You are currently on the new version of our website. Access the old version .
  • This is an early access version, the complete PDF, HTML, and XML versions will be available soon.
  • Article
  • Open Access

11 January 2026

Analysis of Geometric Wave Impedance Effect and Stress Wave Propagation Mechanism in Slack Wire Ropes

,
,
,
,
and
1
Zhejiang Academy of Special Equipment Science, Hangzhou 310009, China
2
Zhejiang Key Laboratory of Special Equipment Safety Technology, Hangzhou 310009, China
3
College of Mechanical Engineering, Zhejiang University of Technology, Hangzhou 310014, China
*
Author to whom correspondence should be addressed.

Abstract

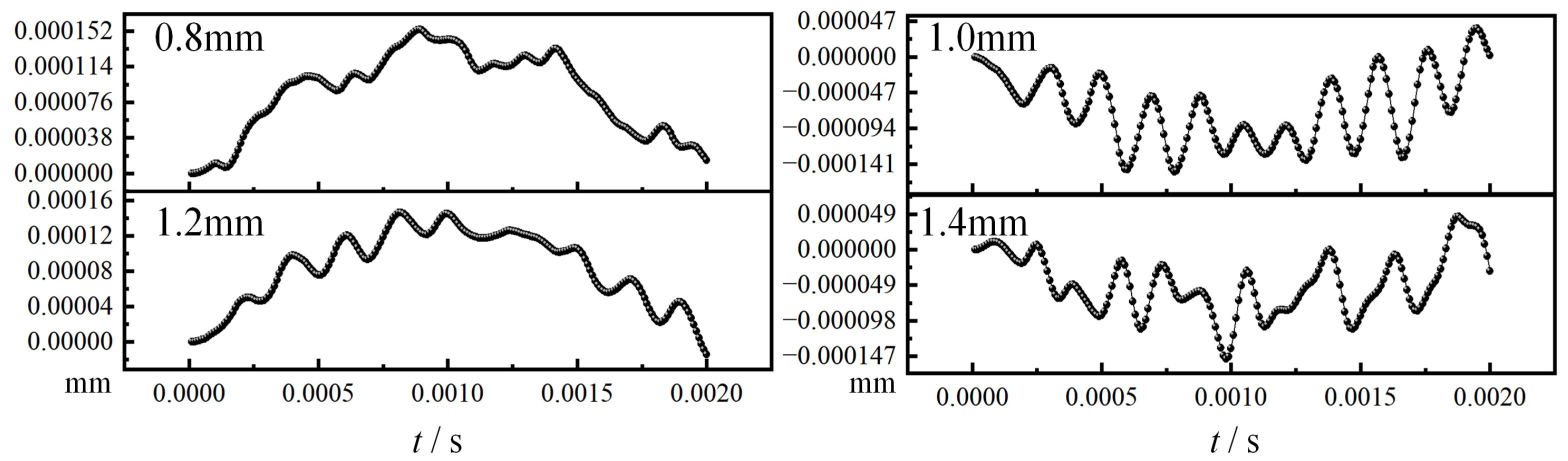
The dynamic behavior of relaxed steel wire ropes under slowly varying pulse loads is dominated by the geometric wave impedance effect caused by the helical geometric topology. This study proposes a numerical analysis framework based on high-fidelity parametric solid modeling and implicit dynamics to investigate a Seale-type 6×19S-WSC steel wire rope. Under baseline conditions without pretension and friction, the helical structure forces significant modal conversion and geometric scattering of the axially incident waves, producing an energy attenuation effect akin to “geometric filtering”. Parametric analysis varying the core wire diameter reveals that the helical structure causes the axial wave speed to decrease by orders of magnitude compared to the material’s inherent wave speed. Furthermore, changes in core wire size induce a non-monotonic variation in the dynamic response, revealing a competitive mechanism between overall stiffness increase and a “dynamic decoupling” effect caused by interlayer gaps. This study confirms the dominant role of geometric wave impedance in the dynamic performance of relaxed steel wire ropes.

Article Metrics

Citations

Article Access Statistics

Multiple requests from the same IP address are counted as one view.