Sign in to use this feature.

Years

Between: -

Subjects

remove_circle_outline
remove_circle_outline
remove_circle_outline
remove_circle_outline
remove_circle_outline
remove_circle_outline
remove_circle_outline

Journals

Article Types

Countries / Regions

Search Results (50)

Search Parameters:
Keywords = multilevel threshold image segmentation

Order results
Result details
Results per page
Select all
Export citation of selected articles as:
36 pages, 27311 KB  
Article
Multi-Threshold Image Segmentation Based on the Hybrid Strategy Improved Dingo Optimization Algorithm
by Qianqian Zhu, Min Gong, Yijie Wang and Zhengxing Yang
Biomimetics 2026, 11(1), 52; https://doi.org/10.3390/biomimetics11010052 - 8 Jan 2026
Abstract
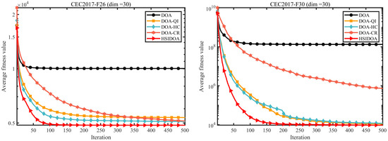
This study proposes a Hybrid Strategy Improved Dingo Optimization Algorithm (HSIDOA), designed to address the limitations of the standard DOA in complex optimization tasks, including its tendency to fall into local optima, slow convergence speed, and inefficient boundary search. The HSIDOA integrates a [...] Read more.
This study proposes a Hybrid Strategy Improved Dingo Optimization Algorithm (HSIDOA), designed to address the limitations of the standard DOA in complex optimization tasks, including its tendency to fall into local optima, slow convergence speed, and inefficient boundary search. The HSIDOA integrates a quadratic interpolation search strategy, a horizontal crossover search strategy, and a centroid-based opposition learning boundary-handling mechanism. By enhancing local exploitation, global exploration, and out-of-bounds correction, the algorithm forms an optimization framework that excels in convergence accuracy, speed, and stability. On the CEC2017 (30-dimensional) and CEC2022 (10/20-dimensional) benchmark suites, the HSIDOA achieves significantly superior performance in terms of average fitness, standard deviation, convergence rate, and Friedman test rankings, outperforming seven mainstream algorithms including MLPSO, MELGWO, MHWOA, ALA, HO, RIME, and DOA. The results demonstrate strong robustness and scalability across different dimensional settings. Furthermore, HSIDOA is applied to multi-level threshold image segmentation, where Otsu’s maximum between-class variance is used as the objective function, and PSNR, SSIM, and FSIM serve as evaluation metrics. Experimental results show that HSIDOA consistently achieves the best segmentation quality across four threshold levels (4, 6, 8, and 10 levels). Its convergence curves exhibit rapid decline and early stabilization, with stability surpassing all comparison algorithms. In summary, HSIDOA delivers comprehensive improvements in global exploration capability, local exploitation precision, convergence speed, and high-dimensional robustness. It provides an efficient, stable, and versatile optimization method suitable for both complex numerical optimization and image segmentation tasks. Full article
(This article belongs to the Special Issue Bio-Inspired Machine Learning and Evolutionary Computing)
Show Figures

Figure 1

27 pages, 3106 KB  
Article
An Adaptive Hybrid Metaheuristic Algorithm for Lung Cancer in Pathological Image Segmentation
by Muhammed Faruk Şahin and Ferzat Anka
Diagnostics 2026, 16(1), 84; https://doi.org/10.3390/diagnostics16010084 - 26 Dec 2025
Viewed by 235
Abstract
Background/Objectives: Histopathological images are fundamental for the morphological diagnosis and subtyping of lung cancer. However, their high resolution, color diversity, and structural complexity make automated segmentation highly challenging. This study aims to address these challenges by developing a novel hybrid metaheuristic approach for [...] Read more.
Background/Objectives: Histopathological images are fundamental for the morphological diagnosis and subtyping of lung cancer. However, their high resolution, color diversity, and structural complexity make automated segmentation highly challenging. This study aims to address these challenges by developing a novel hybrid metaheuristic approach for multilevel image thresholding to enhance segmentation accuracy and computational efficiency. Methods: An adaptive hybrid metaheuristic algorithm, termed SCSOWOA, is proposed by integrating the Sand Cat Swarm Optimization (SCSO) algorithm with the Whale Optimization Algorithm (WOA). The algorithm combines the exploration capacity of SCSO with the exploitation strength of WOA in a sequential and adaptive manner. The model was evaluated on histopathological images of lung cancer from the LC25000 dataset with threshold levels ranging from 2 to 12, using PSNR, SSIM, and FSIM as performance metrics. Results: The proposed algorithm achieved stable and high-quality segmentation results, with average values of 27.9453 dB in PSNR, 0.8048 in SSIM, and 0.8361 in FSIM. At the threshold level of T = 12, SCSOWOA obtained the highest performance, with SSIM and FSIM scores of 0.9340 and 0.9542, respectively. Furthermore, it demonstrated the lowest average execution time of 1.3221 s, offering up to a 40% improvement in computational efficiency compared with other metaheuristic methods. Conclusions: The SCSOWOA algorithm effectively balances exploration and exploitation processes, providing high-accuracy, low-variance, and computationally efficient segmentation. These findings highlight its potential as a robust and practical solution for AI-assisted histopathological image analysis and lung cancer diagnosis systems. Full article
(This article belongs to the Special Issue Advances in Lung Cancer Diagnosis)
Show Figures

Graphical abstract

45 pages, 59804 KB  
Article
Multi-Threshold Art Symmetry Image Segmentation and Numerical Optimization Based on the Modified Golden Jackal Optimization
by Xiaoyan Zhang, Zuowen Bao, Xinying Li and Jianfeng Wang
Symmetry 2025, 17(12), 2130; https://doi.org/10.3390/sym17122130 - 11 Dec 2025
Viewed by 324
Abstract
To address the issues of uneven population initialization, insufficient individual information interaction, and passive boundary handling in the standard Golden Jackal Optimization (GJO) algorithm, while improving the accuracy and efficiency of multilevel thresholding in artistic image segmentation, this paper proposes an improved Golden [...] Read more.
To address the issues of uneven population initialization, insufficient individual information interaction, and passive boundary handling in the standard Golden Jackal Optimization (GJO) algorithm, while improving the accuracy and efficiency of multilevel thresholding in artistic image segmentation, this paper proposes an improved Golden Jackal Optimization algorithm (MGJO) and applies it to this task. MGJO introduces a high-quality point set for population initialization, ensuring a more uniform distribution of initial individuals in the search space and better adaptation to the complex grayscale characteristics of artistic images. A dual crossover strategy, integrating horizontal and vertical information exchange, is designed to enhance individual information sharing and fine-grained dimensional search, catering to the segmentation needs of artistic image textures and color layers. Furthermore, a global-optimum-based boundary handling mechanism is constructed to prevent information loss when boundaries are exceeded, thereby preserving the boundary details of artistic images. The performance of MGJO was evaluated on the CEC2017 (dim = 30, 100) and CEC2022 (dim = 10, 20) benchmark suites against seven algorithms, including GWO and IWOA. Population diversity analysis, exploration–exploitation balance assessment, Wilcoxon rank-sum tests, and Friedman mean-rank tests all demonstrate that MGJO significantly outperforms the comparison algorithms in optimization accuracy, stability, and statistical reliability. In multilevel thresholding for artistic image segmentation, using Otsu’s between-class variance as the objective function, MGJO achieves higher fitness values (approaching Otsu’s optimal values) across various artistic images with complex textures and colors, as well as benchmark images such as Baboon, Camera, and Lena, in 4-, 6-, 8-, and 10-level thresholding tasks. The resulting segmented images exhibit superior peak signal-to-noise ratio (PSNR), structural similarity (SSIM), and feature similarity (FSIM) compared to other algorithms, more precisely preserving brushstroke details and color layers. Friedman average rankings consistently place MGJO in the lead. These experimental results indicate that MGJO effectively overcomes the performance limitations of the standard GJO, demonstrating excellent performance in both numerical optimization and multilevel thresholding artistic image segmentation. It provides an efficient solution for high-dimensional complex optimization problems and practical demands in artistic image processing. Full article
(This article belongs to the Section Engineering and Materials)
Show Figures

Figure 1

40 pages, 41737 KB  
Article
Multi-Threshold Image Segmentation Based on Reinforcement Learning–Thermal Conduction–Sine Cosine Algorithm (RLTCSCA): Symmetry-Driven Optimization for Image Processing
by Yijie Wang, Zuowen Bao, Qianqian Zhu and Xiang Lei
Symmetry 2025, 17(12), 2120; https://doi.org/10.3390/sym17122120 - 9 Dec 2025
Viewed by 265
Abstract
To address the inherent limitations of the standard Sine Cosine Algorithm (SCA) in multi-threshold image segmentation, this paper proposes an enhanced algorithm named the Reinforcement Learning–Thermal Conduction–Sine Cosine Algorithm (RLTC-SCA), with symmetry as a core guiding principle. Symmetry, a fundamental property in nature [...] Read more.
To address the inherent limitations of the standard Sine Cosine Algorithm (SCA) in multi-threshold image segmentation, this paper proposes an enhanced algorithm named the Reinforcement Learning–Thermal Conduction–Sine Cosine Algorithm (RLTC-SCA), with symmetry as a core guiding principle. Symmetry, a fundamental property in nature and image processing, refers to the invariance or regularity of grayscale distributions, texture patterns, and structural features across image regions; this characteristic is widely exploited to improve segmentation accuracy by leveraging consistent spatial or intensity relationships. In multi-threshold segmentation, symmetry manifests in the balanced distribution of optimal thresholds within the grayscale space, as well as the symmetric response of segmentation metrics (e.g., PSNR, SSIM) to threshold adjustments. To evaluate the optimization performance of RLTC-SCA, comprehensive numerical experiments were conducted on the CEC2020 and CEC2022 benchmark test suites. The proposed algorithm was compared with several mainstream metaheuristic algorithms. An ablation study was designed to analyze the individual contribution and synergistic effects of the three enhancement strategies. The convergence behavior was characterized using indicators such as average fitness value, search trajectory, and convergence curve. Moreover, statistical stability was assessed using the Wilcoxon rank-sum test (at a significance level of p = 0.05) and the Friedman test. Experimental results demonstrate that RLTC-SCA outperforms all comparison algorithms in terms of average fitness, convergence speed, and stability, ranking first on both benchmark test suites. Furthermore, RLTC-SCA was applied to multi-threshold image segmentation tasks, where the Otsu method was adopted as the objective function. Segmentation performance was evaluated on multiple benchmark images under four threshold levels (2, 4, 6, and 8) using PSNR, FSIM, and SSIM as evaluation metrics. The results indicate that RLTC-SCA can efficiently obtain optimal segmentation thresholds, with PSNR, FSIM, and SSIM values consistently higher than those of competing algorithms—demonstrating superior segmentation accuracy and robustness. This study provides a reliable solution for improving the efficiency and precision of multi-threshold image segmentation and enriches the application of intelligent optimization algorithms in the field of image processing. Full article
(This article belongs to the Special Issue Symmetry in Mathematical Optimization Algorithm and Its Applications)
Show Figures

Figure 1

42 pages, 18045 KB  
Article
MSCSO: A Modified Sand Cat Swarm Optimization for Global Optimization and Multilevel Thresholding Image Segmentation
by Xuanqi Yuan, Zihao Zhu, Zhengxing Yang and Yongnian Zhang
Symmetry 2025, 17(11), 2012; https://doi.org/10.3390/sym17112012 - 20 Nov 2025
Cited by 1 | Viewed by 317
Abstract
To address the limitations of the original Sand Cat Swarm Optimization (SCSO) algorithm—such as static strategy selection, insufficient population diversity, and coarse boundary handling—this paper proposes a multi-strategy enhanced version, namely the Modified Sand Cat Swarm Optimization (MSCSO). The algorithm improves performance through [...] Read more.
To address the limitations of the original Sand Cat Swarm Optimization (SCSO) algorithm—such as static strategy selection, insufficient population diversity, and coarse boundary handling—this paper proposes a multi-strategy enhanced version, namely the Modified Sand Cat Swarm Optimization (MSCSO). The algorithm improves performance through three core strategies: (1) an adaptive strategy selection mechanism that dynamically adapts to different optimization phases; (2) an adaptive crossover–mutation strategy inspired by differential evolution, in which mutation vectors are generated with the guidance of the global best solution and updated via binomial crossover, thereby enhancing both population diversity and local search capability; and (3) a boundary control mechanism guided by the global best solution, which repairs out-of-bound solutions by relocating them between the global best and the boundary, thus preserving useful search information and avoiding oscillation near the limits. To validate the performance of MSCSO, extensive experiments were conducted on the CEC2020 and CEC2022 benchmark suites under 10- and 20-dimensional scenarios, where MSCSO was compared with seven algorithms, including Particle Swarm Optimization (PSO) and Gray Wolf Optimizer (GWO). The results demonstrate that MSCSO consistently outperforms its competitors on unimodal, multimodal, and hybrid functions. Notably, MSCSO achieved the best Friedman ranking across all dimensions. Ablation studies further confirm that the three proposed strategies exhibit strong synergy, collectively accelerating convergence and enhancing stability. In addition, MSCSO was applied to multilevel threshold image segmentation, where Otsu’s criterion was adopted as the objective function and experiments were conducted on five benchmark images with 4–10 thresholds. The results show that MSCSO achieves superior segmentation quality, significantly outperforming the comparison algorithms. Overall, this study demonstrates that MSCSO effectively balances exploration and exploitation without increasing computational complexity, providing not only a powerful tool for global optimization but also a reliable technique for engineering tasks such as multilevel threshold image segmentation. These findings highlight its strong theoretical significance and promising application potential. Full article
Show Figures

Figure 1

41 pages, 28333 KB  
Article
ACPOA: An Adaptive Cooperative Pelican Optimization Algorithm for Global Optimization and Multilevel Thresholding Image Segmentation
by YuLong Zhang, Jianfeng Wang, Xiaoyan Zhang and Bin Wang
Biomimetics 2025, 10(9), 596; https://doi.org/10.3390/biomimetics10090596 - 6 Sep 2025
Cited by 6 | Viewed by 922
Abstract
Multi-threshold image segmentation plays an irreplaceable role in extracting discriminative structural information from complex images. It is one of the core technologies for achieving accurate target detection and regional analysis, and its segmentation accuracy directly affects the analysis quality and decision reliability in [...] Read more.
Multi-threshold image segmentation plays an irreplaceable role in extracting discriminative structural information from complex images. It is one of the core technologies for achieving accurate target detection and regional analysis, and its segmentation accuracy directly affects the analysis quality and decision reliability in key fields such as medical imaging, remote sensing interpretation, and industrial inspection. However, most existing image segmentation algorithms suffer from slow convergence speeds and low solution accuracy. Therefore, this paper proposes an Adaptive Cooperative Pelican Optimization Algorithm (ACPOA), an improved version of the Pelican Optimization Algorithm (POA), and applies it to global optimization and multilevel threshold image segmentation tasks. ACPOA integrates three innovative strategies: the elite pool mutation strategy guides the population toward high-quality regions by constructing an elite pool composed of the three individuals with the best fitness, effectively preventing the premature loss of population diversity; the adaptive cooperative mechanism enhances search efficiency in high-dimensional spaces by dynamically allocating subgroups and dimensions and performing specialized updates to achieve division of labor and global information sharing; and the hybrid boundary handling technique adopts a probabilistic hybrid approach to deal with boundary violations, balancing exploitation, exploration, and diversity while retaining more useful search information. Comparative experiments with eight advanced algorithms on the CEC2017 and CEC2022 benchmark test suites validate the superior optimization performance of ACPOA. Moreover, when applied to multilevel threshold image segmentation tasks, ACPOA demonstrates better accuracy, stability, and efficiency in solving practical problems, providing an effective solution for complex optimization challenges. Full article
Show Figures

Figure 1

37 pages, 5564 KB  
Article
Improved Weighted Chimp Optimization Algorithm Based on Fitness–Distance Balance for Multilevel Thresholding Image Segmentation
by Asuman Günay Yılmaz and Samoua Alsamoua
Symmetry 2025, 17(7), 1066; https://doi.org/10.3390/sym17071066 - 4 Jul 2025
Cited by 2 | Viewed by 773
Abstract
Multilevel thresholding image segmentation plays a crucial role in various image processing applications. However, achieving optimal segmentation results often poses challenges due to the intricate nature of images. In this study, a novel metaheuristic search algorithm named Weighted Chimp Optimization Algorithm with Fitness–Distance [...] Read more.
Multilevel thresholding image segmentation plays a crucial role in various image processing applications. However, achieving optimal segmentation results often poses challenges due to the intricate nature of images. In this study, a novel metaheuristic search algorithm named Weighted Chimp Optimization Algorithm with Fitness–Distance Balance (WChOA-FDB) is developed. The algorithm integrates the concept of Fitness–Distance Balance (FDB) to ensure balanced exploration and exploitation of the solution space, thus enhancing convergence speed and solution quality. Moreover, WChOA-FDB incorporates weighted Chimp Optimization Algorithm techniques to further improve its performance in handling multilevel thresholding challenges. Experimental studies were conducted to test and verify the developed method. The algorithm’s performance was evaluated using 10 benchmark functions (IEEE_CEC_2020) of different types and complexity levels. The search performance of the algorithm was analyzed using the Friedman and Wilcoxon statistical test methods. According to the analysis results, the WChOA-FDB variants consistently outperform the base algorithm across all tested dimensions, with Friedman score improvements ranging from 17.3% (Case-6) to 25.2% (Case-4), indicating that the FDB methodology provides significant optimization enhancement regardless of problem complexity. Additionally, experimental evaluations conducted on color image segmentation tasks demonstrate the effectiveness of the proposed algorithm in achieving accurate and efficient segmentation results. The WChOA-FDB method demonstrates significant improvements in Peak Signal-to-Noise Ratio (PSNR), Structural Similarity Index (SSIM), and Feature Similarity Index (FSIM) metrics with average enhancements of 0.121348 dB, 0.012688, and 0.003676, respectively, across different threshold levels (m = 2 to 12), objective functions, and termination criteria. Full article
(This article belongs to the Section Mathematics)
Show Figures

Figure 1

36 pages, 2046 KB  
Article
A Hybrid Multi-Strategy Optimization Metaheuristic Algorithm for Multi-Level Thresholding Color Image Segmentation
by Amir Seyyedabbasi
Appl. Sci. 2025, 15(13), 7255; https://doi.org/10.3390/app15137255 - 27 Jun 2025
Cited by 5 | Viewed by 1138
Abstract
Hybrid metaheuristic algorithms have been widely used to solve global optimization problems, making the concept of hybridization increasingly important. This study proposes a new hybrid multi-strategy metaheuristic algorithm named COSGO, which combines the strengths of grey wolf optimization (GWO) and Sand Cat Swarm [...] Read more.
Hybrid metaheuristic algorithms have been widely used to solve global optimization problems, making the concept of hybridization increasingly important. This study proposes a new hybrid multi-strategy metaheuristic algorithm named COSGO, which combines the strengths of grey wolf optimization (GWO) and Sand Cat Swarm Optimization (SCSO) to effectively address global optimization tasks. Additionally, a chaotic opposition-based learning strategy is incorporated to enhance the efficiency and global search capability of the algorithm. One of the main challenges in metaheuristic algorithms is premature convergence or getting trapped in local optima. To overcome this, the proposed strategy is designed to improve exploration and help the algorithm escape local minima. As a real-world application, multi-level thresholding for color image segmentation—a well-known problem in image processing—is studied. The COSGO algorithm is applied using two objective functions, Otsu’s method and Kapur’s entropy, to determine optimal multi-level thresholds. Experiments are conducted on 10 images from the widely used BSD500 dataset. The results show that the COSGO algorithm achieves competitive performance compared to other State-of-the-Art algorithms. To further evaluate its effectiveness, the CEC2017 benchmark functions are employed, and a Friedman ranking test is used to statistically analyze the results. Full article
(This article belongs to the Topic Color Image Processing: Models and Methods (CIP: MM))
Show Figures

Figure 1

26 pages, 3598 KB  
Article
Nature-Inspired Multi-Level Thresholding Integrated with CNN for Accurate COVID-19 and Lung Disease Classification in Chest X-Ray Images
by Wafa Gtifa, Ayoub Mhaouch, Nasser Alsharif, Turke Althobaiti and Anis Sakly
Diagnostics 2025, 15(12), 1500; https://doi.org/10.3390/diagnostics15121500 - 12 Jun 2025
Cited by 1 | Viewed by 1543
Abstract
Background/Objectives: Accurate classification of COVID-19 from chest X-rays is critical but remains limited by overlapping features with other lung diseases and the suboptimal performance of current methods. This study addresses the diagnostic gap by introducing a novel hybrid framework for precise segmentation [...] Read more.
Background/Objectives: Accurate classification of COVID-19 from chest X-rays is critical but remains limited by overlapping features with other lung diseases and the suboptimal performance of current methods. This study addresses the diagnostic gap by introducing a novel hybrid framework for precise segmentation and classification of lung conditions. Methods: The approach combines multi-level thresholding with the advanced metaheuristic optimization algorithms animal migration optimization (AMO), electromagnetism-like optimization (EMO), and the harmony search algorithm (HSA) to enhance image segmentation. A convolutional neural network (CNN) is then employed to classify segmented images into COVID-19, viral pneumonia, or normal categories. Results: The proposed method achieved high diagnostic performance, with 99% accuracy, 99% sensitivity, and 99.5% specificity, confirming its robustness and effectiveness in clinical image classification tasks. Conclusions: This study offers a novel and technically integrated solution for the automated diagnosis of COVID-19 and related lung conditions. The method’s high accuracy and computational efficiency demonstrate its potential for real-world deployment in medical diagnostics. Full article
(This article belongs to the Section Machine Learning and Artificial Intelligence in Diagnostics)
Show Figures

Figure 1

16 pages, 3139 KB  
Article
Adaptive Threshold Wavelet Denoising Method and Hardware Implementation for HD Real-Time Processing
by Xuhui Wang and Jizhong Zhao
Electronics 2025, 14(11), 2130; https://doi.org/10.3390/electronics14112130 - 23 May 2025
Cited by 1 | Viewed by 2088
Abstract
To meet the demands of real-time and high-definition (HD) image processing applications, denoising methods must be both computationally efficient and hardware friendly. Traditional image denoising techniques are typically simple, fast, and resource-efficient but often fall short in terms of denoising performance and adaptability. [...] Read more.
To meet the demands of real-time and high-definition (HD) image processing applications, denoising methods must be both computationally efficient and hardware friendly. Traditional image denoising techniques are typically simple, fast, and resource-efficient but often fall short in terms of denoising performance and adaptability. This paper proposes an adjustable-threshold denoising method along with a corresponding hardware implementation designed to support the real-time processing of large-array images commonly used in image signal processors (ISPs). The proposed technique employs a LeGall 5/3 wavelet with a row-transform structure and multilevel decomposition. A 2D Pyramid VisuShrink thresholding algorithm is introduced, where the threshold is derived from the median value of the HH sub-band using a multi-stage segmentation approach. To further optimize performance, a quantization strategy with fixed-point parameter design is applied to minimize storage requirements and computational errors. A specialized hardware architecture is developed to enable the real-time denoising of 4K images while adhering to constraints on speed and resource utilization. The architecture incorporates a finite state machine (FSM) and a reusable median calculation unit to efficiently share threshold-related storage and computational resources. The system is implemented and verified on an FPGA, achieving real-time performance at a maximum frequency of 230 MHz. It supports flexible input data formats with resolutions up to 4096×4096 pixels and 16-bit depth. Comprehensive comparisons with other real-time denoising methods demonstrate that the proposed approach consistently achieves better PSNR and SSIM across various noise levels and image sizes. In addition to delivering improved denoising accuracy, the hardware implementation offers advantages in processing speed and resource efficiency while supporting a wide range of large-array images. Full article
Show Figures

Figure 1

27 pages, 9015 KB  
Article
Multi-Level Thresholding Based on Composite Local Contour Shannon Entropy Under Multiscale Multiplication Transform
by Xianzhao Li and Yaobin Zou
Entropy 2025, 27(5), 544; https://doi.org/10.3390/e27050544 - 21 May 2025
Cited by 1 | Viewed by 913
Abstract
Image segmentation is a crucial step in image processing and analysis, with multi-level thresholding being one of the important techniques for image segmentation. Existing approaches predominantly rely on metaheuristic optimization algorithms, which frequently encounter local optima stagnation and require extensive parameter tuning, thereby [...] Read more.
Image segmentation is a crucial step in image processing and analysis, with multi-level thresholding being one of the important techniques for image segmentation. Existing approaches predominantly rely on metaheuristic optimization algorithms, which frequently encounter local optima stagnation and require extensive parameter tuning, thereby degrading segmentation accuracy and computational efficiency. This paper proposes a Shannon entropy-based multi-level thresholding method that utilizes composite contours. The method selects appropriate multiscale multiplication images by maximizing the Shannon entropy difference and constructs a new Shannon entropy objective function by dynamically combining contour images. Ultimately, it automatically determines multiple thresholds by integrating local contour Shannon entropy. Experimental results on synthetic images and real-world images with complex backgrounds, low contrast, blurred boundaries, and unbalanced sizes demonstrate that the proposed method outperforms six recently proposed multi-level thresholding methods based on the Matthew’s correlation coefficient, indicating stronger adaptability and robustness for segmentation without requiring complex parameter tuning. Full article
(This article belongs to the Section Multidisciplinary Applications)
Show Figures

Figure 1

29 pages, 18881 KB  
Article
A Novel Entropy-Based Approach for Thermal Image Segmentation Using Multilevel Thresholding
by Thaweesak Trongtirakul, Karen Panetta, Artyom M. Grigoryan and Sos S. Agaian
Entropy 2025, 27(5), 526; https://doi.org/10.3390/e27050526 - 14 May 2025
Cited by 2 | Viewed by 1905
Abstract
Image segmentation is a fundamental challenge in computer vision, transforming complex image representations into meaningful, analyzable components. While entropy-based multilevel thresholding techniques, including Otsu, Shannon, fuzzy, Tsallis, Renyi, and Kapur approaches, have shown potential in image segmentation, they encounter significant limitations when processing [...] Read more.
Image segmentation is a fundamental challenge in computer vision, transforming complex image representations into meaningful, analyzable components. While entropy-based multilevel thresholding techniques, including Otsu, Shannon, fuzzy, Tsallis, Renyi, and Kapur approaches, have shown potential in image segmentation, they encounter significant limitations when processing thermal images, such as poor spatial resolution, low contrast, lack of color and texture information, and susceptibility to noise and background clutter. This paper introduces a novel adaptive unsupervised entropy algorithm (A-Entropy) to enhance multilevel thresholding for thermal image segmentation. Our key contributions include (i) an image-dependent thermal enhancement technique specifically designed for thermal images to improve visibility and contrast in regions of interest, (ii) a so-called A-Entropy concept for unsupervised thermal image thresholding, and (iii) a comprehensive evaluation using the Benchmarking IR Dataset for Surveillance with Aerial Intelligence (BIRDSAI). Experimental results demonstrate the superiority of our proposal compared to other state-of-the-art methods on the BIRDSAI dataset, which comprises both real and synthetic thermal images with substantial variations in scale, contrast, background clutter, and noise. Comparative analysis indicates improved segmentation accuracy and robustness compared to traditional entropy-based methods. The framework’s versatility suggests promising applications in brain tumor detection, optical character recognition, thermal energy leakage detection, and face recognition. Full article
Show Figures

Figure 1

24 pages, 28014 KB  
Article
A Shadow Detection Method Combining Topography and Spectra for Remote Sensing Images in Mountainous Environments
by Huagui Xu, Jingxing Zhu, Feng Wang, Hongjian You and Wenzhi Wang
Appl. Sci. 2025, 15(9), 4899; https://doi.org/10.3390/app15094899 - 28 Apr 2025
Viewed by 1371
Abstract
Shadow in remote sensing images can obscure important details of land features, making shadow detection crucial for enhancing the accuracy of subsequent analyses and applications. Current shadow detection methods primarily rely on the spectral information of images, which can often result in shadow [...] Read more.
Shadow in remote sensing images can obscure important details of land features, making shadow detection crucial for enhancing the accuracy of subsequent analyses and applications. Current shadow detection methods primarily rely on the spectral information of images, which can often result in shadow misdetection due to the phenomenon of spectral confusion of different objects. To mitigate this issue, we propose a method that combines topography and spectra (CTS). Firstly, we introduce a new DEM-based shadow coarse detection method to obtain the DEM rough shadow mask, which uses a relationship between the magnitude of terrain height angle and solar elevation angle to determine shadow properties. Then, we use the MC3 (modified C3 component) index-based shadow fine detection method to obtain an MC3 mean map, which includes image enhancement with a stretching process and multi-scale superpixel segmentation. We then derive the Shadow pixel Proportion Map (SPM) by counting the DEM rough shadow mask in terms of superpixels. The Joint Shadow probability Map (JSM) is obtained by combining the SPM and the MC3 mean map with specific weights. Finally, a multi-level Otsu threshold method is applied to the JSM to generate the shadow mask. We compare the proposed CTS method against several state-of-the-art algorithms through both qualitative assessments and quantitative metrics. The results show that the CTS method demonstrates superior accuracy and consistency in detecting true shadows, achieving an average overall accuracy of 95.81% on mountainous remote sensing images. Full article
(This article belongs to the Section Aerospace Science and Engineering)
Show Figures

Figure 1

24 pages, 24154 KB  
Article
Multistage Threshold Segmentation Method Based on Improved Electric Eel Foraging Optimization
by Yunlong Hu, Liangkuan Zhu and Hongyang Zhao
Mathematics 2025, 13(7), 1212; https://doi.org/10.3390/math13071212 - 7 Apr 2025
Viewed by 715
Abstract
Multi-threshold segmentation of color images is a critical component of modern image processing. However, as the number of thresholds increases, traditional multi-threshold image segmentation methods face challenges such as low accuracy and slow convergence speed. To optimize threshold selection in color image segmentation, [...] Read more.
Multi-threshold segmentation of color images is a critical component of modern image processing. However, as the number of thresholds increases, traditional multi-threshold image segmentation methods face challenges such as low accuracy and slow convergence speed. To optimize threshold selection in color image segmentation, this paper proposes a multi-strategy improved Electric Eel Foraging Optimization (MIEEFO). The proposed algorithm integrates Differential Evolution and Quasi-Opposition-Based Learning strategies into the Electric Eel Foraging Optimization, enhancing its search capability, accelerating convergence, and preventing the population from falling into local optima. To further boost the algorithm’s search performance, a Cauchy mutation strategy is applied to mutate the best individual, improving convergence speed. To evaluate the segmentation performance of the proposed MIEEFO, 15 benchmark functions are used, and comparisons are made with seven other algorithms. Experimental results show that the MIEEFO algorithm outperforms other algorithms in at least 75% of cases and exhibits similar performance in up to 25% of cases. To further explore its application potential, a multi-level Kapur entropy-based MIEEFO threshold segmentation method is proposed and applied to different types of benchmark images and forest fire images. Experimental results indicate that the improved MIEEFO achieves higher segmentation quality and more accurate thresholds, providing a more effective method for color image segmentation. Full article
Show Figures

Figure 1

28 pages, 9935 KB  
Article
Optimum Multilevel Thresholding for Medical Brain Images Based on Tsallis Entropy, Incorporating Bayesian Estimation and the Cauchy Distribution
by Xianwen Wang, Yingyuan Yang, Minhang Nan, Guanjun Bao and Guoyuan Liang
Appl. Sci. 2025, 15(5), 2355; https://doi.org/10.3390/app15052355 - 22 Feb 2025
Viewed by 1661
Abstract
Entropy-based thresholding is a widely used technique for medical image segmentation. Its principle is to determine the optimal threshold by maximizing or minimizing the image’s entropy, dividing the image into different regions or categories. The intensity distributions of objects and backgrounds often overlap [...] Read more.
Entropy-based thresholding is a widely used technique for medical image segmentation. Its principle is to determine the optimal threshold by maximizing or minimizing the image’s entropy, dividing the image into different regions or categories. The intensity distributions of objects and backgrounds often overlap and contain many outliers, making segmentation extremely difficult. In this paper, we introduce a novel thresholding method that incorporates the Cauchy distribution into the Tsallis entropy framework based on Bayesian estimation. By introducing Bayesian prior probability estimation to address the overlap in intensity distributions between the two classes, we enhance the estimation of the probability that a pixel belongs to either class. Additionally, we utilize the Cauchy distribution, known for its heavy-tailed characteristics, to fit grayscale pixel distributions with outliers, enhancing tolerance to extreme values. The optimal threshold is derived through the optimization of an information measure formulated using updated Tsallis entropy. Experimental results demonstrate that the proposed method, called Cauchy-TB, achieves significant superiority to existing approaches on two public medical brain image datasets. Full article
(This article belongs to the Special Issue Digital Image Processing: Technologies and Applications)
Show Figures

Figure 1

Back to TopTop