Next Article in Journal
CUES: A Multiplicative Composite Metric for Evaluating Clinical Prediction Models Theory, Inference, and Properties
Previous Article in Journal
Predefined-Time Trajectory Tracking of Mechanical Systems with Full-State Constraints via Adaptive Neural Network Control
Previous Article in Special Issue
CONFIDE: CONformal Free Inference for Distribution-Free Estimation in Causal Competing Risks
 
 
Font Type:
Arial Georgia Verdana
Font Size:
Aa Aa Aa
Line Spacing:
Column Width:
Background:
Article

A New Discrete Model of Lindley Families: Theory, Inference, and Real-World Reliability Analysis

1
Department of Mathematical Sciences, College of Science, Princess Nourah bint Abdulrahman University, P.O. Box 84428, Riyadh 11671, Saudi Arabia
2
Faculty of Technology and Development, Zagazig University, Zagazig 44519, Egypt
*
Author to whom correspondence should be addressed.
Mathematics 2026, 14(3), 397; https://doi.org/10.3390/math14030397
Submission received: 8 December 2025 / Revised: 15 January 2026 / Accepted: 20 January 2026 / Published: 23 January 2026
(This article belongs to the Special Issue Statistical Models and Their Applications)

Abstract

Recent developments in discrete probability models play a crucial role in reliability and survival analysis when lifetimes are recorded as counts. Motivated by this need, we introduce the discrete ZLindley (DZL) distribution, a novel discretization of the continuous ZL law. Constructed using a survival-function approach, the DZL retains the analytical tractability of its continuous parent while simultaneously exhibiting a monotonically decreasing probability mass function and a strictly increasing hazard rate—properties that are rarely achieved together in existing discrete models. We derive key statistical properties of the proposed distribution, including moments, quantiles, order statistics, and reliability indices such as stress–strength reliability and the mean residual life. These results demonstrate the DZL’s flexibility in modeling skewness, over-dispersion, and heavy-tailed behavior. For statistical inference, we develop maximum likelihood and symmetric Bayesian estimation procedures under censored sampling schemes, supported by asymptotic approximations, bootstrap methods, and Markov chain Monte Carlo techniques. Monte Carlo simulation studies confirm the robustness and efficiency of the Bayesian estimators, particularly under informative prior specifications. The practical applicability of the DZL is illustrated using two real datasets: failure times (in hours) of 18 electronic systems and remission durations (in weeks) of 20 leukemia patients. In both cases, the DZL provides substantially better fits than nine established discrete distributions. By combining structural simplicity, inferential flexibility, and strong empirical performance, the DZL distribution advances discrete reliability theory and offers a versatile tool for contemporary statistical modeling.

1. Introduction

A discretization process refers to the reduction of a probability density into a finite number of representative mass points. This is particularly useful when evaluating models that are computationally expensive or when complete distributional knowledge is inaccessible. The discretization process is generally implemented in two steps: first, selecting the discretization points—often based on percentiles of the continuous distribution—and second, assigning probability masses accordingly. Such approaches are well-suited for practical data, for instance, lifetimes measured in days for medical patients, counts of units until system failure in engineering, or frequency data from accidents, species occurrence, insurance claims, and longevity studies; see Keefer and Bodily [1], Zaino and D’Errico [2], Hammond and Bickel [3], among others. Discrete probability models have thus become increasingly relevant in medical, engineering, reliability, and survival contexts. However, most existing studies focus on continuous formulations or generic discretization approaches, such as the ZLindley (ZL) model by Saaidia et al. [4], overlooking the complexity of distributions. To address this gap, researchers have proposed new discretization methods that extend the theory of reliability while preserving essential structural properties of the continuous parent distribution. For example, see Afify et al. [5], Alotaibi et al. [6], Chesneau et al. [7], Haj Ahmad and Elshahhat [8], Elshahhat et al. [9], and references therein.
The discretization approach proposed by Roy and Gupta [10] constructs a discrete probability model directly from the survival function of a continuous distribution by defining the probability mass at an integer point as the difference between successive survival probabilities. This mechanism guarantees non-negativity and unit total mass while preserving important reliability features of the parent distribution, such as monotonic hazard behavior and tail characteristics. As a result, the obtained discrete model remains closely connected to its continuous analog and is particularly suitable for survival and reliability analysis involving integer-valued lifetimes. Among various approaches, survival-based discretization has gained particular prominence because it preserves essential reliability characteristics of the underlying continuous model, such as monotone hazard behavior, tail properties, and stochastic ordering, while yielding analytically tractable probability mass functions that are well-suited for likelihood-based inference and censoring analysis. For more details, see Roy and Gupta [10] (for discrete normal), Roy and Ghosh [11] (for discrete Rayleigh), and Bebbington et al. [12] (for discrete additive Weibull model).
In this paper, we use the surviving discretization approach to convert the continuous ZL distribution to its discrete counterpart. Real-world applications often require data that has been filtered or collected at discrete intervals. This need arises even though the ZL distribution can effectively reproduce an increasing hazard rate shape within a continuous framework. The survival function technique for discretizing the ZL distribution not only retains crucial statistical properties like percentiles and quantiles, but it also makes it easier to evaluate data with Type-II censoring and other constraints. Through comprehensive simulation studies and carefully designed inferential procedures, we address the computational challenges associated with numerical optimization and Bayesian sampling of the discrete ZL (DZL) model that naturally arise in survival-based discrete models, while maintaining analytical tractability and reliable estimation performance. Although the DZL model outperforms other models in comparative analysis, it may be susceptible to the effects of specific data patterns, especially if the failure rate differs from the model that features a monotonic risk rate structure designed to accommodate it. Let n be the number of objects that are subjected to a life-testing experiment; only the first r failure events (denoted as y 1 < y 2 < < y r ) are recorded, and when the rth failure occurs, n r items are withdrawn, thereby stopping the examination process.
The DZL model distinguishes itself from other discrete distributions with one, two, or three parameters by providing an increasing hazard rate function. It also possesses several key statistical properties, including closed-form expressions for the probability mass function, survival function, moments, stress–strength reliability, and mean residual life, which ensure analytical tractability and practical interpretability. In light of its hazard rates, the proposed model can replicate a wide range of datasets, including those with negative skew. In two real-world applications, the DZL distribution outperformed nine distinct discrete distribution models described in the literature. Moreover, these properties facilitate reliable inference under censoring and small-sample settings, making the DZL model particularly suitable for discrete lifetime and reliability data encountered in real-world applications. Bootstrapping, Bayesian, and maximum-likelihood approaches are used to estimate the DZL( μ ) parameter using censoring and uncensoring procedures. Monte Carlo simulations assess the performance of trained estimators by utilizing accuracy metrics, including squared error, absolute bias, interval length, and coverage percentage. Collecting datasets from both engineering and healthcare applications, the DZL features are assessing their adaptability, predictive capability, and applied significance. In addition, the analysis illustrates how the model’s inferential results can inform practical processes and systematically compares its performance with that of widely recognized discrete probability models, for example, discrete Weibull, discrete gamma, discrete Nadarajah–Haghighi, and geometric, among others.
The remainder of the paper is structured as follows: The DZL distribution and its features are explored in Section 2 and Section 3, respectively. The point and interval estimates are created in Section 4 and Section 5, respectively. Section 6 displays and interprets the Monte Carlo results, while Section 7 examines data groups. The results and conclusions are discussed in Section 8. In Abbreviations Section, all abbreviations used in the paper are defined and listed.

2. New DZL Distribution

The Lindley distribution, originally introduced by Lindley [13] as a mixture of exponential and gamma laws, has found wide application in reliability and survival analysis. Despite its usefulness, the Lindley law is limited by its monotonically decreasing hazard function, which restricts its flexibility in modeling diverse lifetime behaviors. Subsequently, the ZL model has been introduced to enhance the flexibility of traditional models like the Lindley distribution. It is designed to handle both symmetric and left-skewed data, and is particularly suitable for reliability and survival analysis. Building upon this advancement, the present work develops the discrete analog of the ZL distribution. A new DZL model retains the flexibility of its continuous counterpart while being tailored for integer-valued data, thereby extending its applicability to reliability studies, count processes, and real-world phenomena where observations naturally occur in discrete form. We next introduce the probabilistic structure of the one-parameter ZL ( μ ) distribution ( μ > 0 is a scale) by specifying its probability density function, denoted by f ( · ; μ ) , and its corresponding survival function, denoted by S ( · ; μ ) , for a random variable X that follows this model, as
f ( x ; μ ) = μ 2 ( 1 + μ ) ( 1 + μ ( 2 + x ) ) e μ x , x > 0 ,
and
F ( x ; μ ) = 1 1 + μ x 2 ( 1 + μ ) e μ x ,
see, for more details, Augusto Taconeli and Rodrigues de Lara [14].
Saaidia et al. [4] stated that the ZL distribution is simpler and more tractable than many generalized models. It is also more flexible than the standard Lindley distribution and other competing distributions, such as XLindley, Xgamma, and Zegghdoudi. It is suitable for datasets that are not well-modeled using conventional distributions. In short, the ZL distribution is an innovative and practical model for age data, offering greater mathematical simplicity and flexibility than many traditional distributions. Recently, two new versions of the ZL distribution were proposed by Mahnashi and Zaagan [15] and Zeghbib et al. [16], respectively. Discretizing the ZL distribution provides a powerful extension of its continuous version, allowing its use in many real-world situations that involve count data or event occurrences observed in discrete time units. This transformation is especially useful in practical fields like reliability analysis, actuarial science, and queuing systems, where the concept of continuity may not align with the way data is captured, as they are often in integers. By using a survival-function-based discretization approach, the resulting model maintains key structural properties, such as flexibility in skewness and tail behavior, while offering a better fit than traditional discrete formulations like Poisson, geometric, or negative binomial. Numerous techniques have been developed for discretizing continuous distribution models, among which the method based on the survival function stands out as particularly influential. This survival-based discretization framework serves as the foundation for formulating the discrete analog of the model. Following this technique, we introduce a DZL ( μ ) model and some of its essential characteristics. Consistent with the approach outlined by Roy and Gupta [10], the probability mass function (PMF, P ( · ; μ ) ) of the DZL distribution, constructed via survival discretization, is
P ( Y = y ; μ ) = S ( y ) S ( y + 1 ) , = Λ ( μ ; y ) Λ ( μ ; y + 1 ) , y = 0 , 1 , 2 , ,
where Λ ( μ ; y ) = 1 + μ y 2 ( 1 + μ ) e μ y .
Consequently, from (3), the cumulative distribution function (CDF, F ( · ) ), survival function (SF, S ( · ; μ ) ), and hazard rate function (HRF, h ( · ; μ ) ) of Y, respectively, are
F ( y ; μ ) = 1 Λ ( μ ; y + 1 ) , μ > 0 , y = 0 , 1 , 2 ,
S ( y ; μ ) = Λ ( μ ; y + 1 ) ,
and
h ( y ; μ ) = Λ ( μ ; y ) Λ ( μ ; y + 1 ) 1 .
For various configurations of μ in (4) and (6), Figure 1a illustrates that the DZL probability mass function is always decreasing, highlighting its suitability for modeling monotonically declining count data. In contrast, Figure 1b demonstrates that the DZL hazard rate function is monotonically increasing, indicating an increasing risk or failure rate over time—a behavior that is desirable in many reliability and survival analysis contexts.

3. Statistical Functions

This section presents a detailed examination of several key statistical properties of the DZL distribution, including its quantile function, moment structure, order statistics, and stress–strength, among others.

3.1. Quantile

The inverse of the CDF for a discrete distribution defines the quantile function Q ( p ; μ ) , which is commonly used in simulation studies to generate random samples. Starting from the CDF given in Equation (4), we derive, through algebraic manipulation, the closed-form expression for the quantile function of the DZL distribution:
Q ( p ; μ ) = F 1 ( μ ; y + 1 ) = min { y ( 0 , 1 , 2 , ) : F ( y + 1 ; μ ) p }
hence,
( 1 Λ ( μ ; y + 1 ) ) p Λ ( μ ; y + 1 ) 1 p , 0 < p < 1 .
To solve Equation (7), we substitute Λ ( μ ; y + 1 ) ,
1 + μ ( y + 1 ) 2 ( 1 + μ ) e μ ( y + 1 ) 1 p .
The symbolic quantile function Q ( · ; μ ) , after some simplifications, is
Q ( p ) = min y ( 0 , 1 , 2 , ) : 1 + μ ( y + 1 ) 2 ( 1 + μ ) e μ ( y + 1 ) 1 p , 0 < p < 1 .
Since y exists in both the linear term and the exponent, there is generally no closed-form solution. Usually, a numerical iterative solution is required.

3.2. Moments

This part introduces the rth non-central moment of the DZL model in turn to develop the other central moments and associated coefficients.
Theorem 1.
Let Y DZL ( μ ) . The rth non-central moment of Y (say, M r ) is given by
M r = j = 0 r 1 k = 1 r j ( 1 ) r j 1 k j Λ ( μ ; k + 1 ) , r = 1 , 2 ,
provided the series converges.
Proof. 
For a discrete random variable, the rth non-central moment of Y can be written as
M r = y = 0 y r P ( Y = y ; μ ) = y = 0 y r S ( y ; μ ) S ( y + 1 ; μ ) .
Applying a standard summation-by-parts argument for discrete sequences yields
M r = k = 1 k r ( k 1 ) r S ( k ; μ ) .
Using the binomial expansion, the finite difference term can be expressed as
k r ( k 1 ) r = j = 0 r 1 r j ( 1 ) r j 1 k j .
Substituting (13) into (12), we get
M r = j = 0 r 1 k = 1 r j ( 1 ) r j 1 k j S ( k ; μ ) .
Hence, from (5) and (14), the rth non-central moment of the DZL distribution can be expressed as
M r = j = 0 r 1 k = 1 r j ( 1 ) r j 1 k j Λ ( μ ; k + 1 ) ,
which completes the proof.    □

3.3. Descriptive and Dispersion Measures

Setting r = 1 in Theorem 1, the mean E ( y ) (or M 1 ) of y, a non-negative random variable that follows the DZL ( μ ) distribution, is given by
M 1 = k = 1 1 + μ ( k + 1 ) 1 + μ e μ ( k + 1 ) .
Using the following summation identities into (16), where φ = e μ , we get
k = 1 φ k + 1 = φ 2 1 φ and k = 1 ( k + 1 ) φ k + 1 = φ ( 1 φ ) 2 φ ,
which is equivalent to
M 1 = φ 2 1 φ 1 + μ ( 2 φ ) ( 1 + μ ) ( 1 φ ) .
Similarly, setting r = 2 into Theorem 1, the second non-central moment (say, M 2 ) becomes
M 2 = k = 1 [ 1 + 2 k ] 1 + μ ( k + 1 ) 1 + μ e μ ( k + 1 ) .
Again, using the following summation identities into (16), where φ = e μ , we get
k = 1 k φ k + 1 = φ 2 ( 1 φ ) 2 and k = 1 k ( k + 1 ) φ k + 1 = 2 φ 2 ( 1 φ ) 3 .
Thus, from (20), the moment M 2 can be formulated as follows:
M 2 = 2 φ 1 φ 2 1 + 2 μ ( 1 + μ ) ( 1 φ ) M 1 2 .
As a result, the DZL distribution’s variance (say, V ) is
V = M 2 M 1 2 ,
where M i , i = 1 , 2 , provided in (16) and (21), respectively.
To evaluate and compare the variability of two independent samples, the coefficient of variation ( CV ) serves as an appropriate relative measure of dispersion. It is formally defined as the quotient of the standard deviation and the corresponding mean, CV = V 0.5 / E ( y ) . It is desirable because it is scale-invariant and dimensionless, which allows for meaningful comparisons of variability across datasets that differ in magnitude or measurement units. In practice, this makes CV a widely used index in reliability studies, survival analysis, and quality control.
Unlike CV , the dispersion index (DI), DI = V ( y ) E ( y ) , is not scale-invariant and is mainly employed in the context of non-negative discrete data. It is a fundamental diagnostic tool for count data models, where it serves to characterize departures from the equi-dispersion property of the Poisson distribution. The dispersion index DI characterizes the variability pattern of the data, where DI > 1 indicates over-dispersion, meaning that the observed variability exceeds the Poisson benchmark, DI = 1 corresponds to equi-dispersion, which is consistent with the Poisson case, and DI < 1 signifies under-dispersion, where the variability is lower than expected under Poisson assumptions. A comprehensive numerical analysis is summarized in Table 1, which reports the mean ( M ), variance ( V ), dispersion index ( DI ), coefficient of variation ( CV ), skewness ( Ψ s ), and kurtosis ( Ψ k ) for various options of μ . As μ grows, the results in Table 1 reveal the following trends:
  • For M : The mean decreases progressively, indicating a leftward shift in the central tendency of the distribution;
  • For V : A decreasing variance reflects a reduction in the overall dispersion of the data;
  • For ID : The decreasing index of dispersion suggests the distribution transitions from substantial over-dispersion toward a more equi-dispersed structure;
  • For CV : The increasing coefficient of variation implies that relative variability becomes more pronounced as the mean diminishes;
  • For Ψ s : The upward trend in skewness indicates that the distribution becomes increasingly asymmetric, with a longer right tail;
  • For Ψ k : Rising kurtosis values signal a growing peakedness and heavier tails, suggesting an increased likelihood of extreme outcomes in the distribution.
For further examination, Figure 2 visualizes the actual behavior of M , V , Ψ s , and Ψ k and supports the numerical findings in Table 1. In conclusion, as μ increases, the distribution becomes more concentrated around smaller values while exhibiting higher relative variability, skewness, and kurtosis.

3.4. Stress–Strength Reliability

Let Y i (for i = 1 , 2 ) be two independent discrete random variables following DZL distributions with parameters μ 1 and μ 2 , respectively. The stress–strength reliability (SSR) parameter (say, R ) is defined as
R = P ( Y 1 < Y 2 ) ,
which represents the probability that the strength Y 2 exceeds the applied stress Y 1 ; see Singh et al. [17] for further details.
Theorem 2.
If Y 1 DZL ( μ 1 ) and Y 2 DZL ( μ 2 ) are independent, then the SSR parameter is given by
R = y = 0 P ( Y 1 = y ; μ 1 ) S Y 2 ( y ; μ 2 ) ,
where S Y 2 ( · ) denotes the SF of Y 2 .
Proof. 
Taking two independent discrete random variables Y i (for i = 1 , 2 ), the SSR index is given by
R = P ( Y 1 < Y 2 ) = y = 0 P ( Y 1 = y , Y 2 > y ) .
Since Y i , i = 1 , 2 , are independent,
P ( Y 1 = y , Y 2 > y ) = P ( Y 1 = y ) P ( Y 2 > y ) .
Therefore, the expression of R is defined as
R = y = 0 P ( Y 1 = y ) S Y 2 ( y ) ,
For the DZL distribution, the PMF of Y 1 is
P ( Y 1 = y ) = S Y 1 ( y ; μ 1 ) S Y 1 ( y + 1 ; μ 1 ) , y = 0 , 1 , 2 , .
Consequently, from (5) and (27), the SSR of the DZL model can be represented as
R = y = 0 S Y 1 ( y ; μ 1 ) S Y 1 ( y + 1 ; μ 1 ) S Y 2 ( y ; μ 2 ) ,
where S Y 1 ( y ; μ 1 ) = Λ ( μ 1 ; y + 1 ) and S Y 2 ( y ; μ 2 ) = Λ ( μ 2 ; y + 1 ) .    □
It is worth noticing here that the SSR of the DZL distribution is exact and converges for all μ i > 0 for i = 1 , 2 . The SSR can be efficiently evaluated numerically and reduced to simpler expressions in special cases, such as μ 1 = μ 2 . This reliability measure plays an important role in reliability engineering and lifetime data analysis involving discrete survival models.

3.5. Mean Residual Life

The mean residual life (MRL) function is an essential dependability metric that indicates a unit’s predicted remaining lifetime after surviving up to a specified time point; see Tang et al. [18].
Theorem 3.
The MRL function of a discrete random variable Y, given that it follows the DZL ( μ ) , is
M R L ( τ ) = 1 S ( τ ; μ ) k = τ + 1 S ( k ; μ ) ,
where S ( · ; μ ) denotes the SF of Y.
Proof. 
The MRL, also known as the average remaining life span, refers to a component that survived for a specific duration τ , and is defined as
MRL ( τ ) = E ( Y τ Y τ ) = k = τ ( k τ ) P ( Y = k Y τ ) .
Since,
P ( Y = k Y τ ) = P ( Y = k ) P ( Y τ ) = P ( Y = k ) S ( τ ) ,
hence, with simple algebraic manipulations, we obtain
MRL ( τ ) = 1 S ( τ ) k = τ ( k τ ) P ( Y = k ) = 1 S ( τ ) j = 1 j P ( Y = τ + j ) = 1 S ( τ ) j = 1 P ( Y τ + j ) = 1 S ( τ ) k = τ + 1 S ( k ) ,
where the change of variable j = k τ has been applied.
Consequently, from (5) and (33), the MRL of the DZL model can be represented as
MRL ( τ ) = 1 S ( τ ; μ ) k = τ + 1 S ( k ; μ ) ,
which completes the proof.    □
The MRL (34) exists and is finite for all μ > 0 . Its explicit representation highlights the analytical tractability of the DZL model and its suitability for reliability analysis involving discrete lifetime data. To illustrate the behavior of the SSR and MRL functions derived from Equations (29) and (34), three-dimensional surface plots are presented. These plots depict the SSR for various values of the stress/strength parameters μ i (for i = 1 , 2 ) and the MRL for different time values τ , as shown in Figure 3.
Figure 3a illustrates that the SSR decreases monotonically with increasing stress parameter μ 1 and increases with the strength parameter μ 2 , confirming the expected reliability behavior of the DZL model. The mean residual life surface shows a clear decreasing pattern with respect to time τ and the model parameter μ , indicating an aging property consistent with wear-out characteristics in discrete lifetime data.

3.6. Order Statistics

Let F ( y ) = Pr ( Y y ) be the CDF of a single DZL random variable. For the l-th order statistic Y l : n from a sample Y 1 , , Y n we have the CDF
F l : n ( y ; μ ) = l = 1 n n m F l : n ( y ; μ ) m 1 F l : n ( y ; μ ) n m .
Using the negative binomial theorem, the CDF can be represented as the following series:
F l : n ( y ; μ ) = l = 1 n j = 1 n m n m n m j ( 1 ) j F i ( y ; μ ) m + j .
Hence, from (4), Equation (36) becomes
F l : n ( y ; μ ) = l = 1 n j = 1 n m n m n m j ( 1 ) j 1 Λ ( μ ; y + 1 ) m + j .
The PMFs of the l-th order statistics for the DZL model are given by
f l : n ( y ; μ ) = l = 1 n j = 1 n m n m n m j ( 1 ) j Λ ( μ ; y ) Λ ( μ ; y + 1 ) m + j .

4. Parametric Inference

In this section, we employ two approaches to estimate the parameter μ of the DZL model.

4.1. Maximum Likelihood

The DZL parameter estimation using the ML approach is illustrated. Assume y = ( y 1 , . . . , y r ) represents a Type-II censored dataset with r observations collected from the DZL density. Hence, the likelihood and its logarithm version (denoted by L ( · ) and L ( · ) , respectively) are
L ( μ | y ) i = 1 r Λ ( μ ; y i ) Λ ( μ ; y i + 1 ) [ Λ ( μ ; y r + 1 ) ] n r ,
and
L ( μ | y ) i = 1 r log Λ ( μ ; y i ) Λ ( μ ; y i + 1 ) + ( n r ) log Λ ( μ ; y r + 1 ) ,
respectively. Solving (40) yields the ML estimator (MLE) of μ (symbolized by μ ^ ). So, from (40), the score function (say, S ( · ; μ ) ) of μ is
S ( μ ) i = 1 r Υ i ( μ ) Υ i ( μ ) + ( n r ) Υ r ( μ ) Υ r ( μ ) μ = μ ^ = 0 ,
where Υ i ( μ ) = [ Λ ( μ ; y i ) Λ ( μ ; y i + 1 ) ] , Υ i ( μ ) = [ Λ ( μ ; y i ) Λ ( μ ; y i + 1 ) ] , and Λ ( μ ; y i ) = y i e μ y i 2 ( 1 + μ ) 2 Λ ( μ ; y i ) .
Corollary 1.
The likelihood Equation (41) does not admit a closed-form solution; the MLE of μ must be obtained numerically. In practice, iterative procedures such as the Newton–Raphson (NR) algorithm are employed to solve the score equation until convergence.
Accordingly, using the NR method, the updating scheme is
μ ( j + 1 ) = μ ( j ) S ( μ ( j ) ) H ( μ ( j ) ) , j = 0 , 1 , 2 , ,
where S ( μ ) denotes the score function and H ( μ ) is the observed information. The sequence { μ ( j ) } j = 0 is generated recursively until it converges to the unique estimate μ ^ . To achieve this goal, we recommend utilizing the NR approach through the ‘ maxLik ’ package introduced by Henningsen and Toomet [19].
Proof. 
The second derivative of (40) with respect to μ is
H ( μ ) d 2 L d μ 2 = i = 1 r Υ i ( μ ) Υ i ( μ ) Υ i ( μ ) Υ i ( μ ) 2 + ( n r ) Υ r ( μ ) Υ r ( μ ) Υ r ( μ ) Υ r ( μ ) 2 ,
where Υ i ( μ ) = [ Λ ( μ ; y i ) Λ ( μ ; y i + 1 ) ] with
Λ ( μ ; y i ) = e μ y A ( μ ) y A ( μ ) ,
where A ( μ ) = y 1 + μ y 2 ( 1 + μ ) 1 2 ( 1 + μ ) 2 and A ( μ ) = y 1 ( 1 + μ ) 3 + y 2 ( 1 + μ ) 2 .    □
Corollary 2.
The MLE μ ^ of μ exists and is unique.
Proof. 
From (40), we rewrite the log-likelihood function as
L ( μ | y ) = i = 1 r log Δ μ ( y i ) Δ μ ( y i + 1 ) + ( n r ) log Δ μ ( y r + 1 ) ,
where Δ μ ( y ) = 1 + μ y 2 ( 1 + μ ) e μ y , μ > 0 .
  • Existence. Each Δ μ ( y ) is continuous for μ > 0 . Since logarithms are continuous on ( 0 , ) and the arguments remain positive, L ( μ ) is continuous on ( 0 , ) . As μ 0 + , we have Δ μ ( y ) Δ μ ( y + 1 ) 0 , so L ( μ ) . As μ , Δ μ ( y ) 0 , hence again L ( μ ) . By continuity, L ( μ ) attains a finite maximum at some interior point μ ^ ( 0 , ) , establishing existence. Uniqueness. Since H ( μ ) < 0 , the score function S ( μ ) is strictly decreasing in μ . Moreover, lim μ 0 + S ( μ ) > 0 , lim μ S ( μ ) < 0 . As a result, by the intermediate value theorem and strict monotonicity, the equation S ( μ ) = 0 admits exactly one solution. Therefore, the MLE μ ^ is unique.    □

4.2. Bayesian Estimator

The Bayes’ estimation of the DZL model parameter via Bayesian estimation is covered in this section. Upon this approach, the parameter μ is analyzed as a random variable that adheres to a particular model called the prior distribution. It becomes crucial to choose a suitable prior because prior knowledge is often unavailable. Here, assuming a gamma distribution for μ , a conjugate prior distribution is selected. Therefore, the non-negative hyperparameters a and b of the specified distribution are represented by μ G a m m a ( a , b ) , such as
ξ ( μ ) = b a Γ ( a 1 ) μ a 1 e b μ , a , b , μ > 0 .
The DZL’s posterior model is created using the survival discretization approach, and Equation (3) specifies its PMF. From (43) and (39), the following is the expression for the posterior density:
ξ ( μ | y ) = μ a 1 e b μ i = 1 r Λ ( μ ; y i ) Λ ( μ ; y i + 1 ) [ Λ ( μ ; y r + 1 ) ] n r .
The parameter estimate of the DZL model is acquired by the SEL function. It defines the Bayesian estimate μ ˜ of a parameter μ as the anticipated value for (44) as
μ ˜ = E [ μ | y ] = 1 0 μ a e b μ i = 1 r Λ ( μ ; y i ) Λ ( μ ; y i + 1 ) [ Λ ( μ ; y r + 1 ) ] n r d μ ,
where ( = 0 ξ ( μ ) L ( μ y ) d μ ) is the normalized free-term of μ .
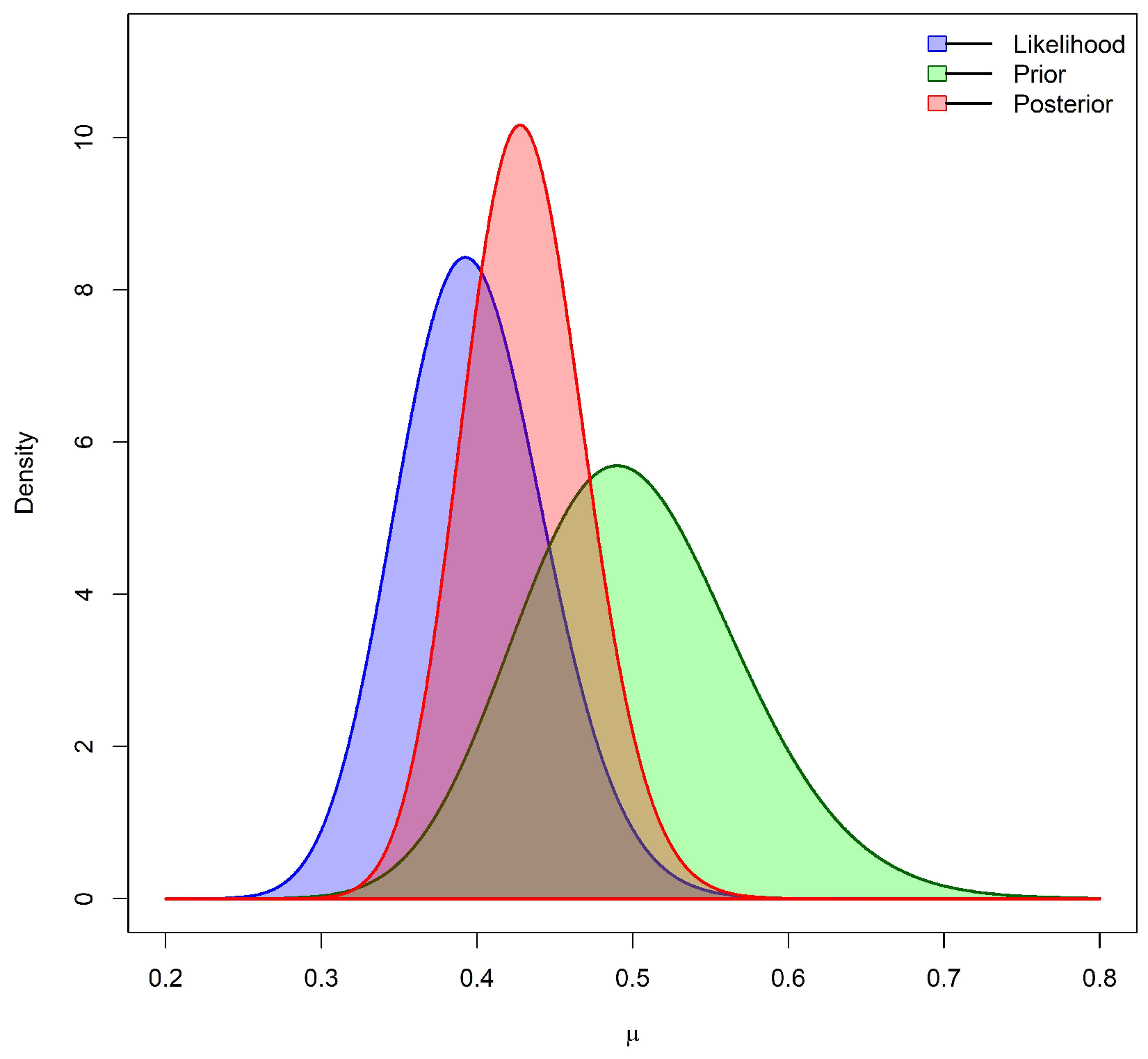
The evaluation of the posterior expectations in Equation (45) does not lend itself to a closed-form solution. Consequently, numerical integration is indispensable. Among available computational tools, the Metropolis–Hastings (M-H) algorithm, a cornerstone of the MCMC paradigm, is particularly well-suited for this task. By constructing a Markov chain with the posterior distribution as its stationary law, the M-H sampler enables efficient generation of draws from otherwise intractable posteriors. As shown in Figure 4, the posterior PDF (45) exhibits a shape that is very close to a normal distribution. This fact provides additional justification for employing a normal proposal distribution within the M-H framework. For this objective, we have implemented the algorithm in R, following the steps summarized in Algorithm 1.
Algorithm 1 Posterior Sampling of μ
  1:
Input: Assign the values of μ ^ , σ ^ μ ^ , , , and ( 1 ε )
  2:
Output: Get μ ˜
  3:
Set μ ( 0 ) μ ^
  4:
for   j = 1 , 2 , ,   do
  5:
    Generate proposal
                        μ N ( μ ( j 1 ) , σ ^ μ ^ )
  6:
    Compute acceptance ratio
                        = min 1 , p ( μ y ) p ( μ ( j 1 ) y )
  7:
    Generate u U ( 0 , 1 )
  8:
    if  u  then
  9:
        Accept: μ ( j ) μ
10:
    else
11:
        Reject: μ ( j ) μ ( j 1 )
12:
    end if
13:
end for
14:
Discard the first samples as burn-in
15:
Let =
16:
Compute posterior mean
                        μ ˜ = 1 j = + 1 μ ( j )

5. Interval Inference

Six alternative interval procedures for evaluating the DZL( μ ) parameter are investigated. Specifically, two bootstrap-based methods, two asymptotic confidence interval (ACI) approaches, and two Bayesian credible interval methods are examined. These techniques represent three distinct inferential paradigms—frequentist, resampling-based, and Bayesian—each characterized by different theoretical justifications and computational requirements. The following subsections outline the formulation of each method, describe their computational implementation, and discuss the interpretation of the resulting intervals.

5.1. Asymptotic Method

To construct the ( 1 α ) 100 % ACI using the normal approach (say, ACI[NA]) for the DZL parameter μ , the variance σ ^ μ ^ of the MLE μ ^ must be obtained first. From (42), the observed Fisher information ( FI ) is defined as FI = E H ( μ ) ; consequently, the observed information, obtained by omitting the expectation operator, is commonly employed as a computationally feasible alternative (see Lawless [20]).
Then, the asymptotic variance σ ^ μ ^ of the MLE of μ is derived as follows:
σ ^ μ ^ = FI 1 ( μ ^ ) .
Accordingly, the ( 1 α ) 100 % ACI[NA] for μ can be constructed as
μ ^ z 0.5 α σ ^ μ ^ , μ ^ + z 0.5 α σ ^ μ ^ ,
where z 0.5 α denotes the upper 0.5 α -quantile of the standard Gaussian distribution.
A well-known drawback of the ACI[NA] procedure is that it may yield a negative lower confidence bound for μ ^ , even though the parameter μ is inherently constrained to be positive. In applied work, this issue is often handled by truncating the lower limit at zero; however, such a correction is ad hoc and lacks a formal statistical justification. To address this deficiency and improve the robustness of interval estimation, Meeker and Escobar [21] advocated for the construction of a ( 1 α ) 100 % ACI based on the normal approximation applied to the logarithmic scale (denoted ACI[NL]), which is expressed as follows:
exp log ( μ ^ ) z 0.5 α σ ^ μ ^ , exp log ( μ ^ ) + z 0.5 α σ ^ μ ^ ,
where σ ^ μ ^ = σ ^ log ( μ ^ ) .

5.2. Bootstrapping Method

In practical situations, for relatively small sample sizes (n), the large-sample assumptions underlying the ACI[NA] and ACI[NL] approaches may not hold, often resulting in intervals with poor coverage probabilities. In such cases, resampling techniques provide a powerful alternative. The main idea of the bootstrap methodology is to approximate the sampling distribution of an estimator directly from the observed data. In the literature, the two most widely used approaches for interval estimation are the bootstrap-percentile (BP) and the bootstrap-t (BT) intervals.
The BP interval is obtained by directly taking quantiles of the empirical distribution of the bootstrap replications of μ ^ . In contrast, the bootstrap-t interval makes use of studentized statistics, thereby incorporating variance estimates into the resampling scheme. The BP approach is computationally straightforward and often performs well in practice, though its accuracy can be sensitive to skewness in the sampling distribution. The BT approach leads to improved performance, especially in small-sample scenarios, at the cost of greater computational effort. The general re-sampling procedure for constructing both types of intervals is summarized in Algorithm 2. Further details on bootstrap-based inference and its practical implementation in the R environment can be found in Chernick and LaBudde [22].
Algorithm 2 Bootstrapping for μ
  1:
Compute μ ^ from y
  2:
for   j = 1 to  do
  3:
      Generate a bootstrap sample { Y 1 , Y 2 , , Y r } from DZL ( μ ^ ) .
  4:
      Compute μ ^ j from dataset collected in Step 3
  5:
end for
  6:
Sort μ ^ j for j = 1 to in ascending order.
  7:
The ( 1 α ) 100 % BP Interval:
  8:
Lower μ ^ ( 0.5 α )
  9:
Upper μ ^ ( 1 0.5 α )
10:
The BP Interval ( Lower , Upper )
11:
The ( 1 α ) 100 % BT Interval:
12:
for   j = 1 to  do
13:
       T j μ μ ^ j μ ^ σ ^ μ ^
14:
end for
15:
Sort T-statistics: T ( 1 ) μ < < T ( ) μ
16:
Lower μ ^ T ( 1 0.5 α ) μ × σ ^ μ ^
17:
Upper μ ^ T ( 0.5 α ) μ × σ ^ μ ^
18:
The BT Interval ( Lower , Upper )

5.3. Credible Intervals

In the Bayesian paradigm, two common interval estimation approaches are employed using the MCMC-based framework. The first is the Bayesian credible interval (BCI), which presents a range of values for parameters that, given the information seen and prior knowledge, contains the true parameter value with a specified posterior density. The second is the highest posterior density (HPD) interval, defined as the shortest interval containing the stated posterior probability mass, thereby including only the most plausible parameter values under the posterior distribution. The step-by-step construction of both intervals is outlined in Algorithm 3.
Algorithm 3 Computation of BCI and HPD for μ
1:
Input: Posterior samples μ ( j ) for j = + 1 , , after discarding burn-in.
2:
Output: The ( 1 α ) 100 % interval limits for μ .
3:
Sort the posterior samples in ascending order: μ ( + 1 ) < μ ( + 2 ) < < μ ( ) .
4:
Compute the ( 1 α ) 100 % BCI μ 0.5 α , μ 1 0.5 α .
5:
Compute the ( 1 α ) 100 % HPD interval μ ( j ) , μ ( j + ( 1 α ) ) ,
   where j satisfies the minimizing of μ j + ( 1 α ) μ ( j ) , j = 1 , , α .

6. Numerical Comparisons

This section presents an extensive Monte Carlo simulation framework designed to examine the finite-sample behavior of the proposed estimators for the DZL( μ ) parameter.

6.1. Simulation Design

To assess the effectiveness of the proposed methodologies in the presence of Type-II censored data for the DZL( μ ) distribution, we follow the simulation structure; see Algorithm 4.
All simulations, numerical optimizations, and inferential procedures presented in this study were implemented using the R statistical computing environment version 4.4.2, as follows:
  • Frequentist estimation was carried out using numerical optimization routines by employing the NR method through the command ‘ maxNR ( ) ’, which is available in the maxLik package (by Henningsen and Toomet [19]);
  • Bootstrap estimation was conducted via repeated resampling by employing the BP and BT intervals methods through the command ‘ boot ( ) ’, which is available in the boot package (by Chernick and LaBudde [22]);
  • Bayesian estimation was carried out using MCMC posterior iteration techniques by employing the M-H method through the command ‘ run _ metropolis _ MCMC ( startvalue , N ) ( ) ’, which is available in the coda package (by Plummer et al. [23]);
  • The computations were executed on a standard personal laptop equipped with an Intel® Core i5-5200U processor running at 2.20 GHz, 8 GB RAM, and Intel® HD Graphics 5500, under a Windows-based operating system.
Algorithm 4 Simulation Design for DZL( μ ) Distribution Under Type-II Right Censoring
  1:
Step 1: Define true parameter sets (without loss of generality):
  •       Set-1: μ = 0.5
  •       Set-2: μ = 1.5
  2:
Step 2: Define sample sizes n { 20 , 40 , 80 , 100 , 150 , 200 , 250 , 300 }
  3:
Step 3: Define failure percentage FP r n × 100 % FP = { 25 % , 50 % , 75 % , 100 % }
  4:
Step 4: Define prior parameters ( a , b ) by Kundu [24]’s setup:
  •       Prior A: ( 2.5 , 5 ) for Set-1; ( 7.5 , 5 ) for Set-2
  •       Prior B: ( 5 , 10 ) for Set-1; ( 15 , 10 ) for Set-2
  5:
Step 5: Define computation settings:
  •       Total number of replications: = 5000
  •       Bayesian: iterations = 10,000 , burn-in = 2000
  •       Bootstrap: replications = 10,000
  6:
Step 6: Main Simulation Loop:
  7:
for each parameter set μ in {0.5, 1.5} do
  8:
      for each sample size n do
  9:
            for each censoring percentage FP 100 %  do
10:
                   for  i = 1 to  do
11:
                        Generate n random variates u i U ( 0 , 1 )
12:
                        Transform: y i = F 1 ( u i ; μ )
13:
                        Sort { y i } in ascending order and apply Type-II right censoring
14:
                        if Likelihood then
15:
                             Run NR iterative algorithm
16:
                        end if
17:
                        if Bayesian then
18:
                             Use prior (A or B) based on parameter set
19:
                             Run MCMC with iterations, discard burn-in
20:
                        end if
21:
                        if Bootstrap then
22:
                             Perform bootstrap replications
23:
                        end if
24:
                        Store point/interval estimates
25:
                   end for
26:
            end for
27:
       end for
28:
end for
29:
Step 7: Compute point estimation metrics:
  •       Average Point Estimate: APE ( μ ^ ) = 1 i = 1 μ ^ [ i ] ;
  •       Root Mean Squared Error: RMSE ( μ ^ ) = 1 i = 1 R ( μ ^ [ i ] μ ) 2 ;
  •       Average Relative Absolute Bias: ARAB ( μ ^ ) = 1 i = 1 μ 1 | μ ^ [ i ] μ | .
30:
Step 8: Compute interval estimation metrics at α = 5 % :
  •       Average Interval Length: AIL 95 % ( μ ) = 1 i = 1 U μ ^ [ i ] L μ ^ [ i ] ;
  •       Coverage Probability: CP 95 % ( μ ) = 1 i = 1 I [ L μ ^ [ i ] , U μ ^ [ i ] ] ( μ ) .
To assess the robustness of the Bayesian inference with respect to prior specification, using 1000 Type-II censored samples (from Set–i for i = 1 , 2 ) when n [ FP % ] = 100 [ 50 % ] , a comprehensive sensitivity analysis was conducted for μ using four distinct prior distributions, including improper (when a = b = 0.001 ), weakly informative (say, Uniform(0.01, 10)), informative (suggested), and over-dispersed gamma (say, Gamma(50, 10)) priors. As shown in Figure 5, posterior summaries of μ exhibit strong stability across all prior choices, with overlapping HPD intervals and minimal variation in posterior means and dispersions. These findings indicate that the proposed posterior inference is not unduly sensitive to prior parameter settings.

6.2. Simulation Results

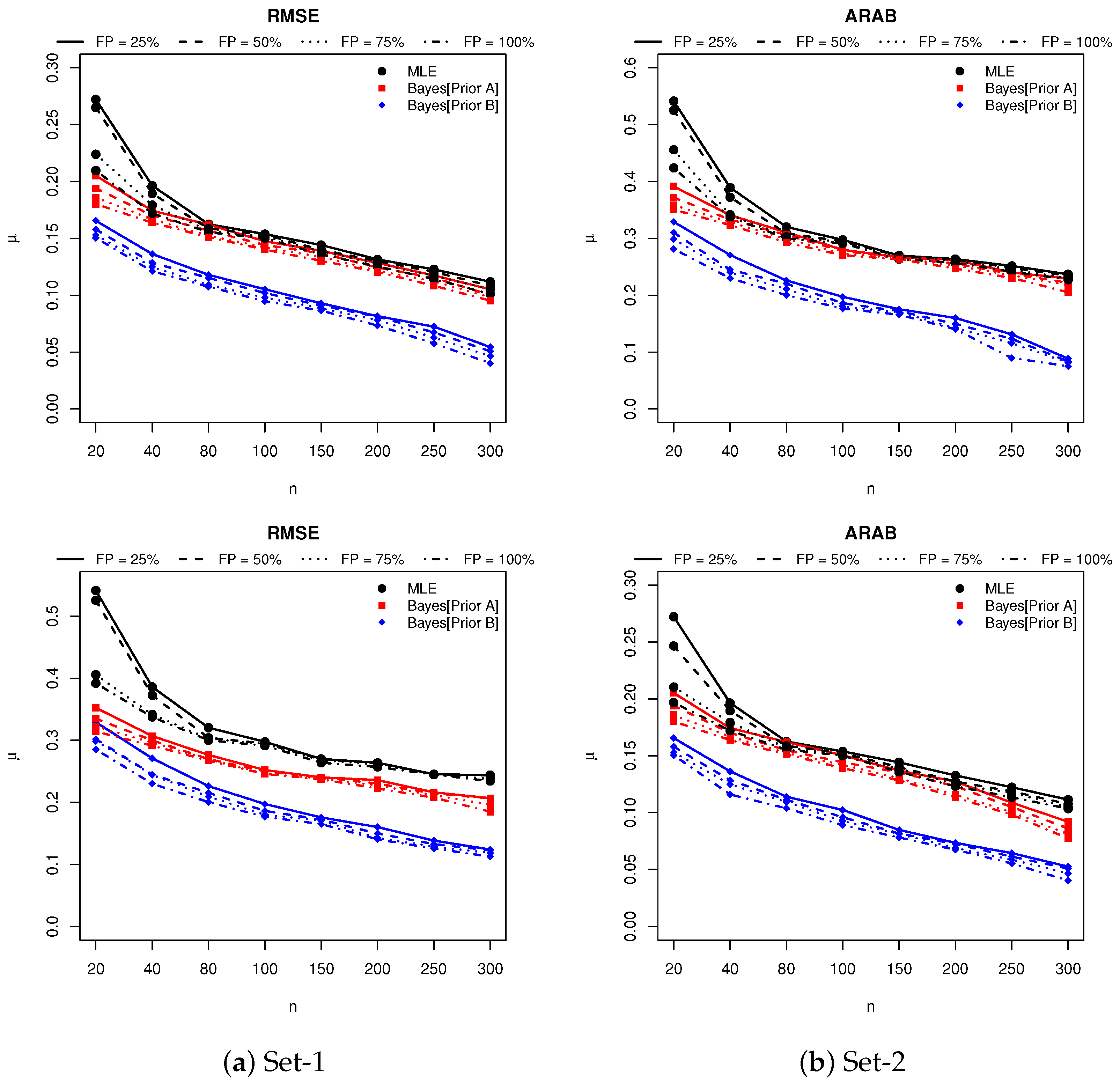
Table 2, Table 3, Table 4 and Table 5 present the simulation results corresponding to different configurations of the DZL( μ ) parameter. Several key findings and methodological recommendations are drawn based on the lowest of RMSE, ARAB, and AIL values and the highest level of CP values, as follows:
  • The estimation accuracy associated with μ improves as n (or r) increases, demonstrating the consistency and robustness of the calculated estimates. Furthermore, higher FP% levels enhance estimation precision across all methods.
  • Bayesian results (MCMC-based) consistently outperform the frequentist results, particularly in small datasets. This highlights the value of incorporating prior information into the estimation process.
  • Estimation intervals, from BCI or HPD, behave superiorly compared to asymptotic (or bootstrap) approaches such as BP, BT, ACI[NA], and ACI[NL].
  • Adoption of gamma informative knowledge for the DZL parameter significantly enhances the accuracy of both Bayesian point and interval estimates when compared to frequentist counterparts.
  • Efficiency gains are recommended by using the informative gamma prior in MCMC-based Bayesian estimation (from Prior B) over Prior A because the former exhibits lower variance compared to the latter.
  • Point estimation performance is consistently better for Set-1 compared to its competitor, suggesting that small values of μ yield more reliable and precise estimates.
  • A comparative evaluation of estimation approaches reveals the following:
    For point estimation, the Bayesian framework surpasses the likelihood framework in all comparison settings.
    For interval estimation, the following is revealed:
    *
    BCI and HPD intervals provide the most satisfactory performance;
    *
    The BT method outperforms its competitor, the BP method.;
    *
    The ACI[NA] is more effective than its competitor, ACI[NL];
    *
    The HPD method is more precise and reliable than its competitor, the BCI method.
  • As μ increases, the following is noted:
    The RMSE values associated with both maximum likelihood and Bayesian outcomes increased, while the corresponding ARAB values decreased;
    The AIL values associated with all proposed interval methods increased, while the corresponding CP values decreased.
  • Overall, Bayesian inference, particularly when employing HPD or BCIs, demonstrates high effectiveness in both complete and censored data settings. The methods yield accurate and reliable findings using incomplete (censored) data information.
Figure 6, Figure 7 and Figure 8 provide visual summaries of the numerical results, depicting the interpretation of key performance metrics, including RMSE, ARAB, AIL, and CP, under different DZL configurations. Specifically, in brief, the CP and CP schemes were created using n = 50 and 100 as representative cases. These illustrations support the tabulated results reported in Table 2, Table 3, Table 4 and Table 5, providing additional empirical evidence to support the observed trends and comparative effectiveness of the proposed estimators.

7. Real-World Applications

This part analyzes two distinct genuine datasets originating from engineering and clinical sectors, with the aim of (i) assessing the versatility, efficacy, and practical relevance of the DZL model; (ii) demonstrating the utility of the model’s inferential outcomes in supporting real-world decision-making; and (iii) benchmarking its performance against nine existing discrete distributions. Table 6 outlines the following datasets employed in this comparative analysis:
  • Electronic Devices: The reliability analysis of failure time data is fundamental in industrial engineering, particularly when assessing the performance and durability of electronic components. This application examines the failure records (in hours) of 18 electronic systems presented by Wang [25]. This dataset (say, Data-1) has been widely used to evaluate the applicability of lifetime distributions in modeling real-world reliability behavior; see Elshahhat and Abu El Azm [26].
  • Leukemia Patients: Analysis of remission duration in leukemia patients following treatment is a critical aspect of evaluating therapeutic efficacy. In this application, remission times in weeks were recorded for a cohort of 20 patients suffering from leukemia who were randomly allocated to a certain therapy program. This dataset (say, Data-2), presented by Bakouch et al. [27] and later reanalyzed by Eliwa and El-Morshedy [28], serves as a valuable scenario for analyzing discrete lifetime data.
The proposed two datasets, Data-i for i = 1 , 2 , provide a varied and practical basis for evaluating the proposed model. Their distinct origins underscore the model’s versatility across different fields. Importantly, both datasets present realistic features such as discrete outcomes and non-normal behavior, which introduce genuine challenges for statistical modeling and help to rigorously test the model’s performance. Table 7 summarizes key descriptive statistics for Data-i, i = 1 , 2 , including the minimum, maximum, quartiles ( Q i , i = 1 , 2 , 3 ), mean, mode, and standard deviation (SD), among others. Data-1 displays a wider range (5 to 420) and considerably greater variability (SD ≃ 131.5), along with moderate right skewness (skewness ≃ 0.3), suggesting the presence of relatively extreme values. In contrast, Data-2 spans a narrower range (1 to 49), shows lower dispersion (SD ≃ 14.7), and is moderately right-skewed (skewness ≃ 0.65). All datasets exhibit mesokurtic behavior (kurtosis < 3 ), indicating tail weight similar to that of the normal distribution.
Figure 9 shows violin plots for Data-i for i = 1 , 2 to visualize the data distribution comprehensively. Figure 9a exhibits a high degree of spread and skewness, suggesting the presence of extreme values or heavy-tailed behavior. In contrast, Figure 9b shows a more symmetric shape and more centralized data around a lower value range, indicating less variability and more concentration near the median. As a result, the subplots in Figure 9 show central clustering; the left dataset is more dispersed and irregular, whereas the right one suggests a tighter, more balanced structure around the median.
To further illustrate the versatility, robustness, and practical utility of the proposed DZL distribution, an extensive comparative study is conducted. For each dataset listed in Table 6, the goodness-of-fit of the DZL model is rigorously examined and compared against well-established discrete distributions from the literature, as outlined in Table 8.
To determine the most appropriate model among the proposed DZL distribution and its competitors, a thorough model comparison is conducted using a suite of fit criteria. These include the negative log-likelihood (NLL), Akaike criterion (AC), consistent AC (CAC), Bayesian criterion (BC), Hannan–Quinn criterion (HQC), and the Kolmogorov–Smirnov (KS) statistic, along with its associated P -value. Table 9 summarizes the MLEs (along with their corresponding standard errors (Std.Es)) for all model parameters across both datasets. It also reports the computed values of each model selection criterion for the competing distributions listed in Table 8. Notably, the results in Table 9 indicate that the proposed DZL distribution consistently yields the lowest values across all information-based metrics, suggesting a superior fit. Furthermore, the DZL model yields the highest P -value and the smallest KS value compared to the others. According to the outcomes, the DZL distribution provides the best overall fit and is therefore the most suitable model for analyzing all given datasets.
Visualization approaches for fitting are important diagnostic tools for determining the level of convergence between empirical data and a proposed theoretical distribution. Figure 10 shows how the DZL model outperforms other models using three important graphical assessment methods: (i) fitted PMF curves overlaid on the empirical histograms; (ii) plots of the fitted survival (reliability) functions; and (iii) probability–probability (PP) plots. These visualizations provide intuitive and informative evidence supporting the adequacy of the DZL distribution in capturing the underlying structure of the observed data.
Figure 10 provides visual confirmation of the numerical outcomes; see Table 9, further highlighting the superior fitting capability of the proposed DZL model in comparison to a variety of existing traditional (or novel) discrete distributions.
To calculate the estimators for the DZL( μ ) parameter, different Type-II right-censored samples were generated from each dataset listed in Table 6. Estimation was performed using likelihood, bootstrap (with 10,000 replications), and Bayesian (with = 40,000 and = 10,000 ) methods. For each sample, both point estimates (with Std.Es) and 95% interval estimates (with Int.Ws) for μ were computed, as summarized in Table 10. Inspection of Table 10 reveals that Bayesian point estimates consistently attain smaller Std.Es than the frequentist (MLE-based) estimates, indicating greater precision. Similarly, Bayesian interval estimates—constructed using BCI or HPD methods—generally produce narrower Int.Ws compared to frequentist intervals, including BP/BT and ACI[NA]/ACI[NL]. Moreover, as r increases, both Std.Es and Int.Ws decrease, reflecting the enhanced efficiency of the estimators. A critical consideration in applying the Markov chain methodology is ensuring that the generated samples have achieved adequate convergence. Figure 11 illustrates that the M–H algorithm attains stable convergence and that the posterior distributions of the DZL model are approximately symmetric across samples from both Data-i ( i = 1 , 2 ). In addition, Table 11 presents a detailed summary of the key posterior statistics for μ , based on 30,000 MCMC iterations, providing numerical confirmation of the algorithm’s reliability. These numerical results are close to those reported in Table 10 and visually affirmed by the patterns observed in Figure 11, collectively supporting the reliability of the Bayesian inference framework employed.
Lastly, the analysis of both datasets (Data-i, i = 1 , 2 ) confirms that the DZL distribution exhibits strong advantages of features, delivering robust findings, high flexibility, and satisfactory fit relative to both classical and contemporary discrete models. Its utility across diverse application domains, coupled with its stable inferential performance, particularly within the Bayesian setup, highlights its utility as both a practical and theoretically rigorous model for discrete data analysis. These findings emphasize the relevance of newly proposed discrete distributions in capturing complex real-world phenomena and demonstrate their potential for advancing model assessment and parameter estimation in clinical and industrial contexts.
To sum up, although the real-data applications considered in this study involve relatively small sample sizes, such settings are common in many applied fields where data collection is inherently limited. The satisfactory performance of the proposed DZL distribution under these conditions highlights its robustness and practical relevance. As demonstrated in the proposed numerical analyses, the inferential procedures remain stable even in small-sample scenarios. These findings may be viewed as a first step toward validating the adaptability of the proposed distribution to larger-scale real-world phenomena, while further applications to larger datasets are left for future investigation.

8. Conclusions

In this study, we proposed and systematically investigated the DZL distribution, a novel survival-function-based discretization of the continuous ZLindley law. The proposed model inherits the analytical tractability and flexibility of its continuous counterpart, while addressing the practical need to model count-based, integer-valued, and censored lifetime data. Through rigorous mathematical development, we derived essential distributional properties, including moments, quantiles, order statistics, stress–strength, mean residual life, and hazard-rate structures, thereby establishing a comprehensive theoretical foundation. From an inferential perspective, both maximum likelihood and Bayesian estimation frameworks were developed and supplemented with resampling- and simulation-based interval estimation procedures. Comparative Monte Carlo experiments demonstrated that the Bayesian estimators—particularly under different prior specifications—consistently outperform their frequentist counterparts, especially in the presence of Type-II censoring. Moreover, applications to two real-world datasets showed that the DZL distribution provides superior fits compared to nine competing discrete lifetime models, thereby reinforcing its empirical relevance. Beyond offering a robust alternative to classical discrete distributions, the DZL model enriches discrete reliability theory by enabling realistic modeling of increasing hazard-rate patterns, a limitation shared by many existing discrete families. Its demonstrated superiority in both simulated and applied settings suggests broad applicability in fields such as reliability engineering, actuarial science, survival analysis, and queueing systems, where discrete data frequently arise. Future research directions include extending the DZL framework to multi-parameter generalizations, regression-based formulations, and bivariate or multivariate extensions, as well as developing computationally efficient Bayesian inference methods for large-scale applications. Overall, the DZL distribution establishes itself as a versatile, analytically tractable, and practically powerful addition to modern discrete distribution theory.

Author Contributions

Methodology, R.A. and A.E.; Funding acquisition, R.A.; Software, A.E.; Resources, R.A.; Supervision, A.E.; Writing—original draft, R.A. and A.E.; Writing—review & editing, R.A. and A.E. All authors have read and agreed to the published version of the manuscript.

Funding

The authors extend their appreciation to the Deanship of Scientific Research and Libraries in Princess Nourah bint Abdulrahman University for funding this research work through the Supporting Publication in Top-Impact Journals Initiative (SPTIF-2026).

Data Availability Statement

The authors confirm that the data supporting the findings of this study are available within the article.

Conflicts of Interest

The authors declare no conflict of interest.

Abbreviations

The following abbreviations are used in this manuscript:
ACAkaike criterion
ACIAsymptotic confidence interval
ACI[NA]ACI using normal approximation
ACI[NL]ACI using log-transformed normal approximation
AILAverage interval length
APEAverage point estimate
ARABAverage relative absolute bias
BCBayesian criterion
BPBootstrap-percentile
BTBootstrap-t (Studentized)
CACConsistent Akaike criterion
CDFCumulative distribution function
CIConfidence interval
CPCoverage probability
DZLDiscrete ZLindley distribution
FPFailure percentage
HQCHannan–Quinn criterion
HPDHighest posterior density
Int.WInterval width
KSKolmogorov–Smirnov
PMFProbability mass function
PDFProbability density function
MCMCMarkov Chain Monte Carlo
MLMaximum likelihood
MLEMaximum likelihood estimator
MRLMean residual life
NLLNegative log-likelihood
NRNewton–Raphson algorithm
RMSERoot mean squared error
SDStandard deviation
SELSquared error loss
SFSurvival function
Std.Estandard error
SSRStress–strength reliability
ZLZLindley distribution

References

  1. Keefer, D.L.; Bodily, S.E. Three-point approximations for continuous random variables. Manag. Sci. 1983, 29, 595–609. [Google Scholar] [CrossRef]
  2. Zaino, N.A., Jr.; D’Errico, J. Optimal discrete approximations for continuous outcomes with applications in decision and risk analysis. J. Oper. Res. Soc. 1989, 40, 379–388. [Google Scholar] [CrossRef]
  3. Hammond, R.K.; Bickel, J.E. Discretization methods for continuous probability distributions. In Wiley Encyclopedia of Operations Research and Management Science; Wiley: Hoboken, NJ, USA, 2011; pp. 1–13. [Google Scholar]
  4. Saaidia, N.; Belhamra, T.; Zeghdoudi, H. On ZLindley distribution: Statistical properties and applications. Stud. Eng. Exact Sci. 2024, 5, 3078–3097. [Google Scholar] [CrossRef]
  5. Afify, A.Z.; Ahsan-ul-Haq, M.; Aljohani, H.M.; Alghamdi, A.S.; Babar, A.; Gómez, H.W. A new one-parameter discrete exponential distribution: Properties, inference, and applications to COVID-19 data. J. King Saud-Univ.-Sci. 2022, 34, 102199. [Google Scholar] [CrossRef]
  6. Alotaibi, R.; Rezk, H.; Park, C.; Elshahhat, A. The discrete exponentiated-Chen model and its applications. Symmetry 2023, 15, 1278. [Google Scholar] [CrossRef]
  7. Chesneau, C.; Gillariose, J.; Joseph, J.; Tyagi, A. New discrete trigonometric distributions: Estimation with application to count data. Int. J. Model. Simul. 2024, 45, 2072–2087. [Google Scholar] [CrossRef]
  8. Haj Ahmad, H.; Elshahhat, A. A new Hjorth distribution in its discrete version. Mathematics 2025, 13, 875. [Google Scholar] [CrossRef]
  9. Elshahhat, A.; Rezk, H.; Alotaibi, R. The discrete Gompertz–Makeham distribution for multidisciplinary data analysis. AIMS Math. 2025, 10, 17117–17178. [Google Scholar] [CrossRef]
  10. Roy, D.; Gupta, R.P. Characterizations and model selections through reliability measures in the discrete case. Stat. Probab. Lett. 1999, 43, 197–206. [Google Scholar] [CrossRef]
  11. Roy, D.; Ghosh, T. A new discretization approach with application in reliability estimation. IEEE Trans. Reliab. 2009, 58, 456–461. [Google Scholar] [CrossRef]
  12. Bebbington, M.; Lai, C.D.; Wellington, M.; Zitikis, R. The discrete additive Weibull distribution: A bathtub-shaped hazard for discontinuous failure data. Reliab. Eng. Syst. Saf. 2012, 106, 37–44. [Google Scholar] [CrossRef]
  13. Lindley, D.V. Fiducial distributions and Bayes’ theorem. J. R. Stat. Soc. Ser. B (Methodol.) 1958, 20, 102–107. [Google Scholar] [CrossRef]
  14. Augusto Taconeli, C.; Rodrigues de Lara, I.A. Discrete Weibull distribution: Different estimation methods under ranked set sampling and simple random sampling. J. Stat. Comput. Simul. 2022, 92, 1740–1762. [Google Scholar] [CrossRef]
  15. Mahnashi, A.M.; Zaagan, A.A. An improved version of ZLindley distribution with mathematical properties and applications. Alex. Eng. J. 2025, 129, 582–597. [Google Scholar] [CrossRef]
  16. Zeghbib, F.Z.; Raman, V.; Zeghdoudi, H.; Kouadria, M.; El-Hedaiek, S. Modified Zlindley Distribution: Statistical Properties, Simulation and Applications in Sciences. Stud. Sci. Sci. 2025, 43, 39–53. [Google Scholar]
  17. Singh, B.; Singh, R.P.; Nayal, A.S.; Tyagi, A. Discrete Inverted Nadarajah-Haghighi Distribution: Properties and Classical Estimation with Application to Complete and Censored data. Stat. Optim. Inf. Comput. 2022, 10, 1293–1313. [Google Scholar] [CrossRef]
  18. Tang, L.C.; Lu, Y.; Chew, E.P. Mean residual life of lifetime distributions. IEEE Trans. Reliab. 2002, 48, 73–78. [Google Scholar] [CrossRef]
  19. Henningsen, A.; Toomet, O. maxLik: A package for maximum likelihood estimation in R. Comput. Stat. 2011, 26, 443–458. [Google Scholar] [CrossRef]
  20. Lawless, J.F. Statistical Models and Methods for Lifetime Data; John Wiley and Sons: New York, NY, USA, 2011. [Google Scholar]
  21. Meeker, W.Q.; Escobar, L.A. Statistical Methods for Reliability Data; John Wiley and Sons: New York, NY, USA, 2014. [Google Scholar]
  22. Chernick, M.R.; LaBudde, R.A. An Introduction to Bootstrap Methods with Applications to R; John Wiley and Sons: New York, NY, USA, 2014. [Google Scholar]
  23. Plummer, M.; Best, N.; Cowles, K.; Vines, K. CODA: Convergence diagnosis and output analysis for MCMC. R News 2006, 6, 7–11. [Google Scholar]
  24. Kundu, D. Bayesian inference and life testing plan for the Weibull distribution in presence of progressive censoring. Technometrics 2008, 50, 144–154. [Google Scholar] [CrossRef]
  25. Wang, F.K. A new model with bathtub-shaped failure rate using an additive Burr XII distribution. Reliab. Eng. Syst. Saf. 2000, 70, 305–312. [Google Scholar] [CrossRef]
  26. Elshahhat, A.; Abu El Azm, W.S. Statistical reliability analysis of electronic devices using generalized progressively hybrid censoring plan. Qual. Reliab. Eng. Int. 2022, 38, 1112–1130. [Google Scholar] [CrossRef]
  27. Bakouch, H.S.; Jazi, M.A.; Nadarajah, S. A new discrete distribution. Statistics 2014, 48, 200–240. [Google Scholar] [CrossRef]
  28. Eliwa, M.S.; El-Morshedy, M. A one-parameter discrete distribution for over-dispersed data: Statistical and reliability properties with applications. J. Appl. Stat. 2022, 49, 2467–2487. [Google Scholar] [CrossRef] [PubMed]
  29. Johnson, N.L.; Kemp, A.W.; Kotz, S. Univariate Discrete Distributions; John Wiley and Sons: New York, NY, USA, 2005. [Google Scholar]
  30. Tyagi, A.; Choudhary, N.; Singh, B. A new discrete distribution: Theory and applications to discrete failure lifetime and count data. J. Appl. Probab. Statist. 2020, 15, 117–143. [Google Scholar]
  31. Nakagawa, T.; Osaki, S. The discrete Weibull distribution. IEEE Trans. Reliab. 1975, 24, 300–301. [Google Scholar] [CrossRef]
  32. Chakraborty, S.; Chakravarty, D. Discrete gamma distributions: Properties and parameter estimations. Commun. Stat.-Theory Methods 2012, 41, 3301–3324. [Google Scholar] [CrossRef]
  33. Shafqat, M.; Ali, S.; Shah, I.; Dey, S. Univariate discrete Nadarajah and Haghighi distribution: Properties and different methods of estimation. Statistica 2020, 80, 301–330. [Google Scholar]
  34. Nekoukhou, V.; Bidram, H. The exponentiated discrete Weibull distribution. Sort 2015, 39, 127–146. [Google Scholar]
  35. Almalki, S.J.; Nadarajah, S. A new discrete modified Weibull distribution. IEEE Trans. Reliab. 2014, 63, 68–80. [Google Scholar] [CrossRef]
Figure 1. The PMF and HRF shapes of the new DZL distribution.
Figure 1. The PMF and HRF shapes of the new DZL distribution.
Mathematics 14 00397 g001
Figure 2. Three-dimensional plots for the DZL distributional measures.
Figure 2. Three-dimensional plots for the DZL distributional measures.
Mathematics 14 00397 g002
Figure 3. Three-dimensional surface plots of the SSR and MRL of the DZL distribution.
Figure 3. Three-dimensional surface plots of the SSR and MRL of the DZL distribution.
Mathematics 14 00397 g003
Figure 4. Posterior normality curves of μ .
Figure 4. Posterior normality curves of μ .
Mathematics 14 00397 g004
Figure 5. Sensitivity for four different prior choices of μ .
Figure 5. Sensitivity for four different prior choices of μ .
Mathematics 14 00397 g005
Figure 6. Plots of the RMSE and ARAB results of μ .
Figure 6. Plots of the RMSE and ARAB results of μ .
Mathematics 14 00397 g006
Figure 7. Plots of the AIL results of μ .
Figure 7. Plots of the AIL results of μ .
Mathematics 14 00397 g007
Figure 8. Plots of the CP results of μ .
Figure 8. Plots of the CP results of μ .
Mathematics 14 00397 g008
Figure 9. Violin diagrams of Data-1 (left) and Data-2 (right).
Figure 9. Violin diagrams of Data-1 (left) and Data-2 (right).
Mathematics 14 00397 g009
Figure 10. Different visualizations from Data- i , i = 1 , 2 .
Figure 10. Different visualizations from Data- i , i = 1 , 2 .
Mathematics 14 00397 g010
Figure 11. Convergence MCMC diagrams of μ from Data- i , i = 1 , 2 .
Figure 11. Convergence MCMC diagrams of μ from Data- i , i = 1 , 2 .
Mathematics 14 00397 g011
Table 1. Statistical summary of distributional measures of the DZL( μ ).
Table 1. Statistical summary of distributional measures of the DZL( μ ).
μ M V ID CV Ψ s Ψ k
0.114.02418.04411.9820.92431.59236.3620
0.52.19446.15732.80591.13081.78897.5748
0.81.14522.24001.95591.30681.90078.0715
1.00.81211.36581.68171.43901.98888.4577
1.50.39810.53201.33631.83212.27719.7625
2.50.12420.13721.10472.98223.261115.277
Table 2. The point estimation outcomes of μ from Set-1.
Table 2. The point estimation outcomes of μ from Set-1.
FP%nMLEBayes[Prior A]Bayes[Prior B]
APERMSEARABAPERMSEARABAPERMSEARAB
25%200.59420.27220.54150.56090.20520.39150.56810.16550.3291
400.59800.19640.38950.57730.17430.34080.55900.13630.2708
800.56690.16250.32010.54180.16200.31070.53520.11790.2260
1000.58280.15380.29740.57010.14750.28000.53720.10530.1972
1500.57680.14410.26990.49730.13900.26680.59860.09290.1755
2000.59630.13150.26360.54780.12840.26190.58520.08160.1599
2500.58050.12270.25160.54520.11740.23990.55780.07230.1312
3000.57730.11190.23680.55360.10520.22950.54330.05440.0884
50%200.53490.26510.52550.55390.19400.37200.46250.15790.3102
400.54420.18950.37240.57810.17020.33310.45580.12850.2448
800.52240.15870.30880.55820.15680.30600.43440.11530.2205
1000.50960.15320.29480.54830.14420.27760.42000.10200.1861
1500.37110.13990.26900.35580.13690.26670.34920.09090.1720
2000.44650.13010.26310.47070.12430.25570.37760.08120.1496
2500.51400.12050.24810.56480.11540.23750.41180.06730.1231
3000.51680.10830.23430.57190.10010.22190.41010.05080.0836
75%200.36570.22400.45590.34390.18590.35830.35090.15290.2986
400.43990.17930.34160.45790.16680.32870.37790.12480.2404
800.50490.15700.30260.54530.15240.29910.41400.10930.2109
1000.48160.15170.29410.52570.14210.27320.38930.09790.1798
1500.49410.13870.26780.50990.13370.26510.42890.08860.1704
2000.41920.12730.26110.44580.12150.25220.35070.07810.1423
2500.45180.11720.24500.49380.11240.23490.36460.06270.1157
3000.48790.10510.23020.54000.09820.21800.38700.04650.0814
100%200.49730.20970.42390.52530.18010.35050.41960.15040.2814
400.53250.17210.33750.58650.16390.32360.42520.12120.2299
800.51840.15530.30000.57810.15110.29270.40700.10750.2001
1000.53070.15010.29130.59610.14020.27030.41230.09480.1765
1500.48810.13580.26370.52740.13030.26330.39990.08640.1658
2000.41660.12530.25690.45610.12050.24700.33550.07340.1401
2500.49170.11420.24140.54920.10840.23030.38500.05770.0896
3000.51020.10110.22730.57380.09520.20520.39550.04010.0753
Table 3. The point estimation outcomes of μ from Set-2.
Table 3. The point estimation outcomes of μ from Set-2.
FP%nMLEBayes[Prior A]Bayes[Prior B]
APERMSEARABAPERMSEARABAPERMSEARAB
25%201.71140.54150.27221.46160.35230.20521.76360.32910.1655
401.73950.38600.19641.45120.30680.17431.58930.27080.1363
801.80040.32010.16251.43160.27620.16201.59190.22600.1139
1001.85350.29740.15381.42580.25200.15041.59390.19720.1023
1501.71110.26990.14411.41400.24010.13691.68770.17550.0848
2001.71940.26360.13271.45570.23570.12731.40830.15990.0734
2501.79820.24520.12231.45890.21590.10871.42720.13810.0643
3001.84730.24370.11141.45390.20650.09191.40150.12380.0524
50%201.71260.52550.24651.39100.33480.19401.42360.30170.1579
401.69600.37240.18951.67330.29980.17021.58860.24480.1285
801.80000.30390.15871.64870.26960.15481.53090.21520.1113
1001.84030.29480.15221.64970.24980.14421.55640.18610.0959
1501.26020.26900.13991.56970.24010.13541.43330.17200.0816
2001.66260.26310.12731.62450.23020.12311.62200.14960.0723
2501.69170.24510.11861.56440.21370.10491.51540.13250.0613
3001.84070.24340.10751.56760.20630.08601.56170.12240.0508
75%201.47210.40560.21041.63850.32250.18591.54690.29860.1529
401.72750.34160.17931.60310.29580.16681.58510.24420.1248
801.80760.30260.15701.59890.26920.15241.66370.20890.1093
1001.84030.29410.15121.59820.24580.14191.69210.17980.0925
1501.29940.26780.13871.49410.23860.13031.10800.17040.0812
2001.47210.26110.12481.49030.22700.11571.46790.14230.0689
2501.72570.24500.11731.39550.21140.10041.40910.12850.0586
3001.83980.23750.10511.44090.19620.08101.60540.11820.0465
100%201.47210.39180.19681.77330.31400.18011.42310.28510.1504
401.72570.33750.17211.59480.29120.16391.40910.22990.1159
801.80980.30000.15531.66230.26710.15111.60170.20010.1037
1001.65580.29130.15011.48210.24560.13901.44480.17650.0889
1501.41750.26370.13581.39710.23690.12841.58420.16480.0781
2001.47210.25690.12311.49040.22230.11331.35140.14010.0673
2501.73360.24440.11351.61040.20730.09811.61160.12540.0553
3001.81410.23420.10351.50410.18470.07731.57380.11230.0401
Table 4. The interval estimation outcomes of μ from Set-1.
Table 4. The interval estimation outcomes of μ from Set-1.
FP%nBPBTACI[NA]ACI[NL]BCI[Prior 1]BCI[Prior 2]HPD[Prior 1]HPD[Prior 2]
AILCPAILCPAILCPAILCPAILCPAILCPAILCPAILCP
25%200.4360.9290.3950.9350.3080.9490.2920.9520.2690.9550.2530.9580.1700.9710.1590.973
400.2960.9510.2750.9550.1660.9720.1540.9740.1540.9740.1470.9750.1260.9780.1160.980
800.2220.9630.2070.9650.1530.9740.1420.9760.1310.9770.1250.9780.1140.9800.1050.981
1000.1670.9720.1570.9730.1410.9760.1330.9770.1280.9780.1220.9790.0980.9830.0920.983
1500.1430.9750.1350.9770.1300.9770.1230.9790.1110.9810.1050.9810.0840.9850.0780.986
2000.1280.9780.1210.9790.0970.9830.0950.9830.0920.9830.0900.9840.0750.9860.0680.987
2500.1040.9820.0990.9820.0890.9840.0820.9850.0820.9850.0780.9860.0650.9880.0590.989
3000.0900.9840.0850.9850.0800.9850.0730.9870.0630.9880.0600.9890.0600.9890.0540.989
50%200.3880.9370.3520.9420.2430.9600.2260.9620.2120.9640.2010.9660.1440.9750.1360.976
400.2670.9560.2480.9590.1620.9720.1530.9740.1400.9760.1330.9770.1240.9780.1110.980
800.2050.9660.1930.9680.1490.9750.1400.9760.1300.9770.1240.9780.1120.9800.1040.982
1000.1600.9730.1500.9740.1390.9760.1310.9770.1280.9780.1210.9790.0970.9830.0900.984
1500.1430.9750.1350.9770.1230.9790.1160.9800.1090.9810.1030.9820.0820.9850.0760.986
2000.1180.9790.1120.9800.0950.9830.0940.9830.0900.9840.0890.9840.0750.9860.0670.988
2500.1010.9820.0950.9830.0870.9840.0810.9850.0800.9850.0760.9860.0620.9880.0580.989
3000.0820.9850.0780.9860.0730.9870.0690.9870.0610.9880.0580.9890.0560.9890.0520.990
75%200.3480.9430.3160.9480.2080.9650.2020.9660.1970.9670.1890.9680.1430.9750.1320.977
400.2460.9590.2280.9620.1620.9720.1470.9750.1360.9760.1290.9780.1200.9790.1090.981
800.1860.9690.1750.9700.1460.9750.1370.9760.1290.9780.1230.9790.1060.9810.0990.982
1000.1590.9730.1500.9740.1380.9760.1300.9770.1280.9780.1210.9790.0960.9830.0890.984
1500.1360.9760.1290.9780.1100.9810.1050.9820.1020.9820.0990.9820.0780.9860.0720.987
2000.1170.9800.1110.9810.0940.9830.0930.9830.0890.9840.0880.9840.0700.9870.0650.988
2500.0970.9830.0920.9840.0830.9850.0790.9860.0670.9880.0630.9880.0620.9880.0560.989
3000.0800.9850.0760.9860.0720.9870.0680.9870.0590.9890.0560.9890.0560.9890.0520.990
100%200.3330.9450.3060.9500.1790.9700.1640.9720.1610.9730.1530.9740.1330.9770.1260.978
400.2290.9620.2150.9640.1530.9740.1450.9750.1320.9770.1260.9780.1190.9790.1080.981
800.1840.9690.1720.9710.1450.9750.1350.9770.1290.9780.1220.9790.1010.9820.0960.983
1000.1440.9750.1350.9770.1320.9770.1240.9780.1140.9800.1080.9810.0940.9830.0890.984
1500.1310.9770.1240.9780.1090.9810.0980.9830.0970.9830.0930.9830.0760.9860.0690.987
2000.1060.9810.1000.9820.0910.9840.0900.9840.0890.9840.0860.9850.0650.9880.0590.989
2500.0900.9840.0860.9850.0800.9850.0760.9860.0650.9880.0610.9880.0600.9890.0550.989
3000.0730.9860.0700.9870.0660.9880.0620.9880.0560.9890.0540.9900.0510.9900.0510.990
Table 5. The interval estimation outcomes of μ from Set-2.
Table 5. The interval estimation outcomes of μ from Set-2.
FP%nBPBTACI[NA]ACI[NL]BCI[Prior 1]BCI[Prior 2]HPD[Prior 1]HPD[Prior 2]
AILCPAILCPAILCPAILCPAILCPAILCPAILCPAILCP
25%200.7860.9070.7050.9160.6930.9170.6230.9250.6150.9260.5350.9340.2450.9660.2200.969
400.6570.9210.5810.9290.5760.9300.5090.9370.4280.9460.3790.9520.1710.9740.1540.976
800.5840.9290.5240.9360.4990.9380.4640.9420.3100.9590.2680.9640.1560.9760.1410.978
1000.5430.9340.4780.9410.4760.9410.4240.9470.2710.9630.2430.9670.1440.9770.1310.979
1500.4970.9390.4610.9430.4160.9480.4100.9480.2210.9690.1970.9720.1380.9780.1240.980
2000.4630.9420.4070.9480.3860.9510.3590.9540.1940.9720.1770.9740.1300.9790.1170.980
2500.3690.9530.3060.9600.1870.9730.1770.9740.1760.9740.1590.9760.1040.9820.0940.983
3000.3360.9560.2940.9610.1660.9750.1550.9760.1490.9770.1400.9780.0730.9850.0640.986
50%200.7020.9160.6270.9240.6190.9250.5840.9290.5530.9320.5100.9370.2240.9690.2020.971
400.6360.9230.5630.9310.5630.9310.4950.9390.4020.9490.3560.9540.1610.9750.1450.977
800.5840.9290.5200.9360.4860.9400.4560.9430.2800.9620.2500.9660.1540.9760.1380.978
1000.5220.9360.4750.9410.4290.9460.4210.9470.2590.9650.2300.9680.1400.9780.1300.979
1500.4810.9400.4490.9440.4070.9490.4030.9490.2200.9690.1970.9720.1360.9780.1220.980
2000.4370.9450.4040.9490.3740.9520.3560.9540.1910.9720.1750.9740.1170.9800.1130.981
2500.3630.9530.3030.9600.1760.9740.1710.9740.1630.9750.1540.9760.0900.9830.0800.984
3000.3170.9580.2540.9650.1650.9750.1540.9760.1480.9770.1380.9780.0710.9850.0640.986
75%200.6780.9190.5970.9280.5890.9290.5700.9310.5230.9360.4990.9380.1990.9710.1780.974
400.6160.9260.5310.9350.5250.9360.4700.9420.3970.9500.3520.9540.1600.9760.1440.977
800.5800.9300.5010.9380.4800.9410.4430.9450.2790.9630.2490.9660.1500.9770.1370.978
1000.5020.9380.4660.9420.4240.9470.4180.9470.2480.9660.2210.9690.1400.9780.1260.979
1500.4740.9410.4290.9460.4060.9490.3830.9510.2040.9710.1830.9730.1360.9780.1220.980
2000.4260.9460.3870.9510.3540.9540.3410.9560.1900.9720.1730.9740.1140.9810.1030.982
2500.3440.9550.3010.9600.1760.9740.1670.9750.1590.9760.1530.9760.0870.9840.0780.985
3000.2830.9620.2530.9650.1610.9760.1450.9770.1440.9770.1300.9790.0690.9860.0620.986
100%200.6670.9200.5910.9280.5890.9290.5570.9320.5230.9360.4890.9390.1780.9740.1600.976
400.5890.9290.5250.9360.5160.9370.4690.9420.3880.9510.3450.9550.1590.9760.1430.977
800.5570.9320.4850.9400.4770.9410.4300.9460.2780.9630.2480.9660.1490.9770.1340.978
1000.5020.9380.4640.9420.4180.9470.4170.9470.2430.9670.2170.9690.1390.9780.1250.979
1500.4670.9420.4270.9460.4060.9490.3820.9510.1980.9710.1810.9730.1310.9790.1180.980
2000.4090.9480.3340.9570.3270.9570.2930.9610.1880.9730.1710.9740.1120.9810.1010.982
2500.3390.9560.3000.9600.1760.9740.1560.9760.1560.9760.1450.9770.0790.9850.0710.985
3000.2740.9630.2460.9660.1570.9760.1400.9780.1300.9790.1260.9790.0620.9860.0560.987
Table 6. Time to failure of electronic devices (Data-1) and leukemia patients (Data-2).
Table 6. Time to failure of electronic devices (Data-1) and leukemia patients (Data-2).
Data-1
5112131467598122145165
196224245293321330350420
Data-2
13367710121415
18192226282934404849
Table 7. Statistical summary for Data-i for i = 1 , 2 .
Table 7. Statistical summary for Data-i for i = 1 , 2 .
DataMinMaxQuartilesModeMeanSDSkewnessKurtosis
Q 1 Q 2 Q 3
Data-1→542053.251552815172.11131.540.3141.850
Data-2→149716.528.25319.55014.6990.6532.380
Table 8. Competitors of the DZL distribution.
Table 8. Competitors of the DZL distribution.
ModelSymbolAuthor(s)
GeometricGeom ( μ ) Johnson et al. [29]
Negative binomialNB ( β , μ ) Johnson et al. [29]
Discrete PerksDP ( β , μ ) Tyagi et al. [30]
Discrete WeibullDW ( β , μ ) Nakagawa and Osaki [31]
Discrete GammaDG ( β , μ ) Chakraborty and Chakravarty [32]
Discrete Nadarajah–HaghighiDNH ( β , μ ) Shafqat et al. [33]
Discrete Exponentiated–ChenDEC ( α , β , μ ) Alotaibi et al. [6]
Exponentiated Discrete WeibullEDW ( α , β , μ ) Nekoukhou and Bidram [34]
Discrete Modified WeibullDMW ( α , β , μ ) Almalki and Nadarajah [35]
Table 9. Fitting outcomes from Data- i , i = 1 , 2 .
Table 9. Fitting outcomes from Data- i , i = 1 , 2 .
Model α β μ NLLACCACBCHQCKS
Est.Std.EEst.Std.EEst.Std.EDistance P -Value
Data-1
DZL----0.00870.0018110.337222.673222.923223.564222.7960.10900.9670
Geom----0.00580.0013110.719223.437223.687224.328223.5600.12640.9022
NB--1.13060.3418172.1538.294110.638225.275226.075227.056225.5210.12080.9273
DP--0.00740.00141.47240.8412110.429224.578225.378226.359224.8230.10980.9668
DW--1.05730.2190149.3733.091110.844225.688226.488227.469225.9340.18070.5400
DG--0.00660.00231.13900.3290110.635225.270226.070227.051225.5160.12150.9245
DNH--1.56920.52070.00310.0013110.413224.255225.055226.035224.5000.11780.9391
DEC0.00720.00930.29750.03470.88350.4233110.696225.393227.107228.064225.7610.10920.9670
EDW0.99560.00311.06150.11971.06750.3420110.568227.136228.850229.807227.5040.12300.9178
DMW0.82020.05440.91990.09600.99780.0007110.889227.779229.493230.450228.1470.11340.9543
Data-2
DZL----0.07420.014478.2748160.550160.772161.545160.7440.07640.9998
Geom----0.04870.010679.9625161.925162.147162.921162.1190.14470.7961
NB--1.68650.561719.5513.508878.8116161.623162.329163.615162.0120.09340.9949
DNH--5.65965.32270.00580.006078.5208161.042161.748163.033161.4300.07690.9995
DP--0.08420.02610.44370.474778.8138161.628162.334163.619162.0160.07820.9997
DW--1.37410.247821.9123.754878.6118161.224161.930163.215161.6120.11180.9639
DG--0.08040.02731.61100.468478.7761161.552162.258163.544161.9410.10390.9822
DEC0.11860.18060.32370.09742.27272.436378.6559163.312164.812166.299163.8950.11020.9683
EDW0.99140.01331.49620.38680.85450.397678.5614163.123164.623166.110163.7060.08400.9989
DMW0.33290.41621.01360.05020.98950.014578.7302163.460164.960166.448164.0440.14290.8089
Table 10. Estimates of μ from Data- i , i = 1 , 2 .
Table 10. Estimates of μ from Data- i , i = 1 , 2 .
( n , r ) MLE
Bayes
ACI[NA]
ACI[NL]
BP
BT
BCI
HPD
Est.SELow.Upp.IWLow.Upp.IWLow.Upp.IW
Data-1
(18,6)0.00950.00350.00260.01640.01390.00430.03280.02850.00900.01600.0070
0.01230.00330.00460.01970.01510.02020.07880.05870.00880.01580.0070
(18,12)0.00770.00200.00380.01150.00770.00510.01460.00950.00500.01030.0053
0.00750.00140.00460.01260.00800.00870.01470.00590.00490.01020.0052
(18,18)0.00870.00180.00520.01220.00700.00670.01290.00620.00610.01140.0053
0.00860.00140.00580.01300.00720.00530.01050.00510.00600.01130.0053
Data-2
(10,20)0.01150.00330.00490.01800.01310.04240.13410.09170.01050.01920.0087
0.01480.00400.00650.02030.01380.00290.00580.00300.01030.01880.0085
(15,20)0.07580.01690.04260.10910.06640.04780.10740.05960.07080.08050.0097
0.07560.00250.04900.11750.06860.09220.15940.06730.07070.08030.0097
(20,20)0.07420.01440.04600.10230.05630.05680.10490.04810.06920.07900.0098
0.07410.00250.05070.10840.05770.05260.09690.04430.06910.07880.0097
Table 11. Statistics for μ from Data- i , i = 1 , 2 .
Table 11. Statistics for μ from Data- i , i = 1 , 2 .
( n , r ) MeanModeQuartilesSDSkewness
Q 1 Q 2 Q 3
Data-1
(18,6)0.012340.015740.011100.012280.013490.001790.21761
(18,12)0.007540.008270.006590.007510.008440.001350.16577
(18,18)0.008590.008560.007660.008560.009490.001360.19607
Data-2
(10,20)0.014790.020320.013300.014800.016310.002200.06823
(15,20)0.075650.070000.073990.075640.077310.002460.03551
(20,20)0.074090.071340.072420.074070.075790.00248−0.00370
Disclaimer/Publisher’s Note: The statements, opinions and data contained in all publications are solely those of the individual author(s) and contributor(s) and not of MDPI and/or the editor(s). MDPI and/or the editor(s) disclaim responsibility for any injury to people or property resulting from any ideas, methods, instructions or products referred to in the content.

Share and Cite

MDPI and ACS Style

Alotaibi, R.; Elshahhat, A. A New Discrete Model of Lindley Families: Theory, Inference, and Real-World Reliability Analysis. Mathematics 2026, 14, 397. https://doi.org/10.3390/math14030397

AMA Style

Alotaibi R, Elshahhat A. A New Discrete Model of Lindley Families: Theory, Inference, and Real-World Reliability Analysis. Mathematics. 2026; 14(3):397. https://doi.org/10.3390/math14030397

Chicago/Turabian Style

Alotaibi, Refah, and Ahmed Elshahhat. 2026. "A New Discrete Model of Lindley Families: Theory, Inference, and Real-World Reliability Analysis" Mathematics 14, no. 3: 397. https://doi.org/10.3390/math14030397

APA Style

Alotaibi, R., & Elshahhat, A. (2026). A New Discrete Model of Lindley Families: Theory, Inference, and Real-World Reliability Analysis. Mathematics, 14(3), 397. https://doi.org/10.3390/math14030397

Note that from the first issue of 2016, this journal uses article numbers instead of page numbers. See further details here.

Article Metrics

Back to TopTop