Sign in to use this feature.

Years

Between: -

Subjects

remove_circle_outline
remove_circle_outline
remove_circle_outline
remove_circle_outline
remove_circle_outline

Journals

Article Types

Countries / Regions

Search Results (15)

Search Parameters:
Keywords = modeling of aerial robot arms

Order results
Result details
Results per page
Select all
Export citation of selected articles as:
30 pages, 16167 KB  
Article
NMPC-Based Trajectory Optimization and Hierarchical Control of a Ducted Fan Flying Robot with a Robotic Arm
by Yibo Zhang, Bin Xu, Yushu Yu, Shouxing Tang, Wei Fan, Siqi Wang and Tao Xu
Drones 2025, 9(10), 680; https://doi.org/10.3390/drones9100680 - 29 Sep 2025
Viewed by 390
Abstract
Ducted fan flying robots with robotic arms can perform physical interaction tasks in complex environments such as indoors. However, the coupling effects between the aerial platform, the robotic arm, and physical environment pose significant challenges for the robot to accurately approach and stably [...] Read more.
Ducted fan flying robots with robotic arms can perform physical interaction tasks in complex environments such as indoors. However, the coupling effects between the aerial platform, the robotic arm, and physical environment pose significant challenges for the robot to accurately approach and stably contact the target. To address this problem, we propose a unified control framework for a ducted fan flying robot that encompasses both flight planning and physical interaction. This contribution mainly includes the following: (1) A nonlinear model predictive control (NMPC)-based trajectory optimization controller is proposed, which achieves accurate and smooth tracking of the robot’s end effector by considering the coupling of redundant states and various motion and performance constraints, while avoiding potential singularities and dangers. (2) On this basis, an easy-to-practice hierarchical control framework is proposed, achieving stable and compliant contact of the end effector without controller switching between the flight and interaction processes. The results of experimental tests show that the proposed method exhibits accurate position tracking of the end effector without overshoot, while the maximum fluctuation is reduced by up to 75.5% without wind and 71.0% with wind compared to the closed-loop inverse kinematics (CLIK) method, and it can also ensure continuous stable contact of the end effector with the vertical wall target. Full article
(This article belongs to the Section Drone Design and Development)
Show Figures

Figure 1

12 pages, 3174 KB  
Article
Modeling and Control for an Aerial Work Quadrotor with a Robotic Arm
by Wenwu Zhu, Fanzeng Wu, Haibo Du, Lei Li and Yao Zhang
Actuators 2025, 14(7), 357; https://doi.org/10.3390/act14070357 - 21 Jul 2025
Viewed by 821
Abstract
This paper focuses on the integrated modeling and disturbance rejection of the aerial work quadrotor with a robotic arm. First, to address the issues of model incompleteness and parameter uncertainty commonly encountered in traditional Newton–Euler-based modeling approaches for such a system, the Lagrangian [...] Read more.
This paper focuses on the integrated modeling and disturbance rejection of the aerial work quadrotor with a robotic arm. First, to address the issues of model incompleteness and parameter uncertainty commonly encountered in traditional Newton–Euler-based modeling approaches for such a system, the Lagrangian energy conservation principle is adopted. By treating the quadrotor and robotic arm as a unified system, an integrated dynamic model is developed, which accurately captures the coupled dynamics between the aerial platform and the manipulator. The innovative approach fills the gap in existing research where model expressions are incomplete and parameters are ambiguous. Next, to reduce the adverse effects of the robotic arm’s motion on the entire system stability, a finite-time disturbance observer and a fast non-singular terminal sliding mode controller (FNTSMC) are designed. Lyapunov theory is used to prove the finite-time stability of the closed-loop system. It breaks through the limitations of the traditional Lipschitz framework and, for the first time at both the theoretical and methodological levels, achieves finite-time convergence control for the aerial work quadrotor with a robotic arm system. Finally, comparative simulations with the integral sliding mode controller (ISMC), sliding mode controller (SMC), and PID controller demonstrate that the proposed algorithm reduces the regulation time by more than 45% compared to ISMC and SMC, and decreases the overshoot by at least 68% compared to the PID controller, which improves the convergence performance and disturbance rejection capability of the closed-loop system. Full article
(This article belongs to the Special Issue Advanced Learning and Intelligent Control Algorithms for Robots)
Show Figures

Figure 1

23 pages, 8454 KB  
Article
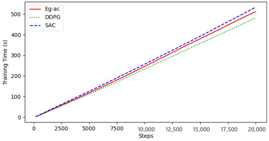
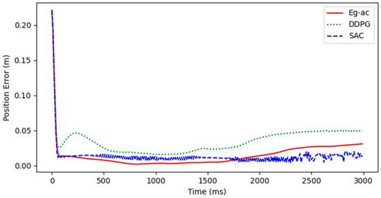
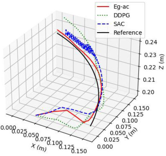
Encouraging Guidance: Floating Target Tracking Technology for Airborne Robotic Arm Based on Reinforcement Learning
by Jiying Wu, Zhong Yang, Haoze Zhuo, Changliang Xu, Luwei Liao, Danguo Cheng and Zhiyong Wang
Actuators 2025, 14(2), 66; https://doi.org/10.3390/act14020066 - 31 Jan 2025
Viewed by 1033
Abstract
Aerial robots equipped with operational robotic arms are a powerful means of achieving aerial contact operations, and their core competitiveness lies in target tracking control at the end of the airborne robotic arm (ARA). In order to improve the learning efficiency and flexibility [...] Read more.
Aerial robots equipped with operational robotic arms are a powerful means of achieving aerial contact operations, and their core competitiveness lies in target tracking control at the end of the airborne robotic arm (ARA). In order to improve the learning efficiency and flexibility of the ARA control algorithm, this paper proposes the encouraging guidance of an actor–critic (Eg-ac) algorithm based on the actor–critic (AC) algorithm and applies it to the floating target tracking control of ARA. It can quickly lock in the exploration direction and achieve stable tracking without increasing the learning cost. Firstly, this paper establishes approximate functions, policy functions, and encouragement functions for the state value of ARA. Secondly, an adoption rate controller (ARC) module was designed based on the concept of heavy rewards and light punishments (HRLP). Then, the kinematic and dynamic models of ARA were established. Finally, simulation was conducted using stable baselines3 (SB3). The experimental results show that, under the same computational cost, the convergence speed of the Eg-ac is improved by 21.4% compared to deep deterministic policy gradient (DDPG). Compared with soft actor–critic (SAC) and DDPG, Eg-ac has improved learning efficiency by at least 20% and has a more agile and stable floating target tracking effect. Full article
(This article belongs to the Section Actuators for Robotics)
Show Figures

Figure 1

18 pages, 16140 KB  
Article
Development and Validation of a New Type of Displacement-Based Miniatured Laser Vibrometers
by Ke Yuan, Zhonghua Zhu, Wei Chen and Weidong Zhu
Sensors 2024, 24(16), 5230; https://doi.org/10.3390/s24165230 - 13 Aug 2024
Cited by 5 | Viewed by 2439
Abstract
Developing a miniatured laser vibrometer becomes important for many engineering areas, such as experimental and operational modal analyses, model validation, and structural health monitoring. Due to its compact size and light weight, a miniatured laser vibrometer can be attached to various mobilized platforms, [...] Read more.
Developing a miniatured laser vibrometer becomes important for many engineering areas, such as experimental and operational modal analyses, model validation, and structural health monitoring. Due to its compact size and light weight, a miniatured laser vibrometer can be attached to various mobilized platforms, such as an unmanned aerial vehicle and a robotic arm whose payloads can usually not be large, to achieve a flexible vibration measurement capability. However, integrating optics into a miniaturized laser vibrometer presents several challenges. These include signal interference from ghost reflectance signals generated by the sub-components of integrated photonics, polarization effects caused by waveguide structures, wavelength drifting due to the semiconductor laser, and the poorer noise characteristics of an integrated laser chip compared to a non-integrated circuit. This work proposes a novel chip-based high-precision laser vibrometer by incorporating two or more sets of quadrature demodulation networks into its design. An additional set of quadrature demodulation networks with a distinct reference arm delay line length can be used to conduct real-time compensation to mitigate linear interference caused by temperature and environmental variations. A series of vibration measurements with frequencies ranging from 0.1 Hz to 1 MHz were conducted using the proposed laser vibrometer to show its repeatability and accuracy in vibration and ultrasonic vibration measurements, and its robustness to test surface conditions. The proposed laser vibrometer has the advantage of directly measuring the displacement response of a vibrating structure rather than integrating its velocity response to yield the measured displacement with a conventional laser Doppler vibrometer. Full article
(This article belongs to the Section Optical Sensors)
Show Figures

Figure 1

21 pages, 512 KB  
Review
Review of Aerial Transportation of Suspended-Cable Payloads with Quadrotors
by Julian Estevez, Gorka Garate, Jose Manuel Lopez-Guede and Mikel Larrea
Drones 2024, 8(2), 35; https://doi.org/10.3390/drones8020035 - 25 Jan 2024
Cited by 43 | Viewed by 8668
Abstract
Payload transportation and manipulation by rotorcraft drones are receiving a lot of attention from the military, industrial and logistics research areas. The interactions between the UAV and the payload, plus the means of object attachment or manipulation (such as cables or anthropomorphic robotic [...] Read more.
Payload transportation and manipulation by rotorcraft drones are receiving a lot of attention from the military, industrial and logistics research areas. The interactions between the UAV and the payload, plus the means of object attachment or manipulation (such as cables or anthropomorphic robotic arms), may be nonlinear, introducing difficulties in the overall system performance. In this paper, we focus on the current state of the art of aerial transportation systems with suspended loads by a single UAV and a team of them and present a review of different dynamic cable models and control systems. We cover the last sixteen years of the existing literature, and we add a discussion for evaluating the main trends in the referenced research works. Full article
(This article belongs to the Special Issue Advances in Quadrotor Unmanned Aerial Vehicles)
Show Figures

Figure 1

24 pages, 10358 KB  
Article
Design and Control of a Reconfigurable Robot with Rolling and Flying Locomotion
by Qing Chang, Biao Yu, Hongwei Ji, Haifeng Li, Tiantian Yuan, Xiangyun Zhao, Hongsheng Ren and Jinhao Zhan
Actuators 2024, 13(1), 27; https://doi.org/10.3390/act13010027 - 9 Jan 2024
Cited by 1 | Viewed by 2632
Abstract
Given the continual rise in mission diversity and environmental complexity, the adept integration of a robot’s aerial and terrestrial locomotion modes to address diverse application scenarios has evolved into a formidable challenge. In this paper, we design a reconfigurable airframe robot endowed with [...] Read more.
Given the continual rise in mission diversity and environmental complexity, the adept integration of a robot’s aerial and terrestrial locomotion modes to address diverse application scenarios has evolved into a formidable challenge. In this paper, we design a reconfigurable airframe robot endowed with the dual functionalities of rolling and flying. This innovative design not only ensures a lightweight structure but also incorporates morphing capabilities facilitated by a slider-crank mechanism. Subsequently, a land-to-air transformation strategy for the robot is introduced, achieved through the coordinated movement of the robotic arm and the servo motor. To ensure stable control of the robot amid external wind disturbances, we leverage the collaboration between a Generative Adversarial Network (GAN)and a Nonlinear Model Predictive Control (NMPC) controller. After the wind force magnitude is predicted through the neural network, the robot’s adeptness in flexible trajectory tracking is verified. Under simulated wind conditions of 12.1 m/s, the trajectory error consistently remains within the range of 10–15 cm, affirming the effectiveness of this control method. Full article
(This article belongs to the Section Actuators for Robotics)
Show Figures

Figure 1

21 pages, 6847 KB  
Article
Decoupled Control Design of Aerial Manipulation Systems for Vegetation Sampling Application
by Zahra Samadikhoshkho and Michael Lipsett
Drones 2023, 7(2), 110; https://doi.org/10.3390/drones7020110 - 6 Feb 2023
Cited by 7 | Viewed by 3077
Abstract
A key challenge in the use of drones for an aerial manipulation task such as cutting tree branches is the control problem, especially in the presence of an unpredictable and nonlinear environment. While prior work focused on simplifying the problem by modeling a [...] Read more.
A key challenge in the use of drones for an aerial manipulation task such as cutting tree branches is the control problem, especially in the presence of an unpredictable and nonlinear environment. While prior work focused on simplifying the problem by modeling a simple interaction with branches and controlling the system with nonlinear and non-robust control schemes, the current work deals with the problem by designing novel robust nonlinear controllers for aerial manipulation systems that are appropriate for vegetation sampling. In this regard, two different potential control schemes are proposed: nonlinear disturbance observer-based control (NDOBC) and adaptive sliding mode control (ASMC). Each considers the external disturbances and unknown parameters in controller design. The proposed control scheme in both methods employs a decoupled architecture that treats the unmanned aerial vehicle and the manipulator arm of the sampler payload as separate units. In the proposed control structures, controllers are designed after comprehensively investigating the dynamics of both the aerial vehicle and the robotic arm. Each system is then controlled independently in the presence of external disturbances, unknown parameter changes, and the nonlinear coupling between the aerial vehicle and robotic arm. In addition, fully actuated and underactuated aerial platforms are examined, and their stability and controllability are compared so as to choose the most practical framework. Finally, the simulation findings verify and compare the performance and effectiveness of the proposed control strategies for a custom aerial manipulation system that has been designed and developed for field trials. Full article
Show Figures

Figure 1

24 pages, 11594 KB  
Article
A Trajectory Tracking Approach for Aerial Manipulators Using Nonsingular Global Fast Terminal Sliding Mode and an RBF Neural Network
by Lirui Shen, Pengjun Mao, Qian Fang and Jun Wang
Machines 2022, 10(11), 1021; https://doi.org/10.3390/machines10111021 - 3 Nov 2022
Cited by 5 | Viewed by 2360
Abstract
An unmanned aerial manipulator (UAM) is a novel flying robot consisting of an unmanned aerial vehicle (UAV) and a multi-degree-of-freedom (DoF) robotic arm. It can actively interact with the environment to conduct dangerous or inaccessible tasks for humans. Owing to the underactuated characteristics [...] Read more.
An unmanned aerial manipulator (UAM) is a novel flying robot consisting of an unmanned aerial vehicle (UAV) and a multi-degree-of-freedom (DoF) robotic arm. It can actively interact with the environment to conduct dangerous or inaccessible tasks for humans. Owing to the underactuated characteristics of UAVs and the coupling generated by the rigid connection with the manipulator, robustness and a high-precision controller are critical for UAMs. In this paper, we propose a nonsingular global fast terminal sliding mode (NGFTSM) controller for UAMs to track the expected trajectory under the influence of disturbances based on a reasonably simplified UAM system dynamics model. To achieve active anti-disturbance and high tracking accuracy in a UAM system, we incorporate an RBF neural network into the controller to estimate lumped disturbances, including internal coupling and external disturbances. The controller and neural network are derived according to Lyapunov theory to ensure the system’s stability. In addition, we propose a set of illustrative metrics to evaluate the performance of the designed controller and compare it with other controllers by simulations. The results show that the proposed controller can effectively enhance the robustness and accuracy of a UAM system with satisfactory convergence. The experimental results also verify the effectiveness of the proposed controller. Full article
(This article belongs to the Special Issue Advanced Control of Unmanned Aerial Vehicles (UAV))
Show Figures

Figure 1

31 pages, 16339 KB  
Article
Energy Efficient UAV Flight Control Method in an Environment with Obstacles and Gusts of Wind
by Marcin Chodnicki, Barbara Siemiatkowska, Wojciech Stecz and Sławomir Stępień
Energies 2022, 15(10), 3730; https://doi.org/10.3390/en15103730 - 19 May 2022
Cited by 28 | Viewed by 5176
Abstract
This article presents an energy-efficient method of controlling unmanned aircraft (fixed-wing UAVs), which consists of three groups of algorithms: aerial vehicle route planning, in-flight control, and algorithms to correct the preplanned flight trajectory. All algorithms shall take into account the existence of obstacles [...] Read more.
This article presents an energy-efficient method of controlling unmanned aircraft (fixed-wing UAVs), which consists of three groups of algorithms: aerial vehicle route planning, in-flight control, and algorithms to correct the preplanned flight trajectory. All algorithms shall take into account the existence of obstacles that the UAV must avoid and wind gusts in the UAV’s area of operation. Tests were carried out on the basis of the UAV mathematical model, stabilization and navigation algorithms, and Dryden turbulence model, considering the parameters of the UAV’s propulsion system. The work includes a detailed description of constructing a network of connection that is used to plan a UAV mission. It presents the algorithm for determining the actual distances between the different points in the field of action, which takes into account the existence of obstacles. The algorithm shall be based on methods for determining the flight trajectory on a hexagonal grid. It presents the developed proprietary UAV path planning algorithm based on a model from a group of algorithms of mixed integer linear problem (MILP) optimization. It presents the manner in which the pre-prepared flight path was used by UAV controllers that supervised the flight along the preset path. It details the architecture of contemporary unmanned aerial vehicles, which have embedded capability to realize autonomous missions, which require the integration of UAV systems into the route planning algorithms set out in the article. Particular attention has been paid to the planning and implementation methods of UAV missions under conditions where wind gusts are present, which support the determination of UAV flight routes to minimize the vehicle’s energy consumption. The models developed were tested within a computer architecture based on ARM processors using the hardware-in-the-loop (HIL) technique, which is commonly used to control unmanned vehicles. The presented solution makes use of two computers: FCC (flight control computer) based on a real-time operating system (RTOS) and MC (mission computer) based on Linux and integrated with the Robot Operating System (ROS). A new contribution of this work is the integration of planning and monitoring methods for the implementation of missions aimed at minimizing energy consumption of the vehicle, taking into account wind conditions. Full article
Show Figures

Figure 1

18 pages, 2794 KB  
Article
Coupled Dynamic Modeling and Control of Aerial Continuum Manipulation Systems
by Zahra Samadikhoshkho, Shahab Ghorbani and Farrokh Janabi-Sharifi
Appl. Sci. 2021, 11(19), 9108; https://doi.org/10.3390/app11199108 - 30 Sep 2021
Cited by 16 | Viewed by 3436
Abstract
Aerial continuum manipulation systems (ACMSs) were newly introduced by integrating a continuum robot (CR) into an aerial vehicle to address a few issues of conventional aerial manipulation systems such as safety, dexterity, flexibility and compatibility with objects. Despite the earlier work on decoupled [...] Read more.
Aerial continuum manipulation systems (ACMSs) were newly introduced by integrating a continuum robot (CR) into an aerial vehicle to address a few issues of conventional aerial manipulation systems such as safety, dexterity, flexibility and compatibility with objects. Despite the earlier work on decoupled dynamic modeling of ACMSs, their coupled dynamic modeling still remains intact. Nonlinearity and complexity of CR modeling make it difficult to design a coupled ACMS model suitable for practical applications. This paper presents a coupled dynamic modeling for ACMSs based on the Euler–Lagrange formulation to deal with CR and the aerial vehicle as a unified system. For this purpose, a general vertical take-off and landing vehicle equipped with a tendon-driven continuum arm is considered to increase the dexterity and compliance of interactions with the environment. The presented model is independent of the motor’s configuration and tilt angles and can be applied to model any under/fully actuated ACMS. The modeling approach is complemented with a Lyapunov-wise stable adaptive sliding mode control technique to demonstrate the validity of the proposed method for such a complex system. Simulation results in free flight motion scenarios are reported to verify the effectiveness of the proposed modeling and control techniques. Full article
(This article belongs to the Special Issue Advances in Aerial, Space, and Underwater Robotics)
Show Figures

Figure 1

18 pages, 2516 KB  
Article
Adaptive Robust Controller Design-Based RBF Neural Network for Aerial Robot Arm Model
by Izzat Al-Darraji, Dimitrios Piromalis, Ayad A. Kakei, Fazal Qudus Khan, Milos Stojmenovic, Georgios Tsaramirsis and Panagiotis G. Papageorgas
Electronics 2021, 10(7), 831; https://doi.org/10.3390/electronics10070831 - 31 Mar 2021
Cited by 40 | Viewed by 5067
Abstract
Aerial Robot Arms (ARAs) enable aerial drones to interact and influence objects in various environments. Traditional ARA controllers need the availability of a high-precision model to avoid high control chattering. Furthermore, in practical applications of aerial object manipulation, the payloads that ARAs can [...] Read more.
Aerial Robot Arms (ARAs) enable aerial drones to interact and influence objects in various environments. Traditional ARA controllers need the availability of a high-precision model to avoid high control chattering. Furthermore, in practical applications of aerial object manipulation, the payloads that ARAs can handle vary, depending on the nature of the task. The high uncertainties due to modeling errors and an unknown payload are inversely proportional to the stability of ARAs. To address the issue of stability, a new adaptive robust controller, based on the Radial Basis Function (RBF) neural network, is proposed. A three-tier approach is also followed. Firstly, a detailed new model for the ARA is derived using the Lagrange–d’Alembert principle. Secondly, an adaptive robust controller, based on a sliding mode, is designed to manipulate the problem of uncertainties, including modeling errors. Last, a higher stability controller, based on the RBF neural network, is implemented with the adaptive robust controller to stabilize the ARAs, avoiding modeling errors and unknown payload issues. The novelty of the proposed design is that it takes into account high nonlinearities, coupling control loops, high modeling errors, and disturbances due to payloads and environmental conditions. The model was evaluated by the simulation of a case study that includes the two proposed controllers and ARA trajectory tracking. The simulation results show the validation and notability of the presented control algorithm. Full article
(This article belongs to the Special Issue Advances in Robotic Mobile Manipulation)
Show Figures

Figure 1

20 pages, 24291 KB  
Article
Cartesian Aerial Manipulator with Compliant Arm
by Alejandro Suarez, Manuel Perez, Guillermo Heredia and Anibal Ollero
Appl. Sci. 2021, 11(3), 1001; https://doi.org/10.3390/app11031001 - 22 Jan 2021
Cited by 20 | Viewed by 6712
Abstract
This paper presents an aerial manipulation robot consisting of a hexa-rotor equipped with a 2-DOF (degree of freedom) Cartesian base (XY–axes) that supports a 1-DOF compliant joint arm that integrates a gripper and an elastic linear force sensor. The proposed kinematic configuration improves [...] Read more.
This paper presents an aerial manipulation robot consisting of a hexa-rotor equipped with a 2-DOF (degree of freedom) Cartesian base (XY–axes) that supports a 1-DOF compliant joint arm that integrates a gripper and an elastic linear force sensor. The proposed kinematic configuration improves the positioning accuracy of the end effector with respect to robotic arms with revolute joints, where each coordinate of the Cartesian position depends on all the joint angles. The Cartesian base reduces the inertia of the manipulator and the energy consumption since it does not need to lift its own weight. Consequently, the required torque is lower and, thus, the weight of the actuators. The linear and angular deflection sensors of the arm allow the estimation, monitoring and control of the interaction wrenches exerted in two axes (XZ) at the end effector. The kinematic and dynamic models are derived and compared with respect to a revolute-joint arm, proposing a force-position control scheme for the aerial robot. A battery counterweight mechanism is also incorporated in the X–axis linear guide to partially compensate for the motion of the manipulator. Experimental results indoors and outdoors show the performance of the robot, including object grasping and retrieval, contact force control, and force monitoring in grabbing situations. Full article
(This article belongs to the Special Issue Aerial Robotics for Inspection and Maintenance)
Show Figures

Figure 1

26 pages, 5554 KB  
Article
Fully-Actuated Aerial Manipulator for Infrastructure Contact Inspection: Design, Modeling, Localization, and Control
by Pedro J. Sanchez-Cuevas, Antonio Gonzalez-Morgado, Nicolas Cortes, Diego B. Gayango, Antonio E. Jimenez-Cano, Aníbal Ollero and Guillermo Heredia
Sensors 2020, 20(17), 4708; https://doi.org/10.3390/s20174708 - 20 Aug 2020
Cited by 51 | Viewed by 16486
Abstract
This paper presents the design, modeling and control of a fully actuated aerial robot for infrastructure contact inspection as well as its localization system. Health assessment of transport infrastructure involves measurements with sensors in contact with the bridge and tunnel surfaces and the [...] Read more.
This paper presents the design, modeling and control of a fully actuated aerial robot for infrastructure contact inspection as well as its localization system. Health assessment of transport infrastructure involves measurements with sensors in contact with the bridge and tunnel surfaces and the installation of monitoring sensing devices at specific points. The design of the aerial robot presented in the paper includes a 3DoF lightweight arm with a sensorized passive joint which can measure the contact force to regulate the force applied with the sensor on the structure. The aerial platform has been designed with tilted propellers to be fully actuated, achieving independent attitude and position control. It also mounts a “docking gear” to establish full contact with the infrastructure during the inspection, minimizing the measurement errors derived from the motion of the aerial platform and allowing full contact with the surface regardless of its condition (smooth, rough, ...). The localization system of the aerial robot uses multi-sensor fusion of the measurements of a topographic laser sensor on the ground and a tracking camera and inertial sensors on-board the aerial robot, to be able to fly under the bridge deck or close to the bridge pillars where GNSS satellite signals are not available. The paper also presents the modeling and control of the aerial robot. Validation experiments of the localization system and the control system, and with the aerial robot inspecting a real bridge are also included. Full article
Show Figures

Figure 1

20 pages, 17460 KB  
Article
Anti-Disturbance Control for Quadrotor UAV Manipulator Attitude System Based on Fuzzy Adaptive Saturation Super-Twisting Sliding Mode Observer
by Ran Jiao, Wusheng Chou, Yongfeng Rong and Mingjie Dong
Appl. Sci. 2020, 10(11), 3719; https://doi.org/10.3390/app10113719 - 27 May 2020
Cited by 27 | Viewed by 4463
Abstract
Aerial operation with unmanned aerial vehicle (UAV) manipulator is a promising field for future applications. However, the quadrotor UAV manipulator usually suffers from several disturbances, such as external wind and model uncertainties, when conducting aerial tasks, which will seriously influence the stability of [...] Read more.
Aerial operation with unmanned aerial vehicle (UAV) manipulator is a promising field for future applications. However, the quadrotor UAV manipulator usually suffers from several disturbances, such as external wind and model uncertainties, when conducting aerial tasks, which will seriously influence the stability of the whole system. In this paper, we address the problem of high-precision attitude control for quadrotor manipulator which is equipped with a 2-degree-of-freedom (DOF) robotic arm under disturbances. We propose a new sliding-mode extended state observer (SMESO) to estimate the lumped disturbance and build a backstepping attitude controller to attenuate its influence. First, we use the saturation function to replace discontinuous sign function of traditional SMESO to alleviate the estimation chattering problem. Second, by innovatively introducing super-twisting algorithm and fuzzy logic rules used for adaptively updating the observer switching gains, the fuzzy adaptive saturation super-twisting extended state observer (FASTESO) is constructed. Finally, in order to further reduce the impact of sensor noise, we invite a tracking differentiator (TD) incorporated into FASTESO. The proposed control approach is validated with effectiveness in several simulations and experiments in which we try to fly UAV under varied external disturbances. Full article
(This article belongs to the Special Issue Modelling and Control of Mechatronic and Robotic Systems)
Show Figures

Figure 1

16 pages, 19859 KB  
Article
Detection, Location and Grasping Objects Using a Stereo Sensor on UAV in Outdoor Environments
by Pablo Ramon Soria, Begoña C. Arrue and Anibal Ollero
Sensors 2017, 17(1), 103; https://doi.org/10.3390/s17010103 - 7 Jan 2017
Cited by 53 | Viewed by 9242
Abstract
The article presents a vision system for the autonomous grasping of objects with Unmanned Aerial Vehicles (UAVs) in real time. Giving UAVs the capability to manipulate objects vastly extends their applications, as they are capable of accessing places that are difficult to reach [...] Read more.
The article presents a vision system for the autonomous grasping of objects with Unmanned Aerial Vehicles (UAVs) in real time. Giving UAVs the capability to manipulate objects vastly extends their applications, as they are capable of accessing places that are difficult to reach or even unreachable for human beings. This work is focused on the grasping of known objects based on feature models. The system runs in an on-board computer on a UAV equipped with a stereo camera and a robotic arm. The algorithm learns a feature-based model in an offline stage, then it is used online for detection of the targeted object and estimation of its position. This feature-based model was proved to be robust to both occlusions and the presence of outliers. The use of stereo cameras improves the learning stage, providing 3D information and helping to filter features in the online stage. An experimental system was derived using a rotary-wing UAV and a small manipulator for final proof of concept. The robotic arm is designed with three degrees of freedom and is lightweight due to payload limitations of the UAV. The system has been validated with different objects, both indoors and outdoors. Full article
(This article belongs to the Special Issue UAV-Based Remote Sensing)
Show Figures

Figure 1

Back to TopTop