MSCSO: A Modified Sand Cat Swarm Optimization for Global Optimization and Multilevel Thresholding Image Segmentation
Abstract
1. Introduction
- Algorithmic Innovation: To overcome the limitations of the original Sand Cat Swarm Optimization (SCSO)—namely static strategy selection, insufficient population diversity, and coarse boundary handling—this study proposes a Multi-Strategy Sand Cat Swarm Optimization (MSCSO) algorithm by integrating three core strategies. Specifically, an adaptive strategy selection mechanism is introduced to dynamically balance exploration and exploitation; a differential-evolution-inspired crossover–mutation strategy is designed to maintain population diversity; and a global-best-guided boundary control mechanism is constructed to preserve useful search information. These enhancements significantly improve the exploration ability, convergence efficiency, and stability of the algorithm when solving high-dimensional and complex optimization problems.
- Comprehensive Performance Evaluation: Extensive experiments were conducted on the CEC2020 and CEC2022 international benchmark suites under 10- and 20-dimensional scenarios, covering unimodal, multimodal, and hybrid functions. MSCSO was compared with seven state-of-the-art algorithms using indicators such as mean fitness, standard deviation, convergence curves, and Friedman ranking. The results consistently verify the superior performance of MSCSO across different types of functions. Furthermore, ablation analyses were employed to evaluate the independent roles and the cooperative influence of the three strategies introduced in this work.
- Engineering Application: MSCSO was applied to a practical engineering scenario involving multilevel threshold segmentation, using Otsu’s inter-class variance as the optimization criterion. Five standard images (baboon, camera, girl, lena, terrace) were tested with threshold levels ranging from 4 to 10. The resulting segmentation performance was quantified using PSNR, SSIM, FSIM, and objective function values. Results demonstrate that MSCSO achieves high-quality segmentation efficiently, highlighting both its effectiveness in complex image processing applications and its potential for solving practical engineering optimization challenges.
2. Sand Cat Swarm Optimization (SCSO)
2.1. Initialize Population
2.2. Search for Prey (Exploration Phase)
2.3. Attacking Prey (Exploitation Phase)
| Algorithm 1: The pseudo-code of the SCSO |
|
1: Begin 2: Initialize: Set the initial values for the parameters r, rg, R. 3: Calculate the fitness of the objective function. 4: While t < Tmax do 5: For each search agent do 6: Get a new angle value φ obtained by Roulette Wheel Select (−1 ≤ φ ≤ 1). 7: If abs(R ≤ 1) 8: Update the search agent’s position as specified by Equation (7). 9: Else 10: Update the search agent’s position as specified by Equation (5). 11: End if 12: End for 13: t = t + 1 14: End while 15: return best solution 16: end |
3. Proposed MSCSO
3.1. Adaptive Strategy Selection Mechanism
3.2. Adaptive Crossover and Mutation Strategy
3.3. Global Optimum-Guided Boundary Control Mechanism
| Algorithm 2: The pseudo-code of the MSCSO |
|
1: Begin 2: Initialize: the relevant parameters r, rg, R, P1, P2. 3: Calculate the fitness of the objective function. 4: While t < Tmax do 5: For each search agent do 6: Get a new angle value φ obtained by Roulette Wheel Select (−1 ≤ φ ≤ 1). 7: If (rand ≤ P1 ) 8: Update the search agent by Equation (7). 9: Else 10: Update the search agent by Equation (5). 11: End if 12: Update success/failure counts (ns1, ns2 and nf1, nf2). 13: Adaptive Crossover and Mutation Strategy by Equation (11). 14: Repair out-of-bounds individuals using Equation (12). 15: Record successful CR values. 16: End for 17: Every 50 iterations: 18: Update strategy selection probabilities (P1, P2) using Equation (9). 19: Reset success/failure counts. 20: Every 25 iterations: 21: Update CRm based on successful CR values. 22: t = t + 1 23: End while 24: return best solution 25: end |
3.4. Analysis of Computational Complexity
4. Experimental Results and Detailed Analyses
4.1. Competitor Algorithms and Parameters Setting
4.2. Qualitative Analysis of MSCSO
4.2.1. Analysis of the Population Diversity
4.2.2. Analysis of the Balance Between Exploration and Exploitation
4.2.3. Effects Analysis of the Modifications
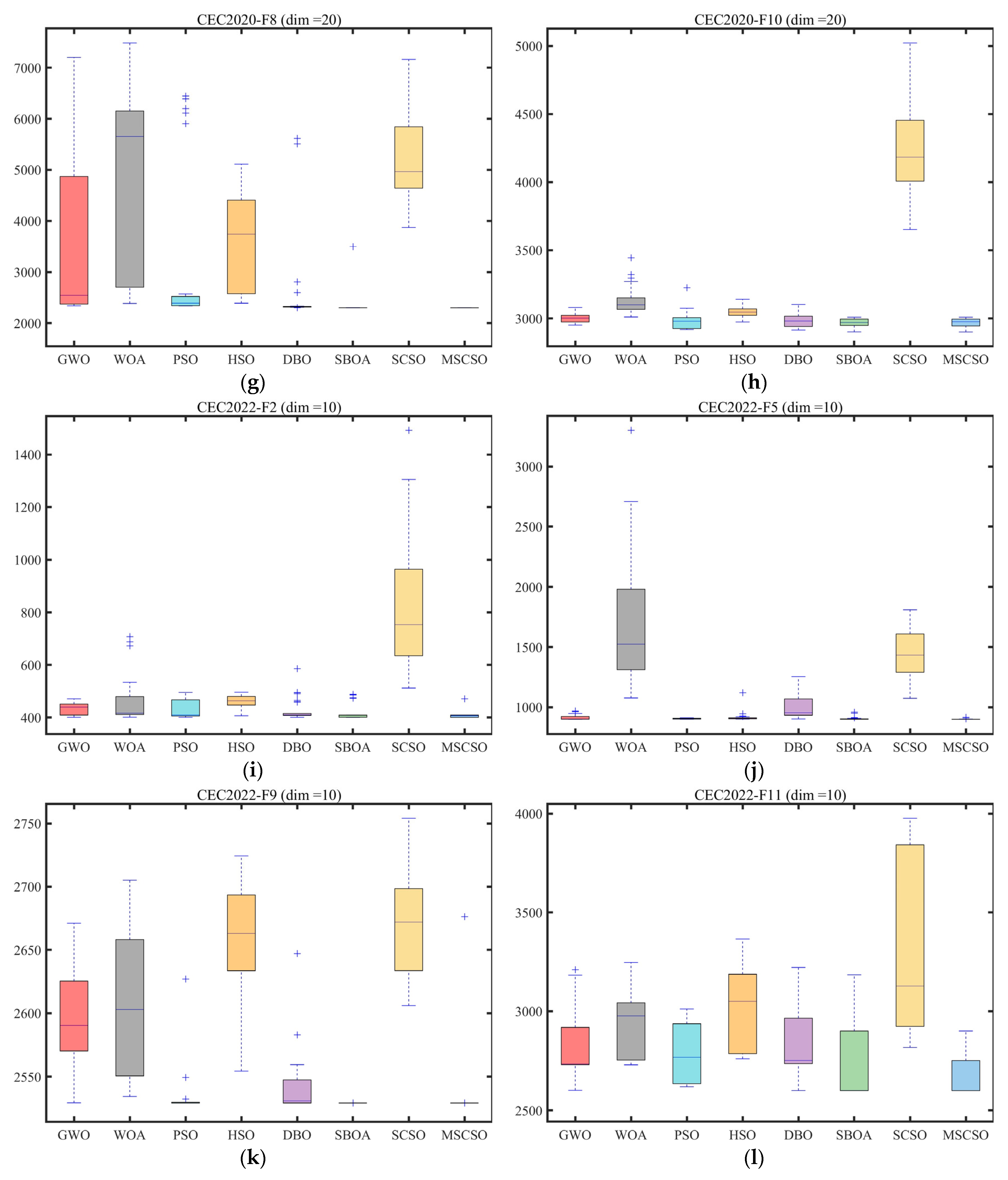
4.3. Compare Using CEC 2020 and CEC 2022 Test Functions
4.4. Statistical Analysis
4.4.1. Wilcoxon Rank-Sum Test Analysis
4.4.2. Evaluation Using the Friedman Mean Rank Test
4.5. Evaluation of Runtime Performance for MSCSO Versus SCSO
5. MSCSO for Multilevel Thresholding Image Segmentation
5.1. Evaluation Index
5.2. Evaluation of Otsu Thresholding Outcomes Using the MSCSO Algorithm
6. Conclusions
Author Contributions
Funding
Data Availability Statement
Conflicts of Interest
References
- Chen, L.; Bentley, P.; Mori, K.; Misawa, K.; Fujiwara, M.; Rueckert, D. DRINet for Medical Image Segmentation. IEEE Trans. Med. Imaging 2018, 37, 2453–2462. [Google Scholar] [CrossRef]
- LaLonde, R.; Xu, Z.; Irmakci, I.; Jain, S.; Bagci, U. Capsules for biomedical image segmentation. Med. Image Anal. 2020, 68, 101889. [Google Scholar] [CrossRef]
- Shi, Q.; Li, Y.; Di, H.; Wu, E. Self-Supervised Interactive Image Segmentation. IEEE Trans. Circuits Syst. Video Technol. 2023, 34, 6797–6808. [Google Scholar] [CrossRef]
- Chen, Y.; Wang, M.; Heidari, A.A.; Shi, B.; Hu, Z.; Zhang, Q.; Chen, H.; Mafarja, M.; Turabieh, H. Multi-threshold Image Segmentation using a Multi-strategy Shuffled Frog Leaping Algorithm. Expert Syst. Appl. 2022, 194, 116511. [Google Scholar] [CrossRef]
- Wang, J.; Bei, J.; Song, H.; Zhang, H.; Zhang, P. A whale optimization algorithm with combined mutation and removing similarity for global optimization and multilevel thresholding image segmentation. Appl. Soft Comput. 2023, 137, 110130. [Google Scholar] [CrossRef]
- Shi, J.; Chen, Y.; Wang, C.; Heidari, A.A.; Liu, L.; Chen, H.; Chen, X.; Sun, L. Multi-threshold image segmentation using new strategies enhanced whale optimization for lupus nephritis pathological images. Displays 2024, 84, 102799. [Google Scholar] [CrossRef]
- Fan, Q.; Ma, Y.; Wang, P.; Bai, F. Otsu Image Segmentation Based on a Fractional Order Moth–Flame Optimization Algorithm. Fractal Fract. 2024, 8, 87. [Google Scholar] [CrossRef]
- Guo, H.; Wang, J.G.; Liu, Y. Multi-threshold image segmentation algorithm based on Aquila optimization. Vis. Comput. 2023, 40, 2905–2932. [Google Scholar] [CrossRef]
- Zheng, J.; Gao, Y.; Zhang, H.; Lei, Y.; Zhang, J. OTSU Multi-Threshold Image Segmentation Based on Improved Particle Swarm Algorithm. Appl. Sci. 2022, 12, 11514. [Google Scholar] [CrossRef]
- Kennedy, J.; Eberhart, R. Particle swarm optimization. In Proceedings of the ICNN’95—International Conference on Neural Networks, Perth, WA, Australia, 27 November–1 December 1995; Volume 4, pp. 1942–1948. [Google Scholar]
- Mirjalili, S.; Mirjalili, S.M.; Lewis, A. Grey Wolf Optimizer. Adv. Eng. Softw. 2014, 69, 46–61. [Google Scholar] [CrossRef]
- Meidani, K.; Hemmasian, A.; Mirjalili, S.; Barati Farimani, A. Adaptive grey wolf optimizer. Neural Comput. Appl. 2022, 34, 7711–7731. [Google Scholar] [CrossRef]
- Rodríguez, A.; Camarena, O.; Cuevas, E.; Aranguren, I.; Valdivia-G, A.; Morales-Castañeda, B.; Zaldívar, D.; Pérez-Cisneros, M. Group-based synchronous-asynchronous Grey Wolf Optimizer. Appl. Math. Model. 2020, 93, 226–243. [Google Scholar] [CrossRef]
- Mirjalili, S.; Lewis, A. The Whale Optimization Algorithm. Adv. Eng. Softw. 2016, 95, 51–67. [Google Scholar] [CrossRef]
- Nadimi-Shahraki, M.H.; Zamani, H.; Mirjalili, S. Enhanced whale optimization algorithm for medical feature selection: A COVID-19 case study. Comput. Biol. Med. 2022, 148, 105858. [Google Scholar] [CrossRef]
- Sun, Y.; Chen, Y. Multi-population improved whale optimization algorithm for high dimensional optimization. Appl. Soft Comput. 2021, 112, 107854. [Google Scholar] [CrossRef]
- Ding, Y.; Chen, Z.; Zhang, H.; Wang, X.; Guo, Y.J.R.E. A short-term wind power prediction model based on CEEMD and WOA-KELM. Renew. Energy 2022, 189, 188–198. [Google Scholar] [CrossRef]
- Fu, S.; Li, K.; Huang, H.; Ma, C.; Fan, Q.; Zhu, Y. Red-billed blue magpie optimizer: A novel metaheuristic algorithm for 2D/3D UAV path planning and engineering design problems. Artif. Intell. Rev. 2024, 57, 134. [Google Scholar] [CrossRef]
- Lu, Z.; Yu, X.; Xu, F.; Jing, L.; Cheng, X. Multi-objective optimal scheduling of islanded microgrid based on ISSA. J. Renew. Sustain. Energy 2025, 17, 025301. [Google Scholar] [CrossRef]
- Kouhpah Esfahani, K.; Mohammad Hasani Zade, B.; Mansouri, N. Multi-objective feature selection algorithm using Beluga Whale Optimization. Chemom. Intell. Lab. Syst. 2024, 257, 105295. [Google Scholar] [CrossRef]
- Abdel-Basset, M.; Mohamed, R.; Abouhawwash, M. Crested Porcupine Optimizer: A new nature-inspired metaheuristic. Knowl. Based Syst. 2024, 284, 111257. [Google Scholar] [CrossRef]
- Dorigo, M.; Birattari, M.; Stützle, T. Ant Colony Optimization. Comput. Intell. Mag. IEEE 2006, 1, 28–39. [Google Scholar] [CrossRef]
- Yang, X.-S.; He, X. Bat algorithm: Literature review and applications. Int. J. Bio-Inspired Comput. 2013, 5, 141–149. [Google Scholar] [CrossRef]
- Abdel-Basset, M.; Mohamed, R.; Jameel, M.; Abouhawwash, M.J.K.-B.S. Nutcracker optimizer: A novel nature-inspired metaheuristic algorithm for global optimization and engineering design problems. Knowl. Based Syst. 2023, 262, 110248. [Google Scholar] [CrossRef]
- Wang, R.-B.; Hu, R.-B.; Geng, F.-D.; Xu, L.; Chu, S.-C.; Pan, J.-S.; Meng, Z.-Y.; Mirjalili, S. The Animated Oat Optimization Algorithm: A nature-inspired metaheuristic for engineering optimization and a case study on Wireless Sensor Networks. Knowl. Based Syst. 2025, 318, 113589. [Google Scholar] [CrossRef]
- Hashim, F.A.; Hussien, A.G. Snake Optimizer: A novel meta-heuristic optimization algorithm. Knowl. Based Syst. 2022, 242, 108320. [Google Scholar] [CrossRef]
- Yu, D.; Ji, Y.; Xia, Y. Projection-Iterative-Methods-based Optimizer: A novel metaheuristic algorithm for continuous optimization problems and feature selection. Knowl. Based Syst. 2025, 326, 113978. [Google Scholar] [CrossRef]
- Xue, J.; Shen, B. Dung beetle optimizer: A new meta-heuristic algorithm for global optimization. J. Supercomput. 2022, 79, 7305–7336. [Google Scholar] [CrossRef]
- Faramarzi, A.; Heidarinejad, M.; Mirjalili, S.; Gandomi, A.H. Marine Predators Algorithm: A nature-inspired metaheuristic. Expert Syst. Appl. 2020, 152, 113377. [Google Scholar] [CrossRef]
- Yapici, H.; Cetinkaya, N. A new meta-heuristic optimizer: Pathfinder algorithm. Appl. Soft Comput. 2019, 78, 545–568. [Google Scholar] [CrossRef]
- Heidari, A.A.; Mirjalili, S.; Faris, H.; Aljarah, I.; Mafarja, M.; Chen, H. Harris hawks optimization: Algorithm and applications. Future Gener. Comput. Syst. 2019, 97, 849–872. [Google Scholar] [CrossRef]
- Xue, J.; Shen, B. A novel swarm intelligence optimization approach: Sparrow search algorithm. Syst. Sci. Control Eng. 2020, 8, 22–34. [Google Scholar] [CrossRef]
- Saremi, S.; Mirjalili, S.; Lewis, A. Grasshopper Optimisation Algorithm: Theory and application. Adv. Eng. Softw. 2017, 105, 30–47. [Google Scholar] [CrossRef]
- Jia, H.; Peng, X.; Lang, C. Remora optimization algorithm. Expert Syst. Appl. 2021, 185, 115665. [Google Scholar] [CrossRef]
- Hayyolalam, V.; Kazem, A.A.P. Black widow optimization algorithm: A novel meta-heuristic approach for solving engineering optimization problems. Eng. Appl. Artif. Intell. 2020, 87, 103249. [Google Scholar] [CrossRef]
- Mohammadi-Balani, A.; Nayeri, M.D.; Azar, A.; Taghizadeh-Yazdi, M. Golden eagle optimizer: A nature-inspired metaheuristic algorithm. Comput. Ind. Eng. 2021, 152, 107050. [Google Scholar] [CrossRef]
- Zamani, H.; Nadimi-Shahraki, M.H.; Gandomi, A.H. Starling murmuration optimizer: A novel bio-inspired algorithm for global and engineering optimization. Comput. Methods Appl. Mech. Eng. 2022, 392, 114616. [Google Scholar] [CrossRef]
- Jia, H.; Rao, H.; Wen, C.; Mirjalili, S. Crayfish optimization algorithm. Artif. Intell. Rev. 2023, 56, 1919–1979. [Google Scholar] [CrossRef]
- Pierezan, J.; Coelho, L.D.S. Coyote Optimization Algorithm: A new metaheuristic for global optimization problems. In Proceedings of the 2018 IEEE Congress on Evolutionary Computation (CEC), Rio de Janeiro, Brazil, 8–13 July 2018; pp. 2633–2640. [Google Scholar]
- Khishe, M.; Mosavi, M.R. Chimp optimization algorithm. Expert Syst. Appl. 2020, 149, 113338. [Google Scholar] [CrossRef]
- Wang, L.; Cao, Q.; Zhang, Z.; Mirjalili, S.; Zhao, W. Artificial rabbits optimization: A new bio-inspired meta-heuristic algorithm for solving engineering optimization problems. Eng. Appl. Artif. Intell. 2022, 114, 105082. [Google Scholar] [CrossRef]
- Guan, Z.; Ren, C.; Niu, J.; Wang, P.; Shang, Y. Great Wall Construction Algorithm: A novel meta-heuristic algorithm for engineer problems. Expert Syst. Appl. 2023, 233, 120905. [Google Scholar] [CrossRef]
- Wang, T.-L.; Gu, S.-W.; Liu, R.-J.; Chen, L.-Q.; Wang, Z.; Zeng, Z.-Q. Cuckoo catfish optimizer: A new meta-heuristic optimization algorithm. Artif. Intell. Rev. 2025, 58, 326. [Google Scholar] [CrossRef]
- Ghasemi, M.; Khodadadi, N.; Trojovský, P.; Li, L.; Mansor, Z.; Abualigah, L.; Alharbi, A.H.; El-Kenawy, E.-S.M. Kirchhoff’s law algorithm (KLA): A novel physics-inspired non-parametric metaheuristic algorithm for optimization problems. Artif. Intell. Rev. 2025, 58, 325. [Google Scholar] [CrossRef]
- Wang, J.; Chen, Y.; Lu, C.; Heidari, A.A.; Wu, Z.; Chen, H. The status-based optimization: Algorithm and comprehensive performance analysis. Neurocomputing 2025, 647, 130603. [Google Scholar] [CrossRef]
- Manisha, N.; Kumar, P. An improved osprey optimization algorithm to analyse the steady state performance of stainless steel utensil manufacturing unit. Life Cycle Reliab. Saf. Eng. 2025, 1–18. [Google Scholar] [CrossRef]
- Fu, S.; Ma, C.; Li, K.; Xie, C.; Fan, Q.; Huang, H.; Xie, J.; Zhang, G.; Yu, M. Modified LSHADE-SPACMA with new mutation strategy and external archive mechanism for numerical optimization and point cloud registration. Artif. Intell. Rev. 2025, 58, 72. [Google Scholar] [CrossRef]
- Punia, P.; Raj, A.; Kumar, P. Enhanced zebra optimization algorithm for reliability redundancy allocation and engineering optimization problems. Clust. Comput. 2025, 28, 267. [Google Scholar] [CrossRef]
- Yu, M.; Xu, J.; Liang, W.; Qiu, Y.; Bao, S.; Tang, L. Improved multi-strategy adaptive Grey Wolf Optimization for practical engineering applications and high-dimensional problem solving. Artif. Intell. Rev. 2024, 57, 277. [Google Scholar] [CrossRef]
- Seyyedabbasi, A.; Kiani, F. Sand Cat swarm optimization: A nature-inspired algorithm to solve global optimization problems. Eng. Comput. 2022, 39, 2627–2651. [Google Scholar] [CrossRef]
- Anka, F.; Aghayev, N. Advances in Sand Cat Swarm Optimization: A Comprehensive Study. Arch. Comput. Methods Eng. 2025, 32, 2669–2712. [Google Scholar] [CrossRef]
- Jia, H.; Zhang, J.; Rao, H.; Abualigah, L. Improved sandcat swarm optimization algorithm for solving global optimum problems. Artif. Intell. Rev. 2024, 58, 5. [Google Scholar] [CrossRef]
- Mohammed, B.O.; Aghdasi, H.S.; Salehpour, P. Dhole optimization algorithm: A new metaheuristic algorithm for solving optimization problems. Clust. Comput. 2025, 28, 430. [Google Scholar] [CrossRef]
- Ryalat, M.H.; Dorgham, O.; Tedmori, S.; Al-Rahamneh, Z.; Al-Najdawi, N.; Mirjalili, S. Harris hawks optimization for COVID-19 diagnosis based on multi-threshold image segmentation. Neural Comput. Appl. 2022, 35, 6855–6873. [Google Scholar] [CrossRef] [PubMed]
- Mohamed, A.W.; Hadi, A.A.; Mohamed, A.K.; Awad, N.H. Evaluating the performance of adaptive gainingsharing knowledge based algorithm on CEC 2020 benchmark problems. In Proceedings of the 2020 IEEE Congress on Evolutionary Computation (CEC), Glasgow, UK, 19–24 July 2020; pp. 1–8. [Google Scholar]
- Luo, W.; Lin, X.; Li, C.; Yang, S.; Shi, Y. Benchmark functions for CEC 2022 competition on seeking multiple optima in dynamic environments. arXiv 2022, arXiv:2201.00523. [Google Scholar] [CrossRef]
- Akbari, E.; Rahimnejad, A.; Gadsden, S.A. Holistic swarm optimization: A novel metaphor-less algorithm guided by whole population information for addressing exploration-exploitation dilemma. Comput. Methods Appl. Mech. Eng. 2025, 445, 118208. [Google Scholar] [CrossRef]
- Fu, Y.; Liu, D.; Chen, J.; He, L. Secretary bird optimization algorithm: A new metaheuristic for solving global optimization problems. Artif. Intell. Rev. 2024, 57, 123. [Google Scholar] [CrossRef]
- Ou, Y.; Qin, F.; Zhou, K.-Q.; Yin, P.-F.; Mo, L.-P.; Mohd Zain, A.J.S. An improved grey wolf optimizer with multi-strategies coverage in wireless sensor networks. Symmetry 2024, 16, 286. [Google Scholar] [CrossRef]
- Wang, W.-C.; Tian, W.-C.; Xu, D.-M.; Zang, H.-F. Arctic puffin optimization: A bio-inspired metaheuristic algorithm for solving engineering design optimization. Adv. Eng. Softw. 2024, 195, 103694. [Google Scholar] [CrossRef]
- Cao, L.; Wei, Q.J.B. SZOA: An Improved Synergistic Zebra Optimization Algorithm for Microgrid Scheduling and Management. Biomimetics 2025, 10, 664. [Google Scholar] [CrossRef]
- Suresh, S.; Lal, S. Multilevel thresholding based on Chaotic Darwinian Particle Swarm Optimization for segmentation of satellite images. Appl. Soft Comput. 2017, 55, 503–522. [Google Scholar] [CrossRef]
- Zhang, Y.; Wang, J.; Zhang, X.; Wang, B. ACPOA: An Adaptive Cooperative Pelican Optimization Algorithm for Global Optimization and Multilevel Thresholding Image Segmentation. Biomimetics 2025, 10, 596. [Google Scholar] [CrossRef]
- Jiang, Y.; Yeh, W.-C.; Hao, Z.; Yang, Z. A cooperative honey bee mating algorithm and its application in multi-threshold image segmentation. Inf. Sci. 2016, 369, 171–183. [Google Scholar] [CrossRef]



















| Algorithms | Parameter Name | Parameter Value | Reference |
|---|---|---|---|
| GWO | [0, 2] | [11] | |
| WOA | [0, 1], [−1, 1], [0, 2], 1 | [14] | |
| PSO | 1.49445, 1.49445, 0.9 | [10] | |
| HSO | 3 | [57] | |
| DBO | 0.2 | [28] | |
| SBOA | 1.5 | [58] | |
| SCSO | [0, 2], [−4, 4] | [50] | |
| MSCSO | [0, 2], 0.5, 0.5, [0, 0.5] |
| ID | Metric | GWO | WOA | PSO | DBO | HSO | SBOA | SCSO | MSCSO |
|---|---|---|---|---|---|---|---|---|---|
| F1 | mean | 4.3880 × 107 | 6.2236 × 107 | 4.8085 × 106 | 2.4440 × 103 | 6.4775 × 105 | 3.6841 × 103 | 4.4957 × 109 | 1.0000 × 102 |
| std | 1.1500 × 108 | 8.5355 × 107 | 3.2053 × 106 | 2.0435 × 103 | 3.0620 × 106 | 3.5670 × 103 | 2.8857 × 109 | 3.3027 × 10−12 | |
| F3 | mean | 1.6907 × 103 | 2.3415 × 103 | 1.7279 × 103 | 1.7587 × 103 | 2.0691 × 103 | 1.4466 × 103 | 2.7379 × 103 | 1.3736 × 103 |
| std | 3.7305 × 102 | 3.5651 × 102 | 2.9444 × 102 | 3.4602 × 102 | 2.8915 × 102 | 2.0750 × 102 | 2.3733 × 102 | 1.3268 × 102 | |
| F4 | mean | 7.3676 × 102 | 7.8866 × 102 | 7.4520 × 102 | 7.5027 × 102 | 7.4329 × 102 | 7.2655 × 102 | 8.1447 × 102 | 7.1987 × 102 |
| std | 1.1266 × 101 | 2.2219 × 101 | 8.5220 × 100 | 1.5254 × 101 | 1.7445 × 101 | 9.4822 × 100 | 1.5378 × 101 | 3.7483 × 100 | |
| F5 | mean | 1.9029 × 103 | 1.9095 × 103 | 1.9055 × 103 | 1.9102 × 103 | 1.9050 × 103 | 1.9013 × 103 | 1.4276 × 105 | 1.9012 × 103 |
| std | 9.1366 × 10−1 | 7.1904 × 100 | 6.6783 × 100 | 6.7168 × 100 | 3.3746 × 100 | 4.7006 × 10−1 | 9.1726 × 104 | 5.0393 × 10−1 | |
| F6 | mean | 1.0587 × 105 | 3.1089 × 105 | 9.0703 × 103 | 5.5242 × 103 | 1.4101 × 104 | 4.3710 × 103 | 5.4185 × 105 | 1.9651 × 103 |
| std | 2.0447 × 105 | 6.5574 × 105 | 4.6269 × 103 | 2.8112 × 103 | 1.5395 × 104 | 2.6103 × 103 | 1.3510 × 105 | 2.7315 × 102 | |
| F7 | mean | 1.6109 × 103 | 1.6182 × 103 | 1.6112 × 103 | 1.6123 × 103 | 1.6020 × 103 | 1.6014 × 103 | 1.6153 × 103 | 1.6064 × 103 |
| std | 1.5371 × 101 | 1.9973 × 101 | 1.2382 × 101 | 1.4828 × 101 | 3.3114 × 100 | 3.0275 × 100 | 1.2841 × 101 | 8.0832 × 100 | |
| F8 | mean | 8.0184 × 103 | 4.8229 × 105 | 4.9202 × 103 | 7.0593 × 103 | 9.6886 × 103 | 2.9799 × 103 | 9.8862 × 104 | 2.2035 × 103 |
| std | 4.6045 × 103 | 8.1404 × 105 | 2.8261 × 103 | 2.7092 × 103 | 1.0047 × 104 | 1.3330 × 103 | 1.5961 × 105 | 0.0000 × 100 | |
| F9 | mean | 2.3097 × 103 | 2.3196 × 103 | 2.3530 × 103 | 2.3586 × 103 | 2.3272 × 103 | 2.2977 × 103 | 2.6628 × 103 | 2.2959 × 103 |
| std | 7.0475 × 100 | 1.4821 × 101 | 1.6280 × 102 | 2.7293 × 101 | 1.0165 × 102 | 1.8450 × 101 | 1.1636 × 102 | 0.0000 × 100 | |
| F10 | mean | 2.7474 × 103 | 2.7872 × 103 | 2.7200 × 103 | 2.7725 × 103 | 2.7324 × 103 | 2.7103 × 103 | 2.8230 × 103 | 2.7074 × 103 |
| std | 1.0655 × 101 | 2.4706 × 101 | 9.0511 × 101 | 6.6901 × 100 | 7.2111 × 101 | 8.4151 × 101 | 5.1876 × 101 | 8.7430 × 101 |
| ID | Metric | GWO | WOA | PSO | DBO | HSO | SBOA | SCSO | MSCSO |
|---|---|---|---|---|---|---|---|---|---|
| F1 | mean | 5.8929 × 108 | 1.3222 × 109 | 7.8858 × 108 | 3.9155 × 103 | 2.6512 × 107 | 4.7188 × 103 | 2.5655 × 1010 | 1.0000 × 100 |
| std | 6.1118 × 108 | 7.3775 × 108 | 1.3243 × 109 | 2.6242 × 103 | 1.9422 × 107 | 4.1637 × 103 | 4.8521 × 109 | 9.5206 × 10−5 | |
| F3 | mean | 2.7145 × 103 | 4.3357 × 103 | 3.4928 × 103 | 2.6630 × 103 | 3.5114 × 103 | 2.0727 × 103 | 5.9061 × 103 | 1.4430 × 103 |
| std | 4.9312 × 102 | 4.5476 × 102 | 4.3314 × 102 | 3.9326 × 102 | 7.3049 × 102 | 4.1689 × 102 | 4.5820 × 102 | 2.2443 × 102 | |
| F4 | mean | 7.8974 × 102 | 9.5346 × 102 | 8.4760 × 102 | 8.4646 × 102 | 8.3263 × 102 | 7.8075 × 102 | 1.0020 × 103 | 7.5010 × 102 |
| std | 3.3782 × 101 | 4.8186 × 101 | 2.3099 × 101 | 3.1759 × 101 | 3.3357 × 101 | 2.5556 × 101 | 2.5976 × 101 | 1.4143 × 101 | |
| F5 | mean | 1.9680 × 103 | 2.6253 × 103 | 1.9148 × 103 | 1.9261 × 103 | 1.9659 × 103 | 1.9069 × 103 | 1.0375 × 105 | 1.9066 × 103 |
| std | 2.5989 × 102 | 1.7436 × 103 | 4.5976 × 100 | 1.2600 × 101 | 2.2520 × 102 | 2.4228 × 100 | 1.1828 × 105 | 3.3092 × 100 | |
| F6 | mean | 9.6341 × 105 | 2.5858 × 106 | 6.2541 × 105 | 8.9403 × 104 | 7.8430 × 105 | 2.0310 × 105 | 4.5941 × 106 | 2.9448 × 104 |
| std | 1.0002 × 106 | 2.9534 × 106 | 3.6379 × 105 | 1.2407 × 105 | 5.9909 × 105 | 1.4284 × 105 | 2.4635 × 106 | 3.8392 × 104 | |
| F7 | mean | 1.8934 × 103 | 1.8934 × 103 | 1.8934 × 103 | 1.8934 × 103 | 1.8934 × 103 | 1.8934 × 103 | 1.8934 × 103 | 1.8934 × 103 |
| std | 2.0555 × 102 | 2.0555 × 102 | 2.0555 × 102 | 2.0555 × 102 | 2.0555 × 102 | 2.0555 × 102 | 2.0555 × 102 | 2.0555 × 102 | |
| F8 | mean | 3.4487 × 105 | 1.4770 × 106 | 1.6047 × 105 | 1.8922 × 104 | 5.3959 × 105 | 7.9433 × 104 | 1.6147 × 106 | 4.6928 × 103 |
| std | 3.3413 × 105 | 1.1702 × 106 | 1.4323 × 105 | 1.2989 × 104 | 4.8905 × 105 | 6.6005 × 104 | 2.0493 × 106 | 0.0000 × 100 | |
| F9 | mean | 3.6131 × 103 | 5.0224 × 103 | 3.0267 × 103 | 3.5808 × 103 | 2.5605 × 103 | 2.3416 × 103 | 5.2056 × 103 | 2.3012 × 103 |
| std | 1.5331 × 103 | 1.6407 × 103 | 1.4520 × 103 | 9.4561 × 102 | 8.2208 × 102 | 2.1825 × 102 | 8.0062 × 102 | 0.0000 × 100 | |
| F10 | mean | 2.8771 × 103 | 3.0204 × 103 | 2.9212 × 103 | 2.9166 × 103 | 2.9946 × 103 | 2.8403 × 103 | 3.1563 × 103 | 2.8432 × 103 |
| std | 3.9278 × 101 | 8.2473 × 101 | 3.7574 × 101 | 1.1113 × 101 | 5.6073 × 101 | 1.9022 × 101 | 5.9998 × 101 | 1.6167 × 101 |
| ID | Metric | GWO | WOA | PSO | DBO | HSO | SBOA | SCSO | MSCSO |
|---|---|---|---|---|---|---|---|---|---|
| F1 | mean | 2.8671 × 103 | 2.9037 × 103 | 2.8742 × 103 | 2.8683 × 103 | 2.8699 × 103 | 2.8660 × 103 | 2.9098 × 103 | 2.8686 × 103 |
| std | 4.2194 × 100 | 4.4644 × 101 | 1.5493 × 101 | 1.2767 × 101 | 1.0278 × 101 | 4.2531 × 101 | 3.3198 × 101 | 1.0191 × 101 | |
| F3 | mean | 4.3154 × 102 | 4.6058 × 102 | 4.2541 × 102 | 4.5877 × 102 | 4.2831 × 102 | 4.1564 × 102 | 8.1525 × 102 | 4.0706 × 101 |
| std | 2.3620 × 101 | 8.5696 × 101 | 3.1096 × 101 | 2.5834 × 101 | 4.1442 × 101 | 2.6194 × 101 | 2.3964 × 102 | 1.2720 × 101 | |
| F4 | mean | 6.0214 × 102 | 6.3803 × 102 | 6.0236 × 102 | 6.1772 × 102 | 6.0999 × 102 | 6.0137 × 102 | 6.4948 × 102 | 6.0008 × 101 |
| std | 1.7940 × 100 | 1.5345 × 101 | 1.4289 × 100 | 3.1911 × 100 | 7.3533 × 100 | 2.7991 × 100 | 8.4861 × 100 | 2.1676 × 10−1 | |
| F5 | mean | 8.1695 × 102 | 8.4500 × 102 | 8.2537 × 102 | 8.3857 × 102 | 8.3750 × 102 | 8.1461 × 102 | 8.4948 × 102 | 8.1278 × 102 |
| std | 8.4203 × 100 | 1.1152 × 101 | 8.0516 × 100 | 5.7249 × 100 | 9.7664 × 100 | 5.4470 × 100 | 6.8967 × 100 | 4.2904 × 100 | |
| F6 | mean | 9.1475 × 102 | 1.6642 × 103 | 9.0448 × 102 | 9.1698 × 102 | 1.0035 × 103 | 9.0573 × 102 | 1.4339 × 103 | 9.0162 × 102 |
| std | 1.9581 × 101 | 5.2120 × 102 | 2.9969 × 100 | 3.9431 × 101 | 9.6855 × 101 | 1.3552 × 101 | 1.9164 × 102 | 3.7690 × 100 | |
| F7 | mean | 6.3150 × 103 | 5.7413 × 103 | 8.1202 × 103 | 3.5423 × 103 | 4.6882 × 103 | 4.0528 × 103 | 1.2429 × 107 | 1.8306 × 103 |
| std | 2.4104 × 103 | 2.8985 × 103 | 5.5611 × 103 | 1.7525 × 103 | 2.2258 × 103 | 1.8254 × 103 | 1.8798 × 107 | 2.0542 × 101 | |
| F8 | mean | 2.0359 × 103 | 2.0931 × 103 | 2.0254 × 103 | 2.0757 × 103 | 2.0401 × 103 | 2.0264 × 103 | 2.0855 × 103 | 2.0127 × 103 |
| std | 1.6928 × 101 | 3.2845 × 101 | 5.3447 × 100 | 2.5795 × 101 | 2.2018 × 101 | 3.4098 × 101 | 2.1390 × 101 | 1.0825 × 101 | |
| F9 | mean | 2.2236 × 103 | 2.2390 × 103 | 2.2408 × 103 | 2.2711 × 103 | 2.2372 × 103 | 2.2202 × 103 | 2.2558 × 103 | 2.2149 × 103 |
| std | 5.9108 × 100 | 1.3191 × 101 | 4.1141 × 101 | 6.3306 × 101 | 2.9356 × 101 | 6.4915 × 100 | 3.6190 × 101 | 1.0321 × 101 | |
| F10 | mean | 2.5956 × 103 | 2.6064 × 103 | 2.5348 × 103 | 2.6644 × 103 | 2.5409 × 103 | 2.5293 × 103 | 2.6702 × 103 | 2.5342 × 103 |
| std | 3.8893 × 101 | 5.6602 × 101 | 1.8459 × 101 | 3.8821 × 101 | 2.3533 × 101 | 2.4583 × 10−6 | 4.3119 × 101 | 2.6826 × 101 | |
| F11 | mean | 2.5964 × 103 | 2.6589 × 103 | 2.6036 × 103 | 2.6183 × 103 | 2.5540 × 103 | 2.5638 × 103 | 2.5894 × 103 | 2.5948 × 103 |
| std | 1.0055 × 102 | 2.8128 × 102 | 1.1969 × 102 | 1.8321 × 102 | 6.6520 × 101 | 5.6502 × 101 | 8.9112 × 101 | 4.3229 × 101 | |
| F12 | mean | 2.8061 × 103 | 2.9303 × 103 | 2.7759 × 103 | 3.0019 × 103 | 2.8108 × 103 | 2.7280 × 103 | 3.3043 × 103 | 2.6801 × 103 |
| std | 1.6128 × 102 | 1.6592 × 102 | 1.4893 × 102 | 1.9794 × 102 | 1.8534 × 102 | 1.7386 × 102 | 4.3254 × 102 | 1.2294 × 102 |
| ID | Metric | GWO | WOA | PSO | DBO | HSO | SBOA | SCSO | MSCSO |
|---|---|---|---|---|---|---|---|---|---|
| F1 | mean | 1.5457 × 104 | 3.0492 × 104 | 6.4268 × 103 | 7.4374 × 103 | 3.7564 × 104 | 4.8525 × 103 | 4.4496 × 104 | 6.7985 × 103 |
| std | 5.0929 × 103 | 9.4342 × 103 | 3.0487 × 103 | 3.5674 × 103 | 1.2146 × 104 | 2.3813 × 103 | 1.4691 × 104 | 9.0870 × 103 | |
| F3 | mean | 5.3056 × 102 | 6.5400 × 102 | 4.7312 × 102 | 5.7409 × 102 | 5.1120 × 102 | 4.6089 × 102 | 1.6204 × 103 | 4.5520 × 102 |
| std | 6.9008 × 101 | 9.4503 × 101 | 3.0598 × 101 | 7.9325 × 101 | 8.5735 × 101 | 1.6374 × 101 | 2.4155 × 102 | 1.7508 × 101 | |
| F4 | mean | 6.0835 × 102 | 6.7020 × 102 | 6.1237 × 102 | 6.3582 × 102 | 6.3104 × 102 | 6.0266 × 102 | 6.8393 × 102 | 6.0233 × 102 |
| std | 5.0813 × 100 | 9.7467 × 100 | 5.2245 × 100 | 4.7814 × 100 | 1.1332 × 101 | 3.5470 × 100 | 9.8693 × 100 | 2.2624 × 100 | |
| F5 | mean | 8.5880 × 102 | 9.3200 × 102 | 9.1644 × 102 | 9.1788 × 102 | 9.1141 × 102 | 8.4498 × 102 | 9.7314 × 102 | 8.6619 × 102 |
| std | 2.6090 × 101 | 2.9548 × 101 | 1.9882 × 101 | 1.2440 × 101 | 2.7227 × 101 | 1.5292 × 101 | 1.4501 × 101 | 2.2987 × 101 | |
| F6 | mean | 1.4299 × 103 | 4.4969 × 103 | 1.0452 × 103 | 1.1917 × 103 | 2.2080 × 103 | 1.0697 × 103 | 3.5235 × 103 | 1.1182 × 103 |
| std | 3.5374 × 102 | 1.5631 × 103 | 1.2762 × 102 | 3.2612 × 102 | 6.1970 × 102 | 2.2424 × 102 | 5.2128 × 102 | 3.0317 × 102 | |
| F7 | mean | 3.0093 × 106 | 8.4507 × 106 | 1.7050 × 106 | 4.6478 × 103 | 1.5019 × 106 | 6.1443 × 103 | 5.9957 × 108 | 3.9069 × 103 |
| std | 1.1673 × 107 | 9.8651 × 106 | 1.7858 × 106 | 3.0753 × 103 | 3.7864 × 106 | 4.9488 × 103 | 4.2815 × 108 | 2.7484 × 103 | |
| F8 | mean | 2.0823 × 103 | 2.2392 × 103 | 2.1154 × 103 | 2.1343 × 103 | 2.1452 × 103 | 2.0560 × 103 | 2.2313 × 103 | 2.0535 × 103 |
| std | 4.1511 × 101 | 6.4825 × 101 | 5.5853 × 101 | 3.1842 × 101 | 4.7304 × 101 | 2.0835 × 101 | 5.1271 × 101 | 3.8305 × 101 | |
| F9 | mean | 2.2645 × 103 | 2.2757 × 103 | 2.2942 × 103 | 2.4887 × 103 | 2.3188 × 103 | 2.2329 × 103 | 2.4819 × 103 | 2.2262 × 103 |
| std | 5.2438 × 101 | 6.4710 × 101 | 7.4204 × 101 | 1.6135 × 102 | 7.8860 × 101 | 2.1871 × 101 | 1.4296 × 102 | 4.6711 × 100 | |
| F10 | mean | 2.5234 × 103 | 2.5983 × 103 | 2.4996 × 103 | 2.7210 × 103 | 2.5117 × 103 | 2.4808 × 103 | 2.7814 × 103 | 2.4808 × 103 |
| std | 2.2815 × 101 | 4.3069 × 101 | 2.2016 × 101 | 8.7218 × 101 | 4.3007 × 101 | 7.3867 × 10−2 | 9.4266 × 101 | 3.0433 × 10−9 | |
| F11 | mean | 3.5816 × 103 | 5.0132 × 103 | 3.9936 × 103 | 3.5019 × 103 | 3.0844 × 103 | 2.8527 × 103 | 5.3306 × 103 | 2.5719 × 103 |
| std | 8.3489 × 102 | 1.1099 × 103 | 1.0419 × 103 | 7.4004 × 102 | 9.7967 × 102 | 5.0970 × 102 | 1.8521 × 103 | 1.4803 × 102 | |
| F12 | mean | 3.4442 × 103 | 4.0416 × 103 | 3.3228 × 103 | 3.5884 × 103 | 3.1495 × 103 | 2.9275 × 103 | 7.5410 × 103 | 2.9007 × 103 |
| std | 2.6046 × 102 | 1.0393 × 103 | 2.2248 × 102 | 1.8335 × 102 | 2.0225 × 102 | 8.8859 × 101 | 6.2908 × 102 | 6.4446 × 101 |
| Statistical Results | GWO | WOA | PSO | DBO | HSO | SBOA | SCSO |
|---|---|---|---|---|---|---|---|
| CEC2020 dim = 10 (+/=/−) | (10/0/0) | (10/0/0) | (8/0/2) | (10/0/0) | (8/0/2) | (5/0/5) | (10/0/0) |
| CEC2020 dim = 20 (+/=/−) | (10/0/0) | (10/0/0) | (9/0/1) | (10/0/0) | (9/0/1) | (7/0/3) | (10/0/0) |
| CEC2022 dim = 10 (+/=/−) | (11/0/1) | (11/0/1) | (12/0/0) | (12/0/0) | (9/0/3) | (8/0/4) | (12/0/0) |
| CEC2022 dim = 20 (+/=/−) | (11/0/1) | (12/0/0) | (9/0/3) | (10/0/2) | (12/0/0) | (6/0/6) | (12/0/0) |
| Suites | CEC2020 | CEC2022 | ||||||
|---|---|---|---|---|---|---|---|---|
| Dimension | 10 | 20 | 10 | 20 | ||||
| Algorithms | ||||||||
| GWO | 3.90 | 3 | 4.40 | 4 | 4.00 | 3 | 3.92 | 3 |
| WOA | 6.80 | 7 | 7.10 | 7 | 6.58 | 7 | 6.83 | 7 |
| PSO | 4.50 | 5 | 4.40 | 4 | 4.33 | 4 | 4.17 | 4 |
| HSO | 5.50 | 6 | 4.20 | 3 | 5.42 | 6 | 5.17 | 6 |
| DBO | 4.30 | 4 | 4.80 | 6 | 4.33 | 4 | 4.83 | 5 |
| SBOA | 1.70 | 2 | 2.00 | 2 | 1.83 | 2 | 1.75 | 2 |
| SCSO | 7.90 | 8 | 7.90 | 8 | 7.75 | 8 | 7.83 | 8 |
| MSCSO | 1.40 | 1 | 1.20 | 1 | 1.75 | 1 | 1.50 | 1 |
| Images | TH = 4 | TH = 6 | TH = 8 | TH = 10 |
|---|---|---|---|---|
| baboon | ![]() | ![]() | ![]() | ![]() |
![]() | ![]() | ![]() | ![]() | |
| camera | ![]() | ![]() | ![]() | ![]() |
![]() | ![]() | ![]() | ![]() | |
| girl | ![]() | ![]() | ![]() | ![]() |
![]() | ![]() | ![]() | ![]() | |
| lena | ![]() | ![]() | ![]() | ![]() |
![]() | ![]() | ![]() | ![]() | |
| terrace | ![]() | ![]() | ![]() | ![]() |
![]() | ![]() | ![]() | ![]() |
| Image | Threshold | Metric | GWO | WOA | PSO | HSO | DBO | SBOA | SCSO | MSCSO |
|---|---|---|---|---|---|---|---|---|---|---|
| baboon | 4 | Mean | 3.2983 × 103 | 3.2983 × 103 | 3.2986 × 103 | 3.2711 × 103 | 3.2986 × 103 | 3.2942 × 103 | 3.2684 × 103 | 3.3008 × 103 |
| Std | 3.1427 × 100 | 4.2060 × 100 | 1.5065 × 100 | 1.6118 × 100 | 2.5430 × 100 | 7.7727 × 100 | 2.5178 × 101 | 2.4484 × 10−2 | ||
| 6 | Mean | 3.3673 × 103 | 3.3676 × 103 | 3.3650 × 103 | 3.3366 × 103 | 3.3651 × 103 | 3.3588 × 103 | 3.3425 × 103 | 3.3715 × 103 | |
| Std | 4.5329 × 100 | 2.9040 × 100 | 3.7410 × 100 | 1.4136 × 101 | 5.0908 × 100 | 9.4753 × 100 | 1.9185 × 101 | 1.2680 × 100 | ||
| 8 | Mean | 3.3931 × 103 | 3.3924 × 103 | 3.3921 × 103 | 3.3724 × 103 | 3.3876 × 103 | 3.3856 × 103 | 3.3784 × 103 | 3.3993 × 103 | |
| Std | 5.5682 × 100 | 7.2975 × 100 | 3.4047 × 100 | 9.2411 × 100 | 5.6281 × 100 | 7.7790 × 100 | 1.2990 × 101 | 1.4460 × 100 | ||
| 10 | Mean | 3.4077 × 103 | 3.4072 × 103 | 3.4061 × 103 | 3.3886 × 103 | 3.4017 × 103 | 3.3999 × 103 | 3.3983 × 103 | 3.4128 × 103 | |
| Std | 4.0462 × 100 | 4.6348 × 100 | 2.9208 × 100 | 7.2195 × 100 | 5.2162 × 100 | 6.6549 × 100 | 8.4710 × 100 | 2.4858 × 100 | ||
| camera | 4 | Mean | 4.5976 × 103 | 4.5975 × 103 | 4.5983 × 103 | 4.5825 × 103 | 4.5980 × 103 | 4.5971 × 103 | 4.5896 × 103 | 4.5996 × 103 |
| Std | 1.9392 × 100 | 2.8636 × 100 | 1.6086 × 100 | 9.2280 × 100 | 1.7868 × 100 | 3.7272 × 100 | 1.0917 × 101 | 1.2750 × 100 | ||
| 6 | Mean | 4.6447 × 103 | 4.6460 × 103 | 4.6446 × 103 | 4.6194 × 103 | 4.6417 × 103 | 4.6395 × 103 | 4.6262 × 103 | 4.6503 × 103 | |
| Std | 6.2083 × 100 | 4.5761 × 100 | 5.0428 × 100 | 8.8192 × 100 | 7.0480 × 100 | 8.6832 × 100 | 1.2539 × 101 | 2.6629 × 100 | ||
| 8 | Mean | 4.6615 × 103 | 4.6615 × 103 | 4.6630 × 103 | 4.6392 × 103 | 4.6567 × 103 | 4.6582 × 103 | 4.6431 × 103 | 4.6682 × 103 | |
| Std | 4.8112 × 100 | 5.2227 × 100 | 2.7445 × 100 | 7.5798 × 100 | 6.3475 × 100 | 6.4824 × 100 | 9.5342 × 100 | 1.8004 × 100 | ||
| 10 | Mean | 4.6728 × 103 | 4.6731 × 103 | 4.6731 × 103 | 4.6534 × 103 | 4.6677 × 103 | 4.6703 × 103 | 4.6610 × 103 | 4.6784 × 103 | |
| Std | 3.6036 × 100 | 4.4533 × 100 | 2.5797 × 100 | 7.9311 × 100 | 4.3540 × 100 | 5.7830 × 100 | 9.2597 × 100 | 1.7677 × 100 | ||
| girl | 4 | Mean | 2.5316 × 103 | 2.5318 × 103 | 2.5324 × 103 | 2.5087 × 103 | 2.5331 × 103 | 2.5267 × 103 | 2.5050 × 103 | 2.5339 × 103 |
| Std | 4.4695 × 100 | 3.1792 × 100 | 1.1285 × 100 | 1.3877 × 101 | 1.4090 × 100 | 8.9770 × 100 | 2.1861 × 101 | 4.0686 × 10−2 | ||
| 6 | Mean | 2.5819 × 103 | 2.5789 × 103 | 2.5807 × 103 | 2.5543 × 103 | 2.5799 × 103 | 2.5760 × 103 | 2.5622 × 103 | 2.5842 × 103 | |
| Std | 2.7033 × 100 | 8.6018 × 100 | 1.7195 × 100 | 1.3276 × 101 | 3.9981 × 100 | 6.7079 × 100 | 1.2084 × 101 | 3.4014 × 10−1 | ||
| 8 | Mean | 2.6012 × 103 | 2.5990 × 103 | 2.5995 × 103 | 2.5758 × 103 | 2.5982 × 103 | 2.5947 × 103 | 2.5855 × 103 | 2.6052 × 103 | |
| Std | 3.6377 × 100 | 5.2335 × 100 | 2.5113 × 100 | 1.0593 × 101 | 4.3676 × 100 | 8.8709 × 100 | 1.2574 × 101 | 1.7622 × 100 | ||
| 10 | Mean | 2.6123 × 103 | 2.6105 × 103 | 2.6097 × 103 | 2.5048 × 103 | 2.6078 × 103 | 2.6072 × 103 | 2.5960 × 103 | 2.6158 × 103 | |
| Std | 3.3637 × 100 | 3.2344 × 100 | 2.1345 × 100 | 4.7327 × 102 | 3.2476 × 100 | 4.1583 × 100 | 1.4214 × 101 | 1.5477 × 100 | ||
| lena | 4 | Mean | 3.6843 × 103 | 3.6836 × 103 | 3.6837 × 103 | 3.6320 × 103 | 3.6838 × 103 | 3.6780 × 103 | 3.6418 × 103 | 3.6860 × 103 |
| Std | 1.8930 × 100 | 3.5328 × 100 | 1.2814 × 100 | 2.3122 × 101 | 4.5884 × 100 | 8.2677 × 100 | 3.1509 × 101 | 4.3001 × 10−2 | ||
| 6 | Mean | 3.7566 × 103 | 3.7579 × 103 | 3.7590 × 103 | 3.7201 × 103 | 3.7553 × 103 | 3.7490 × 103 | 3.7329 × 103 | 3.7652 × 103 | |
| Std | 7.6457 × 100 | 6.7404 × 100 | 3.6049 × 100 | 1.7075 × 101 | 8.9648 × 100 | 1.0357 × 101 | 1.4175 × 101 | 1.6612 × 100 | ||
| 8 | Mean | 3.7864 × 103 | 3.7874 × 103 | 3.7869 × 103 | 3.7565 × 103 | 3.7831 × 103 | 3.7798 × 103 | 3.7750 × 103 | 3.7943 × 103 | |
| Std | 6.6123 × 100 | 7.2506 × 100 | 2.4840 × 100 | 1.2181 × 101 | 6.1400 × 100 | 8.9102 × 100 | 9.8967 × 100 | 1.3204 × 100 | ||
| 10 | Mean | 3.8034 × 103 | 3.8046 × 103 | 3.8021 × 103 | 3.7827 × 103 | 3.7981 × 103 | 3.7979 × 103 | 3.7925 × 103 | 3.8106 × 103 | |
| Std | 5.5708 × 100 | 4.3305 × 100 | 2.4777 × 100 | 7.7391 × 100 | 6.9951 × 100 | 5.4004 × 100 | 9.9263 × 100 | 2.3488 × 100 | ||
| terrace | 4 | Mean | 2.6389 × 103 | 2.6370 × 103 | 2.6382 × 103 | 2.5905 × 103 | 2.6388 × 103 | 2.6318 × 103 | 2.6106 × 103 | 2.6401 × 103 |
| Std | 1.6459 × 100 | 4.5132 × 100 | 1.2851 × 100 | 2.2708 × 101 | 1.5242 × 100 | 6.1413 × 100 | 2.7287 × 101 | 1.3138 × 10−1 | ||
| 6 | Mean | 2.6990 × 103 | 2.6975 × 103 | 2.6959 × 103 | 2.6619 × 103 | 2.6961 × 103 | 2.6885 × 103 | 2.6835 × 103 | 2.7018 × 103 | |
| Std | 3.8927 × 100 | 6.2845 × 100 | 2.7906 × 100 | 1.4787 × 101 | 4.0348 × 100 | 1.0536 × 101 | 1.4741 × 101 | 7.0304 × 10−1 | ||
| 8 | Mean | 2.7250 × 103 | 2.7243 × 103 | 2.7205 × 103 | 2.6903 × 103 | 2.7191 × 103 | 2.7138 × 103 | 2.7133 × 103 | 2.7280 × 103 | |
| Std | 3.6809 × 100 | 4.1210 × 100 | 3.2517 × 100 | 1.1711 × 101 | 5.3826 × 100 | 7.2941 × 100 | 9.9086 × 100 | 1.2013 × 100 | ||
| 10 | Mean | 2.7369 × 103 | 2.7377 × 103 | 2.7331 × 103 | 2.7066 × 103 | 2.7314 × 103 | 2.7299 × 103 | 2.7276 × 103 | 2.7406 × 103 | |
| Std | 3.2300 × 100 | 3.0153 × 100 | 3.4795 × 100 | 1.3629 × 101 | 4.7525 × 100 | 4.8287 × 100 | 6.5568 × 100 | 1.9212 × 100 | ||
| Friedman-Rank | 2.96 | 3.14 | 4.43 | 7.80 | 4.46 | 5.68 | 6.19 | 1.34 | ||
| Final-Rank | 2 | 3 | 4 | 8 | 5 | 6 | 7 | 1 | ||
| Image | Threshold | Metric | GWO | WOA | PSO | HSO | DBO | SBOA | SCSO | MSCSO |
|---|---|---|---|---|---|---|---|---|---|---|
| baboon | 2 | Mean | 18.1493 | 18.0943 | 18.1717 | 17.2238 | 18.1657 | 18.0989 | 18.2734 | 18.2262 |
| Std | 2.4632 × 10−1 | 3.1731 × 10−1 | 2.7347 × 10−1 | 8.3640 × 10−1 | 2.7588 × 10−1 | 6.0652 × 10−1 | 3.9427 × 10−1 | 4.9721 × 10−2 | ||
| 4 | Mean | 21.0541 | 21.2598 | 20.9815 | 19.8701 | 21.0987 | 20.8654 | 20.7941 | 21.4333 | |
| Std | 5.4823 × 10−1 | 5.7954 × 10−1 | 5.8647 × 10−1 | 1.2208 × 100 | 6.5979 × 10−1 | 7.2557 × 10−1 | 6.2612 × 10−1 | 2.7845 × 10−1 | ||
| 6 | Mean | 22.8148 | 23.1583 | 23.0259 | 21.5881 | 22.6541 | 22.5612 | 22.4388 | 23.4989 | |
| Std | 8.2707 × 10−1 | 6.9992 × 10−1 | 7.1504 × 10−1 | 1.0152 × 100 | 8.4882 × 10−1 | 8.6153 × 10−1 | 6.3636 × 10−1 | 4.5074 × 10−1 | ||
| 8 | Mean | 24.4564 | 24.7115 | 24.2802 | 22.7812 | 23.9586 | 23.7621 | 23.9450 | 25.1252 | |
| Std | 7.4490 × 10−1 | 7.4582 × 10−1 | 7.5730 × 10−1 | 8.4034 × 10−1 | 8.6857 × 10−1 | 9.8084 × 10−1 | 7.9694 × 10−1 | 4.6661 × 10−1 | ||
| camera | 2 | Mean | 18.2597 | 18.4130 | 18.5500 | 18.0111 | 18.4525 | 18.4869 | 18.6410 | 19.1343 |
| Std | 6.3266 × 10−1 | 8.6138 × 10−1 | 8.9226 × 10−1 | 8.9386 × 10−1 | 9.7644 × 10−1 | 9.6432 × 10−1 | 7.9624 × 10−1 | 9.3539 × 10−1 | ||
| 4 | Mean | 21.2387 | 21.1183 | 21.3751 | 19.9234 | 21.3509 | 20.9897 | 21.7080 | 21.7106 | |
| Std | 9.3205 × 10−1 | 7.4111 × 10−1 | 7.4068 × 10−1 | 1.3281 × 100 | 1.0164 × 100 | 1.3884 × 100 | 8.9964 × 10−1 | 5.7799 × 10−1 | ||
| 6 | Mean | 22.6372 | 22.5434 | 22.8017 | 20.8691 | 22.4460 | 21.7798 | 23.0151 | 23.2635 | |
| Std | 6.6296 × 10−1 | 7.9386 × 10−1 | 6.1803 × 10−1 | 1.7336 × 100 | 1.0734 × 100 | 1.2566 × 100 | 1.0280 × 100 | 5.3965 × 10−1 | ||
| 8 | Mean | 23.5856 | 23.5680 | 23.7264 | 22.4513 | 23.3367 | 23.7922 | 24.4121 | 24.2878 | |
| Std | 8.8366 × 10−1 | 5.3047 × 10−1 | 6.4547 × 10−1 | 1.6745 × 100 | 9.6464 × 10−1 | 9.1741 × 10−1 | 1.2476 × 100 | 7.8722 × 10−1 | ||
| girl | 2 | Mean | 21.8882 | 22.1175 | 21.8843 | 20.9221 | 22.0069 | 21.6510 | 20.8480 | 21.9640 |
| Std | 3.2139 × 10−1 | 3.2828 × 10−1 | 3.4111 × 10−1 | 8.5984 × 10−1 | 1.8573 × 10−1 | 7.8795 × 10−1 | 8.1443 × 10−1 | 6.5585 × 10−2 | ||
| 4 | Mean | 24.2736 | 24.0871 | 24.1995 | 22.9906 | 24.1209 | 23.9443 | 23.4992 | 24.5621 | |
| Std | 3.8378 × 10−1 | 7.4912 × 10−1 | 4.5558 × 10−1 | 1.0190 × 100 | 5.6258 × 10−1 | 6.4298 × 10−1 | 7.3040 × 10−1 | 1.8616 × 10−1 | ||
| 6 | Mean | 26.2464 | 25.6922 | 25.8408 | 24.2435 | 25.7716 | 25.4427 | 24.9562 | 26.3249 | |
| Std | 2.8721 × 10−1 | 7.4048 × 10−1 | 5.8331 × 10−1 | 9.8457 × 10−1 | 6.4598 × 10−1 | 9.6108 × 10−1 | 9.2155 × 10−1 | 3.0305 × 10−1 | ||
| 8 | Mean | 27.3696 | 27.2215 | 27.0257 | 25.1686 | 26.9006 | 26.6982 | 26.2697 | 27.9327 | |
| Std | 5.5225 × 10−1 | 5.2545 × 10−1 | 5.0270 × 10−1 | 1.9271 × 100 | 7.2372 × 10−1 | 7.1855 × 10−1 | 1.1809 × 100 | 2.9163 × 10−1 | ||
| lena | 2 | Mean | 19.0558 | 19.0656 | 19.0498 | 18.2694 | 19.0497 | 18.9810 | 18.5814 | 19.1231 |
| Std | 6.2836 × 10−2 | 1.3902 × 10−1 | 7.5194 × 10−2 | 4.1615 × 10−1 | 1.1244 × 10−1 | 1.8626 × 10−1 | 3.9381 × 10−1 | 3.3234 × 10−2 | ||
| 4 | Mean | 21.5308 | 21.4246 | 21.5493 | 20.2585 | 21.4757 | 21.1892 | 20.9956 | 21.8206 | |
| Std | 3.0723 × 10−1 | 3.5129 × 10−1 | 1.8371 × 10−1 | 5.6273 × 10−1 | 3.1467 × 10−1 | 4.8674 × 10−1 | 4.8229 × 10−1 | 7.7365 × 10−2 | ||
| 6 | Mean | 23.0169 | 23.1588 | 23.0158 | 21.5529 | 22.9357 | 22.5956 | 22.7203 | 23.5328 | |
| Std | 4.6594 × 10−1 | 5.4389 × 10−1 | 2.0905 × 10−1 | 6.4711 × 10−1 | 5.2028 × 10−1 | 4.7264 × 10−1 | 5.1071 × 10−1 | 3.2119 × 10−1 | ||
| 8 | Mean | 24.3093 | 24.5339 | 24.1683 | 23.0027 | 23.9436 | 23.8923 | 23.9362 | 24.9913 | |
| Std | 5.6197 × 10−1 | 5.2161 × 10−1 | 4.9449 × 10−1 | 5.8358 × 10−1 | 7.1771 × 10−1 | 6.4628 × 10−1 | 6.5717 × 10−1 | 3.9356 × 10−1 | ||
| terrace | 2 | Mean | 21.4377 | 21.3895 | 21.4309 | 20.2474 | 21.4338 | 21.2170 | 20.7574 | 21.4770 |
| Std | 6.5134 × 10−2 | 1.5414 × 10−1 | 5.5599 × 10−2 | 5.3123 × 10−1 | 6.3804 × 10−2 | 2.0603 × 10−1 | 6.4343 × 10−1 | 1.6228 × 10−2 | ||
| 4 | Mean | 23.8533 | 23.7831 | 23.6730 | 22.2001 | 23.6964 | 23.2841 | 23.3043 | 23.9996 | |
| Std | 1.8198 × 10−1 | 3.2268 × 10−1 | 1.7236 × 10−1 | 6.2391 × 10−1 | 2.3722 × 10−1 | 5.2395 × 10−1 | 6.3563 × 10−1 | 4.4719 × 10−2 | ||
| 6 | Mean | 25.5876 | 25.5256 | 25.2076 | 23.3454 | 25.1551 | 24.7918 | 25.0352 | 25.8201 | |
| Std | 2.6546 × 10−1 | 3.3328 × 10−1 | 3.0039 × 10−1 | 6.1125 × 10−1 | 4.4735 × 10−1 | 5.5392 × 10−1 | 6.2222 × 10−1 | 1.0151 × 10−1 | ||
| 8 | Mean | 26.7888 | 26.8566 | 26.3455 | 24.2945 | 26.2112 | 26.0471 | 26.1963 | 27.1649 | |
| Std | 3.8171 × 10−1 | 3.4331 × 10−1 | 3.3763 × 10−1 | 8.1477 × 10−1 | 4.8694 × 10−1 | 4.4162 × 10−1 | 5.4517 × 10−1 | 2.9713 × 10−1 | ||
| Friedman-Rank | 3.13 | 3.15 | 4.46 | 7.79 | 4.42 | 5.75 | 5.59 | 1.72 | ||
| Final-Rank | 2 | 3 | 5 | 8 | 4 | 7 | 6 | 1 | ||
| Image | Threshold | Metric | GWO | WOA | PSO | HSO | DBO | SBOA | SCSO | MSCSO |
|---|---|---|---|---|---|---|---|---|---|---|
| baboon | 2 | Mean | 0.8193 | 0.8168 | 0.8186 | 0.7970 | 0.8190 | 0.8195 | 0.8310 | 0.8200 |
| Std | 7.9078 × 10−3 | 9.0823 × 10−3 | 7.2026 × 10−3 | 2.6721 × 10−2 | 6.3435 × 10−3 | 1.5335 × 10−2 | 1.2046 × 10−2 | 1.1694 × 10−3 | ||
| 4 | Mean | 0.8795 | 0.8857 | 0.8795 | 0.8554 | 0.8811 | 0.8775 | 0.8884 | 0.8885 | |
| Std | 1.3059 × 10−2 | 1.6028 × 10−2 | 1.5204 × 10−2 | 3.0226 × 10−2 | 1.7986 × 10−2 | 1.7706 × 10−2 | 1.6117 × 10−2 | 7.3631 × 10−3 | ||
| 6 | Mean | 0.9065 | 0.9149 | 0.9118 | 0.8875 | 0.9059 | 0.9037 | 0.9158 | 0.9183 | |
| Std | 1.7822 × 10−2 | 1.7320 × 10−2 | 1.6011 × 10−2 | 2.3706 × 10−2 | 1.8938 × 10−2 | 1.8351 × 10−2 | 7.7040 × 10−3 | 9.5189 × 10−3 | ||
| 8 | Mean | 0.9289 | 0.9324 | 0.9255 | 0.9044 | 0.9211 | 0.9178 | 0.9348 | 0.9378 | |
| Std | 1.4688 × 10−2 | 1.4702 × 10−2 | 1.5180 × 10−2 | 1.7288 × 10−2 | 1.7722 × 10−2 | 1.9880 × 10−2 | 1.1638 × 10−2 | 1.0115 × 10−2 | ||
| camera | 2 | Mean | 0.8362 | 0.8322 | 0.8322 | 0.8237 | 0.8306 | 0.8296 | 0.8281 | 0.8350 |
| Std | 5.5615 × 10−3 | 7.4732 × 10−3 | 8.3852 × 10−3 | 1.3337 × 10−2 | 9.2505 × 10−3 | 1.1045 × 10−2 | 1.1249 × 10−2 | 6.4365 × 10−3 | ||
| 4 | Mean | 0.8668 | 0.8654 | 0.8687 | 0.8495 | 0.8688 | 0.8672 | 0.8676 | 0.8764 | |
| Std | 1.1986 × 10−2 | 9.5460 × 10−3 | 8.1242 × 10−3 | 1.4000 × 10−2 | 9.5678 × 10−3 | 1.3377 × 10−2 | 1.1645 × 10−2 | 3.6356 × 10−3 | ||
| 6 | Mean | 0.8888 | 0.8858 | 0.8919 | 0.8661 | 0.8851 | 0.8814 | 0.8852 | 0.9012 | |
| Std | 1.2282 × 10−2 | 1.3215 × 10−2 | 6.7373 × 10−3 | 1.8027 × 10−2 | 1.2012 × 10−2 | 1.3511 × 10−2 | 1.4638 × 10−2 | 4.7442 × 10−3 | ||
| 8 | Mean | 0.9035 | 0.9034 | 0.9047 | 0.8792 | 0.8968 | 0.9038 | 0.9068 | 0.9145 | |
| Std | 8.1086 × 10−3 | 7.9409 × 10−3 | 7.3303 × 10−3 | 2.0437 × 10−2 | 1.1984 × 10−2 | 1.0948 × 10−2 | 1.7344 × 10−2 | 6.5259 × 10−3 | ||
| girl | 2 | Mean | 0.8266 | 0.8273 | 0.8277 | 0.8015 | 0.8290 | 0.8193 | 0.8222 | 0.8295 |
| Std | 8.9031 × 10−3 | 3.2786 × 10−3 | 4.5167 × 10−3 | 1.5506 × 10−2 | 3.5448 × 10−3 | 1.3906 × 10−2 | 1.1189 × 10−2 | 1.2128 × 10−3 | ||
| 4 | Mean | 0.8678 | 0.8657 | 0.8651 | 0.8375 | 0.8688 | 0.8626 | 0.8613 | 0.8707 | |
| Std | 6.2928 × 10−3 | 8.7873 × 10−3 | 5.2682 × 10−3 | 1.6192 × 10−2 | 7.5647 × 10−3 | 1.0471 × 10−2 | 9.9539 × 10−3 | 5.6149 × 10−3 | ||
| 6 | Mean | 0.8977 | 0.8939 | 0.8927 | 0.8568 | 0.8934 | 0.8875 | 0.8866 | 0.9031 | |
| Std | 5.9864 × 10−3 | 7.6644 × 10−3 | 6.0988 × 10−3 | 1.5806 × 10−2 | 9.3914 × 10−3 | 1.3337 × 10−2 | 9.9004 × 10−3 | 2.2408 × 10−3 | ||
| 8 | Mean | 0.9172 | 0.9128 | 0.9093 | 0.8757 | 0.9092 | 0.9078 | 0.9033 | 0.9253 | |
| Std | 7.2324 × 10−3 | 9.3164 × 10−3 | 5.6939 × 10−3 | 2.9587 × 10−2 | 7.9273 × 10−3 | 9.7624 × 10−3 | 1.2396 × 10−2 | 4.1178 × 10−3 | ||
| lena | 2 | Mean | 0.7808 | 0.7789 | 0.7805 | 0.7579 | 0.7797 | 0.7772 | 0.7772 | 0.7800 |
| Std | 2.5648 × 10−3 | 3.8374 × 10−3 | 3.2323 × 10−3 | 1.3570 × 10−2 | 3.2034 × 10−3 | 5.3796 × 10−3 | 7.8314 × 10−3 | 8.5238 × 10−4 | ||
| 4 | Mean | 0.8422 | 0.8389 | 0.8400 | 0.8117 | 0.8396 | 0.8318 | 0.8317 | 0.8477 | |
| Std | 1.0526 × 10−2 | 1.0287 × 10−2 | 7.5120 × 10−3 | 1.4147 × 10−2 | 9.8559 × 10−3 | 1.0996 × 10−2 | 1.2691 × 10−2 | 4.2731 × 10−3 | ||
| 6 | Mean | 0.8702 | 0.8707 | 0.8684 | 0.8382 | 0.8666 | 0.8595 | 0.8681 | 0.8798 | |
| Std | 1.0823 × 10−2 | 1.0910 × 10−2 | 6.7903 × 10−3 | 1.6313 × 10−2 | 1.0742 × 10−2 | 1.2991 × 10−2 | 1.1450 × 10−2 | 6.9970 × 10−3 | ||
| 8 | Mean | 0.8896 | 0.8928 | 0.8867 | 0.8636 | 0.8824 | 0.8840 | 0.8869 | 0.9017 | |
| Std | 1.0664 × 10−2 | 1.0166 × 10−2 | 9.0087 × 10−3 | 1.3550 × 10−2 | 1.1613 × 10−2 | 1.1906 × 10−2 | 1.1436 × 10−2 | 6.5633 × 10−3 | ||
| terrace | 2 | Mean | 0.8439 | 0.8416 | 0.8420 | 0.7979 | 0.8440 | 0.8380 | 0.8296 | 0.8446 |
| Std | 2.7842 × 10−3 | 6.8370 × 10−3 | 3.9368 × 10−3 | 1.7583 × 10−3 | 3.6297 × 10−3 | 8.2088 × 10−3 | 1.8775 × 10−2 | 1.2077 × 10−3 | ||
| 4 | Mean | 0.9007 | 0.9007 | 0.8956 | 0.8569 | 0.8995 | 0.8885 | 0.8899 | 0.9031 | |
| Std | 6.7720 × 10−3 | 8.4686 × 10−3 | 8.2243 × 10−3 | 1.8544 × 10−2 | 5.9973 × 10−3 | 1.2359 × 10−2 | 1.3325 × 10−2 | 3.0479 × 10−3 | ||
| 6 | Mean | 0.9286 | 0.9280 | 0.9228 | 0.8833 | 0.9218 | 0.9113 | 0.9207 | 0.9345 | |
| Std | 9.1006 × 10−3 | 8.0817 × 10−3 | 8.1806 × 10−3 | 1.7819 × 10−2 | 1.0646 × 10−2 | 1.3426 × 10−2 | 1.0509 × 10−2 | 5.6119 × 10−3 | ||
| 8 | Mean | 0.9424 | 0.9444 | 0.9376 | 0.9026 | 0.9357 | 0.9294 | 0.9367 | 0.9505 | |
| Std | 7.0904 × 10−3 | 8.2804 × 10−3 | 9.3181 × 10−3 | 1.9703 × 10−2 | 1.1057 × 10−2 | 1.1628 × 10−2 | 9.7298 × 10−3 | 5.3017 × 10−3 | ||
| Friedman-Rank | 3.40 | 3.36 | 4.44 | 7.82 | 4.17 | 5.48 | 5.00 | 2.34 | ||
| Final-Rank | 3 | 2 | 5 | 8 | 4 | 7 | 6 | 1 | ||
| Image | Threshold | Metric | GWO | WOA | PSO | HSO | DBO | SBOA | SCSO | MSCSO |
|---|---|---|---|---|---|---|---|---|---|---|
| baboon | 2 | Mean | 0.7215 | 0.7191 | 0.7221 | 0.6797 | 0.7236 | 0.7212 | 0.7496 | 0.7250 |
| Std | 1.2018 × 10−2 | 1.4208 × 10−2 | 1.3165 × 10−2 | 4.3808 × 10−2 | 1.3463 × 10−2 | 2.9537 × 10−2 | 1.8746 × 10−2 | 2.2735 × 10−3 | ||
| 4 | Mean | 0.8226 | 0.8320 | 0.8182 | 0.7807 | 0.8265 | 0.8161 | 0.8465 | 0.8373 | |
| Std | 2.2007 × 10−2 | 2.1130 × 10−2 | 2.3925 × 10−2 | 5.1256 × 10−2 | 2.6923 × 10−2 | 2.8652 × 10−2 | 1.9259 × 10−2 | 1.2086 × 10−2 | ||
| 6 | Mean | 0.8681 | 0.8806 | 0.8727 | 0.8358 | 0.8643 | 0.8610 | 0.8835 | 0.8901 | |
| Std | 2.6426 × 10−2 | 1.9415 × 10−2 | 2.0808 × 10−2 | 3.1318 × 10−2 | 2.8367 × 10−2 | 2.7604 × 10−2 | 1.5313 × 10−2 | 9.4263 × 10−3 | ||
| 8 | Mean | 0.8989 | 0.9067 | 0.8925 | 0.8636 | 0.8906 | 0.8819 | 0.9111 | 0.9158 | |
| Std | 1.9733 × 10−2 | 1.6164 × 10−2 | 1.8861 × 10−2 | 2.5397 × 10−2 | 2.1829 × 10−2 | 2.6449 × 10−2 | 1.3117 × 10−2 | 1.1468 × 10−2 | ||
| camera | 2 | Mean | 0.6936 | 0.7007 | 0.7041 | 0.6943 | 0.7020 | 0.7029 | 0.7524 | 0.7100 |
| Std | 2.9273 × 10−2 | 3.4456 × 10−2 | 3.8064 × 10−2 | 4.8552 × 10−2 | 4.1184 × 10−2 | 4.1970 × 10−2 | 3.4306 × 10−2 | 3.7574 × 10−2 | ||
| 4 | Mean | 0.7790 | 0.7780 | 0.7843 | 0.7402 | 0.7845 | 0.7763 | 0.8156 | 0.7989 | |
| Std | 3.3822 × 10−2 | 2.4747 × 10−2 | 3.0084 × 10−2 | 5.9913 × 10−2 | 3.4600 × 10−2 | 4.6916 × 10−2 | 3.0387 × 10−2 | 1.7071 × 10−2 | ||
| 6 | Mean | 0.8153 | 0.8148 | 0.8233 | 0.7736 | 0.8111 | 0.7955 | 0.8428 | 0.8336 | |
| Std | 2.5998 × 10−2 | 2.5184 × 10−2 | 2.1201 × 10−2 | 5.9942 × 10−2 | 3.4345 × 10−2 | 3.7676 × 10−2 | 3.1287 × 10−2 | 1.5109 × 10−2 | ||
| 8 | Mean | 0.8406 | 0.8396 | 0.8388 | 0.8088 | 0.8321 | 0.8431 | 0.8564 | 0.8673 | |
| Std | 2.3883 × 10−2 | 1.5080 × 10−2 | 1.8847 × 10−2 | 5.3411 × 10−2 | 2.9464 × 10−2 | 3.0283 × 10−2 | 1.8401 × 10−2 | 2.9894 × 10−2 | ||
| girl | 2 | Mean | 0.7112 | 0.7117 | 0.7139 | 0.6713 | 0.7150 | 0.7006 | 0.7237 | 0.7142 |
| Std | 1.2799 × 10−2 | 4.6222 × 10−3 | 5.2230 × 10−3 | 2.9352 × 10−2 | 4.4213 × 10−3 | 2.4665 × 10−2 | 1.4235 × 10−2 | 1.1010 × 10−3 | ||
| 4 | Mean | 0.7567 | 0.7630 | 0.7499 | 0.7218 | 0.7656 | 0.7535 | 0.7710 | 0.7633 | |
| Std | 1.7069 × 10−2 | 1.8842 × 10−2 | 1.2658 × 10−2 | 2.9799 × 10−2 | 1.9040 × 10−2 | 2.0523 × 10−2 | 1.7734 × 10−2 | 1.7245 × 10−2 | ||
| 6 | Mean | 0.7965 | 0.8028 | 0.7888 | 0.7438 | 0.8000 | 0.7845 | 0.8192 | 0.8061 | |
| Std | 1.1988 × 10−2 | 1.6167 × 10−2 | 1.7080 × 10−2 | 2.8151 × 10−2 | 2.1020 × 10−2 | 2.2669 × 10−2 | 1.5650 × 10−2 | 1.0810 × 10−2 | ||
| 8 | Mean | 0.8292 | 0.8245 | 0.8134 | 0.7683 | 0.8289 | 0.8178 | 0.8384 | 0.8393 | |
| Std | 1.5177 × 10−2 | 1.9972 × 10−2 | 1.4413 × 10−2 | 4.2396 × 10−2 | 2.0191 × 10−2 | 2.2467 × 10−2 | 1.8135 × 10−2 | 1.9169 × 10−2 | ||
| lena | 2 | Mean | 0.6750 | 0.6741 | 0.6748 | 0.6550 | 0.6740 | 0.6729 | 0.6918 | 0.6756 |
| Std | 2.0541 × 10−3 | 2.8705 × 10−3 | 2.2106 × 10−3 | 1.8605 × 10−2 | 5.4465 × 10−3 | 6.6859 × 10−3 | 1.4727 × 10−2 | 6.8122 × 10−4 | ||
| 4 | Mean | 0.7519 | 0.7458 | 0.7463 | 0.7130 | 0.7516 | 0.7348 | 0.7645 | 0.7558 | |
| Std | 1.8542 × 10−2 | 1.4344 × 10−2 | 1.3653 × 10−2 | 2.2234 × 10−2 | 1.2706 × 10−2 | 1.8211 × 10−2 | 2.0902 × 10−2 | 7.3688 × 10−3 | ||
| 6 | Mean | 0.7895 | 0.7973 | 0.7831 | 0.7575 | 0.7923 | 0.7748 | 0.8098 | 0.8021 | |
| Std | 1.7543 × 10−2 | 2.1054 × 10−2 | 1.0209 × 10−2 | 3.1114 × 10−2 | 2.4139 × 10−2 | 2.2130 × 10−2 | 2.0492 × 10−2 | 1.8228 × 10−2 | ||
| 8 | Mean | 0.8234 | 0.8306 | 0.8161 | 0.7927 | 0.8134 | 0.8158 | 0.8422 | 0.8391 | |
| Std | 2.1206 × 10−2 | 2.2532 × 10−2 | 2.4364 × 10−2 | 2.6356 × 10−2 | 2.5657 × 10−2 | 2.4842 × 10−2 | 1.7016 × 10−2 | 1.9242 × 10−2 | ||
| terrace | 2 | Mean | 0.7180 | 0.7157 | 0.7151 | 0.6502 | 0.7178 | 0.7101 | 0.7266 | 0.7189 |
| Std | 6.1246 × 10−3 | 9.7951 × 10−3 | 8.1491 × 10−3 | 3.5896 × 10−2 | 9.2031 × 10−3 | 1.9561 × 10−2 | 1.8131 × 10−2 | 2.6326 × 10−3 | ||
| 4 | Mean | 0.8000 | 0.8030 | 0.7944 | 0.7389 | 0.7999 | 0.7831 | 0.8159 | 0.8031 | |
| Std | 1.1367 × 10−2 | 1.4760 × 10−2 | 1.6856 × 10−2 | 3.1845 × 10−2 | 1.5835 × 10−2 | 2.5196 × 10−2 | 1.3461 × 10−2 | 7.0059 × 10−3 | ||
| 6 | Mean | 0.8473 | 0.8480 | 0.8397 | 0.7762 | 0.8406 | 0.8223 | 0.8549 | 0.8650 | |
| Std | 1.7424 × 10−2 | 1.5870 × 10−2 | 1.8075 × 10−2 | 2.7075 × 10−2 | 2.0203 × 10−2 | 2.7091 × 10−2 | 1.3566 × 10−2 | 1.3493 × 10−2 | ||
| 8 | Mean | 0.8732 | 0.8800 | 0.8610 | 0.8087 | 0.8680 | 0.8506 | 0.8919 | 0.8804 | |
| Std | 1.6628 × 10−2 | 1.7667 × 10−2 | 1.9411 × 10−2 | 3.8607 × 10−2 | 2.5826 × 10−2 | 2.4051 × 10−2 | 1.4321 × 10−2 | 1.6522 × 10−2 | ||
| Friedman-Rank | 4.03 | 3.95 | 4.93 | 7.69 | 4.27 | 5.46 | 3.51 | 2.16 | ||
| Final-Rank | 4 | 3 | 6 | 8 | 5 | 7 | 2 | 1 | ||
Disclaimer/Publisher’s Note: The statements, opinions and data contained in all publications are solely those of the individual author(s) and contributor(s) and not of MDPI and/or the editor(s). MDPI and/or the editor(s) disclaim responsibility for any injury to people or property resulting from any ideas, methods, instructions or products referred to in the content. |
© 2025 by the authors. Licensee MDPI, Basel, Switzerland. This article is an open access article distributed under the terms and conditions of the Creative Commons Attribution (CC BY) license (https://creativecommons.org/licenses/by/4.0/).
Share and Cite
Yuan, X.; Zhu, Z.; Yang, Z.; Zhang, Y. MSCSO: A Modified Sand Cat Swarm Optimization for Global Optimization and Multilevel Thresholding Image Segmentation. Symmetry 2025, 17, 2012. https://doi.org/10.3390/sym17112012
Yuan X, Zhu Z, Yang Z, Zhang Y. MSCSO: A Modified Sand Cat Swarm Optimization for Global Optimization and Multilevel Thresholding Image Segmentation. Symmetry. 2025; 17(11):2012. https://doi.org/10.3390/sym17112012
Chicago/Turabian StyleYuan, Xuanqi, Zihao Zhu, Zhengxing Yang, and Yongnian Zhang. 2025. "MSCSO: A Modified Sand Cat Swarm Optimization for Global Optimization and Multilevel Thresholding Image Segmentation" Symmetry 17, no. 11: 2012. https://doi.org/10.3390/sym17112012
APA StyleYuan, X., Zhu, Z., Yang, Z., & Zhang, Y. (2025). MSCSO: A Modified Sand Cat Swarm Optimization for Global Optimization and Multilevel Thresholding Image Segmentation. Symmetry, 17(11), 2012. https://doi.org/10.3390/sym17112012








































