An Adaptive Hybrid Metaheuristic Algorithm for Lung Cancer in Pathological Image Segmentation
Abstract
1. Introduction
Motivation and Contribution
- A new hybrid Sand Cat Swarm Optimization and Whale Optimization algorithm (SCSOWOA) is designed, which manages exploration and exploitation phases through an adaptive sequential transition mechanism. Thus, the broad search capability of SCSO is dynamically integrated with the precise convergence power of WOA.
- Unlike similar studies in the literature, the proposed method aims to optimize both segmentation accuracy and computational efficiency.
- While preserving PSNR metrics in the multi-level thresholding problem, the method significantly improves SSIM and FSIM performance.
- The findings are statistically validated in detail, and the real-world applicability of the method is demonstrated through verification on histopathological lung cancer images.
- The proposed adaptive hybrid SCSOWOA method fills a notable gap in the literature where metaheuristic-based segmentation of histopathological images remains limited, thereby contributing algorithmic novelty to both medical imaging and optimization research.
2. Related Studies
2.1. Deep Learning-Based Lung Segmentation Approaches
2.2. Lung Cancer Segmentation Using Metaheuristic Algorithms
3. Methodology
3.1. Definition of the Objective Function
3.2. Proposed SCSOWOA Methodology
3.3. Complexity Analysis and Pseudo-Code Representation of the Proposed Method
| Algorithm 1. Adaptive Hybrid SCSO-WOA Algorithm |
| Input: Total iterations Tmax, population size N, dimension d, switch ratio λ Output: Optimal solution T* 1. Set Tscso = ⌊λ × Tmax⌋ and Twoa = Tmax − Tscso 2. if Tscso > 0 then // SCSO Exploration Phase 3. Initialize population X = {x1, x2, …, xn} randomly in search space 4. for t = 1 to Tscso do 5. for each individual xi ∈ X do 6. Update xi using SCSO movement: xi(t + 1) = xi(t) + r1·(μ − xi(t)) + r2;·(x_best(t) − xi(t)) where r1, r2 ~ U(0, 1) and μ is mean position 7. end for 8. Evaluate fitness f(xi) for all xi 9. Update global best T* ← arg min f(xi) 10. end for 11. else 12. Randomly initialize best solution T* within bounds 13. Evaluate fitness f(T*) 14. end if 15. if Twoa > 0 then // WOA Exploitation Phase 16. Initialize population Y = {y1, y2, …, yn} randomly 17. Set y1 = T* // Carry over best from SCSO phase 18. for t = 1 to Twoa do 19. for each yi ∈ Y do 20. Compute A = 2a·r − a, C = 2r, where a = 2 − 2t/Twoa, r ~ U(0, 1) 21. if |A| < 1 then // Encircling prey (exploitation) 22. D = |C·T* − yi|, yi = T* − A·D 23. else // Search for prey (exploration) 24. Select random y_rand, D = |C·y_rand − yi| 25. yi = y_rand − A·D 26. end if 27. end for 28. Evaluate fitness f(yi) and update T* if better found 29. end for 30. end if 31. return T* |
4. Experiments and Results
4.1. Experiment Setup
4.2. Results
4.3. Additional Experiment: Comparative Analysis on the LiTS17 Dataset
4.4. Ablation Study: Component Analysis of Proposed Method
5. Discussion
6. Limitation
7. Conclusions and Future Works
- Expanding test coverage by applying the method to diverse histopathological image sets and cancer types from various organs.
- Reducing parameter sensitivity through automated parameter tuning or the integration of adaptive control mechanisms.
- Enhancing computational efficiency via GPU-based acceleration and parallel processing techniques.
- Developing more advanced segmentation models by integrating with deep learning-based frameworks to construct hybrid systems.
Author Contributions
Funding
Data Availability Statement
Conflicts of Interest
References
- Mridha, M.F.; Prodeep, A.R.; Hoque, A.M.; Islam, M.R.; Lima, A.A.; Kabir, M.M.; Hamid, M.A.; Watanobe, Y. A Comprehensive Survey on the Progress, Process, and Challenges of Lung Cancer Detection and Classification. J. Healthc. Eng. 2022, 2022, 5905230. [Google Scholar] [CrossRef]
- Nooreldeen, R.; Bach, H. Current and Future Development in Lung Cancer Diagnosis. Int. J. Mol. Sci. 2021, 22, 8661. [Google Scholar] [CrossRef]
- Xiao, H.; Li, Y.; Jiang, B.; Xia, Q.; Wei, Y.; Li, H. The Progress on Lung Computed Tomography Imaging Signs: A Review. Appl. Sci. 2022, 12, 9367. [Google Scholar] [CrossRef]
- Shafi, I.; Din, S.; Khan, A.; Díez, I.D.L.T.; Casanova, R.D.J.P.; Pifarre, K.T.; Ashraf, I. An Effective Method for Lung Cancer Diagnosis from CT Scan Using Deep Learning-Based Support Vector Network. Cancers 2022, 14, 5457. [Google Scholar] [CrossRef] [PubMed]
- Cellina, M.; Cacioppa, L.M.; Ce, M.; Chiarpenello, V.; Costa, M.; Vincenzo, Z.; Pais, D.; Bausano, M.V.; Rossini, N.; Bruno, A.; et al. Artificial Intelligence in Lung Cancer Screening: The Future Is Now. Cancers 2023, 15, 4344. [Google Scholar] [CrossRef] [PubMed]
- Sudha, R.; Uma Maheswari, K.M. Analysis on grading of lung nodule images with segmentation using u-net and classification with Convolutional Neural Network Fish Swarm Optimization. Biocybern. Biomed. Eng. 2025, 45, 90–104. [Google Scholar] [CrossRef]
- Kumar, A.; Choudhry, M.S. Optimum thresholding for nodule segmentation of lung CT images. In Proceedings of the 2022 IEEE World Conference on Applied Intelligence and Computing (AIC), Sonbhadra, India, 17–19 June 2022; pp. 272–276. [Google Scholar] [CrossRef]
- Amiriebrahimabadi, M.; Rouhi, Z.; Mansouri, N. A Comprehensive Survey of Multi-Level Thresholding Segmentation Methods for Image Processing. Arch. Comput. Methods Eng. 2024, 31, 3647–3697. [Google Scholar] [CrossRef]
- Osadebey, M.; Andersen, H.K.; Waaler, D.; Fossaa, K.; Martinsen, A.C.; Pedersen, M. Three-stage segmentation of lung region from CT images using deep neural networks. BMC Med. Imaging 2021, 21, 112. [Google Scholar] [CrossRef] [PubMed]
- Abualigah, L.; Almotairi, K.H.; Elaziz, M.A. Multilevel thresholding image segmentation using meta-heuristic optimization algorithms: Comparative analysis, open challenges and new trends. Appl. Intell. 2023, 53, 11654–11704. [Google Scholar] [CrossRef]
- Jiang, Y.; Zhang, D.; Zhu, W.; Wang, L. Multi-Level Thresholding Image Segmentation Based on Improved Slime Mould Algorithm and Symmetric Cross-Entropy. Entropy 2023, 25, 178. [Google Scholar] [CrossRef]
- Abdel-Basset, M.; Mohamed, R.; Abouhawwash, M.; Askar, S.S.; Tantawy, A.A. An Efficient Multilevel Threshold Segmentation Method for Breast Cancer Imaging Based on Metaheuristics Algorithms: Analysis and Validations. Int. J. Comput. Intell. Syst. 2023, 16, 101. [Google Scholar] [CrossRef]
- Houssein, E.H.; Helmy, E.D.; Oliva, D.; Elngar, A.A.; Shaban, H. Multi-level Thresholding Image Segmentation Based on Nature-Inspired Optimization Algorithms: A Comprehensive Review. In Metaheuristics in Machine Learning: Theory and Applications; Springer International Publishing: Cham, Switzerland, 2021; pp. 239–265. [Google Scholar] [CrossRef]
- Ibrahim, M.Q.; Hussein, N.K.; Guinovart, D.; Qaraad, M. Optimizing Convolutional Neural Networks: A Comprehensive Review of Hyperparameter Tuning Through Metaheuristic Algorithms. Arch. Comput. Methods Eng. 2025, 1–38. [Google Scholar] [CrossRef]
- Mousavirad, S.J.; Schaefer, G.; Zhou, H.; Moghadam, M.H. How effective are current population-based metaheuristic algorithms for variance-based multi-level image thresholding? Knowl.-Based Syst. 2023, 272, 110587. [Google Scholar] [CrossRef]
- Houssein, E.H.; Abdalkarim, N.; Hussain, K.; Mohamed, E. Accurate multilevel thresholding image segmentation via oppositional Snake Optimization algorithm: Real cases with liver disease. Comput. Biol. Med. 2024, 169, 107922. [Google Scholar] [CrossRef]
- Boga, Z.; Sándor, C.; Kovács, P. A Multidimensional Particle Swarm Optimization-Based Algorithm for Brain MRI Tumor Segmentation. Sensors 2025, 25, 2800. [Google Scholar] [CrossRef]
- Ait Mehdi, M.; Belattar, K.; Souami, F. Recent metaheuristic algorithms for medical object localization using MSER detector in computer-aided diagnosis system. Multimed. Tools Appl. 2024, 84, 14433–14487. [Google Scholar] [CrossRef]
- Shyamala Bharathi, P.; Shalini, C. Advanced hybrid attention-based deep learning network with heuristic algorithm for adaptive CT and PET image fusion in lung cancer detection. Med. Eng. Phys. 2024, 126, 104138. [Google Scholar] [CrossRef] [PubMed]
- Pethuraj, M.S.; Aboobaider, B.B.M.; Salahuddin, L.B. Analyzing CT images for detecting lung cancer by applying the computational intelligence--based optimization techniques. Comput. Intell. 2023, 39, 930–949. [Google Scholar] [CrossRef]
- Vijh, S.; Gaurav, P.; Pandey, H.M. Hybrid bio-inspired algorithm and convolutional neural network for automatic lung tumor detection. Neural Comput. Appl. 2023, 35, 23711–23724. [Google Scholar] [CrossRef]
- Prasad, U.; Chakravarty, S.; Mahto, G. Lung cancer detection and classification using deep neural network based on hybrid metaheuristic algorithm. Soft Comput. 2024, 28, 8579–8602. [Google Scholar] [CrossRef]
- Krithiga, R.; Geetha, P. Breast Cancer Detection, Segmentation and Classification on Histopathology Images Analysis: A Systematic Review. Arch. Comput. Methods Eng. 2021, 28, 2607–2619. [Google Scholar] [CrossRef]
- Rakha, E.A.; Tse, G.M.; Quinn, C.M. An update on the pathological classification of breast cancer. Histopathology 2023, 82, 5–16. [Google Scholar] [CrossRef]
- Mezei, T.; Kolcsár, M.; Joó, A.; Gurzu, S. Image Analysis in Histopathology and Cytopathology: From Early Days to Current Perspectives. J. Imaging 2024, 10, 252. [Google Scholar] [CrossRef]
- Abdelsamea, M.M.; Zidan, U.; Senousy, Z.; Gaber, M.M.; Rakha, E.; Ilyas, M. A survey on artificial intelligence in histopathology image analysis. Wiley Interdiscip. Rev. Data Min. Knowl. Discov. 2022, 12, e1474. [Google Scholar] [CrossRef]
- Lin, W.; Hu, Y.; Zhu, R.; Wang, B.; Wang, L. Virtual staining for pathology: Challenges, limitations and perspectives. Intell. Oncol. 2025, 1, 105–119. [Google Scholar] [CrossRef]
- Akila Agnes, S.; Arun Solomon, A.; Karthick, K. Wavelet U-Net++ for accurate lung nodule segmentation in CT scans: Improving early detection and diagnosis of lung cancer. Biomed. Signal Process. Control 2024, 87, 105509. [Google Scholar] [CrossRef]
- Wu, Z.; Li, X.; Zuo, J. RAD-UNet: Research on an improved lung nodule semantic segmentation algorithm based on deep learning. Front. Oncol. 2023, 13, 1084096. [Google Scholar] [CrossRef]
- Said, Y.; Alsheikhy, A.A.; Shawly, T.; Lahza, H. Medical Images Segmentation for Lung Cancer Diagnosis Based on Deep Learning Architectures. Diagnostics 2023, 13, 546. [Google Scholar] [CrossRef] [PubMed]
- Xu, Y.; Hou, S.; Wang, X.; Li, D.; Lu, L. A Medical Image Segmentation Method Based on Improved UNet 3+ Network. Diagnostics 2023, 13, 576. [Google Scholar] [CrossRef] [PubMed]
- Murugappan, M.; Bourisly, A.K.; Prakash, N.B.; Sumithra, M.G.; Acharya, U.R. Automated semantic lung segmentation in chest CT images using deep neural network. Neural Comput. Appl. 2023, 35, 15343–15364. [Google Scholar] [CrossRef]
- Lan, H.; Chen, P.; Wang, C.; Chen, C.; Yao, C.; Jin, F.; Wan, T.; Lv, X.; Wang, J. A Multiscale Connected UNet for the Segmentation of Lung Cancer Cells in Pathology Sections Stained Using Rapid On-Site Cytopathological Evaluation. Am. J. Pathol. 2024, 194, 1712–1723. [Google Scholar] [CrossRef]
- Kumar, M.K.; Amalanathan, A. Automated Lung Nodule Detection in CT Images by Optimized CNN: Impact of Improved Whale Optimization Algorithm. Comput. Assist. Methods Eng. Sci. 2022, 29, 7–31. [Google Scholar] [CrossRef]
- Sebastian, A.E.; Dua, D. Lung Nodule Detection via Optimized Convolutional Neural Network: Impact of Improved Moth Flame Algorithm. Sens. Imaging 2023, 24, 11. [Google Scholar] [CrossRef] [PubMed]
- Kuo, C.F.J.; Huang, C.C.; Siao, J.J.; Hsieh, C.W.; Huy, V.Q.; Ko, K.H.; Hsu, H.H. Automatic lung nodule detection system using image processing techniques in computed tomography. Biomed. Signal Process. Control 2020, 56, 101659. [Google Scholar] [CrossRef]
- Lan, K.; Zhou, J.; Jiang, X.; Wang, J.; Huang, S.; Yang, J.; Song, Q.; Tang, R.; Gong, X.; Liu, K.; et al. Group theoretic particle swarm optimization for multi-level threshold lung cancer image segmentation. Quant. Imaging Med. Surg. 2023, 13, 1312–1322. [Google Scholar] [CrossRef]
- Shakibapour, E.; Cunha, A.; Aresta, G.; Mendonça, A.M.; Campilho, A. An unsupervised metaheuristic search approach for segmentation and volume measurement of pulmonary nodules in lung CT scans. Expert. Syst. Appl. 2019, 119, 415–428. [Google Scholar] [CrossRef]
- Guo, L.; Liu, L.; Zhao, Z.; Xia, X. An improved RIME optimization algorithm for lung cancer image segmentation. Comput. Biol. Med. 2024, 174, 108219. [Google Scholar] [CrossRef] [PubMed]
- Abdel-Salam, M.; Houssein, E.H.; Emam, M.M.; Samee, N.A.; Jamjoom, M.M.; Hu, G. An adaptive enhanced human memory algorithm for multi-level image segmentation for pathological lung cancer images. Comput. Biol. Med. 2024, 183, 109272. [Google Scholar] [CrossRef]
- Anka, F.; Aghayev, N. Advances in Sand Cat Swarm Optimization: A Comprehensive Study. Arch. Comput. Methods Eng. 2025, 32, 2669–2712. [Google Scholar] [CrossRef]
- Borkowski, A.A.; Bui, M.M.; Thomas, L.B.; Wilson, C.P.; DeLand, L.A.; Mastorides, S.M. Lung and Colon Cancer Histopathological Image Dataset (LC25000). arXiv 2019, arXiv:1912.12142. [Google Scholar] [CrossRef]
- Bilic, P.; Christ, P.; Li, H.B.; Vorontsov, E.; Ben-Cohen, A.; Kaissis, G.; Szeskin, A.; Jacobs, C.; Mamani, G.E.H.; Chartrand, G.; et al. The Liver Tumor Segmentation Benchmark (LiTS). arXiv 2019, arXiv:1901.04056. [Google Scholar] [CrossRef] [PubMed]
- Alawneh, K.; Alquran, H.; Alsalatie, M.; Mustafa, W.A.; Al-Issa, Y.; Alqudah, A.; Badarneh, A. LiverNet: Diagnosis of liver tumors in human CT images. Appl. Sci. 2022, 12, 5501. [Google Scholar] [CrossRef]
- Gul, S.; Khan, M.S.; Hossain, M.S.A.; Chowdhury, M.E.; Sumon, M.S.I. A Comparative Study of Decoders for Liver and Tumor Segmentation Using a Self-ONN-Based Cascaded Framework. Diagnostics 2024, 14, 2761. [Google Scholar] [CrossRef] [PubMed]
- Brunese, M.C.; Rocca, A.; Santone, A.; Cesarelli, M.; Brunese, L.; Mercaldo, F. Explainable and robust deep learning for liver segmentation through U-net network. Diagnostics 2025, 15, 878. [Google Scholar] [CrossRef]






| Algorithm | Parameter |
|---|---|
| GWO | a: 2 → 0 (linear decreasing) |
| PSO | w: 0.5, c1: 2, c2: 2 |
| WOA | a: 2 → 0 (linear decreasing) |
| SCSO | r: rmax → rmin |
| WDRIME | WOARatio = 0.4, RimeRatio = 0.4, DERatio = 0.2, wf = 0.8, cr = 0.9 |
| SCSOWOA (Proposed) | SwitchRatio = 0.6 |
| Specification | Details |
|---|---|
| Operating System | Windows 10—64 bit |
| Python Version | 3.10 |
| GPU | NVIDIA Tesla T4 GPU |
| CPU | i5-7300HQ CPU 2.50 GHz |
| Algorithm | Threshold | PSNR | |
|---|---|---|---|
| Mean | Standard Deviation | ||
| PSO | 2 | 27.6058 | 0.0336 |
| 4 | 27.5498 | 0.1203 | |
| 6 | 27.635 | 0.1630 | |
| 8 | 27.8011 | 0.0890 | |
| 10 | 27.7699 | 0.0932 | |
| 12 | 27.972 | 0.4338 | |
| GWO | 2 | 27.6133 | 0.0428 |
| 4 | 27.5642 | 0.1032 | |
| 6 | 27.5726 | 0.1083 | |
| 8 | 27.8229 | 0.0843 | |
| 10 | 28.2597 | 0.8699 | |
| 12 | 28.124 | 0.8018 | |
| WOA | 2 | 27.6085 | 0.0336 |
| 4 | 27.5414 | 0.0757 | |
| 6 | 27.6534 | 0.1659 | |
| 8 | 27.84 | 0.2200 | |
| 10 | 27.9709 | 0.3585 | |
| 12 | 28.4913 | 0.6677 | |
| SCSO | 2 | 27.6058 | 0.0336 |
| 4 | 27.5505 | 0.1183 | |
| 6 | 27.7327 | 0.1753 | |
| 8 | 28.1125 | 0.5049 | |
| 10 | 28.698 | 1.0292 | |
| 12 | 27.9561 | 0.6724 | |
| WDRIME | 2 | 27.5932 | 0.0605 |
| 4 | 27.5796 | 0.0837 | |
| 6 | 27.6063 | 0.0706 | |
| 8 | 27.5858 | 0.0568 | |
| 10 | 27.7394 | 0.4100 | |
| 12 | 27.7291 | 0.4013 | |
| SCSOWOA (Proposed) | 2 | 27.6058 | 0.0336 |
| 4 | 27.5549 | 0.1181 | |
| 6 | 27.6235 | 0.1002 | |
| 8 | 27.9977 | 0.2531 | |
| 10 | 28.6396 | 0.5454 | |
| 12 | 28.3346 | 0.6541 | |
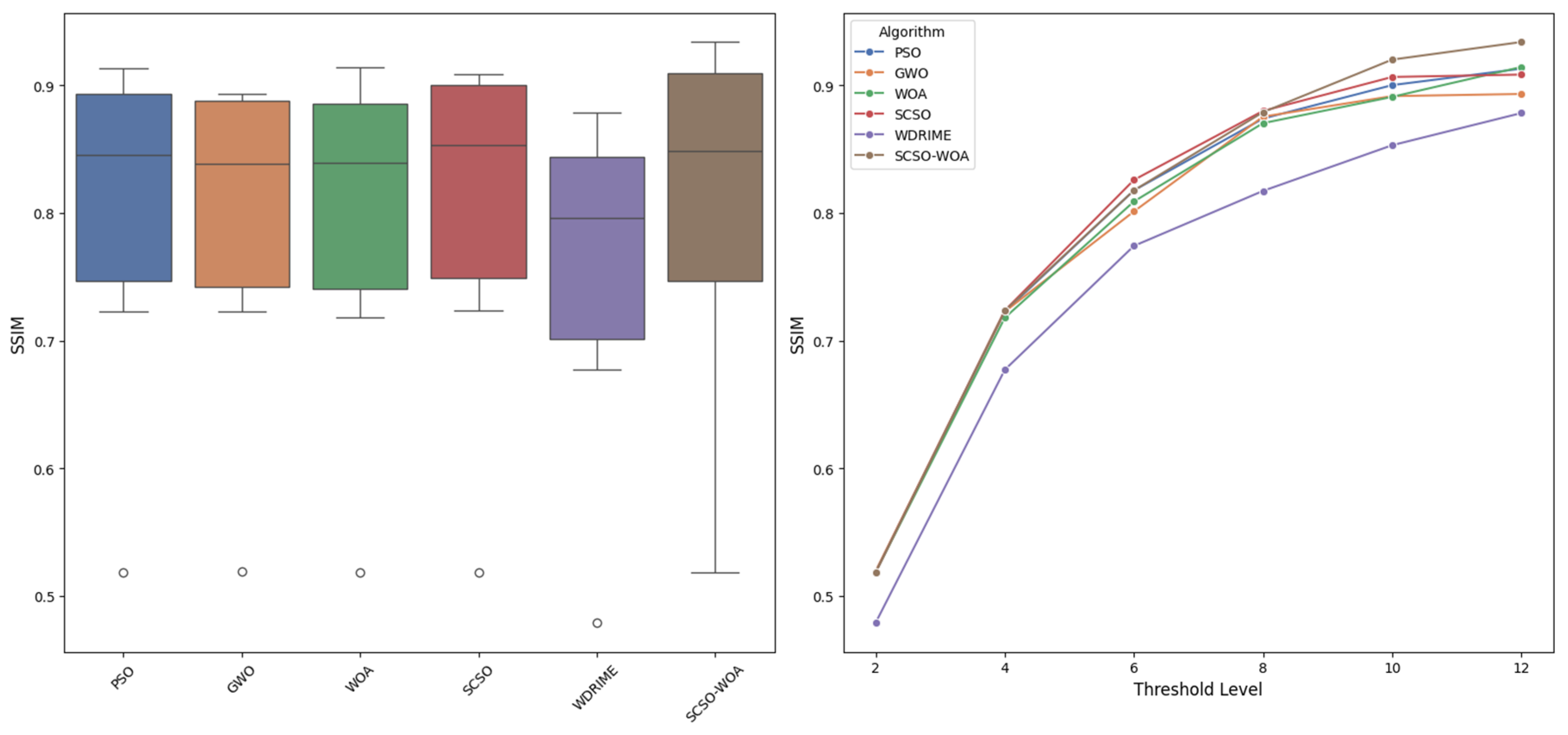
| Algorithm | Threshold | SSIM | |
|---|---|---|---|
| Mean | Standard Deviation | ||
| PSO | 2 | 0.5185 | 0.0739 |
| 4 | 0.7226 | 0.0635 | |
| 6 | 0.8177 | 0.0463 | |
| 8 | 0.8740 | 0.0312 | |
| 10 | 0.9002 | 0.0259 | |
| 12 | 0.9131 | 0.0279 | |
| GWO | 2 | 0.5194 | 0.0755 |
| 4 | 0.7227 | 0.0631 | |
| 6 | 0.8012 | 0.0340 | |
| 8 | 0.8755 | 0.0365 | |
| 10 | 0.8916 | 0.0299 | |
| 12 | 0.8933 | 0.0551 | |
| WOA | 2 | 0.5185 | 0.0739 |
| 4 | 0.7179 | 0.0580 | |
| 6 | 0.8090 | 0.0328 | |
| 8 | 0.8704 | 0.0331 | |
| 10 | 0.8910 | 0.0323 | |
| 12 | 0.9144 | 0.0269 | |
| SCSO | 2 | 0.5185 | 0.0739 |
| 4 | 0.7236 | 0.0629 | |
| 6 | 0.8259 | 0.0395 | |
| 8 | 0.8800 | 0.0293 | |
| 10 | 0.9066 | 0.0389 | |
| 12 | 0.9085 | 0.0319 | |
| Hybrid WDRIME | 2 | 0.4789 | 0.0783 |
| 4 | 0.6771 | 0.0706 | |
| 6 | 0.7742 | 0.0587 | |
| 8 | 0.8173 | 0.0513 | |
| 10 | 0.8531 | 0.0502 | |
| 12 | 0.8783 | 0.0621 | |
| SCSOWOA (Proposed) | 2 | 0.5185 | 0.0739 |
| 4 | 0.7234 | 0.0635 | |
| 6 | 0.8177 | 0.0444 | |
| 8 | 0.8790 | 0.0340 | |
| 10 | 0.9202 | 0.0275 | |
| 12 | 0.9340 | 0.0156 | |
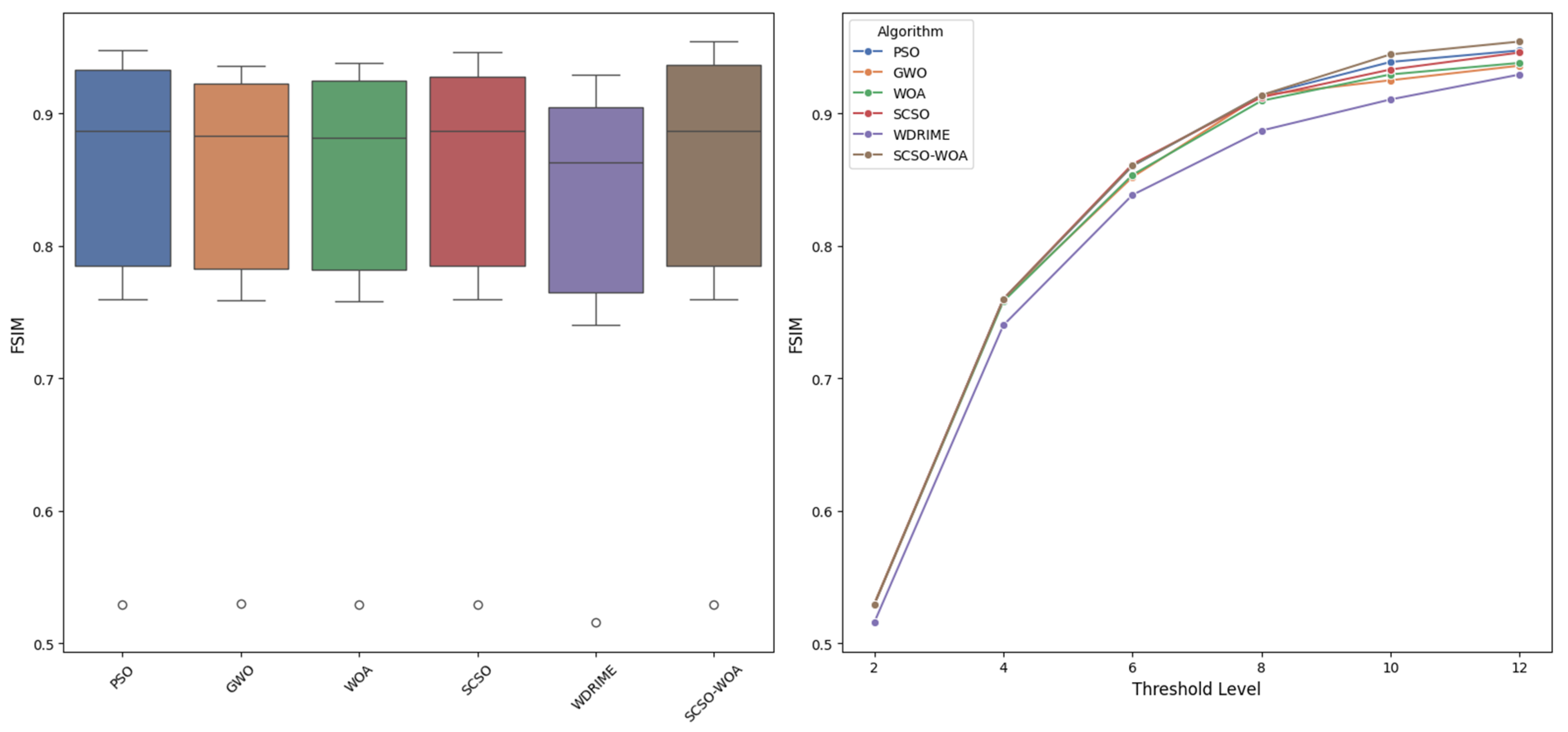
| Algorithm | Threshold | FSIM | |
|---|---|---|---|
| Mean | Standard Deviation | ||
| PSO | 2 | 0.5295 | 0.0662 |
| 4 | 0.7596 | 0.0470 | |
| 6 | 0.8603 | 0.0293 | |
| 8 | 0.9137 | 0.0181 | |
| 10 | 0.9388 | 0.0144 | |
| 12 | 0.9475 | 0.0091 | |
| GWO | 2 | 0.5299 | 0.0668 |
| 4 | 0.7593 | 0.0463 | |
| 6 | 0.8519 | 0.0221 | |
| 8 | 0.9138 | 0.0197 | |
| 10 | 0.9250 | 0.0210 | |
| 12 | 0.9360 | 0.0291 | |
| WOA | 2 | 0.5295 | 0.0662 |
| 4 | 0.7581 | 0.0450 | |
| 6 | 0.8535 | 0.0221 | |
| 8 | 0.9095 | 0.0199 | |
| 10 | 0.9294 | 0.0191 | |
| 12 | 0.9381 | 0.0130 | |
| SCSO | 2 | 0.5295 | 0.0662 |
| 4 | 0.7599 | 0.0466 | |
| 6 | 0.8616 | 0.0283 | |
| 8 | 0.9122 | 0.0170 | |
| 10 | 0.9331 | 0.0123 | |
| 12 | 0.9459 | 0.0102 | |
| Hybrid WDRIME | 2 | 0.5159 | 0.0641 |
| 4 | 0.7401 | 0.0512 | |
| 6 | 0.8384 | 0.0362 | |
| 8 | 0.8870 | 0.0264 | |
| 10 | 0.9105 | 0.0274 | |
| 12 | 0.9293 | 0.0302 | |
| SCSOWOA (Proposed) | 2 | 0.5295 | 0.0662 |
| 4 | 0.7598 | 0.0470 | |
| 6 | 0.8605 | 0.0282 | |
| 8 | 0.9138 | 0.0196 | |
| 10 | 0.9445 | 0.0113 | |
| 12 | 0.9542 | 0.0070 | |
| Algorithm | PSNR | SSIM | FSIM | |||
|---|---|---|---|---|---|---|
| Mean | Std. | Mean | Std. | Mean | Std. | |
| PSO | 27.7591 | 0.1554 | 0.7989 | 0.0447 | 0.8349 | 0.0306 |
| GWO | 27.865 | 0.335 | 0.7950 | 0.0490 | 0.8310 | 0.0341 |
| WOA | 27.8273 | 0.2535 | 0.7946 | 0.0428 | 0.8295 | 0.0308 |
| SCSO | 28.0297 | 0.4222 | 0.8027 | 0.0460 | 0.8346 | 0.0301 |
| WDRIME | 27.6230 | 0.1804 | 0.7553 | 0.0618 | 0.8137 | 0.0392 |
| SCSOWOA | 27.9453 | 0.2840 | 0.8048 | 0.0431 | 0.8361 | 0.0298 |
| Algorithm | Execution Time Mean (s) |
|---|---|
| PSO | 2.2134 |
| GWO | 2.0204 |
| WOA | 1.8831 |
| SCSO | 1.9132 |
| Hybrid WDRIME [39] | 1.9949 |
| SCSOWOA (Proposed) | 1.3221 |
| Algorithm | PSNR | SSIM | FSIM | Dice Coefficient | Jaccard Index | Hausdorff Measure |
|---|---|---|---|---|---|---|
| U-Net | 9.02 | 0.1670 | 0.0004 | 0.3428 | 0.2089 | 152.49 |
| SCSO-WOA | 28.72 | 0.7011 | 0.7292 | 0.7211 | 0.5667 | 103.20 |
Disclaimer/Publisher’s Note: The statements, opinions and data contained in all publications are solely those of the individual author(s) and contributor(s) and not of MDPI and/or the editor(s). MDPI and/or the editor(s) disclaim responsibility for any injury to people or property resulting from any ideas, methods, instructions or products referred to in the content. |
© 2025 by the authors. Licensee MDPI, Basel, Switzerland. This article is an open access article distributed under the terms and conditions of the Creative Commons Attribution (CC BY) license.
Share and Cite
Şahin, M.F.; Anka, F. An Adaptive Hybrid Metaheuristic Algorithm for Lung Cancer in Pathological Image Segmentation. Diagnostics 2026, 16, 84. https://doi.org/10.3390/diagnostics16010084
Şahin MF, Anka F. An Adaptive Hybrid Metaheuristic Algorithm for Lung Cancer in Pathological Image Segmentation. Diagnostics. 2026; 16(1):84. https://doi.org/10.3390/diagnostics16010084
Chicago/Turabian StyleŞahin, Muhammed Faruk, and Ferzat Anka. 2026. "An Adaptive Hybrid Metaheuristic Algorithm for Lung Cancer in Pathological Image Segmentation" Diagnostics 16, no. 1: 84. https://doi.org/10.3390/diagnostics16010084
APA StyleŞahin, M. F., & Anka, F. (2026). An Adaptive Hybrid Metaheuristic Algorithm for Lung Cancer in Pathological Image Segmentation. Diagnostics, 16(1), 84. https://doi.org/10.3390/diagnostics16010084

