Sign in to use this feature.

Years

Between: -

Subjects

remove_circle_outline
remove_circle_outline
remove_circle_outline
remove_circle_outline
remove_circle_outline
remove_circle_outline
remove_circle_outline
remove_circle_outline
remove_circle_outline

Journals

Article Types

Countries / Regions

Search Results (204)

Search Parameters:
Keywords = mulching process

Order results
Result details
Results per page
Select all
Export citation of selected articles as:
25 pages, 4989 KB  
Article
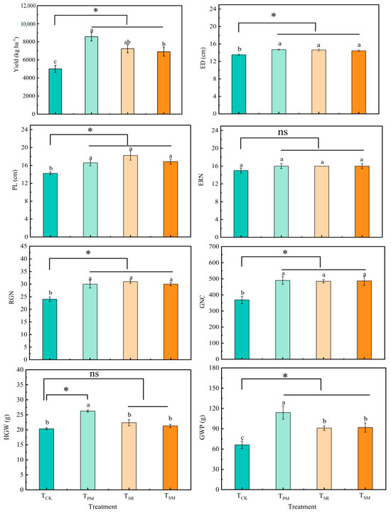
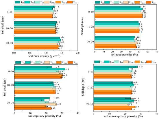
Ecological Trade-Offs of Plastic Film and Straw Mulching: Mechanistic Insights from Soil Structure and Carbon–Nitrogen
by Nannan Hu, Xiaoyan Wang, Lei Pang, Jianlong Lu, Jin Yang, Xinyue Xiao and Khuram Shehzad Khan
Agronomy 2026, 16(4), 470; https://doi.org/10.3390/agronomy16040470 - 18 Feb 2026
Viewed by 79
Abstract
Mulching practices are key technologies for addressing soil degradation and increasing crop yields in the dryland farming regions of the Loess Plateau. However, it remains unclear how they synergistically influence soil health and sustainability by regulating soil physical, moisture, and nutrient processes while [...] Read more.
Mulching practices are key technologies for addressing soil degradation and increasing crop yields in the dryland farming regions of the Loess Plateau. However, it remains unclear how they synergistically influence soil health and sustainability by regulating soil physical, moisture, and nutrient processes while ensuring yield improvement. In particular, the ecological trade-off effects between crop yield enhancement and soil fertility improvement under different mulching measures still require further research. This study was conducted in 2022 at the Dryland Agriculture Experimental Station of Gansu Academy of Agricultural Sciences to evaluate the effect of straw strip mulching (TSM), straw crushed mulching (TSR), and plastic film mulching (TPM), with flat planting without mulching (TCK) as the control. The investigation focuses on soil moisture distribution, aggregate composition, soil carbon and nitrogen contents, and yield components in maize fields. The sStudy results showed that all mulching treatments reduced soil bulk density, increased soil porosity, and enhanced soil water content and water storage while reducing evapotranspiration. TSM most effectively increased soil organic carbon and total nitrogen contents. All mulching treatments improved soil aggregate stability, with TSM achieving the most significant reduction in soil erodibility by 40%. Compared with TCK, TPM, TSR, and TSM increased maize grain yield by 71.26%, 44.67%, and 38.04%, respectively. The most influential factors contributing to maize yield are soil water content, soil erodibility, mechanically stable micro-aggregates, and water-stable macro-aggregates. Analysis of the fitting relationship between key influencing factors and yield indicates that soil erodibility demonstrates the optimal fit with yield (R2 = 0.73), followed by the fit between soil water content and yield (R2 = 0.69). Overall, plastic film mulching primarily enhances short-term yield, while straw strip mulching ensures stable maize production and promotes soil health and sustainable development in dryland farming systems of the Loess Plateau, thus providing a clear theoretical basis for selecting mulching practices based on ecological trade-offs in the Loess Plateau region. Full article
(This article belongs to the Section Agroecology Innovation: Achieving System Resilience)
Show Figures

Figure 1

25 pages, 938 KB  
Article
A Multi-Criteria Evaluation Tool for Assessing Circularity in Innovative Bio-Based Solutions from Food Industry By-Products
by Diego Voccia, Somindu Wachong Kum, Nicoleta Alina Suciu, Eugenia Monaco, Marco Trevisan and Lucrezia Lamastra
Appl. Sci. 2026, 16(3), 1299; https://doi.org/10.3390/app16031299 - 27 Jan 2026
Viewed by 244
Abstract
Circular economy (CE) strategies in the agri-food sector hold strong potential for reducing waste, enhancing resource efficiency, and promoting sustainable value creation. However, early-stage assessment of innovative valorisation pathways remains challenging due to limited data availability and heterogeneous sustainability trade-offs. This study presents [...] Read more.
Circular economy (CE) strategies in the agri-food sector hold strong potential for reducing waste, enhancing resource efficiency, and promoting sustainable value creation. However, early-stage assessment of innovative valorisation pathways remains challenging due to limited data availability and heterogeneous sustainability trade-offs. This study presents a multi-criteria evaluation tool designed to identify sustainability hotspots and support the preliminary screening of CE solutions based on easily obtainable information. The tool combines a structured literature review with expert-based scoring across environmental (ENV), economic (EC), and social (SOC) dimensions. Its applicability was demonstrated through the following three case studies: (i) reconstitution of cheese approaching expiration, (ii) extraction of polyphenols from grape-wine residues via subcritical water extraction, and (iii) biodegradable mulching film production from grape-wine pomace. Results show that the tool successfully differentiates sustainability performance across value chain areas Residue, Final Product, and Process (RES, FP, and PRO) and reveals critical gaps requiring further investigation. Scenario 3 achieved the higher overall score (69.7%) due to fewer regulatory constraints, whereas Scenarios 1 and 2 (61.2% and 54.5%, respectively) are penalised due to the more regulations for human consumption. The proposed tool offers a practical and efficient method to support researchers and industry stakeholders in identifying CE strategies with the highest potential for sustainable development. Full article
Show Figures

Figure 1

13 pages, 1715 KB  
Article
Effects of Long-Term Mulching on Soil Aggregation and Organic Carbon Sequestration in Sloping Croplands of the Loess Plateau
by Xicheng Cao, Zhiguo Yang, Guangxin Ren, Gaihe Yang, Na Yang, Ke Wang, Jian Wang, Xing Wang, Jiajie Song, Jiancheng Zhang and Yongzhong Feng
Agriculture 2026, 16(3), 294; https://doi.org/10.3390/agriculture16030294 - 23 Jan 2026
Viewed by 310
Abstract
Sloping cropland on the Loess Plateau faces severe challenges from soil organic carbon (SOC) depletion and structural instability due to erosion and intensive tillage. Although mulching can enhance SOC sequestration, its long-term effects on the spatial distribution of SOC and aggregates across slopes [...] Read more.
Sloping cropland on the Loess Plateau faces severe challenges from soil organic carbon (SOC) depletion and structural instability due to erosion and intensive tillage. Although mulching can enhance SOC sequestration, its long-term effects on the spatial distribution of SOC and aggregates across slopes remain unclear. A 15-year field experiment evaluated five practices—conventional tillage (T), no tillage (NT), straw mulching (SM), plastic film mulching (PM), and ridge–furrow plastic film mulching (RPM)—on SOC storage, aggregate stability, and their variation with different slope positions. Compared to T, all mulching treatments significantly increased SOC concentration by 4.19% to 83.48% in the 0–30 cm layer. SM and RPM notably increased macro-aggregates (>2 mm) and their associated SOC (24.04–56.49% higher than T) by adding organic matter and optimizing micro-topography. Different slope positions strongly influenced SOC redistribution: lower slopes accumulated more SOC than upper slopes due to erosion–deposition processes. Mulching reduced SOC spatial variability and minimized differences between slope positions. Although mulching increased cumulative SOC mineralization compared to T, the long-term net SOC gain was positive, driven by improved aggregate protection and reduced erosion. SM and RPM are recommended for sustainable slope farmland management due to their dual benefits in enhancing carbon sinks and soil stability. This study offers practical strategies for improving soil health and SOC sequestration in vulnerable sloping landscapes. Full article
Show Figures

Figure 1

18 pages, 283 KB  
Article
Effects of Thermal Pre-Treatments and Drying Processes on the Retention of Phytonutrients, Vitamins, and Antioxidant Activity in Dried Okra (Abelmoschus esculentus L.)
by Megan L. Reid-Fitten, Corrie P. Cotton, Byungrok R. Min, Caleb I. Nindo and Zachary F. Williams
Foods 2026, 15(2), 311; https://doi.org/10.3390/foods15020311 - 15 Jan 2026
Viewed by 325
Abstract
Opportunities to capture anticipated niche markets for diverse populations continue to rise. Okra (Abelmoschus esculentus L.), considered a high-value crop, is rich in nutritional and medicinal properties; however, fresh okra is highly perishable. This study examined the effects of thermal pre-treatments and [...] Read more.
Opportunities to capture anticipated niche markets for diverse populations continue to rise. Okra (Abelmoschus esculentus L.), considered a high-value crop, is rich in nutritional and medicinal properties; however, fresh okra is highly perishable. This study examined the effects of thermal pre-treatments and drying processes in combination on the nutritional quality of dried okra. The experiment consisted of two thermal treatments (steam-blanched and hot water-blanched, and the control) and three drying treatments (freeze-dried, hot air-dried, and infrared-dried). Okra was grown in black plastic mulch, harvested twice per week, and processed three times throughout the growing season. The study analyzed moisture content, water activity, phytonutrients, ascorbic acid, β-carotene, and antioxidant activities. No significant differences were observed in moisture content and water activity among the treatments. Significant differences were observed among treatments and harvest time for total phenolic and flavonoid contents and antioxidant activity. Notable differences in β-carotene content were observed across all treatments. Based on the findings, the steam-blanched freeze-dried treatment was the most effective preservation technique for maintaining the nutritional and functional quality of dried okra. Hot water-blanching, hot air-drying, and infrared-drying were the least effective for the development of a high-value, nutrient-dense dried okra value-added product. Full article
(This article belongs to the Section Food Engineering and Technology)
23 pages, 3422 KB  
Article
Evolution of Urban–Agricultural–Ecological Spatial Structure Driven by Irrigation and Drainage Projects and Water–Heat–Vegetation Response
by Tianqi Su and Yongmei
Agriculture 2026, 16(2), 142; https://doi.org/10.3390/agriculture16020142 - 6 Jan 2026
Viewed by 306
Abstract
In the context of global climate change and intensified water resource constraints, studying the evolution of the urban–agricultural–ecological spatial structure and the water–heat–vegetation responses driven by large-scale irrigation and drainage projects in arid and semi-arid regions is of great significance. Based on multitemporal [...] Read more.
In the context of global climate change and intensified water resource constraints, studying the evolution of the urban–agricultural–ecological spatial structure and the water–heat–vegetation responses driven by large-scale irrigation and drainage projects in arid and semi-arid regions is of great significance. Based on multitemporal remote sensing data from 1985 to 2015, this study takes the Inner Mongolia Hetao Plain as the research area, constructs a “multifunctionality–dynamic evolution” dual-principle classification system for urban–agricultural–ecological space, and adopts the technical process of “separate interpretation of each single land type using the maximum likelihood algorithm followed by merging with conflict pixel resolution” to improve the classification accuracy to 90.82%. Through a land use transfer matrix, a standard deviation ellipse model, surface temperature (LST) inversion, and vegetation fractional coverage (VFC) analysis, this study systematically reveals the spatiotemporal differentiation patterns of spatial structure evolution and surface parameter responses throughout the project’s life cycle. The results show the following: (1) The spatial structure follows the path of “short-term intense disturbance–long-term stable optimization”, with agricultural space stability increasing by 4.8%, the ecological core area retention rate exceeding 90%, and urban space expanding with a shift from external encroachment to internal filling, realizing “stable grain yield with unchanged cultivated land area and improved ecological quality with controlled green space loss”. (2) The overall VFC shows a trend of “central area stable increase (annual growth rate 0.8%), eastern area fluctuating recovery (cyclic amplitude ±12%), and western area local improvement (key patches increased by 18%)”. (3) The LST-VFC relationship presents spatiotemporal misalignment, with a 0.8–1.2 °C anomalous cooling in the central region during the construction period (despite a 15% VFC decrease), driven by irrigation water thermal inertia, and a disrupted linear correlation after completion due to crop phenology changes and plastic film mulching. (4) Irrigation and drainage projects optimize water resource allocation, constructing a hub regulation model integrated with the Water–Energy–Food (WEF) Nexus, providing a replicable paradigm for ecological effect assessment of major water conservancy projects in arid regions. Full article
(This article belongs to the Section Ecosystem, Environment and Climate Change in Agriculture)
Show Figures

Figure 1

16 pages, 3428 KB  
Article
Effects of Biochar Addition on Topsoil Carbon–Nitrogen Cycling and CO2 Emissions in Reduced-Nitrogen, Film-Mulched Drip-Irrigated Silage Maize Systems
by Zhonghao Jiang, Yanhua Lu, Heng Zhang, Guang Li, Yan Tan, Yingying Zhu, Yang Xie and Bingsheng Wang
Agronomy 2026, 16(1), 10; https://doi.org/10.3390/agronomy16010010 - 19 Dec 2025
Viewed by 424
Abstract
This study conducted a systematic evaluation over two years (2023–2024) through field experiments to assess the regulatory effects of biochar on soil properties, carbon and nitrogen cycling, and CO2 emissions under mulched drip irrigation with varying nitrogen application levels. The core findings [...] Read more.
This study conducted a systematic evaluation over two years (2023–2024) through field experiments to assess the regulatory effects of biochar on soil properties, carbon and nitrogen cycling, and CO2 emissions under mulched drip irrigation with varying nitrogen application levels. The core findings indicate that the effects of biochar are strongly dependent on the nitrogen levels. Under reduced nitrogen conditions, biochar demonstrated a synergistic benefit: with a 15% nitrogen reduction (N2-BC), it significantly enhanced soil water retention (increasing moisture by 68.6% at the tasseling stage); with a 30% nitrogen reduction (N1-BC), it improved soil structure (bulk density decreased by 2.1%, porosity increased by 4.3%). Additionally, biochar differentially activates soil carbon and nitrogen pools: under the 30% nitrogen reduction treatment (N1-BC), soil organic carbon increased to 8.34 g kg−1 during the jointing stage, while dissolved organic carbon reached 0.536 g kg−1 at tasseling, and total nitrogen content rose significantly. Notably, the regulatory effect of biochar on CO2 emissions shifted toward marked suppression as nitrogen input decreased (N1-BC), achieving a net cumulative reduction of 21.4% under deep nitrogen reduction treatment. Correlation analysis further integrated these processes, demonstrating that improvements in the soil physical structure are closely linked to enhanced carbon and nitrogen cycling. This study clarifies that in reduced-N systems, the application of biochar can synergistically achieve “carbon sequestration–nitrogen conservation–emission reduction,” providing a basis for developing green, low-C farmland production models. Full article
(This article belongs to the Section Soil and Plant Nutrition)
Show Figures

Figure 1

18 pages, 3729 KB  
Article
Influence of Soil Hydrological Processes on Different Forms of Nitrogen Output in Red Soil Slope Farmland
by Fanpeng Zeng, Zhao Liu, Minghao Mo, Anguo Tu and Jia Wang
Sustainability 2025, 17(24), 10976; https://doi.org/10.3390/su172410976 - 8 Dec 2025
Viewed by 273
Abstract
The hydrological processes of red soil slope farmland are complex, and the vertical migration of nitrogen (N) is influenced by these processes, which present different layering characteristics of water flow. Previous studies on the vertically stratified transport of N on slope soils have [...] Read more.
The hydrological processes of red soil slope farmland are complex, and the vertical migration of nitrogen (N) is influenced by these processes, which present different layering characteristics of water flow. Previous studies on the vertically stratified transport of N on slope soils have mainly relied on rainfall simulation, lacking a comprehensive study of the overall process of N leaching from surface soil to underground under natural conditions. To investigate the impact of these hydrological processes on the transport of N at different layers under natural rainfall events, large-scale field runoff plots were constructed as draining lysimeters to conduct a consecutive 2-year observation experiment at Jiangxi Soil and Water Conservation Ecological Science and Technology Experimental Station, China. The runoff (the water of 0 cm), interflow, deep percolation, soil moisture content (SMC), total nitrogen (TN), nitrate nitrogen (NO3-N) and ammonium nitrogen (NH4+-N) concentrations were monitored and determined. The N loss of red soil farmland under two treatments, namely grass mulching (FC, a coverage of 100% with Bahia grass) and exposed treatment (BL, without anything covered), were measured. The relationships between hydrological factors and different forms of N losses were analyzed. The results indicate the following: (1) Deep percolation is the main pathway of water loss and N loss for red soil slope farmland, accounting for over 85% of the total water loss and N Loss. Grass mulching can significantly reduce surface runoff and N loss. (2) Vertically stratified N is mainly NO3-N, and the concentrations of each form of N show the same trend: deep percolation > interflow > runoff. (3) Water loss, rainfall, and SMC are closely related to the stratified loss of N, with correlation coefficients ranging from 0.74 to 0.98. The correlation analysis and redundancy analysis (RDA) on the relationships between different forms of N losses and hydrological factors indicate that rainfall was the primary factor driving the stratified loss of N in red soil slope farmland. Full article
Show Figures

Figure 1

28 pages, 3666 KB  
Article
Corncob Returning Enhances Soil Fertility and Rhizosphere Microbiome Functions to Improve Growth and Nutrient Uptake of Eleutherococcus sessiliflorus in Cold Agroecosystems
by Qian Liu, Ying Qu, Shan Jiang, Xingchi Guo, Yuhe Xing, Junyan Zheng, Zhiyu Dong, Wei Yu and Guoyu Zhang
Biology 2025, 14(12), 1735; https://doi.org/10.3390/biology14121735 - 4 Dec 2025
Viewed by 534
Abstract
Corncob residues, an abundant but underutilized organic resource in Northeast Asia, offer substantial potential for improving soil health and plant productivity. This study investigates the effects of corncob returning on soil physicochemical properties, microbial processes, and the performance of Eleutherococcus sessiliflorus in a [...] Read more.
Corncob residues, an abundant but underutilized organic resource in Northeast Asia, offer substantial potential for improving soil health and plant productivity. This study investigates the effects of corncob returning on soil physicochemical properties, microbial processes, and the performance of Eleutherococcus sessiliflorus in a cold–temperate region (Jilin Province, China). The treatments included no-amendment control (CK), corncob incorporation (CI), and corncob mulching (CM). Corncob returning significantly increased soil organic carbon, moisture content, and the availability of N–P–K, while reducing soil bulk density, thus improving soil structure and nutrient availability. Both CI and CM treatments enhanced microbial biomass C, N, and P, as well as nutrient-cycling enzyme activities (β-glucosidase, urease, and alkaline phosphatase), accelerating C–N–P turnover in the rhizosphere. These improvements resulted in enhanced plant nutrient status and significant gains in biomass, with plant height and fruit number increasing by up to 44% and 136%, respectively. Multivariate analysis and PLS-SEM revealed that soil improvements strongly stimulated enzyme activity (path coefficient = 0.956), and enhances the microbial niche, thereby promoting plant traits through nutrient release (enzyme → plant path coefficient = 0.694). Microbial functional activity, rather than microbial richness, plays a more crucial role in plant growth promotion. Collectively, these findings underscore that corncob returning improves E. sessiliflorus performance through a soil biochemical activation pathway mediated by microbial metabolism and enzymatic nutrient release. This study provides strong evidence supporting corncob recycling as a cost-effective, environmentally sustainable approach for improving medicinal plant production and advancing circular agriculture in cold-region ecosystems. Full article
(This article belongs to the Section Plant Science)
Show Figures

Figure 1

29 pages, 7375 KB  
Article
Design and Test of Straw Crushing and Spreading Device Based on Straw Mulching No-Tillage Planter
by Shouyin Hou, Hanfei Zhang, Yunze Shi, Bo Jin, Hao Huang, Naiyu Shi, Wenyi Ji and Cheng Zhou
Agriculture 2025, 15(23), 2404; https://doi.org/10.3390/agriculture15232404 - 21 Nov 2025
Viewed by 523
Abstract
To address issues such as slow soil temperature recovery and delayed sowing periods caused by straw mulching in the cold regions of northern Heilongjiang Province, this study designed a straw crushing and scattering device compatible with the 2BMFJ series no-till planters, aiming to [...] Read more.
To address issues such as slow soil temperature recovery and delayed sowing periods caused by straw mulching in the cold regions of northern Heilongjiang Province, this study designed a straw crushing and scattering device compatible with the 2BMFJ series no-till planters, aiming to achieve moderate straw fragmentation and uniform distribution. By establishing mathematical models for the straw pick-up, crushing, and scattering processes, key parameters affecting the device’s performance were determined. Utilizing the discrete model of EDEM 2018 software virtual simulation experiments were conducted based on response surface methodology. The test factors included the blade angle of the crushing long blade, the edge thickness of the crushing long blade, the weight of the crushing long blade, and the rotational speed of the crushing long blade. The performance evaluation indicators were the straw pick-up rate, straw crushing rate, power consumption, and inter-row straw coverage consistency. The optimal parameter combination was identified to be a blade angle of 25°, an edge thickness of 1.25 mm, a weight ranging from 0.35 to 0.41 kg, and a rotational speed between 1400 and 1750 r/min, resulting in a straw pick-up rate of 83%, a straw crushing rate of 84%, power consumption of 6.8 KW, and a straw cleaning consistency between rows of 75%. Field test results indicated that the straw pick-up rate reached 87.2%, the straw crushing rate achieved 81.5%, power consumption was 7.7 kW, and the straw cleaning consistency between rows attained 79.3%. The deviations from simulation results were within acceptable limits. This equipment can effectively complete straw crushing and scattering operations, thereby creating favorable seedbed conditions. Full article
(This article belongs to the Section Agricultural Technology)
Show Figures

Figure 1

21 pages, 3056 KB  
Article
Shade and Fabric Mulching Drive Variation in Medicinal Compounds and Rhizosphere Bacterial Communities in Epimedium sagittatum
by Xiaoxuan Liu, Yuhang Xie, Zixu Jin, Jing Sun, Gang Zhang, Ying Chen, Bo Li, Wei Zhang, Feng Yan, Nan Wang and Jing Gao
Horticulturae 2025, 11(11), 1408; https://doi.org/10.3390/horticulturae11111408 - 20 Nov 2025
Viewed by 698
Abstract
This study investigated the interactive effects of different light conditions and weed control methods on the medicinal compound composition and rhizosphere bacterial community structure of Epimedium sagittatum. A completely randomized block design was employed, incorporating four treatments: full light with manual weeding [...] Read more.
This study investigated the interactive effects of different light conditions and weed control methods on the medicinal compound composition and rhizosphere bacterial community structure of Epimedium sagittatum. A completely randomized block design was employed, incorporating four treatments: full light with manual weeding (LN), shade with manual weeding (SN), full light with weed-control fabric mulch (LG), and shade with mulch (SG). Active compound levels in two-year-old plants were quantified using HPLC, and rhizobacterial diversity was assessed via high-throughput sequencing. The results indicated that the SG treatment significantly enhanced the photosynthetic efficiency and yielded the highest levels of epimedin C and total active compounds. In contrast, the SN treatment fostered a beneficial rhizosphere environment—characterized by increased pH, ammonium nitrogen (NH4+-N), bacterial diversity, and the abundance of Flavobacterium—which supported the highest production of epimedin B and icariin. Redundancy analysis confirmed that these microbial shifts were primarily driven by soil pH, nitrate nitrogen (NO3-N), and shading. Furthermore, while stochastic processes governed bacterial community assembly, deterministic selection intensified across the treatments from LN to SG. Collectively, our findings demonstrate that light and mulching can be strategically tailored to manipulate the plant–soil-microbe system, thereby enabling precise modulation of the medicinal quality of E. sagittatum. Full article
Show Figures

Figure 1

2 pages, 128 KB  
Abstract
Utilization of Aromatic Spent from Essential Oil Industry for Production of Biodegradable Packaging Films
by K. Mithun, Shadanan Patel and Dharmendra Khokhar
Proceedings 2026, 136(1), 26; https://doi.org/10.3390/proceedings2026136026 - 17 Nov 2025
Viewed by 53
Abstract
Aromatic spent, a low-value industrial byproduct generated during the processing of essential oils, is typically discarded or utilized in low-end applications such as mulch, animal fodder, incense sticks, soaps, mosquito repellents, cosmetics, and as raw material in paper and particle board manufacturing [...] [...] Read more.
Aromatic spent, a low-value industrial byproduct generated during the processing of essential oils, is typically discarded or utilized in low-end applications such as mulch, animal fodder, incense sticks, soaps, mosquito repellents, cosmetics, and as raw material in paper and particle board manufacturing [...] Full article
21 pages, 2308 KB  
Article
Incorporation of Natural Biostimulants in Biodegradable Mulch Films for Agricultural Applications: Ecotoxicological Evaluation
by Chelo Escrig Rondán, Celia Sevilla Gil, Pablo Sanz Fernández, Juan Francisco Ferrer Crespo and Cristina Furió Sanz
Polymers 2025, 17(22), 3027; https://doi.org/10.3390/polym17223027 - 14 Nov 2025
Viewed by 947
Abstract
This study deals with the incorporation of biostimulants of natural origin in a biodegradable polymeric matrix, with the aim of developing mulch films that, when degraded in the soil, release bioactive compounds that improve soil quality and favor the agronomic growth of crops. [...] Read more.
This study deals with the incorporation of biostimulants of natural origin in a biodegradable polymeric matrix, with the aim of developing mulch films that, when degraded in the soil, release bioactive compounds that improve soil quality and favor the agronomic growth of crops. Three types of commercial biostimulants were used: one based on seaweed extract, one on lignosulfonates, and one on plant-derived essential amino acids. To ensure the thermal stability of the biostimulant compounds during processing, thermogravimetric analyses (TGAs) were carried out, and a methodology based on the adsorption of the biostimulants onto porous substrates was developed, enabling their effective incorporation into the polymeric matrix. The formulations obtained have been processed by blown film extrusion at a pilot scale. In addition, the presence of film residues in soil was analyzed by pyrolysis–gas chromatography–mass spectrometry (Py-GC/MS). The results indicate that the proposed methodology supports the integrity of the biostimulants in the films obtained. After the incubation period studied, complete degradation of the biopolymer and the absence of film residues in the soil were confirmed. Furthermore, it was confirmed that this final product had no adverse effects on organisms that were representative of the two end-of-life scenarios, with the exception of the film functionalized with the commercial biostimulant based on seaweed extract, which showed a negative effect on terrestrial higher plants. Full article
(This article belongs to the Special Issue New Progress in Biodegradable Polymeric Materials)
Show Figures

Graphical abstract

18 pages, 11519 KB  
Article
Physiological Mechanisms Underlying Maize Yield Enhancement by Straw Return in the Thin-Layer Mollisol Region of the Songnen Plain
by Chenglong Guan, Tai Ma, Ming Miao, Jiuhui Chen, Zhicheng Bao, Baoyu Chen, Jingkun Lu, Fangming Liu, Nan Wang, Hongjun Wang and Zhian Zhang
Plants 2025, 14(21), 3331; https://doi.org/10.3390/plants14213331 - 31 Oct 2025
Viewed by 634
Abstract
Long-term intensive cultivation has caused soil fertility decline and structural degradation in the Songnen Plain, thereby constraining maize root development and yield formation. As a fundamental conservation tillage practice, straw return enhances soil function by incorporating exogenous organic matter and regulating root-shoot physiological [...] Read more.
Long-term intensive cultivation has caused soil fertility decline and structural degradation in the Songnen Plain, thereby constraining maize root development and yield formation. As a fundamental conservation tillage practice, straw return enhances soil function by incorporating exogenous organic matter and regulating root-shoot physiological processes. However, the mechanism underlying yield improvement through root–photosynthesis–nitrogen synergy remains insufficiently understood. A field experiment was conducted to assess the effects of conventional tillage (CT), straw incorporation (SI), straw mulching (SM), and deep straw incorporation (DF) on maize physiological traits and yield. Compared with CT, DF markedly enhanced root morphology and physiology, increasing the root length, surface area, volume, and root-shoot ratio by 16.46%, 23.87%, 26.64%, and 51.34%, respectively. The root bleeding intensity increased by 23.63%, whereas amino acid and nitrate contents in the bleeding sap increased by 29.20% and 65.93%, respectively, indicating improved root nutrient transport capacity. The enhanced root system positively influenced shoot photosynthesis by increasing the chlorophyll SPAD value by 16.05%, net photosynthetic rate (Pn) by 11.28%, and the activities of RuBP, PEP, nitrate reductase (NR), and glutamine synthetase (GS) by 10.59%, 24.36%, 29.94%, and 12.47%, respectively. These synergistic improvements significantly promoted post-anthesis biomass accumulation and yield formation. DF increased nitrogen and dry matter accumulation at the R3 stage by 26.61% and 15.67%, respectively, and resulted in an average yield increase of 8.34%, which was primarily due to an 11.96% increase in 100-grain weight. Although SI and SM also improved certain physiological indices, their effects were weaker than those of DF. RF analysis identified sap nitrate content (RNO), bleeding intensity (RBI), root length (RL), and root volume (RV) as key yield determinants. PLS-SEM further revealed that straw return enhanced root morphology and bleeding traits (path coefficients: 0.96 and 0.82), which subsequently improved leaf photosynthetic traits (path coefficients: 0.52 and 0.39) and biomass accumulation (path coefficient: 0.71). Collectively, these improvements promoted post-anthesis nitrogen accumulation and dry matter partitioning into grains. These findings elucidated the physiological mechanism by which deep straw incorporation increased maize yield through root system optimization, providing a theoretical basis for conservation tillage optimization in the thin-layer Mollisol region of the Songnen Plain. Full article
(This article belongs to the Special Issue Physiological Ecology and Regulation of High-Yield Maize Cultivation)
Show Figures

Figure 1

21 pages, 4325 KB  
Article
Organic and Inorganic Phosphorus Inputs Shape Wheat Productivity and Soil Bioavailability: A Microbial and Enzymatic Perspective from Long-Term Field Trials
by Zhiyi Zhang, Yafen Gan, Fulin Zhang, Xihao Fu, Linhuan Xiong, Ying Xia, Dandan Zhu and Xianpeng Fan
Microorganisms 2025, 13(11), 2434; https://doi.org/10.3390/microorganisms13112434 - 23 Oct 2025
Viewed by 631
Abstract
Bioavailable phosphorus is essential for sustaining high crop productivity, yet excessive inorganic P fertilization often leads to P accumulation in stable soil forms, reducing utilization efficiency. Straw serves as an organic P source and enhances P availability by stimulating microbial activity. However, systematic [...] Read more.
Bioavailable phosphorus is essential for sustaining high crop productivity, yet excessive inorganic P fertilization often leads to P accumulation in stable soil forms, reducing utilization efficiency. Straw serves as an organic P source and enhances P availability by stimulating microbial activity. However, systematic studies on how organic P inputs (straw returning) and inorganic P fertilizers regulate soil bioavailable P through microbial and enzymatic processes remain limited. A 16-year field experiment was carried out in a rice–wheat rotation system, including five fertilization treatments: no fertilization (CK), optimized fertilization (OPT), increased N (OPTN), increased P (OPTP), and optimized fertilization combined with straw mulching/returning (OPTM). This study evaluates the impacts of long-term organic and inorganic P sources on soil P fractions, extracellular enzyme activities, and the composition of microbial communities, alongside their collective contributions to crop yield. In this study, based on soil samples collected in 2023, we found that fertilization led to significant increases in Citrate-P and HCl-P, enhanced the activities of β-1,4-glucosidase (BG), β-D-cellobiosidase (CBH), and β-1,4-N-acetylglucosaminidase (NAG), and altered both microbial diversity and co-occurrence network complexity. The OPTM treatment showed the highest yield and improved microbial diversity and network complexity, with Enzyme-P, Citrate-P, and HCl-P increasing by 62.64%, 11.24%, and 9.49%, and BG, CBH, and NAG activities rising by 22.74%, 40.90%, and 18.09% compared to OPT. Mantel tests and random forest analyses revealed significant associations between microbial community and biochemical properties, while partial least squares path modeling (PLS-PM) indicated that inorganic P source enhanced yield primarily through altering soil P dynamics and enzymatic processes, while microbial communities under organic P source acted as key mediators to increase crop productivity. These findings deepen insights into how microbial communities and enzymatic stoichiometry synergistically regulate phosphorus bioavailability and wheat yield, providing a theoretical basis for sustainable fertilization practices in rice–wheat rotation systems. Full article
(This article belongs to the Section Microbiomes)
Show Figures

Graphical abstract

21 pages, 3274 KB  
Article
Enhanced SWAP Model for Simulating Evapotranspiration and Cotton Growth Under Mulched Drip Irrigation in the Manas River Basin
by Shuo Zhang, Tian Gao, Rui Sun, Muhammad Arsalan Farid, Chunxia Wang, Ping Gong, Yongli Gao, Xinlin He, Fadong Li, Yi Li, Lianqing Xue and Guang Yang
Agriculture 2025, 15(20), 2178; https://doi.org/10.3390/agriculture15202178 - 21 Oct 2025
Viewed by 733
Abstract
Model-based simulation of farmland evapotranspiration and crop growth facilitates precise monitoring of crop and farmland dynamics with high efficiency, real-time responsiveness, and continuity. However, there are still significant limitations in using crop models to simulate the dynamic process of evapotranspiration and cotton growth [...] Read more.
Model-based simulation of farmland evapotranspiration and crop growth facilitates precise monitoring of crop and farmland dynamics with high efficiency, real-time responsiveness, and continuity. However, there are still significant limitations in using crop models to simulate the dynamic process of evapotranspiration and cotton growth in mulched drip-irrigated cotton fields under different irrigation gradients. The SWAP crop growth model effectively simulates crop growth. However, the original SWAP model lacks a dedicated module to consider the impact of mulching on cotton field evapotranspiration and cotton dry matter mass. Therefore, in this study, the source codes of the soil moisture, evapotranspiration, and crop growth modules of the SWAP model were improved. The evapotranspiration and cotton growth data of the mulched drip-irrigated cotton fields under three irrigation treatments (W1 = 3360 m3·hm−2, W2 = 4200 m3·hm−2, and W3 = 5040 m3·hm−2) in 2023 and 2024 at the Xinjiang Modern Water-saving Irrigation Key Experimental Station of the Corps were used to verify the simulation accuracy of the improved SWAP model. Research shows the following: (1) The average relative errors of the simulated evapotranspiration, leaf area index, and dry matter weight of cotton in the improved SWAP crop growth model are all <20% compared with the measured values. The root means square errors of the three treatments (W1, W2, and W3) ranged from 0.85 to 1.38 mm, from 0.03 to 0.18 kg·hm−2, and 55.01 to 69 kg·hm−2, respectively. The accuracy of the improved model in simulating evapotranspiration and cotton growth in the mulched cotton field increased by 37.49% and 68.25%, respectively. (2) The evapotranspiration rate of cotton fields is positively correlated with the irrigation water volume and is most influenced by meteorological factors such as temperature and solar radiation. During the flowering stage, evapotranspiration accounted for 62.83%, 62.09%, 61.21%, 26.46%, 40.01%, and 38.8% of the total evapotranspiration. Therefore, the improved SWAP model can effectively simulate the evaporation and transpiration of the mulched drip-irrigated cotton fields in the Manas River Basin. This study provides a scientific basis for the digital simulation of mulched farmland in the arid regions of Northwest China. Full article
Show Figures

Figure 1

Back to TopTop