NMPC-Based Trajectory Optimization and Hierarchical Control of a Ducted Fan Flying Robot with a Robotic Arm
Abstract
1. Introduction
1.1. Background and Motivation
1.2. Related Works
1.3. Contribution
- A nonlinear model predictive control-based trajectory optimization controller for the flying robot is proposed. The designed controller achieves smooth and accurate tracking of the end effector without overshoot by balancing the aerodynamic wall effects of the ducted fan and the motion coupling of the robotic arm. Meanwhile, by considering various motion and performance constraints, potential singularities and dangers in conventional methods are avoided.
- A unified hierarchical control framework for both approach and contact stages is proposed, which includes the physical interaction control layer, trajectory optimization layer, and motion control layer, and is easy-to-practice. The proposed framework avoids performance coupling between the flight and interaction processes, achieving stable and compliant contact for the end effector without controller switching.
- Both simulation analyses and actual experimental tests are performed to verify the effectiveness of the controller proposed.
2. System Description of the Robot
2.1. Introduction of the Robot
2.2. Kinematic Model
2.3. Dynamics Model
2.4. Environment Model
3. NMPC-Based Trajectory Optimization
3.1. Problem Formulation
3.2. Optimization Tasks
- (1)
- End effector tracking error
- (2)
- CoM of the robotic arm
- (3)
- Wall effect of the ducted fan
- (4)
- Control action
3.3. System Constraints
- (1)
- Safety D-W distance of the ducted fan
- (2)
- Self-collision avoidance of the robotic arm
- (3)
- Joint angle limits
- (4)
- Velocity limits of the motion variables
- (5)
- Acceleration limits of the motion variables
4. Hierarchical Control Framework
4.1. Control Framework Description
- (1)
- The physical interaction controller is for achieving contact compliance through joint action and realizing the control performance decoupling between the flight and interaction processes under unified framework. Specifically, when physical contact occurs, the equivalent references of the joint variables are updated according to the environmental reaction force on the end effector.
- (2)
- The trajectory optimization controller is for desired target position tracking of the end effector, which has been introduced in Section 3. It obtains the independent state variable references of the platform (position and yaw angle ) and robotic arm (joint angles ) as the inputs of low-level layer.
- (3)
- The aerial platform controller and arm joint controller are for stabilization of the robot to ensure their motion performance under dynamics coupling, the outputs of which are set as the control inputs of the actuators.
| Algorithm 1. Algorithm of the hierarchical control framework. |
| Input: End effector desired target trajectory , environmental interaction force , and current system state Output: Aerial platform control input and robotic arm joint control input |
|
4.2. Motion Control
4.2.1. Aerial Platform Control
4.2.2. Robotic Arm Control
4.2.3. Interaction Control
5. Simulation Analyses
5.1. Position Tracking Scenario
5.2. Physical Contact Scenario
6. Experimental Verifications
6.1. Experimental Setup
6.2. Experimental Results
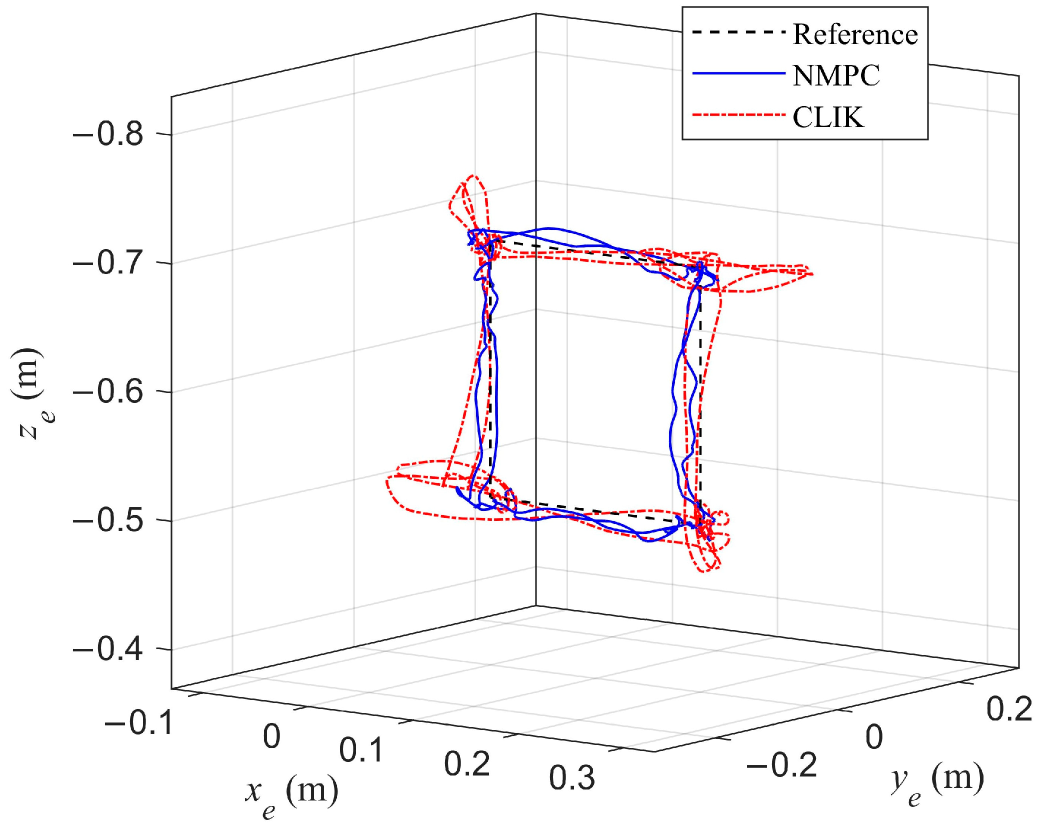
6.2.1. Position Tracking Scenario
| Parm | Value | Parm | Value |
|---|---|---|---|
| 10 | 2 | ||
| diag (4, 4, 4) | diag (20, 20, 20) | ||
| diag (2, 2) | diag (2, 2) | ||
| 10,000 | 10,000 | ||
| diag (1, 1, 1, 1, 1, 1, 1, 1) | 100 ms |
| Constraint | Value | Constraint | Value |
|---|---|---|---|
| 0.215 m | 0.445 m | ||
| (−pi/3, pi/3) rad | (0, pi) rad | ||
| (−5 pi/6, −pi/6) rad | (−pi/2, pi/2) rad | ||
| (−1.5, 1.5) m/s | (−1.5, 1.5) m/s | ||
| (−1.5, 1.5) m/s | (−1.57, 1.57) rad/s | ||
| (−4.8, 4.8) rad/s | (−5.6, 5.6) m/s2 | ||
| (−5.6, 5.6) m/s2 | (−6.0, 4.0) m/s2 | ||
| (−2.4, 2.4) rad/s2 |
| Parm | Value | Parm | Value | Parm | Value | Parm | Value |
|---|---|---|---|---|---|---|---|
| 1 | 30 | 1 |
| Scenario | Controller | Longitudinal Direction | Vertical Direction |
|---|---|---|---|
| Without wind | CLIK | 0.1596 m | 0.0685 m |
| NMPC | 0.0391 m | 0.0293 m | |
| With wind | CLIK | 0.2692 m | 0.0958 m |
| NMPC | 0.0781 m | 0.0351 m |
6.2.2. Physical Contact Scenario
7. Conclusions
Author Contributions
Funding
Data Availability Statement
Conflicts of Interest
References
- Meira, G.D.S.; Guedes, J.V.F.; Bias, E.D.S. UAV-Embedded Sensors and Deep Learning for Pathology Identification in Building Façades: A Review. Drones 2024, 8, 341. [Google Scholar] [CrossRef]
- Liu, W.; Lyu, S.-K.; Liu, T.; Wu, Y.-T.; Qin, Z. Multi-Target Optimization Strategy for Unmanned Aerial Vehicle Formation in Forest Fire Monitoring Based on Deep Q-Network Algorithm. Drones 2024, 8, 201. [Google Scholar] [CrossRef]
- Barakou, S.C.; Tzafestas, C.S.; Valavanis, K.P. A Review of Real-Time Implementable Cooperative Aerial Manipulation Systems. Drones 2024, 8, 196. [Google Scholar] [CrossRef]
- Martinez, R.R.; Paul, H.; Shimonomura, K. Aerial Torsional Work Utilizing a Multirotor UAV with Add-on Thrust Vectoring Device. Drones 2023, 7, 551. [Google Scholar] [CrossRef]
- Liang, J.; Zhong, H.; Wang, Y.; Chen, Y.; Mao, J.; Wang, W.; Zhang, H. Reference Optimization-Based Compliant Control for Aerial Pipeline Inspection Using a Hexacopter With a Robotic Contact Device. IEEE/ASME Trans. Mechatron. 2024, 29, 4063–4074. [Google Scholar] [CrossRef]
- Samadikhoshkho, Z.; Lipsett, M.G. Visual Servoing for Aerial Vegetation Sampling Systems. Drones 2024, 8, 605. [Google Scholar] [CrossRef]
- Kalantari, A.; Brinkman, A.; Carpenter, K.; Gildner, M.; Jenkins, J.; Newill-Smith, D.; Seiden, J.; Umali, A.; Mccormick, R. Design, Prototype, and Performance Assessment of an Autonomous Manipulation System for Mars Sample Recovery Helicopter. In Proceedings of the 2024 IEEE/RSJ International Conference on Intelligent Robots and Systems (IROS), Abu Dhabi, United Arab Emirates, 14–18 October 2024; pp. 2229–2236. [Google Scholar]
- Ji, M.; Shen, J.; Cao, H.; Zhao, S. Avian-inspired high-precision tracking control for aerial manipulators. Nonlinear Dyn. 2025, 113, 8605–8621. [Google Scholar] [CrossRef]
- Qian, Y.; Luo, Y.; Hu, X.; Zeng, Z.; Zhang, Y. Improving the performance of ducted fans for VTOL applications: A review. Sci. China Technol. Sci. 2022, 65, 2521–2541. [Google Scholar] [CrossRef]
- Barakou, S.C.; Tzafestas, C.S.; Valavanis, K.P. Control Strategies for Real-Time Aerial Manipulation With Multi-Dof Arms: A Survey. In Proceedings of the 2025 International Conference on Unmanned Aircraft Systems (ICUAS), Charlotte, NC, USA, 14–17 May 2025; pp. 139–146. [Google Scholar]
- Ubellacker, S.; Ray, A.; Bern, J.M.; Strader, J.; Carlone, L. High-speed aerial grasping using a soft drone with onboard perception. npj Robot. 2024, 2, 5. [Google Scholar] [CrossRef]
- Chen, H.; Quan, F.; Fang, L.; Zhang, S. Aerial Grasping with a Lightweight Manipulator Based on Multi-Objective Optimization and Visual Compensation. Sensors 2019, 19, 4253. [Google Scholar] [CrossRef] [PubMed]
- Zhang, G.; He, Y.; Dai, B.; Gu, F.; Yang, L.; Han, J.; Liu, G. Aerial Grasping of an Object in the Strong Wind: Robust Control of an Aerial Manipulator. Appl. Sci. 2019, 9, 2230. [Google Scholar] [CrossRef]
- Liu, Y.; Huang, C. DDPG-Based Adaptive Robust Tracking Control for Aerial Manipulators With Decoupling Approach. IEEE Trans. Cybern. 2022, 52, 8258–8271. [Google Scholar] [CrossRef] [PubMed]
- Cao, H.; Shen, J.; Liu, C.; Zhu, B.; Zhao, S. Motion Planning for Aerial Pick-and-Place With Geometric Feasibility Constraints. IEEE Trans. Autom. Sci. Eng. 2025, 22, 2577–2594. [Google Scholar] [CrossRef]
- Pedrocco, M.; Pasetto, A.; Fanti, G.; Benato, A.; Cocuzza, S. Trajectory Tracking Control of an Aerial Manipulator in the Presence of Disturbances and Model Uncertainties. Appl. Sci. 2024, 14, 2512. [Google Scholar] [CrossRef]
- Lee, H.; Kim, H.J. Estimation, Control, and Planning for Autonomous Aerial Transportation. IEEE Trans. Ind. Electron. 2017, 64, 3369–3379. [Google Scholar] [CrossRef]
- Dimmig, C.A.; Kobilarov, M. Non-Prehensile Aerial Manipulation using Model-Based Deep Reinforcement Learning. In Proceedings of the 2024 IEEE 20th International Conference on Automation Science and Engineering (CASE), Bari, Italy, 28 August–1 September 2024; pp. 2194–2200. [Google Scholar]
- Liu, H.; Guo, P.; Jin, X.; Deng, H.; Xu, K.; Ding, X. An Intelligent Planning Method For The Multi-Rotor Manipulation Robot With Reinforcement Learning. In Proceedings of the 2022 IEEE International Conference on Mechatronics and Automation (ICMA), Guilin, China, 7–10 August 2022; pp. 1028–1033. [Google Scholar]
- He, G.; Guo, X.; Tang, L.; Zhang, Y.; Mousaei, M.; Xu, J.; Geng, J.; Scherer, S.; Shi, G. Flying Hand: End-Effector-Centric Framework for Versatile Aerial Manipulation Teleoperation and Policy Learning. arXiv 2025, arXiv:2504.10334. [Google Scholar]
- Meng, X.; He, Y.; Han, J.; Song, A. Physical Interaction Oriented Aerial Manipulators: Contact Force Control and Implementation. IEEE Trans. Autom. Sci. Eng. 2025, 22, 4570–4582. [Google Scholar] [CrossRef]
- Cuniato, E.; Lawrance, N.; Tognon, M.; Siegwart, R. Power-Based Safety Layer for Aerial Vehicles in Physical Interaction Using Lyapunov Exponents. IEEE Robot. Autom. Lett. 2022, 7, 6774–6781. [Google Scholar] [CrossRef]
- Suarez, A.; Heredia, G.; Ollero, A. Physical-Virtual Impedance Control in Ultralightweight and Compliant Dual-Arm Aerial Manipulators. IEEE Robot. Autom. Lett. 2018, 3, 2553–2560. [Google Scholar] [CrossRef]
- Zhang, Z.; Chen, Y.; Wu, Y.; He, B.; Miao, Z.; Zhang, H.; Wang, Y. Hybrid Force/Position Control for Switchable Unmanned Aerial Manipulator Between Free Flight and Contact Operation. IEEE Trans. Autom. Sci. Eng. 2024, 21, 4283–4297. [Google Scholar] [CrossRef]
- Liang, J.; Wang, Y.; Zhong, H.; Chen, Y.; Li, H.; Mao, J.; Wang, W. Robust Variable Impedance Control for Aerial Compliant Interaction With Stability Guarantee. IEEE Trans. Ind. Inform. 2024, 20, 3351–3360. [Google Scholar] [CrossRef]
- Xu, M.; Hu, A.; Wang, H. Image-Based Visual Impedance Force Control for Contact Aerial Manipulation. IEEE Trans. Autom. Sci. Eng. 2023, 20, 518–527. [Google Scholar] [CrossRef]
- Khalifa, A.; Fanni, M.; Khalifa, A. Sensorless contact force estimation and robust impedance control for a quadrotor manipulation system. Sci. Rep. 2024, 14, 28772. [Google Scholar] [CrossRef]
- Zhang, Y.; Xu, B.; Xiang, C.; Liu, L.; Ai, T. Modelling and controller design of a novel ducted fan unmanned aircraft. Int. J. Robot. Autom. 2021, 36, 448–461. [Google Scholar] [CrossRef]
- Forte, F.; Naldi, R.; Macchelli, A.; Marconi, L. Impedance control of an aerial manipulator. In Proceedings of the American Control Conference, Montreal, QC, Canada, 27–29 June 2012; pp. 3839–3844. [Google Scholar]
- Quan, Q. Introduction to Multicopter Design and Control; Springer Nature: Singapore, 2017; ISBN 9789811033827. [Google Scholar]
- Grüne, L.; Pannek, J. Nonlinear Model Predictive Control; Springer: Cham, Switzerland, 2016. [Google Scholar]
- Kondak, K.; Huber, F.; Schwarzbach, M.; Laiacker, M.; Sommer, D.; Bejar, M.; Ollero, A. Aerial manipulation robot composed of an autonomous helicopter and a 7 degrees of freedom industrial manipulator. In Proceedings of the 2014 IEEE International Conference on Robotics and Automation, Hong Kong, China, 31 May–7 June 2014; pp. 2107–2112. [Google Scholar]
- Luo, Y.; He, Y.; Qian, Y.; Zhang, Y. Aerodynamic modeling of ducted fans under environmental disturbances. J. Phys. Conf. Ser. 2024, 2707, 12075. [Google Scholar] [CrossRef]
- Ai, T.; Xu, B.; Xiang, C.; Fan, W.; Zhang, Y. Modeling of a Novel Coaxial Ducted Fan Aerial Robot Combined with Corner Environment by Using Artificial Neural Network. Sensors 2020, 20, 5805. [Google Scholar] [CrossRef] [PubMed]
- Luo, Y.; He, Y.; Xu, B.; Ai, T.; Qian, Y.; Zhang, Y. Numerical simulation and analysis of a ducted-fan drone hovering in confined environments. Adv. Aerodyn. 2024, 6, 18. [Google Scholar] [CrossRef]
- Zhang, Y.; Xu, B.; Xiang, C.; Fan, W.; Ai, T. Flight and Interaction Control of an Innovative Ducted Fan Aerial Manipulator. Sensors 2020, 20, 3019. [Google Scholar] [CrossRef] [PubMed]
- Siciliano, B.; Sciavicco, L.; Villani, L.; Oriolo, G. Robotics: Modelling, Planning and Control; Springer: London, UK, 2010; ISBN 978-1-84628-641-4. [Google Scholar]






















| Parm | Description | Value |
|---|---|---|
| Mass of aerial platform | 5.7 kg | |
| Inertia matrix of aerial platform | diag (0.314, 0.307, 0.326) kg∙m2 | |
| Mass of arm link 1 | 0.0984 kg | |
| Inertia matrix of arm link 1 | diag (3.454 × 10−5, 3.269 × 10−5, 1.885 × 10−5) kg∙m2 | |
| Mass of arm link 2 | 0.1385 kg | |
| Inertia matrix of arm link 2 | diag (6.035 × 10−5, 3.306 × 10−4, 3.429 × 10−4) kg∙m2 | |
| Mass of arm link 3 | 0.1327 kg | |
| Inertia matrix of arm link 3 | diag (3.065 × 10−5, 2.423 × 10−4, 2.516 × 10−4) kg∙m2 | |
| Mass of arm link 4 | 0.2259 kg | |
| Inertia matrix of arm link 4 | diag (8.087 × 10−5, 9.313 × 10−5, 7.598 × 10−5) kg∙m2 |
| Link | (m) | (Rad) | (m) | (Rad) |
|---|---|---|---|---|
| 1 | 0 | 0 | 0 | |
| 2 | 0 | π/2 | 0 | |
| 3 | 0.130 | 0 | 0 | |
| 4 | 0.124 | 0 | 0 | |
| EE | 0.170 | 0 | 0 | 0 |
Disclaimer/Publisher’s Note: The statements, opinions and data contained in all publications are solely those of the individual author(s) and contributor(s) and not of MDPI and/or the editor(s). MDPI and/or the editor(s) disclaim responsibility for any injury to people or property resulting from any ideas, methods, instructions or products referred to in the content. |
© 2025 by the authors. Licensee MDPI, Basel, Switzerland. This article is an open access article distributed under the terms and conditions of the Creative Commons Attribution (CC BY) license (https://creativecommons.org/licenses/by/4.0/).
Share and Cite
Zhang, Y.; Xu, B.; Yu, Y.; Tang, S.; Fan, W.; Wang, S.; Xu, T. NMPC-Based Trajectory Optimization and Hierarchical Control of a Ducted Fan Flying Robot with a Robotic Arm. Drones 2025, 9, 680. https://doi.org/10.3390/drones9100680
Zhang Y, Xu B, Yu Y, Tang S, Fan W, Wang S, Xu T. NMPC-Based Trajectory Optimization and Hierarchical Control of a Ducted Fan Flying Robot with a Robotic Arm. Drones. 2025; 9(10):680. https://doi.org/10.3390/drones9100680
Chicago/Turabian StyleZhang, Yibo, Bin Xu, Yushu Yu, Shouxing Tang, Wei Fan, Siqi Wang, and Tao Xu. 2025. "NMPC-Based Trajectory Optimization and Hierarchical Control of a Ducted Fan Flying Robot with a Robotic Arm" Drones 9, no. 10: 680. https://doi.org/10.3390/drones9100680
APA StyleZhang, Y., Xu, B., Yu, Y., Tang, S., Fan, W., Wang, S., & Xu, T. (2025). NMPC-Based Trajectory Optimization and Hierarchical Control of a Ducted Fan Flying Robot with a Robotic Arm. Drones, 9(10), 680. https://doi.org/10.3390/drones9100680

