Abstract
Controlled-release systems must translate material design choices into predictable pharmacokinetic (PK) profiles, yet purely mechanistic or purely data-driven models often underperform when tuning complex polymer networks. Here, we develop tunable poly(vinyl formal) membranes (PVFMs) for diclofenac delivery and integrate classical kinetic analysis with a Generalized Regression Neural Network (GRNN) to connect formulation variables to release behavior and PK-relevant targets. PVFMs were synthesized across a gradient of crosslink densities by varying HCl content; diclofenac release was quantified under standardized conditions with geometry and dosing rigorously controlled (thickness, effective area, surface-area-to-volume ratio, and areal drug loading are reported to ensure reproducibility). Release profiles were fitted to Korsmeyer–Peppas, zero-order, first-order, Higuchi, and hyperbolic tangent models, while a GRNN was trained on material descriptors and time to predict cumulative release and flux, including out-of-sample conditions. Increasing crosslink density monotonically reduced swelling, areal release rate, and overall release efficiency (strong linear trends; r ≈ 0.99) and shifted transport from anomalous to Super Case II at the highest crosslinking. Classical models captured regime transitions but did not sustain high accuracy across the full design space; in contrast, the GRNN delivered superior predictive performance and generalized to conditions absent from training, enabling accurate interpolation/extrapolation of release trajectories. Beyond prior work, we provide a material-to-PK design map in which crosslinking, porosity/tortuosity, and hydrophobicity act as explicit “knobs” to shape burst, flux, and near-zero-order behavior, and we introduce a hybrid framework where mechanistic models guide interpretation while GRNN supplies robust, data-driven prediction for formulation selection. This integrated PVFM–GRNN approach supports rational design and quality control of controlled-release devices for diclofenac and is extendable to other therapeutics given appropriate descriptors and training data.
1. Introduction
The advent of controlled drug release systems has revolutionized pharmacotherapy by providing substantial advantages over conventional dosage forms. These systems, designed to release therapeutic agents at precisely controlled rates, can be tailored specifically to meet the demands of various medical conditions, significantly enhancing patient comfort, compliance, and therapeutic outcomes [1]. Polymers stand out among the materials utilized for such systems due to their inherent versatility, biocompatibility, and capacity to sustain drug release [2,3]. Nonetheless, despite these advancements, accurately predicting and optimizing drug release profiles continues to pose significant challenges. This necessitates the integration of advanced computational methodologies, including sophisticated mathematical modeling and artificial intelligence (AI) techniques, to bridge existing gaps in pharmaceutical technology [4,5,6].
Poly(vinyl alcohol) (PVA), an FDA-approved biodegradable polymer, is extensively employed in controlled-release applications, highlighting the importance of understanding its drug release mechanisms for customizing drug delivery profiles [7]. Nevertheless, the water solubility of PVA can lead to rapid drug release, compromising sustained delivery effectiveness. Additionally, non-crosslinked PVA hydrogels exhibit limited mechanical strength, restricting their utility in long-term or mechanically demanding applications [8].
In our research group, we have addressed these limitations by developing derivatives of PVA crosslinked with aldehydes, creating innovative scaffolds suitable for mammalian cell culture, controlled drug delivery, and wastewater remediation [9,10]. Previous studies from our group have shown that aldehyde crosslinking significantly enhances PVA’s mechanical stability while maintaining biocompatibility. Furthermore, fine-tuning the degree of crosslinking and introducing hydrophobic substituents allows precise modulation of drug release rates by altering hydrogel properties, such as pore size. This capability supports mathematical modeling of drug diffusion processes, thereby facilitating a comprehensive understanding and advancing controlled drug delivery systems [9,10].
Several PVA-derived materials have been proposed specifically for the controlled release of diclofenac, with potential applications in catheter design [11,12]. Nonetheless, existing studies lack robust datasets essential for mathematical modeling to predict their long-term behavior, hindering accurate scalability and commercialization. To address this critical limitation, advanced mathematical models and AI-driven predictive algorithms must be employed to enhance the precision of controlled-release systems. Employing advanced mathematical models enhances precision design, minimizes extensive experimental trials, improves safety standards, and optimizes cost efficiency in pharmaceutical technology. Furthermore, precise mathematical modeling ensures accurate prediction of treatment effectiveness, maintaining therapeutic doses, reducing side effects, and minimizing necessary drug quantities [13].
Several critical mathematical models aid in predicting drug release kinetics in diffusion-controlled systems, including Fick’s Laws of Diffusion, the Higuchi equation for monolithic dispersions, and specialized models for reservoir systems. Zero-order release models are particularly valuable for maintaining constant drug levels in the bloodstream, ensuring therapeutic efficacy and reduced side effects [14,15]. First-order models predict declining drug release rates correlating with decreased drug concentration, reflecting realistic physiological conditions. Additionally, the hyperbolic tangent function addresses complex drug–polymer interactions, effectively modeling intricate release kinetics, such as those seen with nano-precipitated poly(lactic-co-glycolic acid) (PLGA) delivery systems [15].
Despite their utility, traditional mathematical models are constrained by assumptions such as constant diffusion coefficients, applicability predominantly to high drug loadings, and suitability primarily for simplified geometries. Such constraints highlight the urgent need for more advanced predictive models capable of accurately capturing dynamic interactions within biological systems and accommodating complex geometries and variable drug concentrations characteristic of modern drug delivery technologies [16,17].
Recent developments in artificial intelligence (AI) and machine learning (ML) present powerful tools capable of transforming controlled drug release research [18]. AI and ML algorithms efficiently analyze complex datasets, identify subtle patterns, and enhance outcome predictability. Specifically, artificial neural networks (ANNs) excel in modeling controlled drug release systems, outperforming traditional statistical methods by effectively managing the complexities associated with system optimization [19,20]. Prior research by Yichun Sun et al. (2003) and M. A. Reis et al. (2004) underscores ANNs’ potential for significantly enhancing precision and efficiency in drug delivery systems [21,22].
Precise quality control in controlled-release medical devices is vital to ensuring optimal dosage and patient safety. In this study, we encapsulate diclofenac within PVA membranes crosslinked with formaldehyde, forming polyvinyl formal membranes (PVFMs). We investigate the diclofenac diffusion mechanism using the Korsmeyer–Peppas model and conduct comprehensive multivariable analyses to explore correlations between kinetic parameters [23,24,25,26].
To make the design intent explicit, the PVFM platform leverages three controllable material features—crosslink density (ν), effective porosity/tortuosity, and the hydrophobic fraction introduced by formal acetalization—to target clinically relevant release profiles for diclofenac. Higher ν and increased hydrophobicity reduce water uptake and mesh size, thereby lowering the effective diffusion coefficient and attenuating burst, helping approach near-zero-order release when desired; conversely, moderating ν and increasing accessible porosity elevate early-time flux when a faster onset is required. Building on this structure–function mapping and using HCl content as a practical handle to tune these properties, we evaluate release kinetics with established mathematical models (Higuchi, zero-order, first-order, and tanh) and benchmark their performance against a Generalized Regression Neural Network (GRNN). GRNN provides superior predictive accuracy by handling complex, nonlinear datasets and enabling precise predictions under new, untested conditions [27,28]. Together, this design-to-modeling framework yields critical insight into controlled-release dynamics and enhances dosage control, ultimately supporting safer, more effective treatments.
2. Materials and Methods
2.1. Synthesis of PVFM at Different Crosslinking Degrees with Anchored Diclofenac
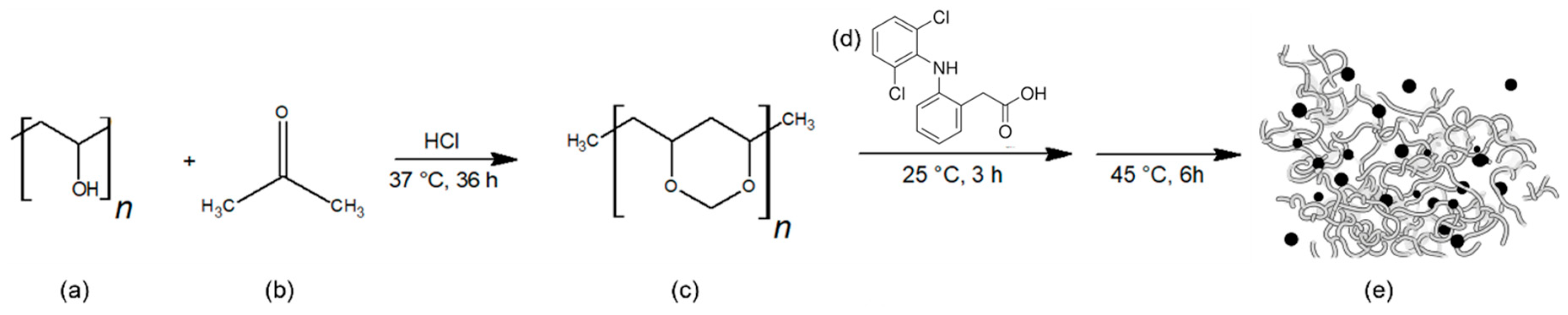
PVA (Aldrich, St. Louis, MO, USA, 11773Mowiol® 20-98, Mw 125,000) was dissolved in doubly deionized water at 10% w/v in a water bath at 80 °C with magnetic stirring. This solution was mixed with 20% v/v of formaldehyde (FA) (Sigma, St. Louis, MO, USA, 252549) and different amounts of hydrochloric acid (HCl) (Sigma, 320331) to obtain cylindrical-shaped PVFM with varying crosslinking degrees. Precisely 100 μL of the reaction mixture was dispensed into each well of 96-well plates (Corning Costar, Corning, NY, USA, 3591), followed by incubation at 37 °C for 36 h. Subsequently, 1 mg/cm2 of diclofenac (Merck, St. Louis, MO, USA, D6899), dissolved in doubly deionized water, was added to each well. The mixture was incubated for an additional 3 h at room temperature to facilitate diclofenac dispersion within the polymer matrix. After incubation, the plates were heated to 45 °C for 6 h. Membranes were then washed thrice with doubly deionized water to remove excess diclofenac and stored until analysis (Figure 1).
Figure 1.
Schematic overview of the experimental workflow for PVFM preparation and diclofenac loading. (a–d) Steps of polymer synthesis, membrane casting and crosslinking at different HCl concentrations; (e) representation of the PVFM network with anchored diclofenac.
Each PVFM plug was formed by dispensing 100 µL of the reaction mixture into a flat-bottom 96-well plate (Corning Costar 3591; well bottom area 0.3165 cm2, top/bottom diameter 6.86/6.35 mm), yielding cylindrical membranes with a wet thickness of ~3.16 mm (0.10 cm3/0.3165 cm2). Under release conditions, the plug rests on the well bottom; therefore, the effective surface area exposed to the medium is the top circular face only (0.3165 cm2), giving an effective A/V of 3.17 cm−1 (the total geometric A/V of the cylinder is 12.63 cm−1). Diclofenac loading was 1.0 mg cm−2, i.e., 0.317 mg per membrane, with between-well loading uniformity of ~5% CV ensured by volumetric dispensing. This value corresponds to a theoretical (nominal) diclofenac dose that was kept identical for all formulations. Encapsulation efficiency (EE%), defined as the fraction of this nominal dose retained within the membrane after the washing step, was not experimentally measured in this study; consequently, all subsequent release metrics are referenced to the nominal loading.
2.2. Quantification of Released Diclofenac
Diclofenac release was quantified by UV-Vis spectrophotometry at 276 nm using a microplate reader (FLUOstar Omega, BMG Labtech, Cary, NC, USA). Release tests were carried out at 25 ± 1 °C in 50 mM sodium phosphate buffer at pH 7.0 with no added NaCl to isolate the effect of crosslink density while minimizing confounders from temperature-dependent swelling, salt screening, and pH-dependent speciation. Aliquots of 100 µL from either known diclofenac standards or test samples were transferred to microplate wells (total well volume 200 µL of buffer), and absorbance at 276 nm was recorded over time. A calibration curve constructed from the standards was used to estimate the concentration of released diclofenac. Experiments were performed in quadruplicate for each polymer crosslinking degree, ensuring high internal consistency across formulations during the mechanistic screen.
2.3. Determination of the Diffusion Mechanism
The Korsmeyer–Peppas model [29] was employed to elucidate the drug diffusion mechanism (Equation (1)):
where Qt is the drug amount released at time t, K represents the transport constant related to structural and geometrical aspects of the delivery system and drug, and n is the release exponent indicating the mechanism of drug release from the polymer [30,31].
2.4. Determination of the Crosslinking Density
Crosslinking density (ν) was determined using the swelling equilibrium method based on Flory–Rehner theory [32]. Cylindrical polymer samples of uniform dimensions were thoroughly dried, and initial dry weights (Wd) were recorded. Samples were then immersed in distilled water at 25 °C until swelling equilibrium was reached (approximately 24 h). Excess surface water was removed, and swollen weights (Ws) were recorded. The equilibrium swelling degree (Q∞) was calculated as (Equation (2)):
The volumetric fraction of the polymer in the swollen state (Vs) was determined using Equation (3).
Crosslinking density (ν) was calculated using the Flory–Rehner (Equation (4)).
where Vs is the volumetric fraction of the polymer in the swollen state, χ is the polymer–solvent interaction parameter, and V1 is the molar volume of the solvent (for water, V1 = 18 cm3/mol).
We used a χ value of 0.48, typical for polyvinyl alcohol (PVA) and water systems [32,33,34]. The values for χ and V1 were sourced from the literature.
2.5. Determination of the Rate and Efficiency of Diclofenac Release
Release rates were obtained by linear regression of initial eight kinetic measurements, ensuring a Pearson correlation coefficient (R2) greater than 0.92. Release efficiency was calculated as (Equation (5)):
where is the amount of drug released at equilibrium, and corresponds to the nominal amount of immobilized drug (1 mg/cm2) loaded per membrane.
2.6. Adjustment and Validation of Controlled-Release Models
Experimental data were modeled using Python 3.11 and Visual Studio Code 1.83, employing pandas, numpy, matplotlib, sklearn, scipy and pyGRNN libraries. Evaluated models included zero-order, first-order, Higuchi, tanh, and a generalized regression neural network (GRNN). The GRNN was implemented as a kernel-based regressor with one pattern neuron per training sample and a Gaussian kernel in the hidden layer, as provided by pyGRNN. For each observation, the input feature vector comprised the release time together with the formulation descriptors (%HCl, crosslinking density, water content and swelling degree), and the output variable was the cumulative diclofenac released at that time point (µg·cm−2). A single GRNN model was trained on the pooled dataset, including all HCl concentrations and all experimental replicates, rather than fitting a separate model per formulation.
Cross-validation techniques were applied by dividing data into four groups corresponding to experimental replicates (n = 4). Specifically, we used a leave-one-replicate-out (4-fold) scheme: in each cycle, the GRNN was trained on the three available replicates across all %HCl conditions and evaluated on the held-out replicate; the cycle was rotated so that each replicate served once for validation. Model performance was evaluated using the coefficient of determination (R2) and the mean squared error (MSE) between observed and predicted cumulative release profiles on the held-out validation replicate in each fold, and these metrics were summarized per formulation and across formulations in the Results section. GRNN hyperparameters were optimized by grid search within the training folds, keeping the validation replicate strictly out-of-sample; the key hyperparameters were the kernel bandwidth (σ) and a small L2 regularization term (λ). The code used in this study is available at: https://github.com/IgorGarciaAtutxa/FVF-Diclofenaco (accessed on 8 October 2025).
2.7. Statistical Analysis
Data normality was assessed using the Shapiro–Wilk test, and significant differences between group means were determined using Student’s t-test. Multivariable analysis and correlation matrix computation were performed using Python’s Pandas and visualized using Seaborn’s 0.13.1 heatmap function.
3. Results and Discussion
3.1. Diclofenac Release Kinetics from PVFM with Varying Degrees of Crosslinking
We previously reported the synthesis and characterization of PVFM, showing that increasing HCl content enhances tensile strength, strain, and Young’s modulus while reducing elastic deformation; water content and swelling also decrease with higher HCl, demonstrating that HCl concentration is a simple lever to tune PVFM crosslinking [31]. To bridge to physiological conditions, diffusivity-controlled fluxes are expected to increase at 37 °C relative to 25 °C while preserving the same rank order across crosslinking levels; future validation under physiological ionic strength and dynamic pH will refine device-specific claims without altering the mechanistic conclusions [31].
Given these findings, we investigated the diclofenac release profiles from PVFM, selecting diclofenac as a model therapeutic agent due to its negative net charge, like that of PVFM, thus minimizing electrostatic interactions. Additionally, diclofenac exhibits valuable anti-thrombogenic properties. Release experiments were conducted at ambient temperature and constant ionic strength, with the resulting experimental data depicted in Figure 2. This behavior is consistent with the design rationale above: increasing HCl rises and effective tortuosity, which diminishes swelling and slows diffusion, thereby flattening the profile and minimizing burst. In practice, the HCl gradient functions as a single experimental dial that co-modulates crosslinking and hydrophobicity to bracket target exposure goals, as reflected by the monotonic trends in rate and efficiency observed across formulations.
Figure 2.
Diclofenac release kinetics from PVFMs with varying degrees of crosslinking (%HCl). (A–D) Cumulative release profiles for four independent experimental replicates; each curve corresponds to a distinct HCl concentration.
3.2. Determination of the Diclofenac Release Mechanism
The Korsmeyer–Peppas model was employed to elucidate the diffusion mechanisms of diclofenac from PVFM, distinguishing between diffusion-controlled (Fickian) and relaxation-controlled (non-Fickian or anomalous) mechanisms. By analyzing drug release data corresponding to less than 60% of the maximum released concentration, we found that varying crosslinking degrees significantly influenced diffusion characteristics [29,34,35].
First, it must be considered that in the Korsmeyer–Peppas model, a polymer’s geometry significantly influences the diffusion mechanism. Geometry affects the polymer’s area-to-volume ratio, controlling the drug’s release rate. For instance, thinner or elongated polymers have a higher surface area relative to their volume, potentially allowing quicker drug diffusion into the surrounding environment [36].
In this work, the synthesized PVFM were cylindrical, as this is the most common form in catheters, tablets, or capsules. The cylindrical geometry maintains a consistent surface area-to-volume ratio, crucial for predictable drug release kinetics [37]. According to the Korsmeyer–Peppas model, the diffusion mechanism for cylindrical shapes is classified based on the exponent n: hindered Fickian diffusion for 0 < n < 0.45, Fickian diffusion (Case I) at n = 0.45, anomalous transport for 0.45 < n < 1, Non-Fickian transport (Case II) at n = 1, and Super Case II transport for n > 1 [38]. Our results are summarized in Table 1.
Table 1.
Determination of the diffusion mechanism of the diclofenac release from PVFM at different crosslinking degrees.
Results in Table 1 indicate that the degree of crosslinking affects the properties of the polymer network. Higher crosslinking densities result in denser networks with smaller pores, restricting drug mobility and slowing diffusion. This can lead to a complex release mechanism where diffusion incorporates matrix relaxation and other non-Fickian phenomena, consistent with prior reports [39].
Our data indicates that the diclofenac diffusion mechanism changes with the degree of crosslinking in PVFM. With HCl concentrations ranging from 1% to 30%, diclofenac release occurs through anomalous transport, a process typical when diffusion is not the sole mechanism influencing drug release. This can be explained by the increase in crosslinking, which reduces porosity and increases tortuosity. In polymer matrices, ‘tortuosity’ refers to the complexity of the path drug molecules must follow to diffuse from inside the matrix to the outside. Thus, polymers with a high degree of crosslinking increase tortuosity, slowing the drug release rate and deviating from classic Fickian behavior [40].
It is noteworthy that PVFM with 30% HCl showed a value of n in the Korsmeyer–Peppas model of 1.029 ± 0.050, which is used to distinguish between anomalous transport (0.45 < n < 1) and non-Fickian diffusion (n = 1). Initially, a Shapiro–Wilk test yielded a p-value of 0.990, confirming the normality of our data. Subsequently, we conducted a one-tailed Student’s t-test (α = 0.05) where the null hypothesis (H0: ) and the alternative hypothesis (H1: ) were tested. The p-value of 0.0074 was less than the significance level α, leading to the rejection of the null hypothesis and acceptance of the alternative hypothesis. This analysis concluded that for PVFM with 30% HCl, the diffusion mechanism corresponds to anomalous transport rather than non-Fickian or Case II transport.
In contrast, for PVFM with 40% HCl, the mean release exponent was n = 1.148 ± 0.094 (n = 4), clearly above the theoretical threshold for Case II transport. To formally test this, we performed t-test against the null hypothesis H0: (H1: 1), obtaining p-value of 0.026. Thus, n is significantly greater than 1 at the 0.05 significance level, statistically supporting the classification of the 40% HCl formulation as exhibiting Super Case II transport. Increasing HCl concentration to 40% shifts the release mechanism to Super Case II transport, indicating significantly altered polymer matrix dynamics. Given previously discussed mechanical properties, this behavior aligns with increased stiffness, tensile stress, and Young’s modulus, while elastic deformation decreases [10]. Consequently, membranes become stronger but less elastic, potentially more brittle, and susceptible to sudden fractures, thus explaining the Super Case II diffusion mechanism.
Overall, increased crosslinking significantly alters polymer network properties, creating denser, more tortuous networks and complex release mechanisms. Additionally, increased polymer stiffness and reduced elasticity can enhance the material’s brittleness, contributing to non-Fickian and Super Case II release behaviors.
3.3. Comparison of Fit Between Classic Pseudo-Empirical Kinetic Models and Neural Networks
Our results indicate that as the crosslinking degree of PVFM increases, both the diclofenac release rate and drug release efficiency decrease. This suggests greater drug entrapment within denser polymer networks, likely due to more intertwined polymer chains forming a thicker, more compact structure. Consequently, drug diffusion is impeded, resulting in a more controlled and prolonged release. This observation aligns with Cury et al. (2009), who reported similar behavior in highly crosslinked phosphorylated amylose matrices [41].
A multivariable analysis was conducted to evaluate how variations in a key factor, such as HCl concentration, simultaneously influence multiple parameters. By examining variables from Table 2, including release rate, release efficiency, swelling degree, and crosslinking density, we assessed their interdependence and combined effects on polymer performance. Figure 3 presents these relationships through a heatmap of correlation coefficients.
Table 2.
Physicochemical properties and diclofenac release metrics for PVFMs prepared with different HCl concentrations (%HCl). The table reports crosslinking density, swelling degree, release rate and release efficiency for each formulation.
Figure 3.
Pearson correlation matrix among %HCl, crosslinking density, water content, swelling degree, diclofenac release rate and release efficiency for PVFMs. Color scale indicates correlation coefficient.
Our findings highlight a strong positive correlation between %HCl and crosslinking density (r ≈ 0.87), clearly indicating that higher %HCl significantly enhances crosslinking density, as expected due to increased polymer crosslinking facilitated by higher acid concentrations.
Moreover, a very strong negative correlation between %HCl and swelling degree (r ≈ −0.99) was observed, suggesting that increased crosslinking restricts the polymer’s swelling capability. This observation aligns with Peppas and Merrill’s (1977) findings, demonstrating reduced free volume and water uptake at higher crosslinking densities [42].
The correlation between %HCl and release rate was very strongly negative (r ≈ −0.99), reinforcing that increased crosslinking density restricts drug diffusion paths, thereby decreasing release rates. This behavior aligns with Siepmann and Göpferich’s (2001) description of diffusion-controlled release mechanisms within densely crosslinked polymer networks [43].
Additionally, a very strong negative correlation (r ≈ −0.99) between %HCl and release efficiency was identified, indicating that higher crosslinking density hampers effective drug diffusion from the polymer matrix. Crosslinking density and swelling degree were very strongly negatively correlated (r ≈ −0.91), confirming that higher crosslinking reduces polymer swelling capacity. Similarly, crosslinking density showed negative correlation with release rate (r ≈ −0.81), reinforcing that denser polymer structures hinder drug diffusion. Conversely, swelling degree and release rate exhibited a very strong positive correlation (r ≈ 0.97), supporting Heller’s (1993) findings that more swollen matrices facilitate drug diffusion [44]. Release rate and release efficiency also displayed a strong positive correlation (r ≈ 1.00), as faster drug release typically enhances release efficiency within the observed time frame.
Collectively, our multivariable analysis demonstrates that increasing HCl concentration, thereby elevating crosslinking density, significantly influences polymer matrix release characteristics, specifically by decreasing swelling degree, release rate, and efficiency due to more compact and restrictive structures. These insights are critical for designing optimized controlled-release systems with precisely modulated drug release profiles.
Subsequently, we evaluated traditional drug release models such as zero-order, first-order, Higuchi, and tanh, comparing their performance to that of the GRNN. These conventional mathematical models, straightforward to implement and helpful in determining essential kinetic parameters, effectively optimize formulations to achieve desired kinetic profiles [45]. Neural networks, particularly GRNN, can adeptly handle nonlinear complexities in data, outperforming traditional models that often rely on restrictive assumptions about data distribution. Unlike these conventional models, neural networks learn directly from data, adapting dynamically without preset constraints [21,28].
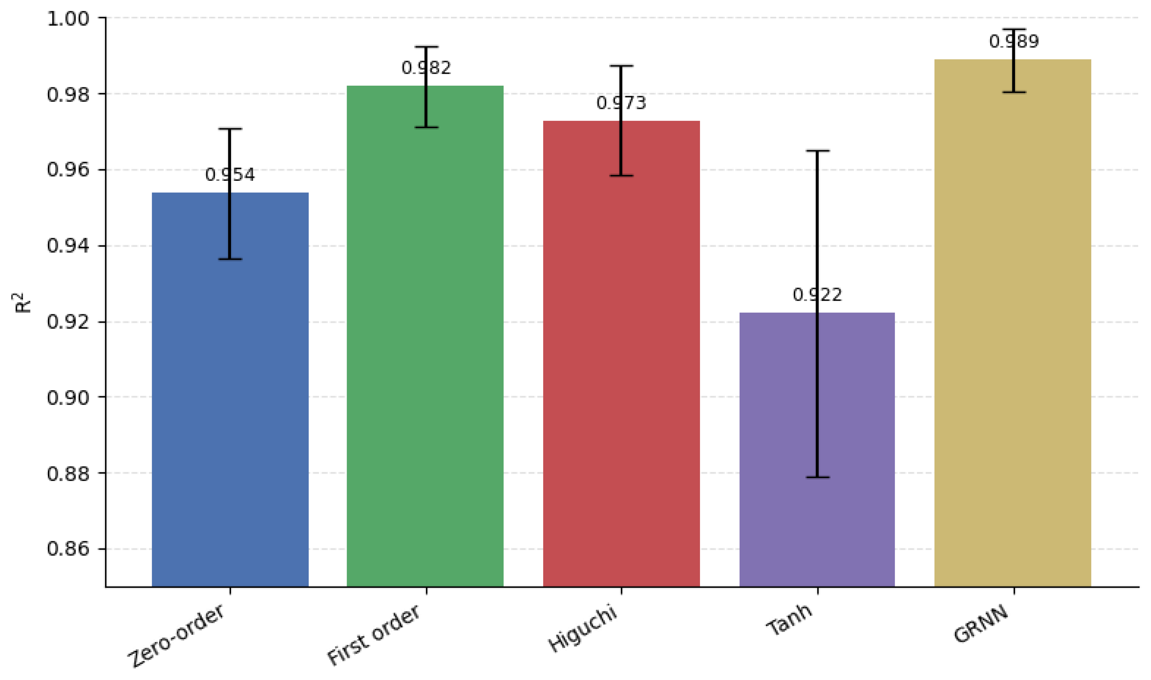
Table 2 summarizes the physicochemical properties and diclofenac release metrics for each formulation. Model fitting performance (RMSE and R2) for the evaluated kinetic models and the GRNN is summarized in Table 3. Our data revealed that zero-order, first-order, and Higuchi models exhibited robust fits (R2 > 0.94) due to low variability within the dataset. Conversely, the tanh model, previously effective in other contexts [46], displayed the least satisfactory fit in our study. The consistent fitting of samples across different kinetic models suggests these models each capture unique aspects of the drug release mechanism, underscoring the complexity inherent to polymer-based release systems. To facilitate visual comparison of model performance, Figure 4 displays the mean R2 (±SD) across formulations for all kinetic models.
Table 3.
Root mean square error (RMSE) and coefficient of determination (R2) for zero-order, first-order, Higuchi, tanh and GRNN models fitted to diclofenac release profiles from PVFMs at different HCl concentrations (%HCl). Values are reported as mean ± SD (n = 4 validation folds).
Figure 4.
Quantitative comparison of kinetic models fitted to diclofenac release from PVFMs. Bars represent the mean coefficient of determination (R2 ± σ; n = 6 formulations) for zero-order, first-order, Higuchi, tanh and GRNN models.
It is crucial to acknowledge that no traditional model universally covers all drug release scenarios, as their suitability often depends on specific system characteristics and assumptions such as matrix homogeneity or constant dissolution rates, which frequently do not align with complex real-world scenarios [47]. This limitation complicates quality control within medical device manufacturing, where precise drug release profiles are paramount. In contrast, neural networks, with their adaptive learning capabilities and nonlinear processing abilities, provide superior modeling capabilities for accurately predicting and managing the complexities associated with drug release systems [48].
3.4. Generalizability of the PVFM and GRNN Approach
Although diclofenac was selected as a model drug, the principles demonstrated here can be extended to other therapeutic agents. The tunable parameters of the PVFM matrix—crosslinking degree, porosity, and hydrophobicity—can be adjusted to achieve the desired release behavior depending on drug characteristics. For hydrophobic or weakly acidic molecules, higher crosslinking and hydrophobicity help minimize burst effects and promote near-zero-order kinetics, whereas hydrophilic or cationic drugs may benefit from lower crosslinking to enhance diffusivity. For macromolecular therapeutics such as peptides or proteins, reducing crosslinking and introducing hydrophilic segments would increase mesh size and preserve bioactivity. Importantly, the GRNN framework developed in this study is independent of the specific drug type. By incorporating descriptors such as molecular weight, logP, and pKa, the model could predict release behavior across a wide range of compounds, providing a versatile and data-driven tool for designing polymer-based controlled-release systems beyond diclofenac.
A limitation of this study is the lack of direct spectroscopic and microscopic characterization of the PVFMs. Although the acetalization mechanism of PVA and the associated FTIR and SEM signatures for PVFM have been extensively described in the literature, our analysis relies on indirect indicators of network formation (crosslinking density, swelling and release metrics). Future work will explicitly combine FTIR/SEM characterization with the kinetic–GRNN framework presented here to directly link microstructural descriptors to diclofenac release performance. A second limitation is that the actual diclofenac encapsulation efficiency (EE%) was not experimentally quantified. The modeling framework assumes that the dose loaded into each membrane equals the nominal amount added during preparation, and the reported “release efficiency (%)” values are therefore referenced to this theoretical loading. While this assumption is reasonable for comparing formulations prepared under identical conditions, future studies should include direct EE% measurements (e.g., by quantifying diclofenac in loading and washing solutions) to close the mass balance more rigorously.
4. Conclusions
In conclusion, this study demonstrates that the degree of crosslinking in PVFM can be effectively controlled by varying the concentration of HCl. We modulated the diclofenac release profiles by incorporating hydrophobic groups, creating a versatile platform with anti-thrombogenic properties. Our study is innovative in comparing the fitting of experimental data to various traditional pseudo-empirical kinetic models against the GRNN model. While traditional models fit adequately, the GRNN model exhibited superior accuracy, offering a promising alternative to conventional kinetic approaches that rely on predefined conceptual structures. Rather than replacing classical kinetic models, the ability of neural networks to flexibly replicate system behavior represents an important step forward in pharmacodynamic modeling, while traditional approaches continue to provide mechanistic understanding and valuable, interpretable parameters. By learning from experimental data, neural networks can make extremely precise predictions about drug release under new conditions not included in the original dataset. These capabilities benefit the design and optimization of new drug delivery systems and strengthen quality control in large-scale production. This study represents a significant and pioneering advancement in applying advanced machine learning techniques in pharmacology, laying the groundwork for future research.
Author Contributions
I.G.-A.: Methodology, validation, software, formal analysis, investigation, original draft, and visualization. F.V.-F.: Conceptualization, data acquisition, validation, formal analysis, investigation, draft edition, and visualization. All authors have read and agreed to the published version of the manuscript.
Funding
This work was made possible thanks to the financial support of the grant CBF-2025-I-1532 from the Convocatoria de Ciencia Básica y de Frontera 2025 of SECIHTI and the Secretaría de Investigación y Posgrado: Convocatoria de apoyos económicos para publicaciones y trámite de invenciones.
Institutional Review Board Statement
Not applicable.
Informed Consent Statement
Not applicable.
Data Availability Statement
The original contributions presented in the study are included in the article, further inquiries can be directed to the corresponding author.
Acknowledgments
During the preparation of this manuscript, the authors used ChatGPT-4 exclusively to enhance language and readability. After employing this tool, the authors reviewed and edited the content as necessary and assumed full responsibility for the content of the publication.
Conflicts of Interest
The authors declare no conflicts of interest.
References
- Varde, N.K.; Pack, D.W. Microspheres for controlled release drug delivery. Expert Opin. Biol. Ther. 2004, 4, 35–51. [Google Scholar] [CrossRef]
- Leong, K.W.; Langer, R. Polymeric controlled drug delivery. Adv. Drug Deliv. Rev. 1988, 1, 199–233. [Google Scholar] [CrossRef]
- Salari, N.; Faraji, F.; Torghabeh, F.M.; Faraji, F.; Mansouri, K.; Abam, F.; Shohaimi, S.; Akbari, H.; Mohammadi, M. Polymer-based drug delivery systems for anticancer drugs: A systematic review. Cancer Treat. Res Commun. 2022, 32, 100605. [Google Scholar] [CrossRef] [PubMed]
- López Ruiz, A.; Ramirez, A.; McEnnis, K. Single and Multiple Stimuli-Responsive Polymer Particles for Controlled Drug Delivery. Pharmaceutics 2022, 14, 421. [Google Scholar] [CrossRef]
- Aghabegi Moghanjoughi, A.; Khoshnevis, D.; Zarrabi, A. A concise review on smart polymers for controlled drug release. Drug Deliv. Transl. Res. 2016, 6, 333–340. [Google Scholar] [CrossRef]
- Palza, H.; Zapata, P.A.; Angulo-Pineda, C. Electroactive Smart Polymers for Biomedical Applications. Materials 2019, 12, 277. [Google Scholar] [CrossRef]
- Teodorescu, M.; Bercea, M.; Morariu, S. Biomaterials of PVA and PVP in medical and pharmaceutical applications: Perspectives and challenges. Biotechnol. Adv. 2019, 37, 109–131. [Google Scholar] [CrossRef]
- Orienti, I.; Treré, R.; Luppi, B.; Bigucci, F.; Cerchiara, T.; Zuccari, G.; Zecchi, V. Hydrogels formed by crosslinked poly(vinyl alcohol) as sustained drug delivery systems. Arch. Pharm. 2002, 335, 89–93. [Google Scholar] [CrossRef]
- Villanueva-Flores, F.; Miranda-Hernández, M.; Flores-Flores, J.O.; Porras-Sanjuanico, A.; Hu, H.; Pérez-Martínez, L.; Ramírez, O.T.; Palomares, L.A. Poly(vinyl alcohol co-vinyl acetate) as a novel scaffold for mammalian cell culture and controlled drug release. J. Mater. Sci. 2019, 54, 7867–7882. [Google Scholar] [CrossRef]
- Villanueva-Flores, F.; Palomares, L.A. Low-cost poly(vinyl formal) for heavy metal removal from water of a polluted river. J. Water Reuse Desalination 2022, 12, 52–65. [Google Scholar] [CrossRef]
- Suhail, M.; Badshah, S.F.; Chiu, I.H.; Ullah, A.; Khan, A.; Ullah, H.; Al-Sowayan, N.S.; Tsai, M.-J.; Wu, P.-C. A Novel Approach of Polyvinyl Alcohol/Acrylic Acid Based Hydrogels for Controlled Delivery of Diclofenac Sodium. Curr. Pharm. Biotechnol. 2025, 26, 477–489. [Google Scholar] [CrossRef]
- Branco, A.C.; Oliveira, A.S.; Monteiro, I.; Nolasco, P.; Silva, D.C.; Figueiredo-Pina, C.G.; Colaço, R.; Serro, A.P. PVA-Based Hydrogels Loaded with Diclofenac for Cartilage Replacement. Gels 2022, 8, 143. [Google Scholar] [CrossRef]
- Siepmann, J.; Siepmann, F. Mathematical modeling of drug delivery. Int. J. Pharm. 2008, 364, 328–343. [Google Scholar] [CrossRef] [PubMed]
- Ali, M.; Horikawa, S.; Venkatesh, S.; Saha, J.; Hong, J.W.; Byrne, M.E. Zero-order therapeutic release from imprinted hydrogel contact lenses within in vitro physiological ocular tear flow. J. Control. Release 2007, 124, 154–162. [Google Scholar] [CrossRef] [PubMed]
- Heredia, N.S.; Vizuete, K.; Flores-Calero, M.; Pazmiño, V.K.; Pilaquinga, F.; Kumar, B.; Debut, A. Comparative statistical analysis of the release kinetics models for nanoprecipitated drug delivery systems based on poly(lactic-co-glycolic acid). PLoS ONE 2022, 17, e0264825. [Google Scholar] [CrossRef]
- Lao, L.L.; Venkatraman, S.S.; Peppas, N.A. Modeling of drug release from biodegradable polymer blends. Eur. J. Pharm. Biopharm. 2008, 70, 796–803. [Google Scholar] [CrossRef] [PubMed]
- Kanjickal, D.G.; Lopina, S.T. Modeling of drug release from polymeric delivery systems-A review. Crit. Rev. Ther. Drug. Carrier Syst. 2004, 21, 345–386. [Google Scholar]
- Visan, A.I.; Negut, I. Integrating Artificial Intelligence for Drug Discovery in the Context of Revolutionizing Drug Delivery. Life 2024, 14, 233. [Google Scholar] [CrossRef]
- Knab, T.D.; Little, S.R.; Parker, R.S. A systems approach to modeling drug release from polymer microspheres to accelerate in vitro to in vivo translation. J. Control. Release 2015, 211, 74–84. [Google Scholar] [CrossRef]
- Vidhya, K.S.; Sultana, A.; Kumar, M.N.; Rangareddy, H. Artificial Intelligence’s Impact on Drug Discovery and Development from Bench to Bedside. Cureus 2023, 15, e47486. [Google Scholar] [CrossRef]
- Sun, Y.; Peng, Y.; Chen, Y.; Shukla, A.J. Application of artificial neural networks in the design of controlled release drug delivery systems. Adv. Drug. Deliv. Rev. 2003, 55, 1201–1215. [Google Scholar] [CrossRef]
- Reis, M.A.A.; Sinisterra, R.D.; Belchior, J.C. An alternative approach based on artificial neural networks to study controlled drug release. J. Pharm. Sci. 2004, 93, 418–430. [Google Scholar] [CrossRef]
- Lao, L.L.; Peppas, N.A.; Boey, F.Y.C.; Venkatraman, S.S. Modeling of drug release from bulk-degrading polymers. Int. J. Pharm. 2011, 418, 28–41. [Google Scholar] [CrossRef]
- Siepmann, J.; Peppas, N.A. Higuchi equation: Derivation, applications, use and misuse. Int. J. Pharm. 2011, 418, 6–12. [Google Scholar] [CrossRef]
- Jain, A.; Jain, S.K. In vitro release kinetics model fitting of liposomes: An insight. Chem. Phys. Lipids 2016, 201, 28–40. [Google Scholar] [CrossRef]
- Costa, P.; Sousa Lobo, J.M. Modeling and comparison of dissolution profiles. Eur. J. Pharm. Sci. 2001, 13, 123–133. [Google Scholar] [CrossRef] [PubMed]
- Islam, M.M.; Lee, G.; Hettiwatte, S.N. Application of a general regression neural network for health index calculation of power transformers. Int. J. Electr. Power Energy Syst. 2017, 93, 308–315. [Google Scholar] [CrossRef]
- Wang, S.; Di, J.; Wang, D.; Dai, X.; Hua, Y.; Gao, X.; Zheng, A.; Gao, J. State-of-the-Art Review of Artificial Neural Networks to Predict, Characterize and Optimize Pharmaceutical Formulation. Pharmaceutics 2022, 14, 183. [Google Scholar] [CrossRef]
- Korsmeyer, R.W.; Gurny, R.; Doelker, E.; Buri, P.; Peppas, N.A. Mechanisms of solute release from porous hydrophilic polymers. Int. J. Pharm. 1983, 15, 25–35. [Google Scholar] [CrossRef]
- Korsmeyer, R.W.; Von Meerwall, E.; Peppas, N.A. Solute and penetrant diffusion in swellable polymers. II. Verification of theoretical models. J. Polym. Sci. B Polym. Phys. 1986, 24, 409–434. [Google Scholar] [CrossRef]
- Wu, I.Y.; Bala, S.; Škalko-Basnet, N.; Di Cagno, M.P. Interpreting non-linear drug diffusion data: Utilizing Korsmeyer-Peppas model to study drug release from liposomes. Eur. J. Pharm. Sci. 2019, 138, 105026. [Google Scholar] [CrossRef]
- Flory, P.J.; Rehner, J. Statistical Mechanics of Cross-Linked Polymer Networks II. Swelling. J. Chem. Phys. 1943, 11, 521–526. [Google Scholar] [CrossRef]
- Yang, M.H.; Chu, T.J. The determination of interaction parameter χ1 for polyvinyl alcohol and water from the diffusion data. Polym. Test. 1993, 12, 57–64. [Google Scholar] [CrossRef]
- Hastie, T.; Tibshirani, R.; Friedman, J. The Elements of Statistical Learning: Data Mining, Inference, and Prediction, 2nd ed.; Springer: Berlin/Heidelberg, Germany, 2009. [Google Scholar]
- Varshosaz, J.; Hajian, M. Characterization of drug release and diffusion mechanism through hydroxyethylmethacrylate/methacrylic acid pH-sensitive hydrogel. Drug Deliv. 2004, 11, 53–58. [Google Scholar] [CrossRef] [PubMed]
- Peppas, N.A.; Narasimhan, B. Mathematical models in drug delivery: How modeling has shaped the way we design new drug delivery systems. J. Control. Release 2014, 190, 75–81. [Google Scholar] [CrossRef]
- Guy, R. Calculations of drug release rates from cylinders. Int. J. Pharm. 1981, 8, 159–165. [Google Scholar] [CrossRef]
- Fosca, M.; Rau, J.V.; Uskoković, V. Factors influencing the drug release from calcium phosphate cements. Bioact. Mater 2022, 7, 341–363. [Google Scholar] [CrossRef] [PubMed]
- Granik, S.O.; Rogova, T.G.; Samarin, Y.e.F.; Shtarkman, B.P. The effect of crosslinkages in polymethyl methacrylate on the parameters and the mechanism of diffusional transfer. Polym. Sci. USSR 1982, 24, 345–349. [Google Scholar] [CrossRef]
- Desai, S.J.; Simonelli, A.P.; Higuchi, W.I. Investigation of factors influencing release of solid drug dispersed in inert matrices. J. Pharm. Sci. 1965, 54, 1459–1464. [Google Scholar] [CrossRef]
- Cury, B.S.F.; Castro, A.D.; Klein, S.I.; Evangelista, R.C. Modeling a system of phosphated cross-linked high amylose for controlled drug release. Part 2: Physical parameters, cross-linking degrees and drug delivery relationships. Int. J. Pharm. 2009, 371, 8–15. [Google Scholar] [CrossRef]
- Peppas, N.A.; Merrill, E.W. Crosslinked poly(vinyl alcohol) hydrogels as swollen elastic networks. J. Appl. Polym. Sci. 1977, 21, 1763–1770. [Google Scholar] [CrossRef]
- Siepmann, J.; Göpferich, A. Mathematical modeling of bioerodible, polymeric drug delivery systems. Adv. Drug Deliv. Rev. 2001, 48, 229–247. [Google Scholar] [CrossRef]
- Heller, J. Polymers for controlled parenteral delivery of peptides and proteins. Adv. Drug Deliv. Rev. 1993, 10, 163–204. [Google Scholar] [CrossRef]
- Scott, D.C.; Hollenbeck, R.G. Design and manufacture of a zero-order sustained-release pellet dosage form through nonuniform drug distribution in a diffusional matrix. Pharm. Res. 1991, 8, 156–161. [Google Scholar] [CrossRef]
- Yahya, I.; Atif, R.; Ahmed, L.; Eldeen, T.S.; Omara, A.; Eltayeb, M. Polymeric Nanoparticles as Drug Delivery Systems for Controlled Release. Adv. Sci. Eng. Med. 2020, 12, 263–270. [Google Scholar] [CrossRef]
- Putro, J.N.; Lunardi, V.B.; Soetaredjo, F.E.; Yuliana, M.; Santoso, S.P.; Wenten, I.G.; Ismadji, S. A Review of Gum Hydrocolloid Polyelectrolyte Complexes (PEC) for Biomedical Applications: Their Properties and Drug Delivery Studies. Processes 2021, 9, 1796. [Google Scholar] [CrossRef]
- Veng-Pedersen, P.; Modi, N.B. An Algorithm for Constrained Deconvolution Based on Reparameterization. J. Pharm. Sci. 1992, 81, 175–180. [Google Scholar] [CrossRef]
Disclaimer/Publisher’s Note: The statements, opinions and data contained in all publications are solely those of the individual author(s) and contributor(s) and not of MDPI and/or the editor(s). MDPI and/or the editor(s) disclaim responsibility for any injury to people or property resulting from any ideas, methods, instructions or products referred to in the content. |
© 2026 by the authors. Licensee MDPI, Basel, Switzerland. This article is an open access article distributed under the terms and conditions of the Creative Commons Attribution (CC BY) license.



