Experimental Investigation of Pressure Pulsation Characteristics on Guide Vane Surface of a Low-Specific-Speed Pump–Turbine in Turbine Mode
Abstract
1. Introduction
2. Model Test for Pump–Turbine
2.1. Model Test Bench and Pump–Turbine Model
2.1.1. Description of the Model Test Bench
2.1.2. Uncertainty Analysis of Model Test
2.1.3. Pump–Turbine Model
2.2. Arrangement of Pressure Pulsation Measurement Points for Model Test
2.3. Pressure Pulsation Measurement Inside the Guide Vane
2.3.1. Internal Structure and Fabrication of the Special Guide Vane
2.3.2. Arrangement of Pressure Pulsation Measurement Points on the Special Guide Vanes
- (a).
- Front Side of guide vane: Defined as the surface oriented towards the stay vanes.
- (b).
- Back Side of guide vane: Defined as the surface oriented towards the runner.
2.3.3. Data Acquisition System and Calibration of Pressure Sensors
3. Result and Discussion
3.1. Performance Characteristics in Turbine Mode
3.2. Pressure Pulsation Characteristics on the Guide Vane Surface
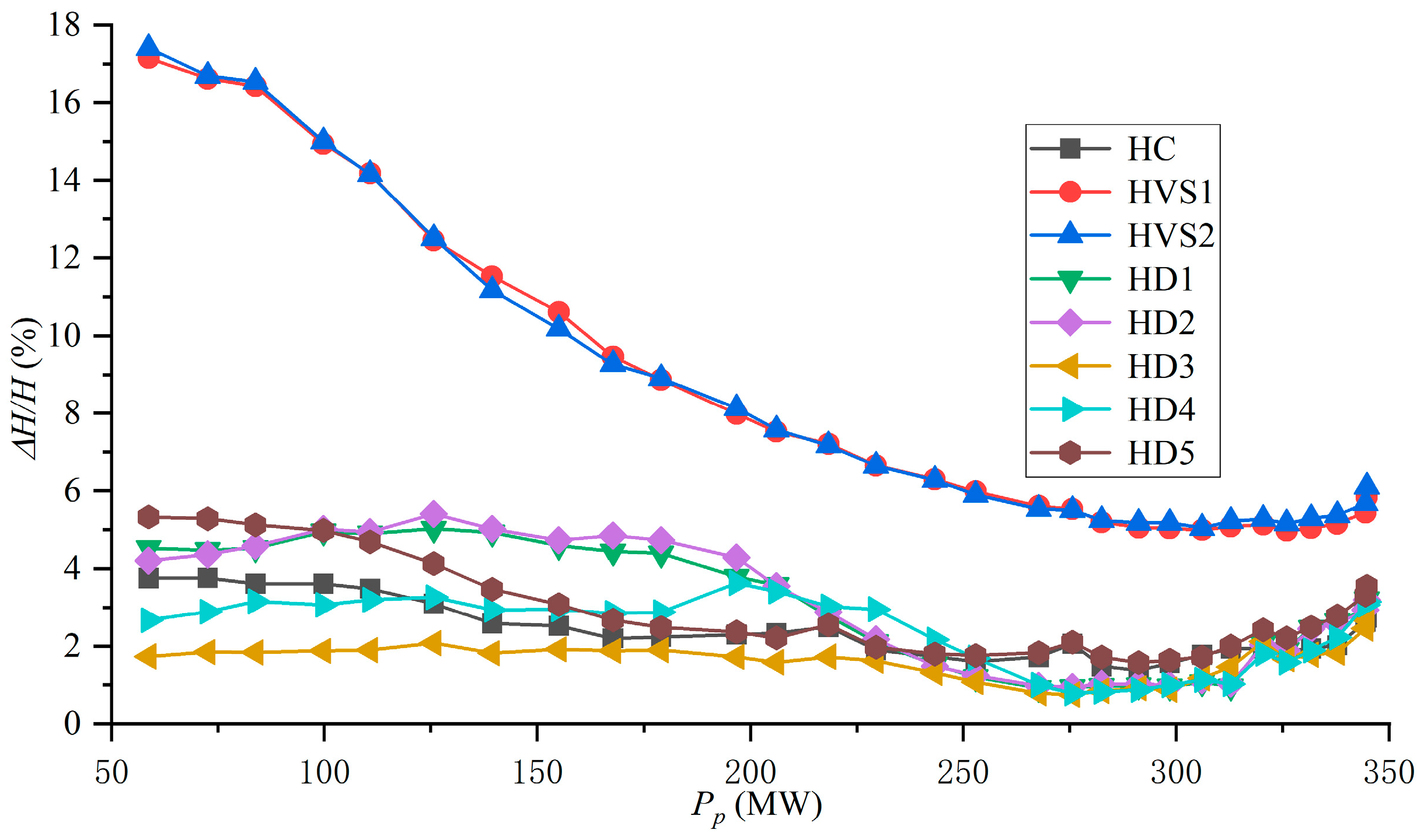
3.2.1. Pressure Distribution on the Guide Vane Surface
3.2.2. Time-Domain Characteristics of Pressure Pulsations on the Guide Vane Surface
3.2.3. Frequency-Domain Characteristics of Pressure Pulsations on Guide Vane Surface
4. Conclusions
- (1)
- Sensitivity of Time-Averaged Pressure to GVO: The time-averaged pressure distribution on the guide vane surface exhibits high sensitivity to the Guide Vane Opening (GVO). Specifically, the pressure on the Front Side typically increases with GVO, whereas the pressure on the Back Side monotonically decreases. The governing flow mechanisms differ significantly between these two regions. On the Front Side, the positive angle of attack (characteristic of partial load conditions) gradually decreases as the flow rate increases, thereby improving the flow regime. Simultaneously, the stagnation effect converts kinetic energy into pressure energy, causing a pressure rise. Conversely, pressure variation on the Back Side is governed by the Bernoulli effect, primarily driven by the conversion of kinetic energy into pressure energy. Notably, increasing the GVO from 10 mm to 30 mm improved pressure distribution uniformity and reduced the surface pressure gradient by 55%, indicating that a larger GVO is a critical operating parameter for mitigating non-uniform hydraulic loads.
- (2)
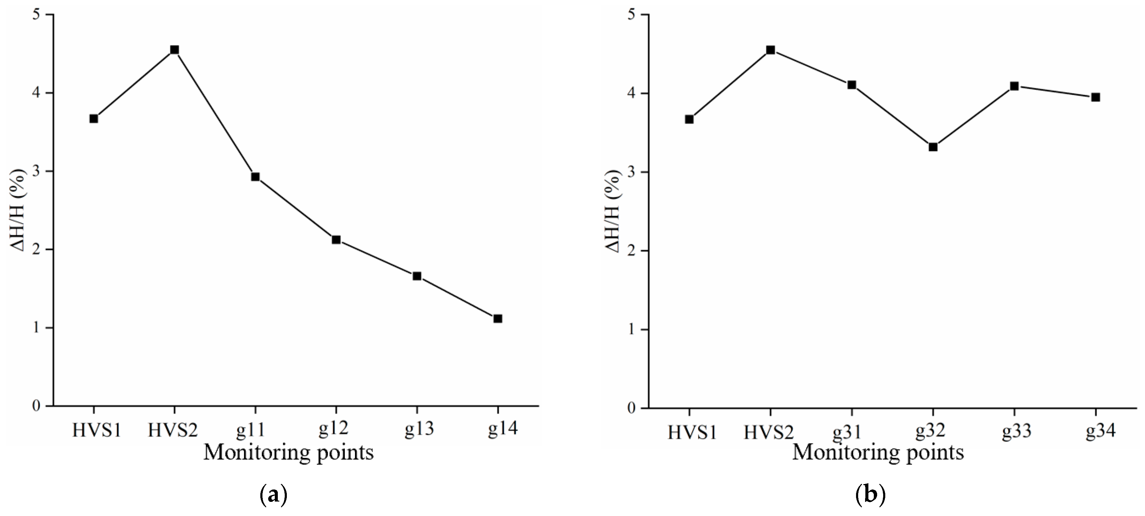
- Spatial Disparity in Pressure Fluctuation Intensity: Under small GVO conditions, the pressure fluctuation intensity within the guide vane region is second only to that in the vaneless space. The fluctuation amplitude on the Back Side is significantly higher than that on the Front Side. This disparity arises because the Back Side directly faces the runner, subjecting it to periodic pressure waves with minimal propagation attenuation. In terms of streamwise distribution, the fluctuation amplitude on the Front Side increases gradually along the flow direction, whereas the intensity on the Back Side shows little streamwise variation. Furthermore, circumferential analysis reveals that pressure fluctuation amplitudes near the tongue are significantly higher than those in regions far from the tongue. This confirms that flow distortion induced by the tongue is a key factor driving the circumferential non-uniformity and local enhancement of pressure pulsations in the guide vane region.
- (3)
- Spectral Characteristics and RSI Mechanisms: The study confirms that the dominant frequency in the guide vane region is the Blade Passing Frequency (BPF, i.e., 7fn), verifying that Rotor–Stator Interaction (RSI) is the primary excitation source of unsteady pressure in this domain. The BPF amplitude is spatially highly non-uniform, with significantly elevated values observed on guide vanes near the tongue, suggesting that the circumferentially non-uniform inflow locally enhances the RSI effect. Interestingly, high-order harmonic components (f/fn > 21) are significantly suppressed. This strongly suggests that, due to geometric constraints and boundary layer effects, the guide vane channel exerts a significant low-pass filtering effect on short-wavelength, high-frequency pressure pulsations.
Author Contributions
Funding
Data Availability Statement
Acknowledgments
Conflicts of Interest
References
- Yang, W.; Zhao, Z.; Pérez-Díaz, J.I.; Hunt, J.; Vagnoni, E.; Nøland, J.; Quaranta, E.; Wang, R.; Li, X.; Cheng, Y. Pumped storage hydropower operation for supporting clean energy systems. Nat. Rev. Clean Technol. 2025, 1, 454–473. [Google Scholar] [CrossRef]
- Xiao, Y.; Zhang, M.; Lei, L.; Ma, C.; Zhao, Z.; Chen, H.; Mahmude, A.; Chen, D. Balancing operational efficiency and regulation performance, for guiding pumped-storage day-ahead scheduling. J. Clean. Prod. 2024, 481, 144097. [Google Scholar] [CrossRef]
- Wang, R.; Yang, W.; Ji, L.; Li, X.; Zhang, S.; Jing, X. Regulation intensity assessment of pumped storage units in daily scheduling for renewable energy consumption. Sustain. Energy Technol. Assess. 2023, 56, 103027. [Google Scholar] [CrossRef]
- Huang, Y.; Yang, W.; Zhao, Z.; Han, W.; Li, Y.; Yang, J. Dynamic modeling and favorable speed command of variable-speed pumped-storage unit during power regulation. Renew. Energy 2023, 206, 769–783. [Google Scholar] [CrossRef]
- Egusquiza, E.; Valero, C.; Huang, X.; Jou, E.; Guardo, A.; Rodriguez, C. Failure investigation of a large pump-turbine runner. Eng. Fail. Anal. 2012, 23, 27–34. [Google Scholar] [CrossRef]
- Xu, H.; Lu, L.; Wang, W.; Zhao, L. Study on generating mechanism of pressure fluctuation in the vaneless region of the pump-turbine. J. China Inst. Water Resour. Hydropower Res. 2020, 18, 248–256. (In Chinese) [Google Scholar]
- Xiao, W.; Chen, L.; Ren, S.; Yan, B.; Liu, Z.; Xiao, Y. Analysis of Pressure Fluctuation of a Pump-Turbine with Splitter Blades on Small Opening in Turbine Mode. Energies 2024, 17, 2957. [Google Scholar] [CrossRef]
- Stosiak, M.; Karpenko, M.; Skačkauskas, P. Variations in the pressure pulsation spectrum of a hydraulic system with an oscillating relief valve. Adv. Mech. Eng. 2025, 17, 16878132251343945. [Google Scholar] [CrossRef]
- Xue, P.; Liu, Z.; Lu, L.; Gao, Z.; Meng, X. Experimental research on the rotating stall of a pump-turbine in pump mode. Water 2019, 11, 2426. [Google Scholar] [CrossRef]
- Zhao, Y.; Li, D.; Chang, H.; Fu, X.; Wang, H.; Qin, D. Suppression effect of bionic guide vanes with different parameters on the hump characteristics of pump-turbines based on entropy production theory. Energy 2023, 283, 128650. [Google Scholar] [CrossRef]
- Liu, B.; Luo, Y.; Jin, F.; Zhang, H.; Ouyang, J.; Wang, Z.; Ma, M. Effect of runner blades-guide vanes combination on a prototype pump-turbine pressure pulsation characteristics in turbine mode with special emphasis on rotor–stator interaction. Phys. Fluids 2025, 37, 096111. [Google Scholar] [CrossRef]
- Li, Q.; Zhang, Q.; Yu, J.; Fu, G.; Li, J.; Wu, Z.; Cheng, L.; Zheng, J.; Ren, S. Hydraulic Stability of Francis Turbines; China Water and Power Press: Beijing, China, 2014; pp. 268–270. (In Chinese) [Google Scholar]
- Lu, J.; Zhu, D.; Tao, R.; Xiao, R.; Liu, W. Flow stability analysis of a pump-turbine operating under energy storage small opening conditions. Eng. Comput. 2025, 42, 3491–3520. [Google Scholar] [CrossRef]
- Chen, X.; Li, Q.; Xin, L.; Zhang, S.; Feng, L.; Han, T. Study on the influence of pre-guide vanes on the bladeless region of water pump-turbine at small opening. AIP Adv. 2025, 15, 035228. [Google Scholar] [CrossRef]
- Zuo, Z.; Liu, S. Flow-induced instabilities in pump-turbines in China. Engineering 2017, 3, 504–511. [Google Scholar] [CrossRef]
- Ji, Q.; Wu, G.; Liao, W.; Fan, H. Flow Deflection between guide vanes in a Pump-turbine Operating in Pump Mode with a Slight Opening. Energies 2022, 15, 1548. [Google Scholar] [CrossRef]
- Zhang, Y.; Jiang, W.; Wang, Y.; Li, Y.; Chen, D. Vortex structure and pressure fluctuation of a pump-turbine in pump mode using large Eddy simulation. Proc. Inst. Mech. Eng. Part A J. Power Energy 2023, 237, 999–1013. [Google Scholar] [CrossRef]
- Li, X.; Cao, J.; Zhuang, J.; Wu, T.; Zheng, H.; Wang, Y.; Zheng, W.; Lin, G.; Wang, Z. Effect of Operating Head on Dynamic Behavior of a Pump–Turbine Runner in Turbine Mode. Energies 2022, 15, 4004. [Google Scholar] [CrossRef]
- Yi, C.; Zhang, Z.; Dong, H.; Lu, Y.; Xu, S.; Li, X.; Sun, C.; Zhang, S.; Wang, Z. Research on pressure fluctuation distribution law and rotor-stator interaction of pump-turbine in vaneless region of turbine mode. Front. Energy Res. 2025, 12, 1387367. [Google Scholar] [CrossRef]
- Yang, H.; He, Q.; Huang, X.; Yang, M.; Bi, H.; Wang, Z. Experimental and Numerical Investigation of Rotor–Stator Interaction in a Large Prototype Pump–Turbine in Turbine Mode. Energies 2022, 15, 5523. [Google Scholar] [CrossRef]
- Liang, A.; Li, H.; Zhang, W.; Yao, Z.; Zhu, B.; Wang, F. Study on pressure fluctuation and rotating stall characteristics in the vaneless space of a pump-turbine in pump mode. J. Energy Storage 2024, 94, 112385. [Google Scholar] [CrossRef]
- Hasmatuchi, V. Hydrodynamics of a Pump-Turbine Operating at Off-Design Conditions in Generating Mode; Technical Report; EPFL: Lausanne, Switzerland, 2012. [Google Scholar]
- Liu, D.; Li, Z.; Xu, L.; Li, J.; Yang, Y.; Wang, X.; Pang, J.; Liu, X. Vortex motion in vaneless space and runner passage of pump-turbine in S-shaped region. Phys. Fluids 2024, 36, 025115. [Google Scholar] [CrossRef]
- Li, D.; Chang, H.; Zuo, Z.; Wang, H.; Li, Z.; Wei, X. Experimental investigation of hysteresis on pump performance characteristics of a model pump-turbine with different guide vane openings. Renew. Energy 2020, 149, 652–663. [Google Scholar] [CrossRef]
- Deng, W.; Li, Z.; Ji, L.; Shang, L.; Liu, D.; Liu, X. Laser Doppler Velocimetry Test of Flow Characteristics in Draft Tube of Model Pump-turbine. Processes 2022, 10, 1323. [Google Scholar] [CrossRef]
- Gui, Z.; Xiao, Y. Overview of Hydraulic Stability of Pumped Storage Units in Unsteady state. Hydropower Pumped Storage 2019, 5, 98–101. (In Chinese) [Google Scholar]
- Xu, L.; Liu, D.; Li, Z.; Zhao, X.; Liu, X. Experimental and numerical simulation research on flow characteristics of model pump-turbine in four-quadrant operating quadrants. J. Energy Storage 2022, 54, 105083. [Google Scholar] [CrossRef]
- Zhang, H.; Chen, D.; Wu, C.; Wang, X.; Lee, J.M.; Jung, K.H. Dynamic modeling and dynamical analysis of pump-turbines in S-shaped regions during runaway operation. Energy Convers. Manag. 2017, 138, 375–382. [Google Scholar] [CrossRef]
- Deng, W.; Xu, L.; Li, Z.; Tang, W.; Wang, X.; Shang, L.; Liu, D.; Liu, X. Stability Analysis of vaneless Space in High-Head Pump-Turbine under Turbine Mode: Computational Fluid Dynamics Simulation and Particle Imaging Velocimetry Measurement. Machines 2022, 10, 143. [Google Scholar] [CrossRef]
- Lai, X.; Chen, X.; Liang, Q.; Ye, D.; Gou, Q.; Wang, R.; Yan, Y. Experimental and numerical investigation of vortex flows and pressure fluctuations in a high-head pump-turbine. Renew. Energy 2023, 211, 236–247. [Google Scholar] [CrossRef]
- He, L.; Gao, Z. Study on the influence of different circumferential offsets between guide vanes on the hydraulic efficiency of a pump-turbine. J. China Inst. Water Resour. Hydropower Res. 2019, 5, 386–393. (In Chinese) [Google Scholar]
- He, L.; Gao, Z.X.; Zhao, L.C.; Wang, W.P.; Meng, L.; Liao, C.L. Numerical study on the performance characteristics of a high-head pump-turbine based on the GEKO model. J. Phys. Conf. Ser. 2024, 2752, 012077. [Google Scholar] [CrossRef]
- He, L.; Gao, Z.; Chen, Y.; Zhang, J.; Ma, B.; Meng, X.; Rao, L. Numerical simulation prediction of pressure distribution of guide vanes in a high-head pump-turbine. IOP Conf. Ser. Earth Environ. Sci. 2021, 774, 012038. [Google Scholar] [CrossRef]
- He, L. Investigation on Internal Pressure Pulsation of High-Head Pump-Turbines. Master’s Thesis, China Institute of Water Resources and Hydropower Research, Beijing, China, 2020. (In Chinese) [Google Scholar]
- Gao, Z.; Zhu, W.; Meng, L.; Zhang, J.; Zhang, F.; Pan, L.; Lu, L. Experimental study of Francis turbine pressure fluctuations and the pressure fluctuation superposition phenomenon inside the runner. J. Fluids Eng. 2018, 140, 041208. [Google Scholar] [CrossRef]
- Zhu, L.; Meng, X.; Zhang, J.; Chen, Y.; Zhang, H.; Wang, W.; Lu, L. Pressure fluctuation test and vortex observation in Francis turbines draft tube. IOP Conf. Ser. Earth Environ. Sci. 2019, 240, 022029. [Google Scholar] [CrossRef]
- IEC 60193; Hydraulic Turbines, Storage Pumps and Pump-Turbines—Model Acceptance Tests. International Electrotechnical Commission: Geneva, Switzerland, 2019.
- Xue, P.; Liu, Z.; Lu, L.; Gao, Z.; Meng, X. Experimental study on influence of guide vane opening on flow field in guide vane region under pumping mode of pump-turbine. Water Resour. Hydropower Eng. 2020, 51, 123–129. (In Chinese) [Google Scholar]




















| Parameter | Symbol | Value |
|---|---|---|
| Number of runner blades | Zr | 7 |
| Runner inlet diameter | D1 | 548.88 mm |
| Runner outlet diameter | D2 | 250 mm |
| Height of guide vanes | b | 37.8 mm |
| Number of stay vanes | Zs | 20 |
| Number of guide vanes | Zg | 20 |
| Product Information | Technical Parameters |
|---|---|
| Model | MSP1015-700 (MT Microsystems Co., Ltd., Shijiazhuang, China) |
| Diameter | 4.6 mm |
| Thickness | 0.91 mm |
| Measurement range | 700 kPa |
| Response frequency | 200 kHz |
| Comprehensive error | 0.50% |
| Supply voltage | 10 V |
Disclaimer/Publisher’s Note: The statements, opinions and data contained in all publications are solely those of the individual author(s) and contributor(s) and not of MDPI and/or the editor(s). MDPI and/or the editor(s) disclaim responsibility for any injury to people or property resulting from any ideas, methods, instructions or products referred to in the content. |
© 2026 by the authors. Licensee MDPI, Basel, Switzerland. This article is an open access article distributed under the terms and conditions of the Creative Commons Attribution (CC BY) license.
Share and Cite
He, L.; He, L.; Gao, Z.; Zhang, J.; Yi, Y. Experimental Investigation of Pressure Pulsation Characteristics on Guide Vane Surface of a Low-Specific-Speed Pump–Turbine in Turbine Mode. Energies 2026, 19, 666. https://doi.org/10.3390/en19030666
He L, He L, Gao Z, Zhang J, Yi Y. Experimental Investigation of Pressure Pulsation Characteristics on Guide Vane Surface of a Low-Specific-Speed Pump–Turbine in Turbine Mode. Energies. 2026; 19(3):666. https://doi.org/10.3390/en19030666
Chicago/Turabian StyleHe, Lei, Lei He, Zhongxin Gao, Jianguang Zhang, and Yanlin Yi. 2026. "Experimental Investigation of Pressure Pulsation Characteristics on Guide Vane Surface of a Low-Specific-Speed Pump–Turbine in Turbine Mode" Energies 19, no. 3: 666. https://doi.org/10.3390/en19030666
APA StyleHe, L., He, L., Gao, Z., Zhang, J., & Yi, Y. (2026). Experimental Investigation of Pressure Pulsation Characteristics on Guide Vane Surface of a Low-Specific-Speed Pump–Turbine in Turbine Mode. Energies, 19(3), 666. https://doi.org/10.3390/en19030666
