Recycling of Glass Fibers from Wind Turbine Blade Wastes via Chemical-Assisted Solvolysis
Abstract
1. Introduction
2. Materials and Methods
2.1. Materials
2.2. Characterisation Methods
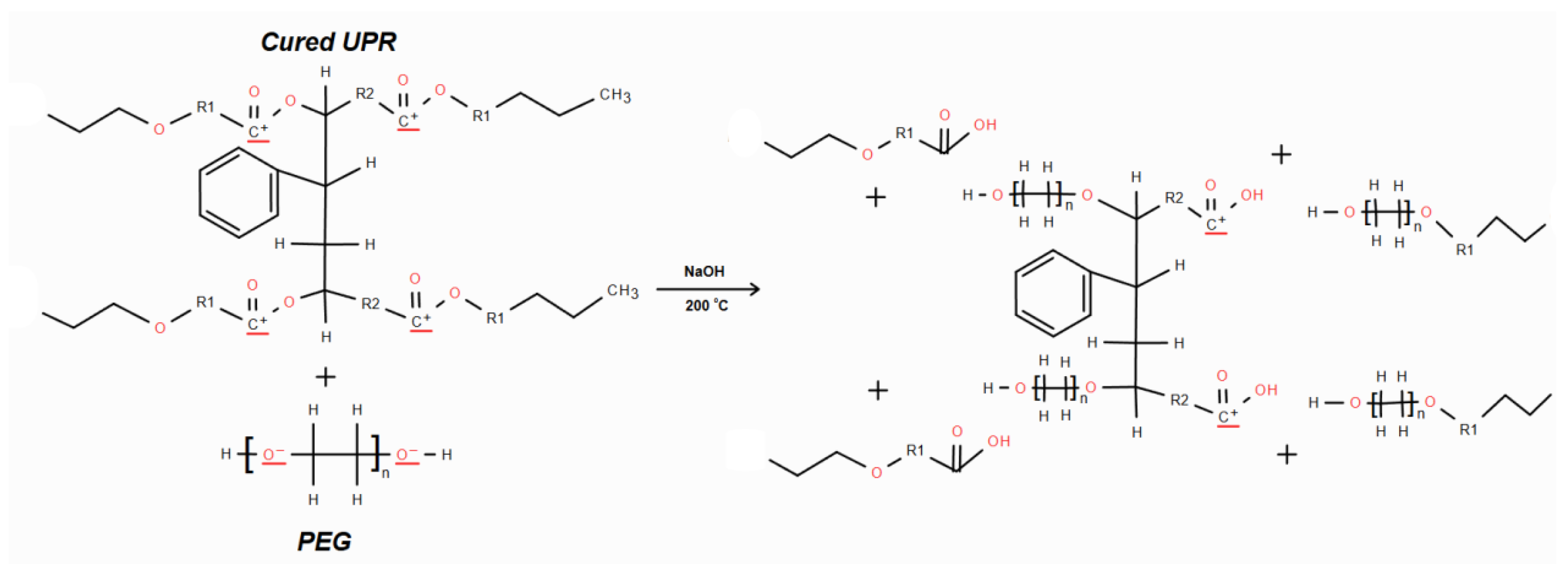
2.3. Solvolysis
2.4. Upscaling
2.5. Fiber Treatment & Interface Assessment
3. Results
3.1. WTB Wastes Analysis
3.1.1. Identification of WTB Waste Components
3.1.2. Thermal Properties of WTB & Fiber to Resin Weight Ratio
3.2. rGFs and Solvolysis Liquid Wastes Analysis
3.2.1. Decomposition Efficiency of Solvolysis
3.2.2. Morphological Characteristics of rGFs
3.2.3. Elemental Composition of Solvolysis Wastes
3.2.4. Sizing Confirmation
3.2.5. Interfacial Properties of rGFs
4. Conclusions
5. Challenges & Future Recommendations
Author Contributions
Funding
Data Availability Statement
Conflicts of Interest
References
- Zhang, J.; Lin, G.; Vaidya, U.; Wang, H. Past, present and future prospective of global carbon fiber composite developments and applications. Compos. Part B Eng. 2023, 250, 110463. [Google Scholar] [CrossRef]
- Majewski, P.; Florin, N.; Jit, J.; Stewart, R.A. End-of-life policy considerations for wind turbine blades. Renew. Sustain. Energy Rev. 2022, 164, 112538. [Google Scholar] [CrossRef]
- European Commission, Directorate-General for Environment. “More Circular, Less Carbon: Chemical Recycling Holds Promise for Wind Turbine Blade Waste”, European Commission, Brussels, Science for Environment Policy—News Alert Service, Oct. 2023. Available online: https://environment.ec.europa.eu/news/more-circular-less-carbon-chemical-recycling-holds-promise-wind-turbine-blade-waste-2023-10-19_en (accessed on 1 December 2025).
- Liu, P.; Barlow, C.Y. Wind turbine blade waste in 2050. Waste Manag. 2017, 62, 229–240. [Google Scholar] [CrossRef] [PubMed]
- Podara, C.; Termine, S.; Modestou, M.; Semitekolos, D.; Tsirogiannis, C.; Karamitrou, M.; Trompeta, A.-F.; Milickovic, T.K.; Charitidis, C. Recent Trends of Recycling and Upcycling of Polymers and Composites: A Comprehensive Review. Recycling 2024, 9, 37. [Google Scholar] [CrossRef]
- Mattsson, C.; André, A.; Juntikka, M.; Tränkle, T.; Sott, R. Chemical recycling of End-of-Life wind turbine blades by solvolysis/HTL. IOP Conf. Ser. Mater. Sci. Eng. 2020, 942, 012013. [Google Scholar] [CrossRef]
- Katnam, K.B.; Comer, A.J.; Roy, D.; da Silva, L.F.M.; Young, T.M. Composite Repair in Wind Turbine Blades: An Overview. J. Adhes. 2015, 91, 113–139. [Google Scholar] [CrossRef]
- Mishnaevsky, L. Repair of wind turbine blades: Review of methods and related computational mechanics problems. Renew. Energy 2019, 140, 828–839. [Google Scholar] [CrossRef]
- André, A.; Kullberg, J.; Nygren, D.; Mattsson, C.; Nedev, G.; Haghani, R. Re-use of wind turbine blade for construction and infrastructure applications. IOP Conf. Ser. Mater. Sci. Eng. 2020, 942, 012015. [Google Scholar] [CrossRef]
- Meng, F.; McKechnie, J.; Pickering, S.J. An assessment of financial viability of recycled carbon fiber in automotive applications. Compos. Part A Appl. Sci. Manuf. 2018, 109, 207–220. [Google Scholar] [CrossRef]
- Gonçalves, R.M.; Martinho, A.; Oliveira, J.P. Evaluating the potential use of recycled glass fibers for the development of gypsum-based composites. Constr. Build. Mater. 2022, 321, 126320. [Google Scholar] [CrossRef]
- Tao, Y.; Hadigheh, S.A.; Wei, Y. Recycling of glass fiber reinforced polymer (GFRP) composite wastes in concrete: A critical review and cost benefit analysis. Structures 2023, 53, 1540–1556. [Google Scholar] [CrossRef]
- Pender, K.; Yang, L. Glass fiber composites recycling using the fluidised bed: A study into the economic viability in the UK. CTR 2023, 3, 221–240. [Google Scholar] [CrossRef]
- Termine, S.; Naxaki, V.; Semitekolos, D.; Trompeta, A.-F.; Rovere, M.; Tagliaferro, A.; Charitidis, C. Investigation of Carbon Fibers Reclamation by Pyrolysis Process for Their Reuse Potential. Polymers 2023, 15, 768. [Google Scholar] [CrossRef] [PubMed]
- Yang, T.; Dong, C.; Rong, Y.; Deng, Z.; Li, P.; Han, P.; Shi, M.; Huang, Z. Oxidation Behavior of Carbon Fibers in Ceramizable Phenolic Resin Matrix Composites at Elevated Temperatures. Polymers 2022, 14, 2785. [Google Scholar] [CrossRef] [PubMed]
- Oliveux, G.; Dandy, L.O.; Leeke, G.A. Current status of recycling of fiber reinforced polymers: Review of technologies, reuse and resulting properties. Prog. Mater. Sci. 2015, 72, 61–99. [Google Scholar] [CrossRef]
- He, D.; Soo, V.K.; Stojcevski, F.; Lipiński, W.; Henderson, L.C.; Compston, P.; Doolan, M. The effect of sizing and surface oxidation on the surface properties and tensile behaviour of recycled carbon fiber: An end-of-life perspective. Compos. Part A Appl. Sci. Manuf. 2020, 138, 106072. [Google Scholar] [CrossRef]
- Morin, C.; Loppinet-Serani, A.; Cansell, F.; Aymonier, C. Near- and supercritical solvolysis of carbon fiber reinforced polymers (CFRPs) for recycling carbon fibers as a valuable resource: State of the art. J. Supercrit. Fluids 2012, 66, 232–240. [Google Scholar] [CrossRef]
- Oliveux, G.; Bailleul, J.-L.; Salle, E.L.G.L. Chemical recycling of glass fiber reinforced composites using subcritical water. Compos. Part A: Appl. Sci. Manuf. 2012, 43, 1809–1818. [Google Scholar] [CrossRef]
- Morici, E.; Dintcheva, N.T. Recycling of Thermoset Materials and Thermoset-Based Composites: Challenge and Opportunity. Polymers 2022, 14, 4153. [Google Scholar] [CrossRef]
- Dang, W.; Kubouchi, M.; Sembokuya, H.; Tsuda, K. Chemical recycling of glass fiber reinforced epoxy resin cured with amine using nitric acid. Polymer 2005, 46, 1905–1912. [Google Scholar] [CrossRef]
- Yang, P.; Zhou, Q.; Yuan, X.-X.; Van Kasteren, J.M.N.; Wang, Y.-Z. Highly efficient solvolysis of epoxy resin using poly(ethylene glycol)/NaOH systems. Polym. Degrad. Stab. 2012, 97, 1101–1106. [Google Scholar] [CrossRef]
- Yousef, S.; Eimontas, J.; Zakarauskas, K.; Striūgas, N. Recovery of styrene-rich oil and glass fibers from fibers-reinforced unsaturated polyester resin end-of-life wind turbine blades using pyrolysis technology. J. Anal. Appl. Pyrolysis 2023, 173, 106100. [Google Scholar] [CrossRef]
- Bartolome, L.; Imran, M.; Cho, B.G.; Al-Masry, W.A.; Kim, D.H. Recent Developments in the Chemical Recycling of PET. In Material Recycling—Trends and Perspectives; IntechOpen: London, UK, 2012. [Google Scholar] [CrossRef]
- Shahrbabak, S.M.; Jalali, S.M.; Fathabadi, M.F.; Tayebi-Khorrami, V.; Amirinejad, M.; Forootan, S.; Saberifar, M.; Fadaei, M.R.; Najafi, Z.; Askari, V.R. Modified alginates for precision drug delivery: Advances in controlled-release and targeting systems. Int. J. Pharm. X 2025, 10, 100381. [Google Scholar] [CrossRef] [PubMed]
- Achilias, D. Polymer Recycling Methods. In Polymer Recycling; Kallipos, Open Academic Editions: Athens, Greece, 2023; Available online: https://repository.kallipos.gr/bitstream/11419/10205/1/164-ACHILIAS-Polymer-Recycling-CH02.pdf (accessed on 1 December 2025).
- Ameur, H.; Kamla, Y.; Sahel, D. Performance of Helical Ribbon and Screw Impellers for Mixing Viscous Fluids in Cylindrical Reactors. ChemEngineering 2018, 2, 26. [Google Scholar] [CrossRef]
- Flores-Hernández, E.; Lira-Saldívar, R.; Acosta-Ortiz, R.; Méndez-Arguello, B.; García-López, J.; Díaz-Barriga-Castro, E.; González-Torres, A.; García-Carrillo, M. Synthesis and Characterization of Calcium Phosphate Nanoparticles and Effect of the Agitation Type on Particles Morphology. Rev. Mex. Ing. Quim. 2019, 19, 284–298. [Google Scholar] [CrossRef]
- Semitekolos, D.; Terzopoulou, S.; Zecchi, S.; Marinis, D.; Farsari, E.; Amanatides, E.; Sajdak, M.; Sobek, S.; Smok, W.; Tański, T.; et al. Performance Restoration of Chemically Recycled Carbon Fibers Through Surface Modification with Sizing. Polymers 2024, 17, 33. [Google Scholar] [CrossRef]
- Koto, N.; Soegijono, B. Effect of Rice Husk Ash Filler of Resistance Against of High-Speed Projectile Impact on Polyester-Fiberglass Double Panel Composites. J. Phys. Conf. Ser. 2019, 1191, 012058. [Google Scholar] [CrossRef]
- Chukwu, M.N.; Madueke, C.I.; Ekebafe, L.O. Effects of Snail Shell as Filler on the Mechanical Properties of Terephthalic Unsaturated Polyester Resin. Niger. Res. J. Chem. Sci. 2019, 6, 21–32. [Google Scholar]
- Mishnaevsky, L.; Branner, K.; Petersen, H.N.; Beauson, J.; McGugan, M.; Sørensen, B.F. Materials for Wind Turbine Blades: An Overview. Materials 2017, 10, 11. [Google Scholar] [CrossRef]
- Reis, J.M.L.D.; Jurumenh, M.A.G. Experimental investigation on the effects of recycled aggregate on fracture behavior of polymer concrete. Mat. Res. 2011, 14, 326–330. [Google Scholar] [CrossRef]
- Bansal, R.K.; Mittal, J.; Singh, P. Thermal stability and degradation studies of polyester resins. J. Appl. Polym. Sci. 1989, 37, 1901–1908. [Google Scholar] [CrossRef]
- Fei, B. 2-High-performance fibers for textiles. In Engineering of High-Performance Textiles; Miao, M., Xin, J.H., Eds.; The Textile Institute Book Series; Woodhead Publishing: Cambridge, UK, 2018; pp. 27–58. [Google Scholar] [CrossRef]
- Pączkowski, P.; Puszka, A.; Gawdzik, B. Investigation of Degradation of Composites Based on Unsaturated Polyester Resin and Vinyl Ester Resin. Materials 2022, 15, 1286. [Google Scholar] [CrossRef] [PubMed]
- Wiss, J.; Schmuck, J.-L. Cleaning validation using thermogravimetry. J. Therm. Anal. Calorim. 2010, 104, 315–321. [Google Scholar] [CrossRef]
- Yang, P.; Zhou, Q.; Li, X.; Yang, K.; Wang, Y. Chemical recycling of fiber-reinforced epoxy resin using a polyethylene glycol/NaOH system. J. Reinf. Plast. Compos. 2024, 33, 2106–2114. [Google Scholar] [CrossRef]
- Vogiantzi, C.; Tserpes, K. A Preliminary Investigation on a Water- and Acetone-Based Solvolysis Recycling Process for CFRPs. Materials 2024, 17, 1102. [Google Scholar] [CrossRef]
- Bashir, S.T.; Yang, L.; Liggat, J.J.; Thomason, J.L. Kinetics of dissolution of glass fiber in hot alkaline solution. J. Mater. Sci. 2018, 53, 1710–1722. [Google Scholar] [CrossRef]
- Buschow, K.H.J. Encyclopedia of Materials: Science and Technology; Elsevier: Amsterdam, The Netherlands, 2001. [Google Scholar]
- Rungrodnimitchai, S.; Phokhanusai, W.; Sungkhaho, N. Preparation of silica gel from rice husk ash using microwave heating. J. Met. Mater. Miner. 2009, 19, 45–50. Available online: https://jmmm.material.chula.ac.th/index.php/jmmm/article/view/235 (accessed on 23 July 2025).
- Satishkumar, P.; Kumar, R.; Tripathi, N.M.; Sharma, A.; Desai, D.J.; Verma, A.; Natarajan, N.; Babbar, A. Integrating Titanium Coating with 3D-Printed GFRP Panels: An Innovative Approach to Harnessing Composite Strengths in Engineering Applications. In Advances in Pre- and Post-Additive Manufacturing Processes; CRC Press: Boca Raton, FL, USA, 2024. [Google Scholar]
- Ding, R.; Zheng, Y.; Yu, H.; Li, W.; Wang, X.; Gui, T. Study of water permeation dynamics and anti-corrosion mechanism of graphene/zinc coatings. J. Alloys Compd. 2018, 748, 481–495. [Google Scholar] [CrossRef]
- Pop, A.B.; Iepure, G.; Titu, A.M.; Ravai-Nagy, S. Characterization and Corrosion Behavior of Zinc Coatings for Two Anti-Corrosive Protections: A Detailed Study. Coatings 2023, 13, 1460. [Google Scholar] [CrossRef]
- Investing News Network. Investing News Network. “Lesser Known, Yet Highly Critical”. Sepember 2024. Available online: https://investingnews.com/antimony-lesser-known-yet-highly-critical/ (accessed on 1 December 2025).
- He, Y.; Xiang, Y.; Zhou, Y.; Yang, Y.; Zhang, J.; Huang, H.; Shang, C.; Luo, L.; Gao, J.; Tang, L. Selenium contamination, consequences and remediation techniques in water and soils: A review. Environ. Res. 2018, 164, 288–301. [Google Scholar] [CrossRef]
- Bouida, L.; Rafatullah, M.; Kerrouche, A.; Qutob, M.; Alosaimi, A.M.; Alorfi, H.S.; Hussein, M.A. A Review on Cadmium and Lead Contamination: Sources, Fate, Mechanism, Health Effects and Remediation Methods. Water 2022, 14, 3432. [Google Scholar] [CrossRef]
- Li, Y.-F.; Hung, J.-Y.; Syu, J.-Y.; Chen, S.-H.; Huang, C.-H.; Chang, S.-M.; Kuo, W.-S. Effect of the Sizing Removal Methods of Fiber Surface on the Mechanical Performance of Basalt Fiber-Reinforced Concrete. Fibers 2024, 12, 10. [Google Scholar] [CrossRef]
- Gu, Y.; Li, M.; Wang, J.; Zhang, Z. Characterization of the interphase in carbon fiber/polymer composites using a nanoscale dynamic mechanical imaging technique. Carbon 2010, 48, 3229–3235. [Google Scholar] [CrossRef]
















| Exp. | Amount of PEG200 (gr) | Amount of NaOH (gr) | Amount of WTB Wastes (gr) | Reaction Time (Hours) | Stirring Speed (rpm) |
|---|---|---|---|---|---|
| 1 | 200 | 1 | 10 | 4 | 200 |
| 2 | 200 | 3 | 10 | 4 | 200 |
| 3 | 200 | 3 | 10 | 5.5 | 200 |
| 4 | 200 | 8 | 10 | 4 | 200 |
| 5 | 200 | 8 | 10 | 5.5 | 200 |
| 6 | 200 | 10 | 10 | 4 | 200 |
| 7 | 200 | 10 | 10 | 5.5 | 200 |
| 8 | 200 | 10 | 5 | 4 | 200 |
| 9 | 200 | 20 | 10 | 5.5 | 200 |
| 10 | 200 | 20 | 10 | 4 | 200 |
| 11 | 200 | 15 | 10 | 5.5 | 200 |
| 12 | 200 | 15 | 10 | 4 | 200 |
| 13 | 200 | 12.5 | 10 | 5.5 | 200 |
| 14 | 200 | 12.5 | 10 | 4 | 200 |
| Citation | Method/Medium | Optimum Conditions | Decomposition Efficiency (%) | Resin/Fiber Type | Composite Type/Source |
|---|---|---|---|---|---|
| P. Yang et al. [38] | PEG/NaOH solvolysis | 200 °C, 4 h, 0.1 g NaOH/g CFRP | ~78 | Epoxy-CF | Reference CFRP laminate |
| C. Mattsson et al. [6] | Ethylene glycon | 270 °C, 16 h under pressure | ~85 | UPR-GF | EoL WTB waste |
| C. Vogiantzi & K. Tserpes [39] | Supercritical Water solvolysis | 400 °C, 300 bar | ~100 | Epoxy-CF | Reference CFRP laminate |
Disclaimer/Publisher’s Note: The statements, opinions and data contained in all publications are solely those of the individual author(s) and contributor(s) and not of MDPI and/or the editor(s). MDPI and/or the editor(s) disclaim responsibility for any injury to people or property resulting from any ideas, methods, instructions or products referred to in the content. |
© 2025 by the authors. Licensee MDPI, Basel, Switzerland. This article is an open access article distributed under the terms and conditions of the Creative Commons Attribution (CC BY) license (https://creativecommons.org/licenses/by/4.0/).
Share and Cite
Modestou, M.; Semitekolos, D.; Liu, T.; Podara, C.; Orfanidis, S.; Lima, A.T.; Charitidis, C. Recycling of Glass Fibers from Wind Turbine Blade Wastes via Chemical-Assisted Solvolysis. Fibers 2025, 13, 163. https://doi.org/10.3390/fib13120163
Modestou M, Semitekolos D, Liu T, Podara C, Orfanidis S, Lima AT, Charitidis C. Recycling of Glass Fibers from Wind Turbine Blade Wastes via Chemical-Assisted Solvolysis. Fibers. 2025; 13(12):163. https://doi.org/10.3390/fib13120163
Chicago/Turabian StyleModestou, Maria, Dionisis Semitekolos, Tao Liu, Christina Podara, Savvas Orfanidis, Ana Teresa Lima, and Costas Charitidis. 2025. "Recycling of Glass Fibers from Wind Turbine Blade Wastes via Chemical-Assisted Solvolysis" Fibers 13, no. 12: 163. https://doi.org/10.3390/fib13120163
APA StyleModestou, M., Semitekolos, D., Liu, T., Podara, C., Orfanidis, S., Lima, A. T., & Charitidis, C. (2025). Recycling of Glass Fibers from Wind Turbine Blade Wastes via Chemical-Assisted Solvolysis. Fibers, 13(12), 163. https://doi.org/10.3390/fib13120163

