Multi-Threshold Image Segmentation Based on the Hybrid Strategy Improved Dingo Optimization Algorithm
Abstract
1. Introduction
- (1)
- A hybrid improved Dingo Optimization Algorithm (HSIDOA) integrating three enhancement strategies is proposed to address the core limitations of the standard DOA, including weak local exploitation, rapid loss of population diversity, and inefficient boundary handling. This provides a new solution framework for tackling complex optimization problems.
- (2)
- Extensive experiments on the CEC2017 and CEC2022 benchmark suites are conducted to comprehensively validate the superiority of HSIDOA.
- (3)
- HSIDOA is successfully applied to multi-threshold image segmentation tasks, demonstrating its practical effectiveness in real engineering applications and offering new technical support for advancing image segmentation methods.
2. Dingo Optimization Algorithm and the Proposed HSIDOA
2.1. Dingo Optimization Algorithm (DOA)
2.2. Hybrid Strategy Improved Dingo Optimization Algorithm (HSIDOA)
2.2.1. Quadratic Interpolation Search Strategy
2.2.2. Horizontal Crossover Search Strategy
2.2.3. Centroid-Based Opposition Learning Boundary-Handling Strategy
| Algorithm 1: The pseudo-code of the HSIDOA |
| 1: Initialization of parameters. 2: , probability of hunting or scavenger strategy. 3: , probability of Strategy1 (groupattack) or Strategy2 (persecution attack). 4: Initialization population . 5: while do 6: 7: for do 8: if do 9: if do 10: Strategy1: Update by Equation (1). 11: else 12: Strategy2: Update by Equation (2). 13: end if 14: else 15: Strategy3: Update by Equation (6) and Equation (7) (Quadratic interpolation). 16: end if 17: % Survival mechanism 18: if do 19: Strategy2: Update by Equation (5). 20: end if 21: Update by Equation (8) (Horizontal crossover strategy). 22: Perform boundary checking and handling using Equation (9). 23: end for 24: 25: end while 26: return the best solution . |
- (1)
- The random selection of search agents in the group attack and pursuit strategies (Equations (1)–(3));
- (2)
- The generation of random coefficients and binary variables controlling movement directions and survival decisions (Equations (2), (3) and (5));
- (3)
- The random selection of individuals and weights in the quadratic interpolation strategy (Equations (6) and (7)); and
- (4)
- The random weights and shift coefficients used in the horizontal crossover strategy (Equation (8)).
2.3. Complexity Analysis of HSIDOA
3. Numerical Experiments of CEC2017 and CEC2022
3.1. Comparative Methods and Parameter Settings
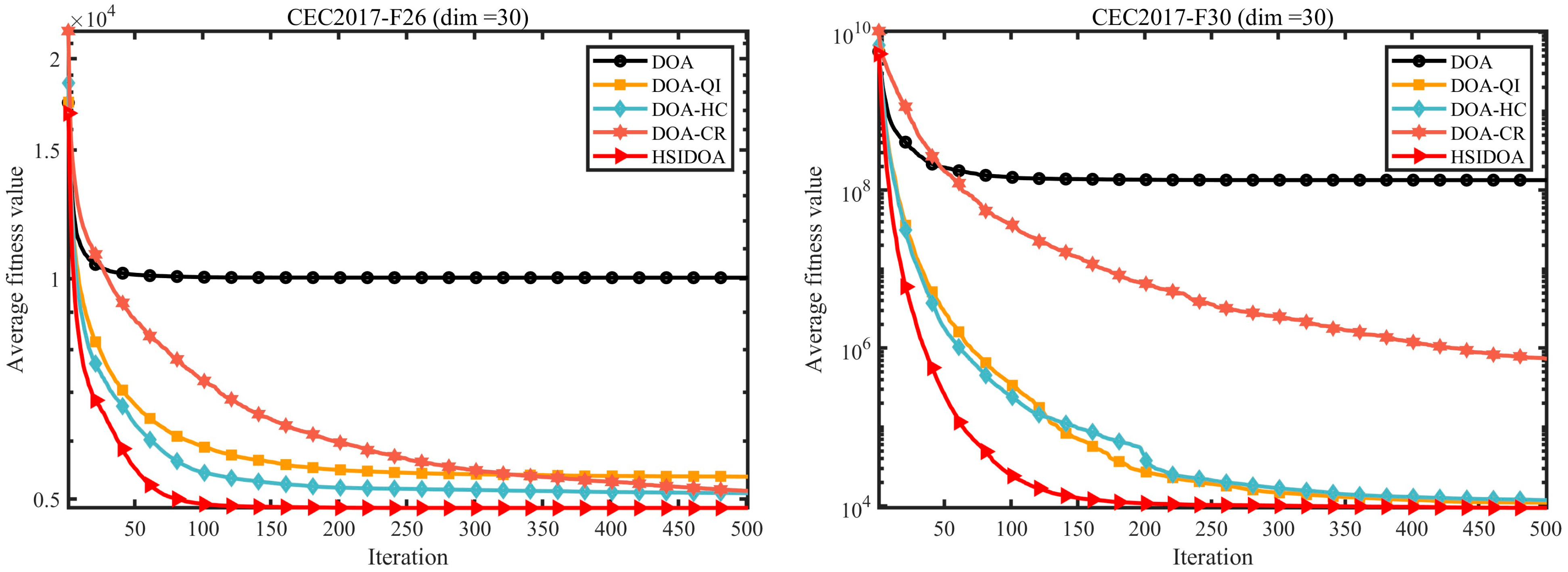
3.2. Ablation Study Assessment
3.3. Performance Assessment Using CEC2017 and CEC2022 Benchmarks
3.4. Runtime Comparison Between the DOA and HSIDOA
3.5. Statistical Evaluation via Friedman Test
4. Multilevel Thresholding Image Segmentation
4.1. Evaluation Metrics
4.2. Experimental Design
4.3. Experimental Results and Analysis
| Images | TH = 4 | TH = 6 | TH = 8 | TH = 10 |
|---|---|---|---|---|
| barbara | ![]() | ![]() | ![]() | ![]() |
![]() | ![]() | ![]() | ![]() | |
| camera | ![]() | ![]() | ![]() | ![]() |
![]() | ![]() | ![]() | ![]() | |
| couple | ![]() | ![]() | ![]() | ![]() |
![]() | ![]() | ![]() | ![]() | |
| house | ![]() | ![]() | ![]() | ![]() |
![]() | ![]() | ![]() | ![]() | |
| peppers | ![]() | ![]() | ![]() | ![]() |
![]() | ![]() | ![]() | ![]() | |
| terrace | ![]() | ![]() | ![]() | ![]() |
![]() | ![]() | ![]() | ![]() |
| Images | TH | Metrics | MLPSO | MELGWO | MHWOA | ALA | HO | RIME | DOA | HSIDOA |
|---|---|---|---|---|---|---|---|---|---|---|
| barbara | 4 | Mean | 2.6446E+03 | 2.6446E+03 | 2.6445E+03 | 2.6446E+03 | 2.6446E+03 | 2.6446E+03 | 2.6446E+03 | 2.6446E+03 |
| Std | 1.8501E−12 | 1.8501E−12 | 1.1825E−01 | 1.8501E−12 | 1.0179E−01 | 1.8576E−02 | 1.1312E−02 | 1.8501E−12 | ||
| 6 | Mean | 2.7013E+03 | 2.7015E+03 | 2.7013E+03 | 2.7015E+03 | 2.7012E+03 | 2.7015E+03 | 2.7003E+03 | 2.7015E+03 | |
| Std | 2.2827E−01 | 4.3652E−02 | 1.9625E−01 | 1.1196E−01 | 5.8174E−01 | 3.1921E−02 | 1.7998E+00 | 6.6734E−03 | ||
| 8 | Mean | 2.7246E+03 | 2.7273E+03 | 2.7252E+03 | 2.7262E+03 | 2.7257E+03 | 2.7270E+03 | 2.7231E+03 | 2.7273E+03 | |
| Std | 1.7000E+00 | 8.2424E−02 | 2.6157E+00 | 9.9594E−01 | 1.8616E+00 | 2.2665E−01 | 3.0328E+00 | 2.2218E−02 | ||
| 10 | Mean | 2.7354E+03 | 2.7397E+03 | 2.7375E+03 | 2.7378E+03 | 2.7373E+03 | 2.7390E+03 | 2.7350E+03 | 2.7398E+03 | |
| Std | 1.7997E+00 | 2.6102E−01 | 1.5373E+00 | 1.2587E+00 | 2.4349E+00 | 5.3751E−01 | 2.0969E+00 | 6.0808E−02 | ||
| camera | 4 | Mean | 4.5999E+03 | 4.5997E+03 | 4.5996E+03 | 4.6000E+03 | 4.5991E+03 | 4.6003E+03 | 4.5997E+03 | 4.6011E+03 |
| Std | 1.1002E+00 | 9.3601E−01 | 9.9506E−01 | 1.2217E+00 | 1.5154E+00 | 1.1147E+00 | 1.1793E+00 | 6.7739E−03 | ||
| 6 | Mean | 4.6512E+03 | 4.6517E+03 | 4.6499E+03 | 4.6512E+03 | 4.6508E+03 | 4.6515E+03 | 4.6489E+03 | 4.6517E+03 | |
| Std | 3.2187E−01 | 1.2312E−02 | 1.3486E+00 | 5.3850E−01 | 2.6366E+00 | 1.1119E−01 | 4.2572E+00 | 9.2504E−13 | ||
| 8 | Mean | 4.6681E+03 | 4.6698E+03 | 4.6681E+03 | 4.6686E+03 | 4.6691E+03 | 4.6695E+03 | 4.6663E+03 | 4.6705E+03 | |
| Std | 1.0513E+00 | 8.7608E−01 | 1.7729E+00 | 1.3276E+00 | 1.0017E+00 | 8.4293E−01 | 2.5297E+00 | 4.0915E−01 | ||
| 10 | Mean | 4.6782E+03 | 4.6807E+03 | 4.6778E+03 | 4.6791E+03 | 4.6779E+03 | 4.6803E+03 | 4.6767E+03 | 4.6809E+03 | |
| Std | 1.2825E+00 | 1.9677E−01 | 1.8599E+00 | 1.2302E+00 | 3.1080E+00 | 4.2975E−01 | 2.2110E+00 | 4.0804E−02 | ||
| couple | 4 | Mean | 1.7332E+03 | 1.7333E+03 | 1.7329E+03 | 1.7333E+03 | 1.7331E+03 | 1.7333E+03 | 1.7332E+03 | 1.7333E+03 |
| Std | 5.5630E−02 | 6.7390E−03 | 9.8805E−01 | 7.3788E−02 | 3.7494E−01 | 3.6828E−02 | 1.7161E−01 | 1.4427E−02 | ||
| 6 | Mean | 1.7981E+03 | 1.7991E+03 | 1.7970E+03 | 1.7989E+03 | 1.7981E+03 | 1.7990E+03 | 1.7966E+03 | 1.7992E+03 | |
| Std | 7.5436E−01 | 9.3963E−03 | 4.9228E+00 | 3.5548E−01 | 1.4095E+00 | 1.0839E−01 | 3.0856E+00 | 1.7133E−03 | ||
| 8 | Mean | 1.8238E+03 | 1.8262E+03 | 1.8234E+03 | 1.8255E+03 | 1.8255E+03 | 1.8260E+03 | 1.8232E+03 | 1.8263E+03 | |
| Std | 1.3559E+00 | 7.7599E−01 | 4.0845E+00 | 6.2877E−01 | 1.0417E+00 | 3.8584E−01 | 2.5732E+00 | 2.8180E−02 | ||
| 10 | Mean | 1.8362E+03 | 1.8396E+03 | 1.8369E+03 | 1.8374E+03 | 1.8364E+03 | 1.8389E+03 | 1.8336E+03 | 1.8397E+03 | |
| Std | 1.3290E+00 | 2.9857E−01 | 2.0820E+00 | 1.5461E+00 | 2.8100E+00 | 6.7103E−01 | 3.1915E+00 | 9.3897E−02 | ||
| house | 4 | Mean | 2.3719E+03 | 2.3720E+03 | 2.3706E+03 | 2.3720E+03 | 2.3719E+03 | 2.3719E+03 | 2.3720E+03 | 2.3720E+03 |
| Std | 4.0575E−02 | 1.3876E−12 | 3.8122E+00 | 3.4401E−02 | 1.3731E−01 | 5.3742E−02 | 5.4077E−02 | 5.1769E−03 | ||
| 6 | Mean | 2.4248E+03 | 2.4254E+03 | 2.4222E+03 | 2.4251E+03 | 2.4248E+03 | 2.4254E+03 | 2.4239E+03 | 2.4255E+03 | |
| Std | 5.2936E−01 | 4.8408E−02 | 6.2187E+00 | 4.6029E−01 | 6.9934E−01 | 1.6083E−01 | 1.8259E+00 | 1.2246E−02 | ||
| 8 | Mean | 2.4485E+03 | 2.4511E+03 | 2.4479E+03 | 2.4500E+03 | 2.4496E+03 | 2.4507E+03 | 2.4482E+03 | 2.4511E+03 | |
| Std | 1.3233E+00 | 2.1360E−01 | 3.1648E+00 | 1.2558E+00 | 2.1231E+00 | 3.6582E−01 | 3.2172E+00 | 3.3382E−02 | ||
| 10 | Mean | 2.4600E+03 | 2.4642E+03 | 2.4615E+03 | 2.4621E+03 | 2.4618E+03 | 2.4635E+03 | 2.4586E+03 | 2.4644E+03 | |
| Std | 1.3821E+00 | 2.5395E−01 | 2.5339E+00 | 1.8555E+00 | 2.2085E+00 | 7.8285E−01 | 2.3244E+00 | 9.0103E−02 | ||
| peppers | 4 | Mean | 2.7011E+03 | 2.7011E+03 | 2.7005E+03 | 2.7011E+03 | 2.7010E+03 | 2.7011E+03 | 2.7007E+03 | 2.7011E+03 |
| Std | 1.8380E−01 | 4.8410E−04 | 1.2529E+00 | 5.6126E−02 | 3.2732E−01 | 3.8355E−02 | 1.1449E+00 | 5.4940E−04 | ||
| 6 | Mean | 2.7681E+03 | 2.7690E+03 | 2.7667E+03 | 2.7683E+03 | 2.7680E+03 | 2.7688E+03 | 2.7671E+03 | 2.7690E+03 | |
| Std | 6.5351E−01 | 1.7566E−02 | 4.1420E+00 | 1.3837E+00 | 1.2397E+00 | 1.7230E−01 | 2.4554E+00 | 9.0789E−04 | ||
| 8 | Mean | 2.7927E+03 | 2.7954E+03 | 2.7927E+03 | 2.7939E+03 | 2.7935E+03 | 2.7951E+03 | 2.7916E+03 | 2.7956E+03 | |
| Std | 1.8137E+00 | 6.0072E−01 | 4.9115E+00 | 1.8096E+00 | 2.8571E+00 | 9.1516E−01 | 3.3840E+00 | 3.2251E−02 | ||
| 10 | Mean | 2.8038E+03 | 2.8083E+03 | 2.8055E+03 | 2.8071E+03 | 2.8064E+03 | 2.8079E+03 | 2.8029E+03 | 2.8088E+03 | |
| Std | 1.1457E+00 | 7.1360E−01 | 2.2060E+00 | 1.2128E+00 | 1.5052E+00 | 6.9509E−01 | 3.1952E+00 | 6.0121E−02 | ||
| terrace | 4 | Mean | 2.6402E+03 | 2.6402E+03 | 2.6400E+03 | 2.6402E+03 | 2.6402E+03 | 2.6402E+03 | 2.6402E+03 | 2.6402E+03 |
| Std | 9.0131E−02 | 1.4636E−03 | 3.3886E−01 | 7.5906E−03 | 1.0130E−01 | 3.7978E−02 | 3.5116E−02 | 0.0000E+00 | ||
| 6 | Mean | 2.7014E+03 | 2.7024E+03 | 2.7001E+03 | 2.7022E+03 | 2.7021E+03 | 2.7023E+03 | 2.7013E+03 | 2.7024E+03 | |
| Std | 7.6215E−01 | 1.9623E−02 | 5.2989E+00 | 4.0150E−01 | 4.0884E−01 | 1.2320E−01 | 1.4368E+00 | 1.6013E−02 | ||
| 8 | Mean | 2.7272E+03 | 2.7297E+03 | 2.7274E+03 | 2.7283E+03 | 2.7278E+03 | 2.7294E+03 | 2.7259E+03 | 2.7297E+03 | |
| Std | 1.4240E+00 | 5.7005E−02 | 2.8743E+00 | 1.2549E+00 | 2.3420E+00 | 3.2627E−01 | 2.5382E+00 | 2.1161E−02 | ||
| 10 | Mean | 2.7394E+03 | 2.7434E+03 | 2.7406E+03 | 2.7420E+03 | 2.7408E+03 | 2.7432E+03 | 2.7390E+03 | 2.7437E+03 | |
| Std | 2.2468E+00 | 5.6941E−01 | 3.2009E+00 | 1.5874E+00 | 2.9178E+00 | 4.0708E−01 | 1.8502E+00 | 6.0548E−02 | ||
| Friedman-Rank | 6.40 | 2.31 | 5.81 | 4.58 | 5.06 | 4.01 | 6.08 | 1.77 | ||
| Final-Rank | 8 | 2 | 6 | 4 | 5 | 3 | 7 | 1 | ||
| Images | TH | Metrics | MLPSO | MELGWO | MHWOA | ALA | HO | RIME | DOA | HSIDOA |
|---|---|---|---|---|---|---|---|---|---|---|
| barbara | 4 | Mean | 0.6579 | 0.6579 | 0.6580 | 0.6579 | 0.6580 | 0.6580 | 0.6580 | 0.6579 |
| Std | 0.0000 | 0.0000 | 0.0009 | 0.0000 | 0.0008 | 0.0002 | 0.0002 | 0.0000 | ||
| 6 | Mean | 0.7402 | 0.7395 | 0.7398 | 0.7398 | 0.7400 | 0.7396 | 0.7383 | 0.7398 | |
| Std | 0.0026 | 0.0006 | 0.0033 | 0.0016 | 0.0044 | 0.0009 | 0.0040 | 0.0012 | ||
| 8 | Mean | 0.7975 | 0.8003 | 0.8003 | 0.8005 | 0.7970 | 0.7994 | 0.7871 | 0.8021 | |
| Std | 0.0077 | 0.0027 | 0.0072 | 0.0038 | 0.0117 | 0.0031 | 0.0142 | 0.0020 | ||
| 10 | Mean | 0.8276 | 0.8382 | 0.8369 | 0.8351 | 0.8271 | 0.8364 | 0.8241 | 0.8392 | |
| Std | 0.0138 | 0.0054 | 0.0199 | 0.0115 | 0.0163 | 0.0070 | 0.0130 | 0.0028 | ||
| camera | 4 | Mean | 0.7219 | 0.7094 | 0.7139 | 0.7235 | 0.7004 | 0.7306 | 0.7118 | 0.7591 |
| Std | 0.0368 | 0.0330 | 0.0338 | 0.0390 | 0.0422 | 0.0355 | 0.0375 | 0.0005 | ||
| 6 | Mean | 0.8025 | 0.8035 | 0.8006 | 0.8030 | 0.8009 | 0.8029 | 0.7925 | 0.8054 | |
| Std | 0.0081 | 0.0018 | 0.0193 | 0.0085 | 0.0165 | 0.0039 | 0.0243 | 0.0000 | ||
| 8 | Mean | 0.8324 | 0.8349 | 0.8294 | 0.8365 | 0.8361 | 0.8331 | 0.8318 | 0.8323 | |
| Std | 0.0131 | 0.0053 | 0.0105 | 0.0108 | 0.0111 | 0.0067 | 0.0090 | 0.0020 | ||
| 10 | Mean | 0.8500 | 0.8590 | 0.8499 | 0.8552 | 0.8524 | 0.8612 | 0.8482 | 0.8639 | |
| Std | 0.0138 | 0.0068 | 0.0122 | 0.0117 | 0.0208 | 0.0066 | 0.0158 | 0.0023 | ||
| couple | 4 | Mean | 0.7292 | 0.7298 | 0.7307 | 0.7299 | 0.7293 | 0.7291 | 0.7293 | 0.7297 |
| Std | 0.0017 | 0.0006 | 0.0047 | 0.0020 | 0.0049 | 0.0014 | 0.0022 | 0.0008 | ||
| 6 | Mean | 0.8291 | 0.8331 | 0.8289 | 0.8318 | 0.8278 | 0.8328 | 0.8268 | 0.8331 | |
| Std | 0.0057 | 0.0006 | 0.0089 | 0.0026 | 0.0079 | 0.0014 | 0.0081 | 0.0002 | ||
| 8 | Mean | 0.8707 | 0.8772 | 0.8718 | 0.8754 | 0.8748 | 0.8764 | 0.8715 | 0.8774 | |
| Std | 0.0048 | 0.0010 | 0.0079 | 0.0023 | 0.0042 | 0.0017 | 0.0055 | 0.0006 | ||
| 10 | Mean | 0.8966 | 0.9039 | 0.8998 | 0.9015 | 0.9011 | 0.9036 | 0.8916 | 0.9037 | |
| Std | 0.0051 | 0.0006 | 0.0047 | 0.0031 | 0.0067 | 0.0022 | 0.0075 | 0.0005 | ||
| house | 4 | Mean | 0.7522 | 0.7533 | 0.7515 | 0.7530 | 0.7528 | 0.7524 | 0.7525 | 0.7532 |
| Std | 0.0018 | 0.0000 | 0.0079 | 0.0011 | 0.0022 | 0.0019 | 0.0018 | 0.0005 | ||
| 6 | Mean | 0.8053 | 0.8067 | 0.8046 | 0.8060 | 0.8030 | 0.8083 | 0.8027 | 0.8090 | |
| Std | 0.0076 | 0.0037 | 0.0113 | 0.0085 | 0.0107 | 0.0046 | 0.0088 | 0.0021 | ||
| 8 | Mean | 0.8541 | 0.8612 | 0.8530 | 0.8599 | 0.8585 | 0.8598 | 0.8545 | 0.8612 | |
| Std | 0.0078 | 0.0016 | 0.0072 | 0.0061 | 0.0092 | 0.0032 | 0.0105 | 0.0009 | ||
| 10 | Mean | 0.8799 | 0.8845 | 0.8799 | 0.8841 | 0.8831 | 0.8854 | 0.8751 | 0.8856 | |
| Std | 0.0070 | 0.0023 | 0.0053 | 0.0038 | 0.0081 | 0.0036 | 0.0109 | 0.0014 | ||
| peppers | 4 | Mean | 0.7146 | 0.7138 | 0.7132 | 0.7145 | 0.7141 | 0.7142 | 0.7129 | 0.7139 |
| Std | 0.0017 | 0.0006 | 0.0034 | 0.0012 | 0.0028 | 0.0010 | 0.0042 | 0.0006 | ||
| 6 | Mean | 0.7855 | 0.7870 | 0.7834 | 0.7847 | 0.7833 | 0.7871 | 0.7839 | 0.7869 | |
| Std | 0.0032 | 0.0005 | 0.0047 | 0.0044 | 0.0055 | 0.0011 | 0.0045 | 0.0001 | ||
| 8 | Mean | 0.8163 | 0.8194 | 0.8183 | 0.8170 | 0.8169 | 0.8188 | 0.8152 | 0.8190 | |
| Std | 0.0047 | 0.0012 | 0.0048 | 0.0039 | 0.0073 | 0.0025 | 0.0065 | 0.0007 | ||
| 10 | Mean | 0.8437 | 0.8545 | 0.8513 | 0.8521 | 0.8519 | 0.8541 | 0.8424 | 0.8574 | |
| Std | 0.0091 | 0.0052 | 0.0090 | 0.0070 | 0.0086 | 0.0051 | 0.0102 | 0.0021 | ||
| terrace | 4 | Mean | 0.7191 | 0.7197 | 0.7183 | 0.7189 | 0.7194 | 0.7194 | 0.7195 | 0.7203 |
| Std | 0.0017 | 0.0012 | 0.0029 | 0.0016 | 0.0022 | 0.0015 | 0.0014 | 0.0000 | ||
| 6 | Mean | 0.8043 | 0.8047 | 0.8037 | 0.8045 | 0.8053 | 0.8046 | 0.8034 | 0.8049 | |
| Std | 0.0064 | 0.0009 | 0.0074 | 0.0033 | 0.0056 | 0.0016 | 0.0059 | 0.0005 | ||
| 8 | Mean | 0.8509 | 0.8583 | 0.8585 | 0.8563 | 0.8596 | 0.8583 | 0.8503 | 0.8595 | |
| Std | 0.0117 | 0.0037 | 0.0114 | 0.0118 | 0.0135 | 0.0044 | 0.0126 | 0.0023 | ||
| 10 | Mean | 0.8808 | 0.8943 | 0.8927 | 0.8910 | 0.8892 | 0.8945 | 0.8830 | 0.8973 | |
| Std | 0.0119 | 0.0081 | 0.0117 | 0.0110 | 0.0133 | 0.0044 | 0.0123 | 0.0031 | ||
| Friedman-Rank | 5.32 | 3.97 | 4.48 | 4.53 | 4.30 | 4.23 | 5.42 | 3.78 | ||
| Final-Rank | 7 | 2 | 5 | 6 | 4 | 3 | 8 | 1 | ||
| Images | TH | Metrics | MLPSO | MELGWO | MHWOA | ALA | HO | RIME | DOA | HSIDOA |
|---|---|---|---|---|---|---|---|---|---|---|
| barbara | 4 | Mean | 18.7687 | 18.7687 | 18.7754 | 18.7687 | 18.7742 | 18.7715 | 18.7706 | 18.7687 |
| Std | 0.0000 | 0.0000 | 0.0343 | 0.0000 | 0.0292 | 0.0108 | 0.0104 | 0.0000 | ||
| 6 | Mean | 21.1056 | 21.0581 | 21.0720 | 21.0744 | 21.0985 | 21.0657 | 21.0383 | 21.0724 | |
| Std | 0.0749 | 0.0162 | 0.1027 | 0.0513 | 0.1392 | 0.0257 | 0.1195 | 0.0315 | ||
| 8 | Mean | 22.8984 | 23.1373 | 23.1238 | 23.0987 | 22.9307 | 23.0807 | 22.7035 | 23.1484 | |
| Std | 0.5153 | 0.1430 | 0.6066 | 0.4438 | 0.4693 | 0.2101 | 0.6279 | 0.0769 | ||
| 10 | Mean | 24.2231 | 24.6002 | 24.5457 | 24.4955 | 24.1397 | 24.5400 | 24.0456 | 24.6670 | |
| Std | 0.5547 | 0.2412 | 0.7793 | 0.4921 | 0.7115 | 0.2821 | 0.5463 | 0.1035 | ||
| camera | 4 | Mean | 18.9294 | 18.5994 | 18.7320 | 18.9734 | 18.4484 | 19.1542 | 18.6721 | 19.8709 |
| Std | 0.9407 | 0.8469 | 0.8740 | 0.9739 | 1.0156 | 0.9036 | 0.9377 | 0.0017 | ||
| 6 | Mean | 21.8559 | 21.8864 | 21.7933 | 21.8697 | 21.7821 | 21.8808 | 21.5220 | 21.9353 | |
| Std | 0.2054 | 0.0453 | 0.4809 | 0.2137 | 0.5846 | 0.0957 | 0.8436 | 0.0000 | ||
| 8 | Mean | 23.1978 | 23.1965 | 22.9992 | 23.3041 | 23.2948 | 23.1727 | 23.1015 | 23.0499 | |
| Std | 0.3854 | 0.2608 | 0.3509 | 0.4165 | 0.3720 | 0.3103 | 0.3123 | 0.0927 | ||
| 10 | Mean | 24.0360 | 24.2538 | 23.8939 | 24.1306 | 24.1297 | 24.3875 | 23.7676 | 24.5336 | |
| Std | 0.5270 | 0.3585 | 0.4924 | 0.4725 | 0.8246 | 0.3140 | 0.6367 | 0.1153 | ||
| couple | 4 | Mean | 20.2511 | 20.2671 | 20.2696 | 20.2655 | 20.2446 | 20.2493 | 20.2562 | 20.2642 |
| Std | 0.0322 | 0.0112 | 0.0801 | 0.0367 | 0.0991 | 0.0290 | 0.0386 | 0.0160 | ||
| 6 | Mean | 23.3637 | 23.4603 | 23.2775 | 23.4357 | 23.3265 | 23.4466 | 23.2161 | 23.4593 | |
| Std | 0.1078 | 0.0080 | 0.3216 | 0.0407 | 0.2220 | 0.0270 | 0.2799 | 0.0020 | ||
| 8 | Mean | 25.1037 | 25.3984 | 25.1340 | 25.3242 | 25.2906 | 25.3662 | 25.1022 | 25.4057 | |
| Std | 0.1997 | 0.0498 | 0.3688 | 0.0682 | 0.1946 | 0.0460 | 0.2444 | 0.0176 | ||
| 10 | Mean | 26.4901 | 26.8328 | 26.5355 | 26.6780 | 26.6230 | 26.8192 | 26.1788 | 26.8305 | |
| Std | 0.2264 | 0.0424 | 0.2508 | 0.1792 | 0.3779 | 0.1095 | 0.3405 | 0.0345 | ||
| house | 4 | Mean | 20.1139 | 20.1089 | 20.0593 | 20.1197 | 20.1242 | 20.1128 | 20.1117 | 20.1103 |
| Std | 0.0409 | 0.0000 | 0.2165 | 0.0226 | 0.0348 | 0.0359 | 0.0215 | 0.0056 | ||
| 6 | Mean | 22.7620 | 22.8198 | 22.6517 | 22.7692 | 22.6312 | 22.8907 | 22.5937 | 22.9530 | |
| Std | 0.3376 | 0.1901 | 0.5245 | 0.3927 | 0.4345 | 0.2252 | 0.4027 | 0.1067 | ||
| 8 | Mean | 24.9525 | 25.2679 | 24.8679 | 25.1631 | 25.0955 | 25.2093 | 24.9175 | 25.2723 | |
| Std | 0.2515 | 0.0439 | 0.3802 | 0.2133 | 0.2991 | 0.0971 | 0.5206 | 0.0240 | ||
| 10 | Mean | 26.2343 | 26.6082 | 26.2897 | 26.5158 | 26.4671 | 26.6507 | 25.9875 | 26.6816 | |
| Std | 0.2996 | 0.1345 | 0.3317 | 0.2261 | 0.3630 | 0.1961 | 0.5441 | 0.0529 | ||
| peppers | 4 | Mean | 20.4566 | 20.4548 | 20.4269 | 20.4444 | 20.4482 | 20.4484 | 20.4225 | 20.4527 |
| Std | 0.0251 | 0.0116 | 0.0620 | 0.0162 | 0.0272 | 0.0155 | 0.1224 | 0.0132 | ||
| 6 | Mean | 23.1683 | 23.2267 | 23.1109 | 23.2052 | 23.1832 | 23.2084 | 23.1097 | 23.2275 | |
| Std | 0.0953 | 0.0077 | 0.1688 | 0.0599 | 0.1097 | 0.0315 | 0.1818 | 0.0011 | ||
| 8 | Mean | 24.7435 | 24.9532 | 24.7874 | 24.8494 | 24.8742 | 24.9318 | 24.6542 | 24.9561 | |
| Std | 0.2162 | 0.0149 | 0.3259 | 0.1853 | 0.2413 | 0.0528 | 0.2548 | 0.0161 | ||
| 10 | Mean | 26.0604 | 26.6374 | 26.3212 | 26.4576 | 26.3887 | 26.5862 | 25.8948 | 26.7557 | |
| Std | 0.2716 | 0.1609 | 0.3020 | 0.2508 | 0.2936 | 0.1521 | 0.4084 | 0.0318 | ||
| terrace | 4 | Mean | 21.4769 | 21.4775 | 21.4776 | 21.4798 | 21.4779 | 21.4780 | 21.4781 | 21.4759 |
| Std | 0.0083 | 0.0037 | 0.0213 | 0.0055 | 0.0087 | 0.0057 | 0.0045 | 0.0000 | ||
| 6 | Mean | 23.9677 | 24.0164 | 23.9086 | 24.0080 | 24.0076 | 24.0151 | 23.9629 | 24.0178 | |
| Std | 0.0845 | 0.0048 | 0.2672 | 0.0270 | 0.0419 | 0.0321 | 0.0806 | 0.0108 | ||
| 8 | Mean | 25.7496 | 25.9755 | 25.7750 | 25.8424 | 25.8017 | 25.9586 | 25.6529 | 25.9688 | |
| Std | 0.1338 | 0.0089 | 0.2325 | 0.1193 | 0.2179 | 0.0341 | 0.1929 | 0.0078 | ||
| 10 | Mean | 27.0519 | 27.5590 | 27.1869 | 27.3678 | 27.2138 | 27.5236 | 27.0133 | 27.5908 | |
| Std | 0.2984 | 0.0875 | 0.3908 | 0.1987 | 0.3623 | 0.0701 | 0.2114 | 0.0172 | ||
| Friedman-Rank | 5.61 | 3.68 | 4.87 | 4.40 | 4.77 | 3.73 | 6.20 | 2.75 | ||
| Final-Rank | 7 | 2 | 6 | 4 | 5 | 3 | 8 | 1 | ||
| Images | TH | Metrics | MLPSO | MELGWO | MHWOA | ALA | HO | RIME | DOA | HSIDOA |
|---|---|---|---|---|---|---|---|---|---|---|
| barbara | 4 | Mean | 0.8131 | 0.8131 | 0.8131 | 0.8131 | 0.8131 | 0.8131 | 0.8131 | 0.8132 |
| Std | 0.0000 | 0.0000 | 0.0006 | 0.0000 | 0.0005 | 0.0002 | 0.0002 | 0.0000 | ||
| 6 | Mean | 0.8641 | 0.8636 | 0.8636 | 0.8637 | 0.8639 | 0.8638 | 0.8627 | 0.8637 | |
| Std | 0.0009 | 0.0001 | 0.0008 | 0.0005 | 0.0008 | 0.0002 | 0.0021 | 0.0004 | ||
| 8 | Mean | 0.8889 | 0.8915 | 0.8902 | 0.8914 | 0.8903 | 0.8913 | 0.8860 | 0.8915 | |
| Std | 0.0029 | 0.0005 | 0.0020 | 0.0016 | 0.0027 | 0.0008 | 0.0045 | 0.0004 | ||
| 10 | Mean | 0.9036 | 0.9120 | 0.9085 | 0.9085 | 0.9082 | 0.9107 | 0.9040 | 0.9123 | |
| Std | 0.0041 | 0.0015 | 0.0045 | 0.0030 | 0.0039 | 0.0017 | 0.0043 | 0.0007 | ||
| camera | 4 | Mean | 0.8355 | 0.8378 | 0.8362 | 0.8346 | 0.8309 | 0.8341 | 0.8358 | 0.8328 |
| Std | 0.0049 | 0.0034 | 0.0050 | 0.0056 | 0.0085 | 0.0048 | 0.0058 | 0.0001 | ||
| 6 | Mean | 0.8774 | 0.8782 | 0.8753 | 0.8775 | 0.8777 | 0.8776 | 0.8740 | 0.8791 | |
| Std | 0.0038 | 0.0008 | 0.0077 | 0.0036 | 0.0035 | 0.0018 | 0.0058 | 0.0000 | ||
| 8 | Mean | 0.9007 | 0.9028 | 0.8986 | 0.9017 | 0.9025 | 0.9016 | 0.8983 | 0.9024 | |
| Std | 0.0043 | 0.0013 | 0.0053 | 0.0036 | 0.0026 | 0.0021 | 0.0040 | 0.0006 | ||
| 10 | Mean | 0.9129 | 0.9188 | 0.9128 | 0.9152 | 0.9135 | 0.9188 | 0.9113 | 0.9203 | |
| Std | 0.0050 | 0.0015 | 0.0056 | 0.0048 | 0.0094 | 0.0017 | 0.0073 | 0.0006 | ||
| couple | 4 | Mean | 0.8007 | 0.8009 | 0.8011 | 0.8010 | 0.8005 | 0.8006 | 0.8007 | 0.8008 |
| Std | 0.0006 | 0.0001 | 0.0018 | 0.0009 | 0.0022 | 0.0005 | 0.0009 | 0.0002 | ||
| 6 | Mean | 0.8710 | 0.8730 | 0.8703 | 0.8722 | 0.8708 | 0.8732 | 0.8690 | 0.8730 | |
| Std | 0.0023 | 0.0005 | 0.0067 | 0.0018 | 0.0035 | 0.0008 | 0.0061 | 0.0001 | ||
| 8 | Mean | 0.9069 | 0.9122 | 0.9084 | 0.9108 | 0.9105 | 0.9115 | 0.9060 | 0.9118 | |
| Std | 0.0040 | 0.0007 | 0.0062 | 0.0025 | 0.0024 | 0.0011 | 0.0056 | 0.0006 | ||
| 10 | Mean | 0.9270 | 0.9336 | 0.9287 | 0.9308 | 0.9291 | 0.9330 | 0.9212 | 0.9338 | |
| Std | 0.0041 | 0.0013 | 0.0052 | 0.0041 | 0.0061 | 0.0019 | 0.0056 | 0.0006 | ||
| house | 4 | Mean | 0.8201 | 0.8205 | 0.8202 | 0.8204 | 0.8204 | 0.8202 | 0.8202 | 0.8204 |
| Std | 0.0006 | 0.0000 | 0.0033 | 0.0003 | 0.0009 | 0.0007 | 0.0007 | 0.0001 | ||
| 6 | Mean | 0.8634 | 0.8645 | 0.8627 | 0.8643 | 0.8620 | 0.8658 | 0.8615 | 0.8665 | |
| Std | 0.0057 | 0.0029 | 0.0098 | 0.0062 | 0.0073 | 0.0036 | 0.0067 | 0.0016 | ||
| 8 | Mean | 0.9011 | 0.9066 | 0.8998 | 0.9051 | 0.9038 | 0.9055 | 0.9010 | 0.9069 | |
| Std | 0.0063 | 0.0012 | 0.0066 | 0.0041 | 0.0059 | 0.0021 | 0.0081 | 0.0007 | ||
| 10 | Mean | 0.9188 | 0.9244 | 0.9191 | 0.9235 | 0.9227 | 0.9252 | 0.9154 | 0.9255 | |
| Std | 0.0053 | 0.0025 | 0.0053 | 0.0035 | 0.0060 | 0.0032 | 0.0086 | 0.0009 | ||
| peppers | 4 | Mean | 0.7867 | 0.7868 | 0.7861 | 0.7869 | 0.7866 | 0.7866 | 0.7864 | 0.7868 |
| Std | 0.0005 | 0.0000 | 0.0012 | 0.0003 | 0.0007 | 0.0004 | 0.0007 | 0.0000 | ||
| 6 | Mean | 0.8486 | 0.8493 | 0.8465 | 0.8486 | 0.8481 | 0.8495 | 0.8475 | 0.8492 | |
| Std | 0.0016 | 0.0002 | 0.0046 | 0.0016 | 0.0020 | 0.0006 | 0.0028 | 0.0001 | ||
| 8 | Mean | 0.8825 | 0.8864 | 0.8833 | 0.8845 | 0.8833 | 0.8859 | 0.8812 | 0.8865 | |
| Std | 0.0030 | 0.0005 | 0.0070 | 0.0021 | 0.0045 | 0.0015 | 0.0050 | 0.0003 | ||
| 10 | Mean | 0.9029 | 0.9138 | 0.9068 | 0.9109 | 0.9092 | 0.9124 | 0.9017 | 0.9145 | |
| Std | 0.0036 | 0.0016 | 0.0056 | 0.0032 | 0.0040 | 0.0021 | 0.0069 | 0.0006 | ||
| terrace | 4 | Mean | 0.8447 | 0.8450 | 0.8441 | 0.8447 | 0.8449 | 0.8448 | 0.8448 | 0.8451 |
| Std | 0.0008 | 0.0004 | 0.0017 | 0.0005 | 0.0009 | 0.0006 | 0.0005 | 0.0000 | ||
| 6 | Mean | 0.9033 | 0.9048 | 0.9024 | 0.9045 | 0.9047 | 0.9047 | 0.9036 | 0.9048 | |
| Std | 0.0027 | 0.0003 | 0.0050 | 0.0012 | 0.0016 | 0.0005 | 0.0036 | 0.0002 | ||
| 8 | Mean | 0.9321 | 0.9372 | 0.9343 | 0.9354 | 0.9366 | 0.9367 | 0.9313 | 0.9379 | |
| Std | 0.0055 | 0.0013 | 0.0065 | 0.0041 | 0.0037 | 0.0016 | 0.0067 | 0.0008 | ||
| 10 | Mean | 0.9484 | 0.9560 | 0.9517 | 0.9534 | 0.9516 | 0.9564 | 0.9470 | 0.9571 | |
| Std | 0.0047 | 0.0023 | 0.0059 | 0.0047 | 0.0065 | 0.0014 | 0.0059 | 0.0010 | ||
| Friedman-Rank | 5.58 | 3.54 | 5.23 | 4.48 | 4.23 | 4.02 | 5.78 | 3.15 | ||
| Final-Rank | 7 | 2 | 6 | 5 | 4 | 3 | 8 | 1 | ||
5. Conclusions and Future Work
Author Contributions
Funding
Institutional Review Board Statement
Informed Consent Statement
Data Availability Statement
Acknowledgments
Conflicts of Interest
References
- Fu, Y.; Liu, D.; Chen, J.; He, L. Secretary bird optimization algorithm: A new metaheuristic for solving global optimization problems. Artif. Intell. Rev. 2024, 57, 123. [Google Scholar] [CrossRef]
- Liu, J.; Yang, J.; Cui, L. mESC: An Enhanced Escape Algorithm Fusing Multiple Strategies for Engineering Optimization. Biomimetics 2025, 10, 232. [Google Scholar] [CrossRef]
- Liu, X.; Li, S.; Wu, Y.; Fu, Z. Graduate Student Evolutionary Algorithm: A Novel Metaheuristic Algorithm for 3D UAV and Robot Path Planning. Biomimetics 2025, 10, 616. [Google Scholar] [CrossRef]
- Luo, X.; Yuan, Y.; Fu, Y.; Huang, H.; Wei, J. A multi-strategy improved Coati optimization algorithm for solving global optimization problems. Clust. Comput. 2025, 28, 264. [Google Scholar] [CrossRef]
- Zhang, Y.; Wang, J.; Zhang, X.; Wang, B. ACPOA: An Adaptive Cooperative Pelican Optimization Algorithm for Global Optimization and Multilevel Thresholding Image Segmentation. Biomimetics 2025, 10, 596. [Google Scholar] [CrossRef]
- Yang, X.; Zhao, S.; Gao, W.; Li, P.; Feng, Z.; Li, L.; Jia, T.; Wang, X. Three-Dimensional Path Planning for UAV Based on Multi-Strategy Dream Optimization Algorithm. Biomimetics 2025, 10, 551. [Google Scholar] [CrossRef]
- Zhu, Y.; Zhang, M.; Huang, Q.; Wu, X.; Wan, L.; Huang, J. Secretary bird optimization algorithm based on quantum computing and multiple strategies improvement for KELM diabetes classification. Sci. Rep. 2025, 15, 3774. [Google Scholar] [CrossRef]
- Cao, L.; Wei, Q.J.B. SZOA: An Improved Synergistic Zebra Optimization Algorithm for Microgrid Scheduling and Management. Biomimetics 2025, 10, 664. [Google Scholar] [CrossRef]
- Shi, J.; Chen, Y.; Wang, C.; Heidari, A.A.; Liu, L.; Chen, H.; Chen, X.; Sun, L. Multi-threshold image segmentation using new strategies enhanced whale optimization for lupus nephritis pathological images. Displays 2024, 84, 102799. [Google Scholar] [CrossRef]
- Zhang, Y.; Liu, X.; Sun, W.; You, T.; Qi, X. Multi-Threshold Remote Sensing Image Segmentation Based on Improved Black-Winged Kite Algorithm. Biomimetics 2025, 10, 331. [Google Scholar] [CrossRef] [PubMed]
- Guo, H.; Wang, J.G.; Liu, Y. Multi-threshold image segmentation algorithm based on Aquila optimization. Vis. Comput. 2023, 40, 2905–2932. [Google Scholar] [CrossRef]
- Huang, T.; Yin, H.; Huang, X. Improved genetic algorithm for multi-threshold optimization in digital pathology image segmentation. Sci. Rep. 2024, 14, 22454. [Google Scholar] [CrossRef] [PubMed]
- Tan, W.-H.; Mohamad-Saleh, J. A hybrid whale optimization algorithm based on equilibrium concept. Alex. Eng. J. 2022, 68, 763–786. [Google Scholar] [CrossRef]
- Bhargavi, K.V.N.A.; Varma, G.P.S.; Hemalatha, I.; Dilli, R. An Enhanced Particle Swarm Optimization-Based Node Deployment and Coverage in Sensor Networks. Sensors 2024, 24, 6238. [Google Scholar] [CrossRef]
- Zheng, X.; Liu, R.; Li, S. A Novel Improved Dung Beetle Optimization Algorithm for Collaborative 3D Path Planning of UAVs. Biomimetics 2025, 10, 420. [Google Scholar] [CrossRef]
- Fu, W.-Y. Adaptive-acceleration-empowered collaborative particle swarm optimization. Inf. Sci. 2025, 721, 122621. [Google Scholar] [CrossRef]
- Mirjalili, S.; Mirjalili, S.M.; Lewis, A. Grey Wolf Optimizer. Adv. Eng. Softw. 2014, 69, 46–61. [Google Scholar] [CrossRef]
- Chen, X.; Ye, C.; Zhang, Y. Strengthened grey wolf optimization algorithms for numerical optimization tasks and AutoML. Swarm Evol. Comput. 2025, 94, 101891. [Google Scholar] [CrossRef]
- Mirjalili, S.; Lewis, A. The Whale Optimization Algorithm. Adv. Eng. Softw. 2016, 95, 51–67. [Google Scholar] [CrossRef]
- Nadimi-Shahraki, M.H.; Farhanginasab, H.; Taghian, S.; Sadiq, A.S.; Mirjalili, S. Multi-trial Vector-based Whale Optimization Algorithm. J. Bionic Eng. 2024, 21, 1465–1495. [Google Scholar] [CrossRef]
- Wolpert, D.H.; Macready, W.G. No free lunch theorems for optimization. IEEE Trans. Evol. Comput. 1997, 1, 67–82. [Google Scholar] [CrossRef]
- Pan, H.; Yuan, H.; Yue, Q.; Ouyang, H.; Gu, F.; Li, F. Multi-level particle swarm optimizer for multimodal optimization problems. Inf. Sci. 2025, 702, 121909. [Google Scholar] [CrossRef]
- Ahmed, R.; Rangaiah, G.P.; Mahadzir, S.; Mirjalili, S.; Hassan, M.H.; Kamel, S. Memory, evolutionary operator, and local search based improved Grey Wolf Optimizer with linear population size reduction technique. Knowl.-Based Syst. 2023, 264, 110297. [Google Scholar] [CrossRef]
- Xie, X.; Yang, Y.; Zhou, H. Multi-Strategy Hybrid Whale Optimization Algorithm Improvement. Appl. Sci. 2025, 15, 2224. [Google Scholar] [CrossRef]
- Li, Y.; Gao, A.; Li, H.; Li, L. An improved whale optimization algorithm for UAV swarm trajectory planning. Adv. Differ. Equ. 2024, 2024, 40. [Google Scholar] [CrossRef]
- Li, Y.; Tian, G.; Yi, Y.; Yuan, Y. Improved Artificial Rabbit Optimization and Its Application in Multichannel Signal Denoising. IEEE Sens. J. 2024, 24, 32950–32965. [Google Scholar] [CrossRef]
- Nadimi-Shahraki, M.H.; Taghian, S.; Javaheri, D.; Sadiq, A.S.; Khodadadi, N.; Mirjalili, S. MTV-SCA: Multi-trial vector-based sine cosine algorithm. Clust. Comput. 2024, 27, 13471–13515. [Google Scholar] [CrossRef]
- Peraza-Vázquez, H.; Peña-Delgado, A.F.; Echavarría-Castillo, G.; Morales-Cepeda, A.B.; Velasco-Álvarez, J.; Ruiz-Perez, F. A Bio-Inspired Method for Engineering Design Optimization Inspired by Dingoes Hunting Strategies. Math. Probl. Eng. 2021, 2021, 1–19. [Google Scholar] [CrossRef]
- Almazán-Covarrubias, J.H.; Peraza-Vázquez, H.; Peña-Delgado, A.F.; García-Vite, P.M. An Improved Dingo Optimization Algorithm Applied to SHE-PWM Modulation Strategy. Appl. Sci. 2022, 12, 992. [Google Scholar] [CrossRef]
- Ramya, K.; Ayothi, S. Hybrid dingo and whale optimization algorithm-based optimal load balancing for cloud computing environment. Trans. Emerg. Telecommun. Technol. 2023, 34, e4760. [Google Scholar] [CrossRef]
- Wang, S.; Lv, X.; Li, Y.; Jing, L.; Fang, X.; Peng, G.; Zhou, Y.; Sun, W. A novel hybrid improved dingo algorithm for unmanned aerial vehicle path planning. J. Braz. Soc. Mech. Sci. Eng. 2024, 47, 10. [Google Scholar] [CrossRef]
- Chen, X.; Mei, C.; Xu, B.; Yu, K.; Huang, X. Quadratic interpolation based teaching-learning-based optimization for chemical dynamic system optimization. Knowl.-Based Syst. 2018, 145, 250–263. [Google Scholar] [CrossRef]
- Mai, X.; Zhong, Y.; Li, L. The Crossover strategy integrated Secretary Bird Optimization Algorithm and its application in engineering design problems. Electron. Res. Arch. 2025, 33, 471–512. [Google Scholar] [CrossRef]
- Wu, G.; Mallipeddi, R.; Suganthan, P. Problem Definitions and Evaluation Criteria for the CEC 2017 Competition and Special Session on Constrained Single Objective Real-Parameter Optimization; National University of Defense Technology: Changsha, China, 2016. [Google Scholar]
- Luo, W.; Lin, X.; Li, C.; Yang, S.; Shi, Y. Benchmark functions for CEC 2022 competition on seeking multiple optima in dynamic environments. arXiv 2022, arXiv:2201.00523. [Google Scholar] [CrossRef]
- Xiao, Y.; Cui, H.; Khurma, R.A.; Castillo, P.A. Artificial lemming algorithm: A novel bionic meta-heuristic technique for solving real-world engineering optimization problems. Artif. Intell. Rev. 2025, 58, 84. [Google Scholar] [CrossRef]
- Amiri, M.H.; Hashjin, N.M.; Montazeri, M.; Mirjalili, S.; Khodadadi, N. Hippopotamus optimization algorithm: A novel nature-inspired optimization algorithm. Sci. Rep. 2024, 14, 5032. [Google Scholar] [CrossRef]
- Su, H.; Zhao, D.; Heidari, A.A.; Liu, L.; Zhang, X.; Mafarja, M.; Chen, H. RIME: A physics-based optimization. Neurocomputing 2023, 532, 183–214. [Google Scholar] [CrossRef]
- Chen, Z.; Fu, B.; Yang, Y. A Novel Elite-Guided Hybrid Metaheuristic Algorithm for Efficient Feature Selection. Biomimetics 2025, 10, 747. [Google Scholar] [CrossRef]
- Zhang, X.; Bao, Z.; Li, X.; Wang, J. Multi-Threshold Art Symmetry Image Segmentation and Numerical Optimization Based on the Modified Golden Jackal Optimization. Symmetry 2025, 17, 2130. [Google Scholar] [CrossRef]
- Zheng, J.; Gao, Y.; Zhang, H.; Lei, Y.; Zhang, J. OTSU Multi-Threshold Image Segmentation Based on Improved Particle Swarm Algorithm. Appl. Sci. 2022, 12, 11514. [Google Scholar] [CrossRef]
- Yuan, X.; Zhu, Z.; Yang, Z.; Zhang, Y. MSCSO: A Modified Sand Cat Swarm Optimization for Global Optimization and Multilevel Thresholding Image Segmentation. Symmetry 2025, 17, 2012. [Google Scholar] [CrossRef]
- Tamilarasan, A.; Rajamani, D. Towards efficient image segmentation: A fuzzy entropy-based approach using the snake optimizer algorithm. Results Eng. 2025, 26, 105335. [Google Scholar] [CrossRef]















| Algorithms | Name of the Parameter | Value of the Parameter |
|---|---|---|
| MLPSO | 2, 2, [0.3, 0.8], 0.3, 0.3 | |
| MELGWO | 2 to 0, 0.6, 0.5 | |
| MHWOA | Linear reduction from 1 to 0. | |
| ALA | ||
| HO | ||
| RIME | 5 | |
| DOA | ||
| HSIDOA | , |
| Function | Metric | DOA | DOA-QI | DOA-HC | DOA-CR | HSIDOA |
|---|---|---|---|---|---|---|
| F1 | Ave | 4.9148E+10 | 1.8968E+05 | 9.0494E+03 | 4.9108E+07 | 3.4022E+03 |
| Std | 9.1464E+09 | 6.3182E+05 | 2.4229E+04 | 2.6964E+07 | 4.3862E+03 | |
| F2 | Ave | 1.2358E+44 | 1.7271E+30 | 1.5259E+24 | 2.8560E+24 | 1.4578E+20 |
| Std | 7.2300E+44 | 1.1477E+31 | 7.3040E+24 | 2.0024E+25 | 1.0112E+21 | |
| F3 | Ave | 6.9500E+04 | 2.4698E+04 | 1.2243E+04 | 6.8668E+04 | 3.5588E+03 |
| Std | 9.2972E+03 | 6.9045E+03 | 5.9651E+03 | 9.9891E+03 | 2.7549E+03 | |
| F4 | Ave | 1.1835E+04 | 5.1764E+02 | 5.1418E+02 | 5.5825E+02 | 4.8839E+02 |
| Std | 4.2237E+03 | 2.9597E+01 | 3.4045E+01 | 2.8356E+01 | 2.9712E+01 | |
| F5 | Ave | 8.5825E+02 | 6.5071E+02 | 6.1851E+02 | 7.1964E+02 | 5.8798E+02 |
| Std | 3.9412E+01 | 3.3498E+01 | 2.8948E+01 | 8.0426E+01 | 2.5788E+01 | |
| F6 | Ave | 6.7855E+02 | 6.3796E+02 | 6.1697E+02 | 6.5286E+02 | 6.0476E+02 |
| Std | 8.8623E+00 | 1.4827E+01 | 1.0553E+01 | 2.3724E+01 | 4.9405E+00 | |
| F7 | Ave | 1.3519E+03 | 1.0081E+03 | 9.1780E+02 | 1.1357E+03 | 8.4756E+02 |
| Std | 6.8228E+01 | 8.2783E+01 | 5.6779E+01 | 1.2883E+02 | 3.5352E+01 | |
| F8 | Ave | 1.0946E+03 | 9.2337E+02 | 9.0552E+02 | 9.6848E+02 | 8.8480E+02 |
| Std | 3.1869E+01 | 3.6712E+01 | 2.3365E+01 | 5.7329E+01 | 2.2658E+01 | |
| F9 | Ave | 8.6194E+03 | 3.4401E+03 | 2.5419E+03 | 7.1462E+03 | 1.4574E+03 |
| Std | 1.4984E+03 | 1.9919E+03 | 8.3727E+02 | 3.2575E+03 | 4.7391E+02 | |
| F10 | Ave | 8.2351E+03 | 5.8910E+03 | 5.1909E+03 | 7.3589E+03 | 4.9248E+03 |
| Std | 7.0182E+02 | 1.4042E+03 | 7.6901E+02 | 2.4665E+03 | 5.7244E+02 | |
| F11 | Ave | 5.5065E+03 | 1.2690E+03 | 1.2802E+03 | 3.6919E+03 | 1.2014E+03 |
| Std | 2.0621E+03 | 5.6691E+01 | 6.9502E+01 | 2.2927E+03 | 5.1109E+01 | |
| F12 | Ave | 6.8128E+09 | 1.7042E+06 | 1.0186E+06 | 9.1374E+06 | 3.3247E+05 |
| Std | 3.3172E+09 | 1.3288E+06 | 1.0070E+06 | 6.3453E+06 | 2.7565E+05 | |
| F13 | Ave | 1.9991E+09 | 1.4482E+04 | 2.0553E+04 | 5.3206E+06 | 1.4234E+04 |
| Std | 2.8895E+09 | 1.4579E+04 | 2.0420E+04 | 4.1719E+06 | 1.4510E+04 | |
| F14 | Ave | 6.9634E+04 | 1.9665E+04 | 1.1842E+04 | 1.8172E+06 | 6.3768E+03 |
| Std | 7.5764E+04 | 2.0531E+04 | 2.3683E+04 | 1.9673E+06 | 8.6341E+03 | |
| F15 | Ave | 7.2406E+06 | 5.4170E+03 | 6.2847E+03 | 2.3267E+05 | 5.3660E+03 |
| Std | 3.6225E+07 | 4.7894E+03 | 7.3670E+03 | 3.7651E+05 | 5.7589E+03 | |
| F16 | Ave | 4.2906E+03 | 2.7046E+03 | 2.6433E+03 | 2.9686E+03 | 2.5074E+03 |
| Std | 7.1981E+02 | 2.9376E+02 | 2.8259E+02 | 3.7963E+02 | 2.7154E+02 | |
| F17 | Ave | 2.7482E+03 | 2.2935E+03 | 2.2486E+03 | 2.3933E+03 | 2.1583E+03 |
| Std | 3.4513E+02 | 2.6376E+02 | 1.9200E+02 | 2.9920E+02 | 2.3018E+02 | |
| F18 | Ave | 1.2332E+06 | 1.6436E+05 | 1.8244E+05 | 2.2997E+06 | 8.2259E+04 |
| Std | 1.8740E+06 | 1.4053E+05 | 2.2298E+05 | 2.7964E+06 | 9.7275E+04 | |
| F19 | Ave | 2.0836E+07 | 9.5360E+03 | 1.1017E+04 | 2.7237E+05 | 8.7112E+03 |
| Std | 3.5113E+07 | 7.3281E+03 | 1.1719E+04 | 5.9498E+05 | 8.4254E+03 | |
| F20 | Ave | 2.8429E+03 | 2.5948E+03 | 2.5918E+03 | 2.5984E+03 | 2.4721E+03 |
| Std | 2.3621E+02 | 3.0631E+02 | 2.2169E+02 | 2.2950E+02 | 1.6147E+02 | |
| F21 | Ave | 2.6456E+03 | 2.4266E+03 | 2.4048E+03 | 2.4830E+03 | 2.3790E+03 |
| Std | 4.9200E+01 | 2.8566E+01 | 2.9849E+01 | 7.8238E+01 | 2.1273E+01 | |
| F22 | Ave | 8.1985E+03 | 3.6163E+03 | 2.4998E+03 | 3.5292E+03 | 3.0590E+03 |
| Std | 1.1657E+03 | 2.2170E+03 | 9.7416E+02 | 2.5372E+03 | 1.6650E+03 | |
| F23 | Ave | 3.3429E+03 | 2.8811E+03 | 2.8190E+03 | 2.8311E+03 | 2.7687E+03 |
| Std | 1.6483E+02 | 7.1602E+01 | 5.1557E+01 | 8.4405E+01 | 3.6948E+01 | |
| F24 | Ave | 3.5057E+03 | 3.1401E+03 | 3.0258E+03 | 3.0655E+03 | 2.9572E+03 |
| Std | 1.8987E+02 | 1.4797E+02 | 8.8664E+01 | 7.3457E+01 | 5.1702E+01 | |
| F25 | Ave | 4.9820E+03 | 2.9128E+03 | 2.9079E+03 | 2.9841E+03 | 2.8966E+03 |
| Std | 7.7587E+02 | 2.3433E+01 | 2.0616E+01 | 3.5814E+01 | 1.4973E+01 | |
| F26 | Ave | 1.0036E+04 | 5.3646E+03 | 5.0937E+03 | 5.1307E+03 | 4.8625E+03 |
| Std | 9.7665E+02 | 1.3393E+03 | 1.2369E+03 | 1.8580E+03 | 6.8184E+02 | |
| F27 | Ave | 3.7218E+03 | 3.2679E+03 | 3.2728E+03 | 3.2633E+03 | 3.2542E+03 |
| Std | 2.7573E+02 | 3.5905E+01 | 4.2051E+01 | 2.4235E+01 | 1.8172E+01 | |
| F28 | Ave | 6.2983E+03 | 3.2656E+03 | 3.2596E+03 | 3.3336E+03 | 3.2272E+03 |
| Std | 8.3011E+02 | 3.3928E+01 | 2.5895E+01 | 3.5750E+01 | 2.1340E+01 | |
| F29 | Ave | 5.7299E+03 | 4.0691E+03 | 4.0744E+03 | 3.9579E+03 | 3.8141E+03 |
| Std | 8.7091E+02 | 3.1038E+02 | 2.9991E+02 | 2.7573E+02 | 2.3310E+02 | |
| F30 | Ave | 1.3406E+08 | 1.1070E+04 | 1.1914E+04 | 7.3359E+05 | 9.4913E+03 |
| Std | 1.2753E+08 | 4.2329E+03 | 4.7431E+03 | 9.7966E+05 | 3.7523E+03 |
| Function | Metric | MLPSO | MELGWO | MHWOA | ALA | HO | RIME | DOA | HSIDOA |
|---|---|---|---|---|---|---|---|---|---|
| F1 | Mean | 3.1270E+04 | 1.8526E+09 | 5.4819E+10 | 2.8014E+06 | 1.1204E+09 | 3.6284E+06 | 4.5105E+10 | 5.2966E+03 |
| Std | 1.5956E+05 | 1.6479E+09 | 7.9750E+09 | 3.9049E+06 | 5.9524E+08 | 1.1205E+06 | 1.2608E+10 | 4.9114E+03 | |
| F2 | Mean | 4.9574E+55 | 4.6933E+32 | 1.6343E+44 | 5.6932E+25 | 1.7902E+34 | 2.4208E+17 | 3.5028E+45 | 2.8761E+17 |
| Std | 1.3455E+56 | 2.4757E+33 | 5.6216E+44 | 3.0187E+26 | 8.4421E+34 | 5.5553E+17 | 1.7765E+46 | 1.5494E+18 | |
| F3 | Mean | 8.2734E+04 | 4.4231E+04 | 9.9823E+04 | 2.9996E+04 | 6.0863E+04 | 4.8007E+04 | 7.3302E+04 | 3.5583E+03 |
| Std | 2.3139E+04 | 1.0504E+04 | 3.0670E+04 | 7.1183E+03 | 7.0739E+03 | 1.5455E+04 | 9.0115E+03 | 2.5536E+03 | |
| F4 | Mean | 4.7451E+02 | 6.1374E+02 | 1.1808E+04 | 5.2803E+02 | 7.3928E+02 | 5.3005E+02 | 1.2441E+04 | 4.9611E+02 |
| Std | 2.5797E+01 | 1.0431E+02 | 2.5807E+03 | 4.1983E+01 | 1.3155E+02 | 3.5124E+01 | 4.8075E+03 | 3.2504E+01 | |
| F5 | Mean | 9.6144E+02 | 6.7012E+02 | 9.4359E+02 | 6.2116E+02 | 7.3095E+02 | 6.1149E+02 | 8.4650E+02 | 5.8610E+02 |
| Std | 6.0084E+01 | 3.7747E+01 | 2.5493E+01 | 3.8448E+01 | 4.4060E+01 | 2.6732E+01 | 3.0003E+01 | 2.7226E+01 | |
| F6 | Mean | 6.7938E+02 | 6.4377E+02 | 6.9468E+02 | 6.1323E+02 | 6.6346E+02 | 6.1551E+02 | 6.7486E+02 | 6.0450E+02 |
| Std | 6.5733E+00 | 8.5867E+00 | 6.8987E+00 | 4.8356E+00 | 7.9129E+00 | 6.6396E+00 | 1.0126E+01 | 4.3639E+00 | |
| F7 | Mean | 3.3723E+03 | 1.0206E+03 | 1.4678E+03 | 8.9394E+02 | 1.1872E+03 | 8.7450E+02 | 1.3547E+03 | 8.4614E+02 |
| Std | 3.2123E+02 | 7.9978E+01 | 4.5614E+01 | 4.0177E+01 | 7.4175E+01 | 4.4001E+01 | 7.5680E+01 | 4.2431E+01 | |
| F8 | Mean | 1.1800E+03 | 9.4377E+02 | 1.1464E+03 | 9.1601E+02 | 9.6473E+02 | 9.1219E+02 | 1.0997E+03 | 8.8324E+02 |
| Std | 4.7124E+01 | 2.8428E+01 | 2.1709E+01 | 3.7317E+01 | 2.9767E+01 | 2.7117E+01 | 2.9477E+01 | 2.3484E+01 | |
| F9 | Mean | 9.6576E+03 | 3.8466E+03 | 1.2879E+04 | 2.1724E+03 | 5.7819E+03 | 3.0110E+03 | 9.0304E+03 | 1.6487E+03 |
| Std | 1.1458E+03 | 9.3298E+02 | 1.2380E+03 | 7.4705E+02 | 6.9465E+02 | 1.2508E+03 | 1.6327E+03 | 3.1329E+02 | |
| F10 | Mean | 5.2033E+03 | 5.1962E+03 | 8.9030E+03 | 6.0516E+03 | 5.4549E+03 | 4.7077E+03 | 8.4692E+03 | 4.8794E+03 |
| Std | 4.1619E+02 | 4.8868E+02 | 4.4412E+02 | 9.2586E+02 | 6.4066E+02 | 5.3037E+02 | 4.1885E+02 | 5.4150E+02 | |
| F11 | Mean | 1.2777E+03 | 1.5075E+03 | 1.1395E+04 | 1.2746E+03 | 1.8634E+03 | 1.3540E+03 | 6.0002E+03 | 1.2044E+03 |
| Std | 4.7362E+01 | 3.7977E+02 | 1.6023E+03 | 4.8575E+01 | 2.0287E+02 | 6.9090E+01 | 2.2234E+03 | 4.3344E+01 | |
| F12 | Mean | 1.4716E+06 | 4.9007E+07 | 1.2200E+10 | 2.6879E+06 | 2.0947E+08 | 1.3538E+07 | 7.5641E+09 | 3.3256E+05 |
| Std | 1.3737E+06 | 5.0693E+07 | 3.8335E+09 | 1.9989E+06 | 1.9628E+08 | 1.4121E+07 | 4.2057E+09 | 3.2683E+05 | |
| F13 | Mean | 9.0664E+03 | 1.0796E+05 | 4.3341E+09 | 4.3011E+04 | 1.6812E+05 | 1.8663E+05 | 1.7727E+09 | 1.3499E+04 |
| Std | 5.5296E+03 | 5.1431E+04 | 4.1122E+09 | 3.7551E+04 | 1.9646E+05 | 3.0973E+05 | 2.0480E+09 | 1.3470E+04 | |
| F14 | Mean | 4.9009E+04 | 1.5780E+05 | 8.9066E+06 | 1.9443E+03 | 6.9334E+05 | 9.9470E+04 | 9.6960E+04 | 4.3366E+03 |
| Std | 4.1822E+04 | 2.1700E+05 | 7.1062E+06 | 3.2767E+02 | 7.5385E+05 | 8.1963E+04 | 2.2891E+05 | 3.6268E+03 | |
| F15 | Mean | 2.5087E+03 | 2.0223E+04 | 7.5911E+08 | 2.2556E+04 | 5.6019E+04 | 1.8567E+04 | 2.1011E+05 | 4.7110E+03 |
| Std | 1.4630E+03 | 1.2378E+04 | 6.2280E+08 | 1.2894E+04 | 5.1269E+04 | 1.1945E+04 | 3.9075E+05 | 4.1723E+03 | |
| F16 | Mean | 3.0787E+03 | 3.0026E+03 | 5.6106E+03 | 2.7688E+03 | 3.5397E+03 | 2.8426E+03 | 4.5212E+03 | 2.6203E+03 |
| Std | 3.0913E+02 | 3.4923E+02 | 7.0598E+02 | 3.3622E+02 | 4.4536E+02 | 2.8435E+02 | 7.8554E+02 | 3.1286E+02 | |
| F17 | Mean | 2.5307E+03 | 2.3903E+03 | 5.0275E+03 | 2.2125E+03 | 2.5399E+03 | 2.2729E+03 | 2.7427E+03 | 2.0865E+03 |
| Std | 2.2833E+02 | 2.2853E+02 | 3.8829E+03 | 1.8639E+02 | 1.9554E+02 | 2.3122E+02 | 3.4737E+02 | 1.8566E+02 | |
| F18 | Mean | 8.6140E+05 | 1.3146E+06 | 9.2995E+07 | 8.5009E+04 | 1.0403E+06 | 1.6125E+06 | 1.1167E+06 | 7.1161E+04 |
| Std | 6.2909E+05 | 1.2887E+06 | 5.3378E+07 | 4.6438E+04 | 1.2107E+06 | 1.3251E+06 | 1.6142E+06 | 3.5703E+04 | |
| F19 | Mean | 7.6620E+03 | 5.9325E+04 | 6.3442E+08 | 2.4156E+04 | 3.0877E+06 | 1.5625E+04 | 1.5553E+07 | 8.4925E+03 |
| Std | 1.2516E+04 | 6.7094E+04 | 3.4187E+08 | 1.9803E+04 | 1.8516E+06 | 1.2844E+04 | 2.1369E+07 | 8.9472E+03 | |
| F20 | Mean | 2.8484E+03 | 2.5571E+03 | 3.1474E+03 | 2.5434E+03 | 2.6038E+03 | 2.4818E+03 | 2.8498E+03 | 2.5330E+03 |
| Std | 1.6952E+02 | 2.0237E+02 | 1.4035E+02 | 1.9385E+02 | 1.1996E+02 | 1.8756E+02 | 1.9049E+02 | 2.2893E+02 | |
| F21 | Mean | 2.6705E+03 | 2.4517E+03 | 2.7533E+03 | 2.4037E+03 | 2.5188E+03 | 2.4164E+03 | 2.6510E+03 | 2.3807E+03 |
| Std | 1.1660E+02 | 3.2686E+01 | 5.1329E+01 | 2.2220E+01 | 6.4893E+01 | 2.8626E+01 | 6.3033E+01 | 2.0745E+01 | |
| F22 | Mean | 6.7401E+03 | 5.4938E+03 | 9.9700E+03 | 6.7214E+03 | 5.0012E+03 | 4.8528E+03 | 8.1657E+03 | 3.1248E+03 |
| Std | 9.5877E+02 | 2.0683E+03 | 9.9696E+02 | 2.1623E+03 | 2.1245E+03 | 1.8928E+03 | 1.2357E+03 | 1.6962E+03 | |
| F23 | Mean | 3.6692E+03 | 2.8453E+03 | 3.3452E+03 | 2.7745E+03 | 3.0489E+03 | 2.7900E+03 | 3.3481E+03 | 2.7646E+03 |
| Std | 2.4062E+02 | 5.2068E+01 | 1.0949E+02 | 3.0180E+01 | 9.7080E+01 | 2.5888E+01 | 1.4608E+02 | 3.2687E+01 | |
| F24 | Mean | 3.5460E+03 | 2.9800E+03 | 3.4252E+03 | 2.9648E+03 | 3.2188E+03 | 2.9559E+03 | 3.5412E+03 | 2.9448E+03 |
| Std | 2.6811E+02 | 3.5822E+01 | 1.2262E+02 | 4.8418E+01 | 9.7879E+01 | 3.6551E+01 | 1.6335E+02 | 4.9637E+01 | |
| F25 | Mean | 2.8987E+03 | 2.9841E+03 | 4.6046E+03 | 2.9152E+03 | 3.0524E+03 | 2.9278E+03 | 4.8391E+03 | 2.8976E+03 |
| Std | 1.2194E+01 | 4.6532E+01 | 3.1319E+02 | 2.2085E+01 | 4.7797E+01 | 2.8021E+01 | 6.7954E+02 | 1.8787E+01 | |
| F26 | Mean | 8.0986E+03 | 6.1096E+03 | 1.1157E+04 | 5.0794E+03 | 7.2668E+03 | 5.2607E+03 | 1.0248E+04 | 4.7833E+03 |
| Std | 3.6677E+03 | 7.2652E+02 | 1.0315E+03 | 4.6397E+02 | 1.3111E+03 | 4.6864E+02 | 1.0723E+03 | 9.9001E+02 | |
| F27 | Mean | 4.0565E+03 | 3.3140E+03 | 3.9735E+03 | 3.2331E+03 | 3.4840E+03 | 3.2462E+03 | 3.7122E+03 | 3.2512E+03 |
| Std | 3.3248E+02 | 4.1330E+01 | 3.6249E+02 | 1.7326E+01 | 1.6929E+02 | 1.4748E+01 | 2.9355E+02 | 2.6256E+01 | |
| F28 | Mean | 3.2225E+03 | 3.4465E+03 | 6.7524E+03 | 3.6006E+03 | 3.5145E+03 | 3.2946E+03 | 6.1398E+03 | 3.2179E+03 |
| Std | 2.7081E+01 | 1.2388E+02 | 5.7592E+02 | 9.2618E+02 | 8.7996E+01 | 3.8137E+01 | 8.2054E+02 | 1.8473E+01 | |
| F29 | Mean | 4.6800E+03 | 4.3955E+03 | 7.1400E+03 | 3.9792E+03 | 4.9677E+03 | 4.0063E+03 | 5.9416E+03 | 3.7679E+03 |
| Std | 2.5162E+02 | 3.4615E+02 | 1.0256E+03 | 2.5054E+02 | 4.6356E+02 | 2.1300E+02 | 1.1188E+03 | 2.3575E+02 | |
| F30 | Mean | 5.0520E+05 | 2.2909E+06 | 1.2090E+09 | 8.7832E+04 | 2.4027E+07 | 7.7324E+05 | 1.4867E+08 | 8.4223E+03 |
| Std | 2.1994E+05 | 1.8876E+06 | 6.8201E+08 | 9.8790E+04 | 2.6886E+07 | 8.3335E+05 | 1.2621E+08 | 2.2496E+03 |
| Function | Metric | MLPSO | MELGWO | MHWOA | ALA | HO | RIME | DOA | HSIDOA |
|---|---|---|---|---|---|---|---|---|---|
| F1 | Mean | 4.9601E+02 | 3.3442E+02 | 9.6824E+03 | 3.0049E+02 | 1.0521E+03 | 3.0072E+02 | 4.5259E+03 | 3.0000E+02 |
| Std | 2.0747E+02 | 1.7095E+02 | 1.8972E+03 | 8.4628E−01 | 5.4176E+02 | 4.7839E−01 | 2.7382E+03 | 5.9585E−07 | |
| F2 | Mean | 4.0056E+02 | 4.1170E+02 | 9.1459E+02 | 4.0670E+02 | 4.2583E+02 | 4.1616E+02 | 5.8871E+02 | 4.0534E+02 |
| Std | 1.7604E+00 | 1.9982E+01 | 3.6551E+02 | 2.5609E+00 | 4.3548E+01 | 2.5030E+01 | 3.7716E+02 | 3.6768E+00 | |
| F3 | Mean | 6.5359E+02 | 6.0625E+02 | 6.5718E+02 | 6.0013E+02 | 6.2672E+02 | 6.0039E+02 | 6.2960E+02 | 6.0015E+02 |
| Std | 1.0141E+01 | 3.6659E+00 | 1.1940E+01 | 3.1155E−01 | 1.1537E+01 | 5.1708E−01 | 1.3499E+01 | 3.8707E−01 | |
| F4 | Mean | 8.4644E+02 | 8.1575E+02 | 8.5175E+02 | 8.2066E+02 | 8.2004E+02 | 8.2449E+02 | 8.3447E+02 | 8.1499E+02 |
| Std | 1.0388E+01 | 7.0600E+00 | 1.0505E+01 | 8.9753E+00 | 6.5212E+00 | 1.3948E+01 | 9.6035E+00 | 8.6499E+00 | |
| F5 | Mean | 1.9012E+03 | 9.5204E+02 | 1.6712E+03 | 9.0102E+02 | 1.1639E+03 | 9.0071E+02 | 1.1658E+03 | 9.0305E+02 |
| Std | 2.9397E+02 | 5.6603E+01 | 1.9954E+02 | 1.4080E+00 | 1.1485E+02 | 9.7073E−01 | 1.4642E+02 | 5.2438E+00 | |
| F6 | Mean | 2.0202E+03 | 3.2798E+03 | 2.2239E+06 | 1.9948E+03 | 1.9978E+03 | 4.0504E+03 | 4.4893E+07 | 2.1520E+03 |
| Std | 2.7279E+02 | 1.3840E+03 | 2.1410E+06 | 3.8468E+02 | 1.5577E+02 | 2.1542E+03 | 2.4587E+08 | 6.7223E+02 | |
| F7 | Mean | 2.1212E+03 | 2.0389E+03 | 2.1244E+03 | 2.0238E+03 | 2.0509E+03 | 2.0270E+03 | 2.0579E+03 | 2.0237E+03 |
| Std | 3.8866E+01 | 2.3349E+01 | 2.1714E+01 | 1.0383E+01 | 1.6466E+01 | 3.1254E+01 | 2.5765E+01 | 8.2092E+00 | |
| F8 | Mean | 2.2581E+03 | 2.2245E+03 | 2.2520E+03 | 2.2213E+03 | 2.2282E+03 | 2.2192E+03 | 2.2483E+03 | 2.2192E+03 |
| Std | 2.7842E+01 | 2.7230E+00 | 1.7446E+01 | 5.3559E+00 | 4.7924E+00 | 5.9728E+00 | 4.4432E+01 | 6.0853E+00 | |
| F9 | Mean | 2.5063E+03 | 2.5298E+03 | 2.7283E+03 | 2.5293E+03 | 2.5580E+03 | 2.5293E+03 | 2.6262E+03 | 2.5293E+03 |
| Std | 5.5560E+01 | 2.3635E+00 | 2.6698E+01 | 1.0151E−01 | 4.2625E+01 | 2.6266E−03 | 4.2445E+01 | 0.0000E+00 | |
| F10 | Mean | 2.8407E+03 | 2.5670E+03 | 2.8349E+03 | 2.5366E+03 | 2.5372E+03 | 2.5574E+03 | 2.6564E+03 | 2.5005E+03 |
| Std | 3.5688E+02 | 6.9137E+01 | 5.0285E+02 | 1.1481E+02 | 5.6109E+01 | 6.0438E+01 | 2.4734E+02 | 1.7357E−01 | |
| F11 | Mean | 2.6420E+03 | 2.7063E+03 | 3.5633E+03 | 2.6467E+03 | 2.7691E+03 | 2.7143E+03 | 2.9675E+03 | 2.6452E+03 |
| Std | 8.0235E+01 | 1.5355E+02 | 5.2237E+02 | 1.0907E+02 | 1.8825E+02 | 1.3965E+02 | 2.6377E+02 | 7.0286E+01 | |
| F12 | Mean | 2.9461E+03 | 2.8672E+03 | 2.9043E+03 | 2.8627E+03 | 2.8817E+03 | 2.8661E+03 | 2.8887E+03 | 2.8647E+03 |
| Std | 3.4377E+01 | 1.0623E+01 | 5.8625E+01 | 1.8938E+00 | 2.3030E+01 | 2.0118E+00 | 2.7575E+01 | 1.3031E+00 |
| Function | Metric | MLPSO | MELGWO | MHWOA | ALA | HO | RIME | DOA | HSIDOA |
|---|---|---|---|---|---|---|---|---|---|
| F1 | Mean | 1.0843E+04 | 6.1408E+03 | 7.0949E+04 | 3.8715E+03 | 2.5448E+04 | 1.6718E+03 | 3.3103E+04 | 3.0759E+02 |
| Std | 4.1975E+03 | 2.2575E+03 | 2.4125E+04 | 2.5716E+03 | 8.3489E+03 | 7.4383E+02 | 1.0851E+04 | 2.1123E+01 | |
| F2 | Mean | 4.2748E+02 | 4.9509E+02 | 2.4239E+03 | 4.5717E+02 | 5.3995E+02 | 4.6429E+02 | 1.5872E+03 | 4.5171E+02 |
| Std | 2.0396E+01 | 3.8614E+01 | 6.9590E+02 | 1.6777E+01 | 4.9053E+01 | 2.9824E+01 | 4.8594E+02 | 1.6860E+01 | |
| F3 | Mean | 6.6651E+02 | 6.3153E+02 | 6.8477E+02 | 6.0414E+02 | 6.5184E+02 | 6.0648E+02 | 6.6301E+02 | 6.0072E+02 |
| Std | 7.0833E+00 | 1.1118E+01 | 1.2002E+01 | 2.7317E+00 | 1.0533E+01 | 5.3141E+00 | 1.2348E+01 | 1.0079E+00 | |
| F4 | Mean | 9.5124E+02 | 8.6721E+02 | 9.7728E+02 | 8.6139E+02 | 8.8065E+02 | 8.6317E+02 | 9.4197E+02 | 8.4649E+02 |
| Std | 2.0323E+01 | 1.9903E+01 | 1.5175E+01 | 1.4093E+01 | 1.5579E+01 | 2.4242E+01 | 1.8185E+01 | 2.2566E+01 | |
| F5 | Mean | 3.9613E+03 | 1.6082E+03 | 3.9340E+03 | 1.1491E+03 | 2.3824E+03 | 1.1106E+03 | 2.7412E+03 | 9.8782E+02 |
| Std | 6.2069E+02 | 2.9975E+02 | 4.7054E+02 | 3.2076E+02 | 2.7837E+02 | 3.2018E+02 | 6.1830E+02 | 7.2051E+01 | |
| F6 | Mean | 2.2708E+03 | 4.8236E+03 | 2.0072E+09 | 1.6381E+04 | 1.2036E+04 | 1.3246E+04 | 1.6047E+08 | 6.1906E+03 |
| Std | 8.8172E+02 | 3.6237E+03 | 1.4667E+09 | 8.1059E+03 | 3.2956E+04 | 6.4208E+03 | 2.1748E+08 | 3.8166E+03 | |
| F7 | Mean | 2.2234E+03 | 2.1326E+03 | 2.2505E+03 | 2.0896E+03 | 2.1446E+03 | 2.0937E+03 | 2.1925E+03 | 2.0778E+03 |
| Std | 7.6263E+01 | 5.2554E+01 | 4.7371E+01 | 4.2928E+01 | 2.6826E+01 | 4.8956E+01 | 7.0002E+01 | 2.9512E+01 | |
| F8 | Mean | 2.3496E+03 | 2.2908E+03 | 2.3440E+03 | 2.2394E+03 | 2.2470E+03 | 2.2537E+03 | 2.3536E+03 | 2.2333E+03 |
| Std | 7.5287E+01 | 7.3512E+01 | 1.1916E+02 | 2.3540E+01 | 1.5166E+01 | 4.5677E+01 | 8.6181E+01 | 3.0313E+01 | |
| F9 | Mean | 2.4726E+03 | 2.5018E+03 | 3.0079E+03 | 2.4808E+03 | 2.5516E+03 | 2.4817E+03 | 2.7387E+03 | 2.4808E+03 |
| Std | 2.7711E+01 | 1.7481E+01 | 1.6002E+02 | 3.9357E−02 | 3.9347E+01 | 6.9541E−01 | 9.0225E+01 | 1.1157E−09 | |
| F10 | Mean | 4.5285E+03 | 3.5971E+03 | 6.1164E+03 | 3.8215E+03 | 4.5215E+03 | 2.6965E+03 | 4.9643E+03 | 2.9219E+03 |
| Std | 5.9652E+02 | 7.9996E+02 | 1.5845E+03 | 8.7856E+02 | 8.9723E+02 | 2.5978E+02 | 1.7090E+03 | 5.5181E+02 | |
| F11 | Mean | 2.7400E+03 | 3.1569E+03 | 8.5744E+03 | 2.9890E+03 | 3.1892E+03 | 2.9234E+03 | 6.9420E+03 | 2.9074E+03 |
| Std | 1.5222E+02 | 3.8331E+02 | 6.5678E+02 | 1.5913E+02 | 3.5204E+02 | 6.1345E+01 | 1.2553E+03 | 6.9189E+01 | |
| F12 | Mean | 3.5861E+03 | 2.9940E+03 | 3.2414E+03 | 2.9605E+03 | 3.1368E+03 | 2.9764E+03 | 3.1859E+03 | 2.9729E+03 |
| Std | 1.8476E+02 | 3.9662E+01 | 1.7137E+02 | 2.1140E+01 | 1.4377E+02 | 4.4805E+01 | 1.3799E+02 | 2.4334E+01 |
| Suites | CEC2017 | CEC2022 | ||||
|---|---|---|---|---|---|---|
| Dimensions | 30 | 10 | 20 | |||
| Algorithms | ||||||
| MLPSO | 4.87 | 5 | 5.50 | 6 | 5.17 | 5 |
| MELGWO | 4.30 | 4 | 3.92 | 3 | 4.08 | 4 |
| MHWOA | 7.70 | 8 | 7.75 | 8 | 7.67 | 8 |
| ALA | 2.80 | 2 | 2.17 | 2 | 2.83 | 2 |
| HO | 5.33 | 6 | 4.75 | 5 | 5.25 | 6 |
| RIME | 3.20 | 3 | 3.92 | 3 | 2.83 | 2 |
| DOA | 6.47 | 7 | 6.25 | 7 | 6.58 | 7 |
| HSIDOA | 1.33 | 1 | 1.75 | 1 | 1.58 | 1 |
| Metric | Description | Reference |
|---|---|---|
| Peak Signal-to-Noise Ratio (PSNR) | Measures reconstruction quality based on pixel-level error | [41] |
| Structural Similarity (SSIM) | Evaluates structural similarity in terms of luminance, contrast, and structure | [10,42] |
| Feature Similarity (FSIM) | Assesses feature similarity using phase congruency and gradient information | [10,42] |
Disclaimer/Publisher’s Note: The statements, opinions and data contained in all publications are solely those of the individual author(s) and contributor(s) and not of MDPI and/or the editor(s). MDPI and/or the editor(s) disclaim responsibility for any injury to people or property resulting from any ideas, methods, instructions or products referred to in the content. |
© 2026 by the authors. Licensee MDPI, Basel, Switzerland. This article is an open access article distributed under the terms and conditions of the Creative Commons Attribution (CC BY) license.
Share and Cite
Zhu, Q.; Gong, M.; Wang, Y.; Yang, Z. Multi-Threshold Image Segmentation Based on the Hybrid Strategy Improved Dingo Optimization Algorithm. Biomimetics 2026, 11, 52. https://doi.org/10.3390/biomimetics11010052
Zhu Q, Gong M, Wang Y, Yang Z. Multi-Threshold Image Segmentation Based on the Hybrid Strategy Improved Dingo Optimization Algorithm. Biomimetics. 2026; 11(1):52. https://doi.org/10.3390/biomimetics11010052
Chicago/Turabian StyleZhu, Qianqian, Min Gong, Yijie Wang, and Zhengxing Yang. 2026. "Multi-Threshold Image Segmentation Based on the Hybrid Strategy Improved Dingo Optimization Algorithm" Biomimetics 11, no. 1: 52. https://doi.org/10.3390/biomimetics11010052
APA StyleZhu, Q., Gong, M., Wang, Y., & Yang, Z. (2026). Multi-Threshold Image Segmentation Based on the Hybrid Strategy Improved Dingo Optimization Algorithm. Biomimetics, 11(1), 52. https://doi.org/10.3390/biomimetics11010052
















































