Sign in to use this feature.

Years

Between: -

Subjects

remove_circle_outline
remove_circle_outline
remove_circle_outline
remove_circle_outline
remove_circle_outline
remove_circle_outline
remove_circle_outline
remove_circle_outline
remove_circle_outline

Journals

remove_circle_outline
remove_circle_outline
remove_circle_outline
remove_circle_outline
remove_circle_outline
remove_circle_outline
remove_circle_outline
remove_circle_outline
remove_circle_outline
remove_circle_outline

Article Types

Countries / Regions

remove_circle_outline
remove_circle_outline
remove_circle_outline
remove_circle_outline
remove_circle_outline

Search Results (514)

Search Parameters:
Keywords = monotone ordered

Order results
Result details
Results per page
Select all
Export citation of selected articles as:
17 pages, 2258 KB  
Article
The Mixed Halogen-Ion Effect in Lead Silicate Glasses: A Correlative Study of Ionic Transport and Optical Spectroscopy in the 45PbO–xPbF2–(20−x)PbCl2–35SiO2 System
by Manar Alenezi, Amrit Prasad Kafle, Meznh Alsubaie, Najwa Albalawi, Ian L. Pegg and Biprodas Dutta
Electron. Mater. 2026, 7(1), 3; https://doi.org/10.3390/electronicmat7010003 - 5 Feb 2026
Abstract
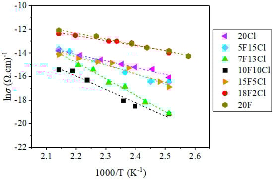
We present a fresh perspective on the mixed halogen-ion effect (MHE) in lead silicate glasses containing a mixture of halogen ions with a correlative study of optical spectroscopy and halogen ion transport. PbO was partially substituted by either PbCl2 or PbF2 [...] Read more.
We present a fresh perspective on the mixed halogen-ion effect (MHE) in lead silicate glasses containing a mixture of halogen ions with a correlative study of optical spectroscopy and halogen ion transport. PbO was partially substituted by either PbCl2 or PbF2 in the ternary glass system: (65 − x) − x(PbF2 or PbCl2)-35SiO2 (where 0 ≤ x ≤ 20 mol%) and by a mixture of PbF2 and PbCl2 in the quaternary glass series: 45PbO − xPbF2 − (20 − x)PbCl2–35SiO2 (where 0 ≤ x ≤ 20 mol%). A suite of improved characterization techniques, including 4-probe van der Pauw resistivity measurements, optical absorption spectroscopy, differential thermal analysis, etc., was employed to correlate composition with physical properties. Replacing PbO with small quantities of PbF2 or PbCl2 in binary 65PbO-35SiO2 glass resulted in a dramatic increase in conductivity by 3–4 orders of magnitude, confirming a shift from Pb2+-mediated to halide ion-mediated conduction and, within the mixed-halogen series, a profound MHE was observed. Contrary to previously reported data, the activation energy for conduction and the resistivity both exhibited maxima at the mixed halogen-ion ratio, MHR = (F/(F + Cl), of 0.5. The glass transition temperature (Tg) exhibited a non-monotonic trend, peaking at 506 °C for the MHR = 0.5 composition. Optical absorption measurements have revealed that the MHR = 0.5 glass has the broadest absorption edge and also exhibits certain features in the near IR region of the Urbach tail, which are suggestive of maximum electronic disorder. Full article
Show Figures

Figure 1

22 pages, 338 KB  
Article
Some Properties of Positive Solutions for Nonlinear Systems Involving Pseudo-Relativistic Operators
by Xiaoshan Wang and Zengbao Wu
Fractal Fract. 2026, 10(2), 108; https://doi.org/10.3390/fractalfract10020108 - 3 Feb 2026
Viewed by 34
Abstract
In this paper, we mainly investigate the radial symmetry and monotonicity of positive solutions for a nonlinear system involving pseudo-relativistic operators and fractional derivatives of order (0,1). First, we prove a more general Narrow Region Principle and a [...] Read more.
In this paper, we mainly investigate the radial symmetry and monotonicity of positive solutions for a nonlinear system involving pseudo-relativistic operators and fractional derivatives of order (0,1). First, we prove a more general Narrow Region Principle and a Decay at Infinity Principle, which are essential for nonlocal pseudo-relativistic operators. Then, by using the direct method of moving planes, we prove the radial symmetry and radial monotonicity of positive solutions for the nonlinear system in the bounded domain B1(0) and the whole space, respectively. Finally, we show that the positive solutions of the system are strictly monotonically increasing in a Lipschitz coercive epigraph. Full article
(This article belongs to the Section General Mathematics, Analysis)
Show Figures

Figure 1

18 pages, 6615 KB  
Article
Experimental Investigation of Thermal Response of Single-Glass Photovoltaic Modules with Different Inclination Angles
by Jinlong Zhao, Shuai Zhang, Xinjiang Li, Xin Kong, Lihong Zhao and Jun Shen
Fire 2026, 9(2), 62; https://doi.org/10.3390/fire9020062 - 29 Jan 2026
Viewed by 227
Abstract
In order to achieve the goal of carbon neutrality, the installed capacity of photovoltaic (PV) modules has been increasing rapidly. In particular, single-glass PV modules are widely deployed in both utility-scale and distributed PV power generation systems. However, single-glass modules are highly susceptible [...] Read more.
In order to achieve the goal of carbon neutrality, the installed capacity of photovoltaic (PV) modules has been increasing rapidly. In particular, single-glass PV modules are widely deployed in both utility-scale and distributed PV power generation systems. However, single-glass modules are highly susceptible to internal faults (e.g., direct current arc faults and hotspot faults) and external fire sources (e.g., wildland fires and rooftop fires), which may lead to simultaneous burning of the modules and adjacent combustibles, thereby promoting large-scale fire spread and causing severe economic losses. In this study, a dedicated experimental platform was developed to systematically investigate the fire behavior of single-glass PV modules under exposure to a pool fire. Systematic fire experiments were conducted to investigate the influence of module inclination angle and tempered glass integrity on the burning process, molten dripping flame behavior, and temperature-rise characteristics of single-glass PV modules. The results show that the integrity of the front glass has a pronounced effect on the burning behavior. At the same inclination angle, cracked modules exhibit significantly faster fire growth and higher temperature-rise rates than intact modules, while also being more susceptible to rapid burn-through by the external fire, accompanied by the generation of numerous molten dripping flames. In addition, the module inclination angle has a significant influence on the fire behavior of PV modules. As the inclination angle increases, the fire development rate, temperature-rise rate, and average burning duration of dripping flames all display a non-monotonic trend of first increasing and then decreasing, reaching their maxima at an inclination angle of 15°. These findings provide a theoretical basis for the fire protection design and fire risk assessment of PV power generation systems and are of practical significance for enhancing their operational safety. Full article
(This article belongs to the Special Issue Photovoltaic and Electrical Fires: 2nd Edition)
Show Figures

Figure 1

13 pages, 4275 KB  
Article
Fluctuations of Temperature in the Polyakov Loop-Extended Nambu–Jona-Lasinio Model
by He Liu, Peng Wu, Hong-Ming Liu and Peng-Cheng Chu
Universe 2026, 12(2), 37; https://doi.org/10.3390/universe12020037 - 28 Jan 2026
Viewed by 93
Abstract
In this study, we investigate temperature fluctuations in hot QCD matter using a three-flavor Polyakov loop-extended Nambu–Jona-Lasinio (PNJL) model. The high-order cumulant ratios Rn2 (n>2) exhibit non-monotonic variations across the chiral phase transition, characterized by slight fluctuations [...] Read more.
In this study, we investigate temperature fluctuations in hot QCD matter using a three-flavor Polyakov loop-extended Nambu–Jona-Lasinio (PNJL) model. The high-order cumulant ratios Rn2 (n>2) exhibit non-monotonic variations across the chiral phase transition, characterized by slight fluctuations in the chiral crossover region and significant oscillations around the critical point. In contrast, distinct peak and dip structures are observed in the cumulant ratios at low-baryon chemical potential. These structures gradually weaken and eventually vanish at high chemical potential as they compete with the sharpening of the chiral phase transition, particularly near the critical point and the first-order phase transition. Our results indicate that these non-monotonic peak and dip structures in high-order cumulant ratios are associated with the deconfinement phase transition. This study quantitatively analyzes temperature fluctuation behavior across different phase transition regions, and the findings are expected to be observed and validated in heavy-ion collision experiments through measurements of event-by-event mean transverse momentum fluctuations. Full article
(This article belongs to the Special Issue Relativistic Heavy-Ion Collisions: Theory and Observation)
Show Figures

Figure 1

22 pages, 5712 KB  
Article
Experimental Investigation of Pressure Pulsation Characteristics on Guide Vane Surface of a Low-Specific-Speed Pump–Turbine in Turbine Mode
by Lei He, Lei He, Zhongxin Gao, Jianguang Zhang and Yanlin Yi
Energies 2026, 19(3), 666; https://doi.org/10.3390/en19030666 - 27 Jan 2026
Viewed by 174
Abstract
To investigate the hydraulic instability mechanisms of low-specific-speed pump–turbines operating in turbine mode, this study experimentally characterized the pressure distribution and pulsation evolution on the guide vanes of a model unit (ns = 28) using an embedded sensor technique. By overcoming the accessibility [...] Read more.
To investigate the hydraulic instability mechanisms of low-specific-speed pump–turbines operating in turbine mode, this study experimentally characterized the pressure distribution and pulsation evolution on the guide vanes of a model unit (ns = 28) using an embedded sensor technique. By overcoming the accessibility limitations of traditional measurement methods, this research reveals the distinct pressure response mechanisms on the guide vane Front Side (upstream-facing) and Back Side (runner-facing). The results demonstrate that the time-averaged pressure distribution is highly sensitive to the Guide Vane Opening (GVO). Specifically, pressure on the Front Side increases with GVO, dominated by the improvement of flow pattern and stagnation effect, whereas pressure on the Back Side decreases monotonically, governed by the Bernoulli effect. Increasing the GVO significantly improves pressure uniformity, reducing the surface pressure gradient by 55%. Regarding dynamic characteristics, pressure fluctuation intensity on the Back Side is significantly higher than that on the Front Side. Furthermore, fluctuations are notably amplified near the tongue, confirming that flow distortion induced by the tongue is a key factor driving circumferential non-uniformity. Spectral analysis identifies the Blade Passing Frequency (BPF) as the dominant frequency, verifying Rotor–Stator Interaction (RSI) as the primary excitation source, while the guide vane channel exhibits a significant low-pass filtering effect on high-order harmonics. These findings provide a solid theoretical foundation and data support for the optimal design and stability control of pump–turbine guide vanes. Full article
(This article belongs to the Section A: Sustainable Energy)
Show Figures

Figure 1

37 pages, 5212 KB  
Article
CUES: A Multiplicative Composite Metric for Evaluating Clinical Prediction Models Theory, Inference, and Properties
by Ali Mohammad Alqudah and Zahra Moussavi
Mathematics 2026, 14(3), 398; https://doi.org/10.3390/math14030398 - 23 Jan 2026
Viewed by 207
Abstract
Evaluating artificial intelligence (AI) models in clinical medicine requires more than conventional metrics such as accuracy, Area Under the Receiver Operating Characteristic (AUROC), or F1-score, which often overlook key considerations such as fairness, reliability, and real-world utility. We introduce CUES as a multiplicative [...] Read more.
Evaluating artificial intelligence (AI) models in clinical medicine requires more than conventional metrics such as accuracy, Area Under the Receiver Operating Characteristic (AUROC), or F1-score, which often overlook key considerations such as fairness, reliability, and real-world utility. We introduce CUES as a multiplicative composite score for clinical prediction models; it is defined as CUES=(CUES)1/4, where C represents calibration, U integrated clinical utility, E equity across patient subpopulations, and S sampling stability. We formally establish boundedness, monotonicity, and differentiability on the domain (0,1]4, derive first-order sensitivity relations, and provide asymptotic approximations for its sampling distribution via the delta method. To facilitate inference, we propose bootstrap procedures for constructing confidence intervals and for comparative model evaluation. Analytic examples illustrate how CUES can diverge from traditional metrics, capturing dimensions of predictive performance that are essential for clinical reliability but often missed by AUROC or F1-score alone. By integrating multiple facets of clinical utility and robustness, CUES provides a comprehensive tool for model evaluation, comparison, and selection in real-world medical applications. Full article
(This article belongs to the Section E3: Mathematical Biology)
Show Figures

Figure 1

31 pages, 15772 KB  
Article
Effects of Diffusion Limitations and Partitioning on Signal Amplification and Sensitivity in Bienzyme Electrochemical Biosensors Employing Cyclic Product Conversion
by Romas Baronas and Karolis Petrauskas
Appl. Sci. 2026, 16(3), 1171; https://doi.org/10.3390/app16031171 - 23 Jan 2026
Viewed by 125
Abstract
In this study, the nonlinear and non-monotonic behavior of amperometric bienzyme biosensors employing an enzymatic trigger reaction is investigated analytically and computationally using a two-compartment model comprising an enzymatic layer and an outer diffusion layer. The trigger enzymatic reaction is coupled with a [...] Read more.
In this study, the nonlinear and non-monotonic behavior of amperometric bienzyme biosensors employing an enzymatic trigger reaction is investigated analytically and computationally using a two-compartment model comprising an enzymatic layer and an outer diffusion layer. The trigger enzymatic reaction is coupled with a cyclic electrochemical–enzymatic conversion (CEC) process. The model is formulated as a system of reaction–diffusion equations incorporating nonlinear Michaelis–Menten kinetics and interlayer partitioning effects. Exact steady-state analytical solutions for substrate and product concentrations, as well as for the output current, are obtained for specific cases of first- and zero-order reaction kinetics. At the transition conditions, biosensor performance is further analyzed numerically using the finite difference method. The CEC biosensor exhibits the highest signal gain when the first enzyme has low activity and the second enzyme has high activity; however, under these conditions, the response time is the longest. When the first enzyme possesses a higher substrate affinity (lower Michaelis constant) than the second, the biosensor demonstrates severalfold higher current and gain compared to the reverse configuration under identical diffusion limitations. Furthermore, increasing external mass transport resistance or interfacial partitioning can enhance the apparent signal gain. Full article
Show Figures

Figure 1

30 pages, 8059 KB  
Article
A New Discrete Model of Lindley Families: Theory, Inference, and Real-World Reliability Analysis
by Refah Alotaibi and Ahmed Elshahhat
Mathematics 2026, 14(3), 397; https://doi.org/10.3390/math14030397 - 23 Jan 2026
Viewed by 170
Abstract
Recent developments in discrete probability models play a crucial role in reliability and survival analysis when lifetimes are recorded as counts. Motivated by this need, we introduce the discrete ZLindley (DZL) distribution, a novel discretization of the continuous ZL law. Constructed using a [...] Read more.
Recent developments in discrete probability models play a crucial role in reliability and survival analysis when lifetimes are recorded as counts. Motivated by this need, we introduce the discrete ZLindley (DZL) distribution, a novel discretization of the continuous ZL law. Constructed using a survival-function approach, the DZL retains the analytical tractability of its continuous parent while simultaneously exhibiting a monotonically decreasing probability mass function and a strictly increasing hazard rate—properties that are rarely achieved together in existing discrete models. We derive key statistical properties of the proposed distribution, including moments, quantiles, order statistics, and reliability indices such as stress–strength reliability and the mean residual life. These results demonstrate the DZL’s flexibility in modeling skewness, over-dispersion, and heavy-tailed behavior. For statistical inference, we develop maximum likelihood and symmetric Bayesian estimation procedures under censored sampling schemes, supported by asymptotic approximations, bootstrap methods, and Markov chain Monte Carlo techniques. Monte Carlo simulation studies confirm the robustness and efficiency of the Bayesian estimators, particularly under informative prior specifications. The practical applicability of the DZL is illustrated using two real datasets: failure times (in hours) of 18 electronic systems and remission durations (in weeks) of 20 leukemia patients. In both cases, the DZL provides substantially better fits than nine established discrete distributions. By combining structural simplicity, inferential flexibility, and strong empirical performance, the DZL distribution advances discrete reliability theory and offers a versatile tool for contemporary statistical modeling. Full article
(This article belongs to the Special Issue Statistical Models and Their Applications)
Show Figures

Figure 1

26 pages, 12455 KB  
Article
Analysis of Geometric Wave Impedance Effect and Stress Wave Propagation Mechanism in Slack Wire Ropes
by Enze Zhou, Yonglei Dai, Ge Wang, Kaijie Yang, Runyuan Zheng and Lin Li
Appl. Sci. 2026, 16(2), 754; https://doi.org/10.3390/app16020754 - 11 Jan 2026
Viewed by 184
Abstract
The dynamic behavior of relaxed steel wire ropes under slowly varying pulse loads is dominated by the geometric wave impedance effect caused by the helical geometric topology. This study proposes a numerical analysis framework based on high-fidelity parametric solid modeling and implicit dynamics [...] Read more.
The dynamic behavior of relaxed steel wire ropes under slowly varying pulse loads is dominated by the geometric wave impedance effect caused by the helical geometric topology. This study proposes a numerical analysis framework based on high-fidelity parametric solid modeling and implicit dynamics to investigate a Seale-type 6×19S-WSC steel wire rope. Under baseline conditions without pretension and friction, the helical structure forces significant modal conversion and geometric scattering of the axially incident waves, producing an energy attenuation effect akin to “geometric filtering”. Parametric analysis varying the core wire diameter reveals that the helical structure causes the axial wave speed to decrease by orders of magnitude compared to the material’s inherent wave speed. Furthermore, changes in core wire size induce a non-monotonic variation in the dynamic response, revealing a competitive mechanism between overall stiffness increase and a “dynamic decoupling” effect caused by interlayer gaps. This study confirms the dominant role of geometric wave impedance in the dynamic performance of relaxed steel wire ropes. Full article
Show Figures

Figure 1

14 pages, 1038 KB  
Article
Designing Poly(vinyl formal) Membranes for Controlled Diclofenac Delivery: Integrating Classical Kinetics with GRNN Modeling
by Igor Garcia-Atutxa and Francisca Villanueva-Flores
Appl. Sci. 2026, 16(2), 562; https://doi.org/10.3390/app16020562 - 6 Jan 2026
Viewed by 207
Abstract
Controlled-release systems must translate material design choices into predictable pharmacokinetic (PK) profiles, yet purely mechanistic or purely data-driven models often underperform when tuning complex polymer networks. Here, we develop tunable poly(vinyl formal) membranes (PVFMs) for diclofenac delivery and integrate classical kinetic analysis with [...] Read more.
Controlled-release systems must translate material design choices into predictable pharmacokinetic (PK) profiles, yet purely mechanistic or purely data-driven models often underperform when tuning complex polymer networks. Here, we develop tunable poly(vinyl formal) membranes (PVFMs) for diclofenac delivery and integrate classical kinetic analysis with a Generalized Regression Neural Network (GRNN) to connect formulation variables to release behavior and PK-relevant targets. PVFMs were synthesized across a gradient of crosslink densities by varying HCl content; diclofenac release was quantified under standardized conditions with geometry and dosing rigorously controlled (thickness, effective area, surface-area-to-volume ratio, and areal drug loading are reported to ensure reproducibility). Release profiles were fitted to Korsmeyer–Peppas, zero-order, first-order, Higuchi, and hyperbolic tangent models, while a GRNN was trained on material descriptors and time to predict cumulative release and flux, including out-of-sample conditions. Increasing crosslink density monotonically reduced swelling, areal release rate, and overall release efficiency (strong linear trends; r ≈ 0.99) and shifted transport from anomalous to Super Case II at the highest crosslinking. Classical models captured regime transitions but did not sustain high accuracy across the full design space; in contrast, the GRNN delivered superior predictive performance and generalized to conditions absent from training, enabling accurate interpolation/extrapolation of release trajectories. Beyond prior work, we provide a material-to-PK design map in which crosslinking, porosity/tortuosity, and hydrophobicity act as explicit “knobs” to shape burst, flux, and near-zero-order behavior, and we introduce a hybrid framework where mechanistic models guide interpretation while GRNN supplies robust, data-driven prediction for formulation selection. This integrated PVFM–GRNN approach supports rational design and quality control of controlled-release devices for diclofenac and is extendable to other therapeutics given appropriate descriptors and training data. Full article
(This article belongs to the Section Materials Science and Engineering)
Show Figures

Figure 1

29 pages, 3200 KB  
Article
Accurate Prediction of Type 1 Diabetes Using a Novel Hybrid GRU-Transformer Model and Enhanced CGM Features
by Loubna Mazgouti, Nacira Laamiri, Jaouher Ben Ali, Najiba El Amrani El Idrissi, Véronique Di Costanzo, Roomila Naeck and Jean-Mark Ginoux
Algorithms 2026, 19(1), 52; https://doi.org/10.3390/a19010052 - 6 Jan 2026
Viewed by 325
Abstract
Accurate prediction of Blood Glucose (BG) levels is essential for effective diabetes management and the prevention of adverse glycemic events. This study introduces a novel designed hybrid Gated Recurrent Unit-Transformer (GRU-Transformer) model tailored to forecast BG levels at 15, 30, 45, and 60 [...] Read more.
Accurate prediction of Blood Glucose (BG) levels is essential for effective diabetes management and the prevention of adverse glycemic events. This study introduces a novel designed hybrid Gated Recurrent Unit-Transformer (GRU-Transformer) model tailored to forecast BG levels at 15, 30, 45, and 60 min horizons using only Continuous Glucose Monitoring (CGM) data as input. The proposed approach integrates advanced CGM feature extraction step. The extracted features are statistically the mean, the median, the maximum, the entropy, the autocorrelation and the Detrended Fluctuation Analysis (DFA). In addition, in order to define more enhanced and specific features, the custom 3-points monotonicity score, the sinusoidal time encoding, and the workday/weekend binary features are proposed in this work. This approach enables the model to capture physiological dynamics and contextual temporal patterns of Type 1 Diabetes (T1D) with great accuracy. To thoroughly assess the performance of the proposed method, we relied on several well-established metrics, including Root Mean Squared Error (RMSE), Coefficient of Determination (R2), Mean Absolute Error (MAE), Mean Absolute Percentage Error (MAPE), and Root Mean Squared Percentage Error (RMSPE). Experimental results demonstrate that the proposed method achieves superior predictive accuracy for both short-term (15–30 min) and long-term (45–60 min) forecasting. Specifically, the model attained the lowest average RMSE values, with 4.00 mg/dL, 6.65 mg/dL, 7.96 mg/dL, and 8.91 mg/dL and yielding consistently high R2 scores for the respective prediction horizons. This new method distinguishes itself by continuously exceeding current prediction models, reinforcing its potential for real-time CGM and clinical decision support. Its high accuracy and adaptability make it a favorable tool for improving diabetes management and personalized glycemic control. Full article
Show Figures

Figure 1

32 pages, 4948 KB  
Article
Closed-Form Design Quantiles Under Skewness and Kurtosis: A Hermite Approach to Structural Reliability
by Zdeněk Kala
Mathematics 2026, 14(1), 70; https://doi.org/10.3390/math14010070 - 24 Dec 2025
Viewed by 657
Abstract
A Hermite-based framework for reliability assessment within the limit state method is developed in this paper. Closed-form design quantiles under a four-moment Hermite density are derived by inserting the Gaussian design quantile into a calibrated cubic translation. Admissibility and implementation criteria are established, [...] Read more.
A Hermite-based framework for reliability assessment within the limit state method is developed in this paper. Closed-form design quantiles under a four-moment Hermite density are derived by inserting the Gaussian design quantile into a calibrated cubic translation. Admissibility and implementation criteria are established, including a monotonicity bound, a positivity condition for the platykurtic branch, and a balanced Jacobian condition for the leptokurtic branch. Material data for the yield strength and ductility of structural steel are fitted using moment-matched Hermite models and validated through goodness-of-fit tests. A truss structure is subsequently analysed to quantify how non-Gaussian input geometry influences structural resistance and its associated design value. Variance-based Sobol sensitivity analysis shows that departures of the radius distribution toward negative skewness and higher kurtosis increase the first-order contribution of geometric variables and thicken the lower tail of the resistance distribution. The closed-form Hermite design resistances agree closely with numerical integration results and reveal systematic deviations from FORM estimates, which depend solely on the mean and standard deviation. Monte Carlo simulations confirm these trends and highlight the slow convergence of tail quantiles and higher-order moments. The proposed approach remains fully compatible in the Gaussian limit and offers a practical complement to EN 1990 verification procedures when skewness and kurtosis have a significant influence on design quantiles. Full article
Show Figures

Figure 1

12 pages, 1439 KB  
Article
Tensile Strain Effect on Thermoelectric Properties in Epitaxial CaMnO3 Thin Films
by Ebenezer Seesi, Mohammad El Loubani, Habib Rostaghi Chalaki, Avari Suber, Caden Kincaid and Dongkyu Lee
Appl. Sci. 2026, 16(1), 193; https://doi.org/10.3390/app16010193 - 24 Dec 2025
Viewed by 373
Abstract
A deterministic platform for engineering epitaxial strain in CaMnO3-δ (CMO) thermoelectric thin films is demonstrated using pulsed laser deposition, enabling precise control of the interplay between strain state and oxygen vacancy formation. High-quality epitaxial CMO films are grown on four different single [...] Read more.
A deterministic platform for engineering epitaxial strain in CaMnO3-δ (CMO) thermoelectric thin films is demonstrated using pulsed laser deposition, enabling precise control of the interplay between strain state and oxygen vacancy formation. High-quality epitaxial CMO films are grown on four different single crystalline substrates, which impose fully relaxed, partially relaxed, low tensile, and high tensile strain states, respectively. Increasing tensile strain induces a monotonic expansion of the unit cell volume and a systematic rise in oxygen vacancy concentration. Oxygen vacancies increase carrier concentration but decrease mobility due to enhanced scattering. Reducing tensile strain suppresses scattering of electrons by oxygen vacancies and increases both electrical conductivity (σ) and the Seebeck coefficient (S), mitigating the conventional inverse relationship between S and σ. Fully relaxed films exhibit σ approximately four orders of magnitude higher at room temperature than highly tensile strained films. These relaxed films also show the highest power factor (PF = S2·σ), exceeding strained films by up to six orders of magnitude. Strain-controlled oxygen vacancies thus provide a direct route to optimize charge transport and maximize the thermoelectric performance of CMO thin films. Full article
Show Figures

Figure 1

28 pages, 531 KB  
Article
On Asymptotic Series for Generalized Airy, Circular, and Hyperbolic Functions
by Luiz M. B. C. Campos and Manuel J. S. Silva
Mathematics 2026, 14(1), 52; https://doi.org/10.3390/math14010052 - 23 Dec 2025
Viewed by 298
Abstract
The paper concerns the solution of the ordinary differential equation y±xmy=0, which may be designated the generalized Airy equation, since the original Airy equation corresponds to the particular case m=1 with the + [...] Read more.
The paper concerns the solution of the ordinary differential equation y±xmy=0, which may be designated the generalized Airy equation, since the original Airy equation corresponds to the particular case m=1 with the + sign. The solutions may be designated generalized circular (hyperbolic) sines and cosines for the + (−) sign, since the particular case m=0 corresponds to the elementary circular (hyperbolic) sines and cosines. There are 3 cases of solution of the generalized Airy equation, depending on the parameter m: (I) for m a non-negative integer, the coefficient xm is an analytic function, and the solutions are also analytic series; (II) for m complex other than an integer, the coefficient xm has a branch point at the origin, and the solutions also have a branch point multiplied by an analytic series; (III) for m a negative integer, the coefficient xm has a pole of order m, and the generalized Airy equation is singular. Case III has four subcases: (III-A) for m=1, the coefficient x1 is a simple pole, and the solutions are Frobenius–Fuchs series of two kinds; (III-B) for m=2, the coefficient is a double pole, and the solutions are a combination of elementary functions, namely exponential, logarithmic, and circular (hyperbolic) sine and cosine for the + (−) sign; (III-C,D) for m=3,4,, the coefficient is a pole of multiplicity m, and the generalized Airy differential equation has an irregular singularity of degree m2 at the origin. In the sub-cases (III-C,D), the solutions can be obtained by inversion as asymptotic series of descending powers specified by (III-C) Frobenius–Fuchs series of two kinds for a triple pole m=3; (III-D) for higher-order poles m=4,5, by generalized circular (hyperbolic) sines and cosines of 1/x. It is shown that in all cases the ascending and descending series are absolutely and uniformly convergent with the n-th term decaying like On2. This enables the use of a few terms of the series to obtain tables and plot graphs of the solutions of the generalized Airy differential equation as generalized circular and hyperbolic sines and cosines for several values of the parameter m. As a physical application, it is shown that the generalized circular (hyperbolic) cosines and sines specify the motion of a linear oscillator with natural frequency a power of time in the oscillatory (monotonic) case when the origin is an attractor (repeller). Full article
(This article belongs to the Section C1: Difference and Differential Equations)
Show Figures

Figure 1

22 pages, 2279 KB  
Article
Ship Model Identification Using Interpretable 4-DOF Maneuverability Models for River Combat Boat
by Juan Contreras Montes, Aldo Lovo Ayala, Daniela Ospino-Balcázar, Kevin Velasquez Gutierrez, Carlos Soto Montaño, Roosvel Soto-Diaz, Javier Jiménez-Cabas, José Oñate López and José Escorcia-Gutierrez
Computation 2025, 13(12), 296; https://doi.org/10.3390/computation13120296 - 18 Dec 2025
Viewed by 280
Abstract
Ship maneuverability models are typically defined by three degrees of freedom: surge, sway, and yaw. However, patrol vessels operating in riverine environments often exhibit significant roll motion during course changes, necessitating the inclusion of this dynamic. This study develops interpretable machine learning models [...] Read more.
Ship maneuverability models are typically defined by three degrees of freedom: surge, sway, and yaw. However, patrol vessels operating in riverine environments often exhibit significant roll motion during course changes, necessitating the inclusion of this dynamic. This study develops interpretable machine learning models capable of predicting vessel behavior in four degrees of freedom (4-DoF): surge, sway, yaw, and roll. A dataset of 125 h of simulated maneuvers was employed, including 29 h of out-of-distribution (OOD) conditions to test model generalization. Four models were implemented and compared over a 15-step prediction horizon: linear regression, third-order polynomial regression, a state-space model obtained via the N4SID algorithm, and an AutoRegressive model with eXogenous inputs (ARX). Results demonstrate that all models captured the essential vessel dynamics, with the state-space model achieving the best overall performance (e.g., NMSE = 0.0246 for surge velocity on test data and 0.0499 under OOD conditions). Variable-wise, surge and sway showed the lowest errors, roll rate remained stable, and yaw rate was the most sensitive to distribution shifts. Model-wise, the ARX model achieved the lowest NMSE for surge prediction (0.0149), while regression-based models provided interpretable yet less accurate alternatives. Multi-horizon evaluation (1-, 5-, 15-, and 30-step) under OOD conditions confirmed a consistent monotonic degradation across models. These findings validate the feasibility of using interpretable machine learning models for predictive control, autonomous navigation, and combat scenario simulation in riverine operations. Full article
(This article belongs to the Section Computational Engineering)
Show Figures

Figure 1

Back to TopTop