiber is an intriguing use in construction. Fiber can be provided in two forms: fine fibers (microfiber) and extrudates (macrofiber). The macrofiber has a length of up to 60 mm and a thickness of up to 300 microns. The aim of the work was to obtain PP-based macrofibers from recycled polymer using the natural antioxidant tocopherol. The initial polymer is used to produce the fiber, whereas, in this work, it is proposed to use a secondary PP. Vitamin E, a natural antioxidant, was added to the system to stabilize the melts. It has been demonstrated that adding up to 0.5% Vitamin E reduces the heat degradation of the polymer and yields melts with the appropriate viscoelastic characteristics. Rheological data was used to determine the fiber’s formability window. Macrofibers were derived from melts with varying histories. Their structure was investigated using X-ray structural analysis and IR spectroscopy, and their mechanical characteristics were assessed. Full article
(This article belongs to the Special Issue Women’s Special Issue Series: Processes)
Show Figures

Figure 1

13 pages, 3242 KB  
Article
Mechanical and Thermal Properties of Coconut (Cocos nucifera)-Reinforced Polypropylene Composite
by Mohd Nazri Ahmad and Muhammad Nazrin Puasa
Eng 2025, 6(11), 299; https://doi.org/10.3390/eng6110299 - 1 Nov 2025
Viewed by 1012
Abstract
Natural fibers have been widely used for reinforcing polymers, attributed to their sustainable nature, light weight, biodegradability, and low cost compared with synthetic fibers, for example, carbon or glass fibers. The objective of this research was to promote the use of natural resource-blended [...] Read more.
Natural fibers have been widely used for reinforcing polymers, attributed to their sustainable nature, light weight, biodegradability, and low cost compared with synthetic fibers, for example, carbon or glass fibers. The objective of this research was to promote the use of natural resource-blended polypropylene (PP) to reduce greenhouse gas emissions and to explore the potential of using grain by-products, such as coconut shell (CS), as fillers for thermoplastic materials. CS (30 wt%) is embedded in the PP matrix of the composite. Thereafter, CS/PP composites were produced utilizing a hot press compounding machine to produce the specimens and a high-speed mixer set at 3000 rpm for five minutes. The impact of coconut shell content on the mechanical and thermal properties of CS/PP composites was examined. The results show the CS/PP composite’s tensile strength and tensile modulus improved by 36% and 30%, respectively. In the meantime, the CS/PP composite’s flexural strength and flexural modulus increased by 16% and 13%, respectively. At a maximum temperature of 260 °C, the CS/PP composite demonstrated thermal stability. Due to the unprocessed particles, the coconut fiber appeared on the surface as homogenous particles. Researchers and industry professionals can use these results to help create new products. Full article
(This article belongs to the Section Materials Engineering)
Show Figures

Figure 1

19 pages, 4508 KB  
Article
Recycled PET Sandwich Cores, Waste-Derived Carbon Additive, and Cure-Rate Control: FTIR/SEM Study of Flexural Performance in Flax Fiber-Reinforced Composites
by Veena Phunpeng, Kitsana Khodcharad and Wipada Boransan
Fibers 2025, 13(10), 142; https://doi.org/10.3390/fib13100142 - 20 Oct 2025
Cited by 1 | Viewed by 708
Abstract
To address circularity and resource recovery in modern structural applications, industry is seeking materials that are sustainable and lightweight. Although natural fiber-reinforced composites offer sustainability advantages, their mechanical properties remain inferior to those of synthetic fiber systems, limiting practical deployment. Flax fibers were [...] Read more.
To address circularity and resource recovery in modern structural applications, industry is seeking materials that are sustainable and lightweight. Although natural fiber-reinforced composites offer sustainability advantages, their mechanical properties remain inferior to those of synthetic fiber systems, limiting practical deployment. Flax fibers were selected as reinforcement due to their high specific stiffness, biodegradability, and wide availability. This study implements a three-level strategy to enhance the flexural performance of flax fiber-reinforced composites: at the process level, curing under distinct heating rates to promote a more uniform polymer network; at the material level, incorporation of a carbonaceous additive derived from fuel–oil furnace waste to strengthen interfacial adhesion; and at the structural level, adoption of a sandwich configuration with a recycled PET core to increase section bending inertia. Specimens were fabricated via vacuum-assisted resin transfer molding (VARTM) and tested using a three-point bending method. Mechanical testing shows clear improvements in flexural performance, with the sandwich architecture yielding the highest values and increasing flexural strength by up to 4.52× relative to the other conditions. For the curing series, FTIR indicates greater reaction extent, evidenced by lower intensities of the epoxide ring at 915 cm−1 and glycidyl/oxirane band near 972 cm−1, together with a more pronounced C–O–C stretching region, consistent with the higher flexural response. While SEM observations revealed interfacial debonding at 5% FCB, a hybrid mechanism with crack deflection appeared at 10%. This transition created tortuous crack paths, consistent with the higher flexural strength and modulus at 10% FCB. A distinctive feature of this work is the integration of three reinforcement strategies—controlled curing, waste-derived carbon additive, and recycled PET sandwich design. This integration not only enhances the performance of natural fiber composites but also emphasizes sustainability by valorizing recycled and waste-derived resources, thereby supporting the development of greener composite materials. Full article
Show Figures

Figure 1

20 pages, 11873 KB  
Article
Axial Compressive Performance of Wood-Cored GFRP Sandwich Columns
by Yuping Kan, Yixin Feng, Zhongping Xiao, Wei Pan, Zhaoyan Cui and Lingfeng Zhang
Buildings 2025, 15(19), 3632; https://doi.org/10.3390/buildings15193632 - 9 Oct 2025
Viewed by 448
Abstract
Paulownia wood, as a fast-growing natural material, exhibits inherently low axial compressive strength. To improve the axial structural performance of Paulownia wood, wood-cored glass fiber-reinforced polymer (GFRP) sandwich Paulownia wood columns were developed in this study. Nevertheless, the behavior of such columns remained [...] Read more.
Paulownia wood, as a fast-growing natural material, exhibits inherently low axial compressive strength. To improve the axial structural performance of Paulownia wood, wood-cored glass fiber-reinforced polymer (GFRP) sandwich Paulownia wood columns were developed in this study. Nevertheless, the behavior of such columns remained largely unexplored—particularly under elevated temperatures and upon subsequent cooling. Consequently, an experimental program was conducted to characterize the influences of GFRP wrapping layers, steel hoop end confinement, high temperature, post-cooling strength recovery, and chamfer radius on the axial compressive performance of the columns. End crushing occurred in the absence of steel hoops, whereas mid-height fracture dominated when end confinement was provided. As the temperature rose from room temperature to 100 °C and 200 °C, the load-bearing capacity of the columns decreased by 38.26% and 54.05%, respectively, due to the softening of the GFRP composites. After cooling back to room temperature, the post-high-temperature specimens recovered approximately 95% of their original capacity, confirming that no significant thermal decomposition had been initiated. The load-bearing capacity also increased significantly with the number of GFRP layers, as the additional thickness provided both higher axial load capacity and enhanced lateral confinement of the wood core. Relative to a 4.76 mm chamfer, a 9.52 mm radius increased axial capacity by 14.07% by mitigating stress concentration. A theoretical model accounting for lateral confinement was successfully developed to predict the axial load-bearing capacity of the wood-cored GFRP sandwich columns. Full article
(This article belongs to the Special Issue Performance Analysis of Timber Composite Structures)
Show Figures

Figure 1

Back to TopTop