Sign in to use this feature.

Years

Between: -

Subjects

remove_circle_outline
remove_circle_outline
remove_circle_outline
remove_circle_outline
remove_circle_outline
remove_circle_outline
remove_circle_outline
remove_circle_outline
remove_circle_outline

Journals

remove_circle_outline
remove_circle_outline
remove_circle_outline
remove_circle_outline
remove_circle_outline
remove_circle_outline
remove_circle_outline
remove_circle_outline
remove_circle_outline
remove_circle_outline
remove_circle_outline
remove_circle_outline
remove_circle_outline
remove_circle_outline
remove_circle_outline
remove_circle_outline
remove_circle_outline
remove_circle_outline
remove_circle_outline
remove_circle_outline
remove_circle_outline
remove_circle_outline
remove_circle_outline

Article Types

Countries / Regions

remove_circle_outline
remove_circle_outline
remove_circle_outline
remove_circle_outline
remove_circle_outline
remove_circle_outline

Search Results (3,230)

Search Parameters:
Keywords = mode-shapes

Order results
Result details
Results per page
Select all
Export citation of selected articles as:
16 pages, 4633 KB  
Article
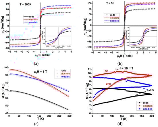
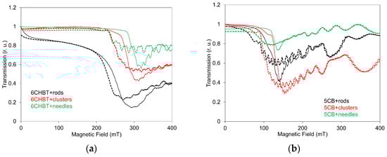
Effect of Mn-Doped ZnFe2O4 Ferrites on Structural Changes and Magneto-Optical Behavior in Nematic Liquid Crystals
by Peter Bury, Marek Veveričík, František Černobila, Hima Patel, Ramesh V. Upadhyay, Kinnari Parekh, Veronika Lacková, Michal Rajnak, Ivo Šafařík, Koryun Oganesyan, Milan Timko and Peter Kopčanský
Materials 2025, 18(24), 5660; https://doi.org/10.3390/ma18245660 - 17 Dec 2025
Abstract
The effect of Mn-doped zinc ferrite nanoparticles at a low volume concentration (1 × 10−4) on structural changes in the nematic liquid crystals 6CHBT and 5CB, induced by weak magnetic fields, was investigated using surface acoustic wave (SAW) and light transmission [...] Read more.
The effect of Mn-doped zinc ferrite nanoparticles at a low volume concentration (1 × 10−4) on structural changes in the nematic liquid crystals 6CHBT and 5CB, induced by weak magnetic fields, was investigated using surface acoustic wave (SAW) and light transmission (LT) techniques. Structural changes caused by the applied magnetic field, in both increasing and decreasing modes, as well as after pulsed changes, were examined by measuring the responses of SAW attenuation and LT using a linearly polarized laser beam. The influence of nanoparticle shape (rods, needles, and clusters) and temperature on the structural changes was investigated. A shift in the threshold field and the transition temperature was observed. In addition, the magnetic properties of the individual samples in powder form were examined using M–H curves, M–T curves, and XRD patterns. The results obtained from all measurements are compared, and the effectiveness of each technique, considering the influence of nanoparticle shape and suspension stability, was evaluated. Full article
(This article belongs to the Topic Advanced Composite Materials)
Show Figures

Figure 1

22 pages, 509 KB  
Article
Mathematical Properties of the Inverted Topp–Leone Family of Distributions
by Daya K. Nagar, Edwin Zarrazola and Santiago Echeverri-Valencia
Mathematics 2025, 13(24), 4006; https://doi.org/10.3390/math13244006 - 16 Dec 2025
Abstract
This article defines an inverted Topp–Leone distribution. Several mathematical properties and maximum likelihood estimation of parameters of this distribution are considered. The shape of the distribution for different sets of parameters is discussed. Several mathematical properties such as the cumulative distribution function, mode, [...] Read more.
This article defines an inverted Topp–Leone distribution. Several mathematical properties and maximum likelihood estimation of parameters of this distribution are considered. The shape of the distribution for different sets of parameters is discussed. Several mathematical properties such as the cumulative distribution function, mode, moment-generating function, survival function, hazard rate function, stress-strength reliability R, moments, Rényi entropy, Shannon entropy, Fisher information matrix, and partial ordering associated with this distribution, have been derived. Distributions of the sum and quotient of two independent inverted Topp–Leone variables have also been obtained. Full article
Show Figures

Figure 1

25 pages, 18658 KB  
Article
Staircase-Enhanced Magneto-Electric Dipole Antenna for Wideband CP 5G Applications with High-Gain Arrays
by Hend Malhat, Amer Zakaria and Nasser Qaddoumi
Sensors 2025, 25(24), 7620; https://doi.org/10.3390/s25247620 - 16 Dec 2025
Abstract
This paper presents a compact magneto-electric dipole (MED) antenna optimized for wideband circularly polarized (CP) radiation for 5G applications. It incorporates a staircase-shaped electric dipole with trimmed corners to excite orthogonal modes for enhanced CP performance. The proposed single-layer MED antenna achieves a [...] Read more.
This paper presents a compact magneto-electric dipole (MED) antenna optimized for wideband circularly polarized (CP) radiation for 5G applications. It incorporates a staircase-shaped electric dipole with trimmed corners to excite orthogonal modes for enhanced CP performance. The proposed single-layer MED antenna achieves a 20.6% wide-impedance bandwidth (|S11| <10 dB, 22.9728.12 GHz) and 21.9% CP bandwidth (AR<3 dB, 22.2327.83 GHz) with a compact footprint of 15×15×1.6mm3. There is a symmetrical radiation pattern with a co-to-cross polarization ratio >23 dB and a stable gain of 8.8 dBi. An equivalent circuit model is optimized via particle swarm optimization (PSO). The optimized MED antenna is utilized to investigate various CP-MIMO configurations and wideband sequential arrays. Next, a 1×2 CP-MIMO antenna system is developed, employing polarization diversity in parallel and mirror configurations. Isolation is improved by etching a ground slot between the MED elements, yielding isolation levels of below 20 dB and 23 dB, respectively. Further, a 2×2 CP-MIMO configuration is designed and evaluated. This arrangement demonstrates an envelope correlation coefficient (ECC) of 1×103 and a diversity gain of approximately 10 dB across the operating bandwidth. Finally, a sequential array is designed that applies a 90 sequential rotation and phase excitation to MED elements for high-gain CP 5G communications. Here, various array sizes are evaluated, with an 8×8 MED array providing CP radiation (AR1 dB) from 20 to 30 GHz with enhanced impedance and axial ratio bandwidths and stable gain with a peak value of 27.47 dBi. Full article
(This article belongs to the Section Communications)
Show Figures

Graphical abstract

17 pages, 8805 KB  
Article
Effect of Electron Beam Irradiation on Friction and Wear Properties of Carbon Fiber-Reinforced PEEK at Different Injection Temperatures
by Yi Chen, Jiahong Li, Da Bian and Yongwu Zhao
Lubricants 2025, 13(12), 546; https://doi.org/10.3390/lubricants13120546 - 16 Dec 2025
Abstract
Polyetheretherketone (PEEK) is a high-performance engineering plastic widely used in aerospace, automotive, and other industries due to its heat resistance and mechanical strength. However, its high friction coefficient and low thermal conductivity limit its use in heavy-load environments. Existing studies have extensively explored [...] Read more.
Polyetheretherketone (PEEK) is a high-performance engineering plastic widely used in aerospace, automotive, and other industries due to its heat resistance and mechanical strength. However, its high friction coefficient and low thermal conductivity limit its use in heavy-load environments. Existing studies have extensively explored the individual effects of thermal processing or irradiation on PEEK. However, the synergistic mechanism between the initial microstructure formed by mold temperature and subsequent irradiation modification remains unclear. This paper investigates the coupled effects of injection molding temperature and electron beam irradiation on the tribology of carbon fiber-reinforced PEEK composites, with the aim of identifying process conditions that improve friction and wear performance under high load by controlling the crystal morphology and cross-linking network. Carbon fiber (CF) particles were mixed with PEEK particles at a 1:2 mass ratio, and specimens were prepared at injection molding temperatures of 150 °C, 175 °C, and 200 °C. Some specimens were irradiated with an electron beam dose of 200 kGy. The friction coefficient, wear rate, surface shape, and crystallinity of the material were obtained using friction and wear tests, white-light topography, SEM, and XRD. The results show that the injection molding temperature of the material influences the friction performance. Optimal performance is obtained at 175 °C with a friction coefficient of 0.12 and wear rate of 9.722 × 10−6 mm3/(N·m). After irradiation modification, the friction coefficient decreases to 0.10. This improvement is due to the moderate melt fluidity, adequate fiber infiltration, and dense crystallization at this temperature. In addition, cross-linking of chains occurs, and surface transfer films are created at this temperature. However, irradiation leads to a slight increase in wear rate to 1.013 × 10−5 mm3/(N·m), suggesting that chain segment fracture and embrittlement effects are enhanced at this dose. At 150 °C, there is weak interfacial bonding and microcrack development. At 200 °C, excessive thermal motion reduces crystallinity and adds residual stress, increasing wear sensitivity. Overall, while irradiation reduces the friction coefficient, the wear rate is affected by the initial microstructure at molding. At non-optimal temperatures, embrittlement tends to dominate the wear mode. This study uncovers the synergistic and competitive dynamics between the injection molding process and irradiation modification, offering an operational framework and a mechanistic foundation for applying CF/PEEK under heavy-load conditions. The present approach can be extended in future work to other reinforcement systems or variable-dose irradiation schemes to further optimize overall tribological performance. Full article
Show Figures

Figure 1

41 pages, 3959 KB  
Article
Turkish Religious Music in the Funeral Ceremonies of Sufi Orders
by Mustafa DEMİRCİ
Religions 2025, 16(12), 1578; https://doi.org/10.3390/rel16121578 - 15 Dec 2025
Abstract
In the history of Turkish-Islamic culture, every stage of human life—from birth to death—has been ritualized with profound symbolic and spiritual meanings. Turkish religious music has functioned as a fundamental element in these transitional phases, possessing both aesthetic and devotional dimensions. In individual [...] Read more.
In the history of Turkish-Islamic culture, every stage of human life—from birth to death—has been ritualized with profound symbolic and spiritual meanings. Turkish religious music has functioned as a fundamental element in these transitional phases, possessing both aesthetic and devotional dimensions. In individual rites of passage such as naming, circumcision, beginning school, and marriage, as well as in collective rituals such as bidding farewell to and welcoming Hajj pilgrims or observing religious days and nights, Turkish religious music has held a significant place. Confronting death—an inevitable and sorrowful reality of life—Turkish society has employed religious music as a consolatory and spiritually guiding medium, transforming it into a ritual mode of expression intended to soften the disruptive impact of death and to give meaning to the mourning process. Sufi order funerals represent one of the manifestations of this aesthetic depth. In this context, (Janāza) funeral ceremonies are not merely occasions of farewell but also rites of metaphysical acceptance and surrender. Since death is considered not an end but “wuṣlat,” that is, reunion with the Absolute Truth (al-Ḥaqq), within Sufi thought, the funeral rites of Sufi orders have been shaped accordingly. In Mawlawī, Bektāshī, Jarrahī, and Rifāʿī orders, not only the canonical funeral prayer (ṣalāt al-janāza) but also various forms of religious music are performed, imparting both aesthetic and spiritual depth to the ceremony. This study aims to examine the religious musical practices present in the funeral ceremonies of these four major Sufi orders, all of which have historically maintained a close relationship with music. A qualitative ritual-musicological approach has been adopted; semi-structured interviews were conducted with the Shaykh of the Rifāʿī order, the Zakirbaşı of the Jarrahī branch of the Khalwatī order, and a Dede of the Bektāshī order. The data sources of the study consist of interview materials, archival-based works, literature on the history of Sufism, sources on Turkish religious music, and digital recordings of Sufi orders’ funeral rituals. The limited number of interviews were analyzed through thematic analysis, while textual analysis and contextual interpretation were employed to examine in detail “the musical forms, thematic structures, performance contexts, and symbolic functions” present in these rituals. Preliminary findings indicate that the music unique to Sufi order funerals fulfills multiple functions, including “spiritual consolation, strengthening social solidarity, doctrinal expression of belief in the afterlife, and transforming mourning into a sacred experience.” The funeral traditions of the four orders examined possess distinctive musical structures, and these structures constitute an identifiable aesthetic form within the Ottoman and Turkish religious-musical tradition. It has also been determined that the repertory performed in Sufi orders’ funeral ceremonies is largely rooted in the tekke (Sufi lodge) musical tradition and that various forms of Turkish religious music are prominently represented in these rituals. This study has brought to light the religious musical repertory performed within the funeral rituals of Sufi orders—an area that has remained insufficiently explored to date—and has demonstrated that this repertory exerts positive psychosocial effects on both Sufi adherents and other participants in their approach to death. In this respect, the study sheds light on the repertory of Turkish religious music and offers an original contribution to the scholarly literature. Full article
(This article belongs to the Special Issue Sacred Harmony: Music and Spiritual Transformation)
34 pages, 61840 KB  
Article
Fabrication of Dry Connection Through Stamping and Milling of Green-State Concrete
by Abtin Baghdadi, Kian Khanipour Raad, Robin Dörrie and Harald Kloft
Buildings 2025, 15(24), 4521; https://doi.org/10.3390/buildings15244521 - 14 Dec 2025
Viewed by 138
Abstract
This study addresses the fabrication challenges associated with producing diverse geometries for concrete dry connections, particularly regarding cost, time, and geometric limitations. The research investigates methods for fabricating precise, rebar-free dry connections in concrete, focusing on stamping and green-state computer numerical control (CNC) [...] Read more.
This study addresses the fabrication challenges associated with producing diverse geometries for concrete dry connections, particularly regarding cost, time, and geometric limitations. The research investigates methods for fabricating precise, rebar-free dry connections in concrete, focusing on stamping and green-state computer numerical control (CNC) milling. These methods are evaluated using metrics such as dimensional accuracy, tool abrasion, and energy consumption. In the stamping process, a design of experiments (DOE) approach varied water content, concrete age, stamping load, and operational factors (vibration and formwork) across cone, truncated cone, truncated pyramid, and pyramid geometries. An optimal age range of 90 to 105 min, within a broader operational window of 90 to 120 min, was identified. Geometry-specific exceptions, such as approximately 68 min for the truncated cone and 130 min for the pyramid, were attributed to interactions between shape and age rather than deviations from general guidance. Within the tested parameters, water fraction primarily influenced lateral geometric error (diameter or width), while age most significantly affected vertical error. For green-state milling, both extrusion- and shotcrete-printed stock were machined at 90 min, 1 day, and 1 week. From 90 min to 1 week, the total milling energy increased on average by about 35%, and at one week end-face (head) passes caused substantially higher tool wear, with mean circumference losses of about 3.2 mm for head engagement and about 1.0 mm for side passes. Tool abrasion and energy demand increased with curing time, and extrusion required marginally more energy at equivalent ages. Milling was conducted in two engagement modes: side (flank) and end-face (head), which were evaluated separately. End-face engagement resulted in substantially greater tool abrasion than side passes, providing a clear explanation for tolerance drift in final joint geometries. Additionally, soil-based forming, which involves imprinting the stamp into soft, oil-treated fine sand to create a reversible mold, produced high-fidelity replicas with clean release for intricate patterns. This approach offers a practical alternative where friction and demolding constraints limit the effectiveness of direct stamping. Full article
(This article belongs to the Section Building Structures)
Show Figures

Figure 1

34 pages, 17210 KB  
Article
Experimental Study on Seismic Behavior of Irregular-Shaped Steel-Beam-to-CFST Column Joints with Inclined Internal Diaphragms
by Peng Li, Jialiang Jin, Chen Shi, Wei Wang and Weifeng Jiao
Buildings 2025, 15(24), 4514; https://doi.org/10.3390/buildings15244514 - 13 Dec 2025
Viewed by 101
Abstract
With the increasing functional and geometric complexity of modern steel buildings, irregular-shaped beam-to-column joints are becoming common in engineering practice. However, their seismic behavior remains insufficiently understood, particularly for configurations with geometric asymmetry and complex stress transfer mechanisms. This study experimentally investigates the [...] Read more.
With the increasing functional and geometric complexity of modern steel buildings, irregular-shaped beam-to-column joints are becoming common in engineering practice. However, their seismic behavior remains insufficiently understood, particularly for configurations with geometric asymmetry and complex stress transfer mechanisms. This study experimentally investigates the seismic performance of irregular steel-beam-to-concrete-filled steel tube (CFST) column joints incorporating inclined internal diaphragms (IIDs), taking unequal-depth beam (UDB) and staggered beam (SB) joints as representative cases. Two full-scale joint specimens were designed and tested under cyclic loading to evaluate their failure modes, load-bearing capacity, stiffness/strength degradation, energy dissipation capacity, strain distribution, and panel zone shear behavior. Both joints exhibited satisfactory strength and initial stiffness. Although diaphragm fracture occurred at approximately 3% drift, the joints retained 45–60% of their peak load capacity, based on the average strength of several loading cycles at the same drift level after diaphragm failure, and maintained stable hysteresis with average equivalent damping ratios above 0.20. Final failure was governed by successive diaphragm fracture followed by the tearing of the column wall, indicating that the adopted diaphragm thickness (equal to the beam flange thickness) was insufficient and that welding quality significantly affected joint performance. Refined finite element (FE) models were developed and validated against the test responses, reasonably capturing global strength, initial stiffness, and the stress concentration patterns prior to diaphragm fracture. The findings of this study provide a useful reference for the seismic design and further development of internal-diaphragm irregular steel-beam-to-CFST column joints. Full article
Show Figures

Figure 1

32 pages, 8121 KB  
Article
Numerical Investigation of the Wind Field Disturbance Around Small Rotorcraft Uncrewed Aerial Vehicles
by Garrison C. Page and Sean C. C. Bailey
Drones 2025, 9(12), 857; https://doi.org/10.3390/drones9120857 - 13 Dec 2025
Viewed by 93
Abstract
Accurate in situ wind measurements from rotorcraft uncrewed aerial vehicles (UAVs) can be impacted by the disturbed flow generated by the rotors. However, the extent of this disturbance depends on flight mode, ambient wind, and vehicle configuration, making optimal sensor placement or devising [...] Read more.
Accurate in situ wind measurements from rotorcraft uncrewed aerial vehicles (UAVs) can be impacted by the disturbed flow generated by the rotors. However, the extent of this disturbance depends on flight mode, ambient wind, and vehicle configuration, making optimal sensor placement or devising appropriate corrections nontrivial. This study uses steady-state Reynolds-averaged Navier–Stokes (RANS) simulations with an actuator disk model to characterize the flow field around representative quadcopter, hexacopter, and octocopter UAVs under conditions representing hover, ascent, and descent, for different thrust, and with and without crosswind of different magnitude. The results show that the size and shape of the disturbance field vary strongly with flight mode, with descent producing the largest region of disturbed air around the vehicle and ascent the smallest. Crosswinds advect and distort the disturbance region and reduce its vertical extent by sweeping the rotor wash downstream. The disturbance field geometry was found to scale primarily with overall aircraft size and was largely independent of rotor configuration. The effect of differing the rotor thrust was found to approximately scale using a length scale based on the volume flow rate of air through the the rotor plane. Based on these results, to maintain measurement errors below 0.5 m/s, recommended anemometer locations are at least 2.5 aircraft radii from the UAV central axis for hovering conditions when the weight of the aircraft relative to the area swept by the rotors is near 10 kg per square meter. This recommended distance is expected to scale linearly with this ratio, and will reduce under crosswind conditions or when measurements are made during ascent. Full article
(This article belongs to the Section Drone Design and Development)
Show Figures

Graphical abstract

25 pages, 1878 KB  
Article
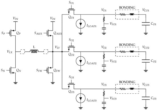
Slope Compensation and Bifurcation in a DC-DC, Single-Input, Multiple-Output, CMOS Integrated Converter Under Current-Mode and Comparator-Based Hybrid Control
by Mathieu Ginet, Eric Feltrin, Nicolas Jeanniot, Bruno Allard and Xuefang Lin-Shi
J. Low Power Electron. Appl. 2025, 15(4), 69; https://doi.org/10.3390/jlpea15040069 - 12 Dec 2025
Viewed by 163
Abstract
Single-Input, Multi-Output (SIMO) converters present significant challenges when operated under current-mode control, due to their strongly non-linear dynamics and susceptibility to bifurcation phenomena. To mitigate the effects on the converter’s steady-state, a double slope compensation solution is proposed. The compensation parameters play a [...] Read more.
Single-Input, Multi-Output (SIMO) converters present significant challenges when operated under current-mode control, due to their strongly non-linear dynamics and susceptibility to bifurcation phenomena. To mitigate the effects on the converter’s steady-state, a double slope compensation solution is proposed. The compensation parameters play a critical role in shaping the system dynamics and rejecting the susceptibility to bifurcation. This paper proposes a detailed analysis methodology to investigate the design parameter space regarding the slope compensations with respect to bifurcation phenomena. The approach is validated on a CMOS integrated converter, where theoretical predictions are compared to the simulation results of a full transistor-level model of the circuit. Full article
(This article belongs to the Topic Advanced Integrated Circuit Design and Application)
Show Figures

Figure 1

19 pages, 3003 KB  
Article
The Effects of Subalpine Forest Succession on Soil Fungal Community Composition and Diversity Vary with Soil Depth and Trophic Mode on the Eastern Qinghai–Tibetan Plateau
by Miao Chen, Jian Chen, Xiaoqiang Tang, Shun Liu, Hongshuang Xing, Xuhua Li, Lei Cai, Zhengjingru Xu, Wenhao Miao, Xia Hu and Qiuhong Feng
J. Fungi 2025, 11(12), 881; https://doi.org/10.3390/jof11120881 - 12 Dec 2025
Viewed by 204
Abstract
Soil fungi play an indispensable role in maintaining soil ecosystem functions. However, how forest succession and soil depth interactively shape fungal community composition and diversity remains poorly understood. To address this, we investigated fungal communities across four successional stages and two soil depths [...] Read more.
Soil fungi play an indispensable role in maintaining soil ecosystem functions. However, how forest succession and soil depth interactively shape fungal community composition and diversity remains poorly understood. To address this, we investigated fungal communities across four successional stages and two soil depths (0–10 cm and 40–60 cm) in a subalpine forest on the eastern Qinghai–Tibetan Plateau using Illumina high-throughput sequencing. Results showed that the soil fungal community composition of different trophic modes varied significantly with both succession and soil depth. The α-diversity of symbiotic and saprotrophic fungi responded to succession in a depth-dependent manner, while β-diversity across all trophic modes was primarily driven by species turnover. Soil properties and vegetation factors collectively explained 69.85–82.91% of the variation in soil fungal community composition, with their effects being dependent on both soil depth and trophic mode. Specifically, in topsoil, the β-diversity of symbiotic fungi was influenced only by soil property heterogeneity, whereas that of saprotrophic and pathogenic fungi was shaped by both vegetation and soil property heterogeneity. In subsoil, symbiotic fungal β-diversity was co-regulated by vegetation and soil properties heterogeneity, while saprotrophic fungal β-diversity was driven solely by soil properties heterogeneity. This study demonstrates that soil depth modulates the successional dynamics of soil fungal communities and highlights the trophic-dependent drivers of fungal assembly in forest soils. Full article
(This article belongs to the Section Environmental and Ecological Interactions of Fungi)
Show Figures

Figure 1

17 pages, 1349 KB  
Article
Status of Pulmonary Metastasectomy After PuLMiCC Trial: A Survey Amongst Oncologists, Gynecologists, Urologists and Dermatologists on Medical Needs for Local Therapy
by Daniel Baum, Markus Grafe, Rahel Decker, Lysann Rostock, Andreas Friedrich and Till Plönes
Cancers 2025, 17(24), 3959; https://doi.org/10.3390/cancers17243959 - 11 Dec 2025
Viewed by 150
Abstract
Background: The role of pulmonary metastasectomy has been increasingly questioned in the surgical community after the PulMiCC trial challenged its benefit in colorectal cancer. However, the view on pulmonary metastasectomy among people in non-surgical disciplines remains unclear. This study explored interdisciplinary attitudes toward [...] Read more.
Background: The role of pulmonary metastasectomy has been increasingly questioned in the surgical community after the PulMiCC trial challenged its benefit in colorectal cancer. However, the view on pulmonary metastasectomy among people in non-surgical disciplines remains unclear. This study explored interdisciplinary attitudes toward pulmonary metastasectomy and identified the clinical expectations shaping its future role. Methods: An anonymous online survey of active board-certified physicians in oncology, urology, gynecology and dermatology was conducted (December 2024–June 2025). Twenty items covered attitudes to local ablative therapy, referral criteria, preferred modalities and future relevance. Group comparisons used Pearson’s χ2; ordinal ratings were compared by one-way ANOVA; associations were explored with Spearman’s ρ. Results: Of 2884 contacted physicians, 165 participated (≈5.7%), and 106 completed the questionnaire. All 106 (100%) endorsed local ablative therapy as meaningful; 92/106 (86.8%) favored routine integration into multimodal care. Surgical metastasectomy was selected by 49/106 (46.2%), SBRT was selected by 27/106 (25.5%) and image-guided ablation was selected by 7/106 (6.6%); preference for surgery differed by specialty (χ2(4) = 15.31, p = 0.004), while institutional availability (in-house thoracic surgery or radiation oncology) showed no association with selecting surgery or SBRT. Key referral determinants were number of lesions (105/106; 99.1%), anatomical location (86/106; 81.1%; p < 0.02 across specialties), and lesion size (81/106; 76.4%; p < 0.05); other factors showed no consistent inter-specialty differences. The perceived usefulness of metastasectomy was high (mode 8/10) and showed a weak, non-significant correlation with referral experience (ρ = 0.172, p = 0.077). Looking ahead, 46/106 (43.4%) anticipated a declining role of local ablative therapy with novel systemic therapies; interest in biomarker analysis from metastatic tissue compared to primary tumor tissue was very high 97/106 (91.5%). Conclusions: Local ablative therapy, particularly pulmonary metastasectomy, continues to be viewed as an integral and trusted element of metastatic disease management across specialties. Despite limited prospective evidence, clinicians maintain strong confidence in its clinical value and foresee its evolution toward biologically and patient-tailored indications. However, the interpretation of these findings is limited by a low response rate and potential selection bias toward European, academically affiliated respondents. To our knowledge, this is the first study to systematically capture perceptions of pulmonary metastasectomy among non-surgical oncology-related specialists. Full article
(This article belongs to the Special Issue Cancer Metastasis in 2025–2026)
Show Figures

Figure 1

34 pages, 9278 KB  
Article
Experimental and Machine Learning-Based Investigation of Coarse Aggregate Characteristics Impact on Mechanical Properties of Concrete
by Muhammad Sufian, Xin Wang, Mohamed F. M. Fahmy, Zhishen Wu, Muhammad Rahman, Mohamed R. Abdellatif and Amr M. A. Moussa
Buildings 2025, 15(24), 4464; https://doi.org/10.3390/buildings15244464 - 10 Dec 2025
Viewed by 177
Abstract
This research investigates the impact of coarse aggregate (CA) type, shape, and specimen size on the compressive behavior of concrete, aiming to better understand how these factors affect its mechanical performance. Eight concrete mixtures were designed according to four different concrete mix design [...] Read more.
This research investigates the impact of coarse aggregate (CA) type, shape, and specimen size on the compressive behavior of concrete, aiming to better understand how these factors affect its mechanical performance. Eight concrete mixtures were designed according to four different concrete mix design (CMD) codes using two types of coarse aggregates: crushed basalt and naturally rounded, both with a 15 mm size. A total of 96 concrete samples were tested to evaluate their failure mode, compressive strength (CS), energy accumulation (GA), and post-peak fracture energy (GF). The results show that concrete made with basalt CA offered significantly higher CS (by 7% to 40%), GA (by 34% to 57%), and GF (10% to 48%) compared to concrete made with natural CA across different CMD codes and specimen dimensions. Larger cylinders demonstrated higher CS than smaller cylinders, ranging from 7% to 19%. The incorporation of basalt CA enhanced the toughness and ductility of concrete, leading to superior post-peak behavior. In addition to the experimental program, four machine learning algorithms, i.e., Extreme Gradient Boosting (XGB), Gradient-Enhanced Regression Tree (GBR), Random Forest (RF), and Support Vector Regression (SVR), were employed to forecast the concrete’s CS. RF (R2 = 0.93) and gradient boosting models (R2 = 0.92) showed remarkable accuracy, whereas SVR underperformed. The feature importance and SHAP analysis identified cement content and CA type as the primary determinants of CS, while the water–cement ratio served as a crucial regulator. Moreover, a graphical user interface tool was developed to practically allow engineers to rapidly estimate concrete CS, bridging the gap between experimental validation and practical use. Full article
(This article belongs to the Section Building Structures)
Show Figures

Figure 1

21 pages, 3854 KB  
Article
Model Updating of an Offshore Wind Turbine Support Structure Based on Modal Identification and Bayesian Inference
by Chi Yu, Jiayi Deng, Chao Chen, Mumin Rao, Congtao Luo and Xugang Hua
J. Mar. Sci. Eng. 2025, 13(12), 2354; https://doi.org/10.3390/jmse13122354 - 10 Dec 2025
Viewed by 130
Abstract
Offshore wind turbine support structures are in harsh and unsteady marine environments, and their dynamic characteristics could change gradually after long-term service. To better understand the status and improve remaining life estimation, it is essential to conduct in situ measurement and update the [...] Read more.
Offshore wind turbine support structures are in harsh and unsteady marine environments, and their dynamic characteristics could change gradually after long-term service. To better understand the status and improve remaining life estimation, it is essential to conduct in situ measurement and update the numerical models of these support structures. In this paper, the modal properties of a 5.5 MW offshore wind turbine were first identified by a widely used operational modal analysis technique, frequency-domain decomposition, given the acceleration data obtained from eight sensors located at four different heights on the tower. Then, a finite element model was created in MATLAB R2020a and a set of model parameters including scour depth, foundation stiffness, hydrodynamic added mass and damping coefficients was updated in a Bayesian inference frame. It is found that the posterior distributions of most parameters significantly differ from their prior distributions, except for the hydrodynamic added mass coefficient. The predicted natural frequencies and damping ratios with the updated parameters are close to those values identified with errors less than 2%. But relatively large differences are found when comparing some of the predicted and identified mode shape coefficients. Specifically, it is found that different combinations of the scour depth and foundation stiffness coefficient can reach very similar modal property predictions, meaning that model updating results are not unique. This research demonstrates that the Bayesian inference framework is effective in constructing a more accurate model, even when confronting the inherent challenge of non-unique parameter identifiability, as encountered with scour depth and foundation stiffness. Full article
Show Figures

Figure 1

21 pages, 5612 KB  
Article
Influence of the Punch Shape on Formability Measurement During Dry Fabric Preforming
by Rym Azzouz and Samir Allaoui
Materials 2025, 18(24), 5535; https://doi.org/10.3390/ma18245535 - 9 Dec 2025
Viewed by 185
Abstract
The formability of reinforcement is essential for controlling shaping processes and assessing their suitability for industrial applications. The complexity of the geometries dictates the deformation modes and thus the reinforcements’ behaviours. This study is an experimental campaign to investigate the shaping of five [...] Read more.
The formability of reinforcement is essential for controlling shaping processes and assessing their suitability for industrial applications. The complexity of the geometries dictates the deformation modes and thus the reinforcements’ behaviours. This study is an experimental campaign to investigate the shaping of five different geometries with three reinforcements that have varying meso-structures: plain weave, interlock and Non-Crimp Fabric. The comparison concentrates on shear behaviour and defects induced. The measured parameters are chosen in relation to their potential impact on the composite’s properties at both local and macro levels. The findings reveal that geometry significantly influences the quality of the preform. Each geometry shows unique behaviours due to a different, but limited, range of mechanisms. This highlights the importance of identifying and analysing the interesting parts of these geometries and their role in triggering the different behaviours. Full article
(This article belongs to the Section Advanced Composites)
Show Figures

Figure 1

18 pages, 4234 KB  
Article
A Four-Chamber Multimodal Soft Actuator and Its Application
by Jiabin Yang, Helei Zhu, Gang Chen, Jianbo Cao, Jiwei Yuan and Kaiwei Wu
Actuators 2025, 14(12), 602; https://doi.org/10.3390/act14120602 - 9 Dec 2025
Viewed by 127
Abstract
Soft robotics represents a rapidly advancing and significant subfield within modern robotics. However, existing soft actuators often face challenges including unwanted deformation modes, limited functional diversity, and a lack of versatility. This paper presents a four-chamber multimodal soft actuator with a centrally symmetric [...] Read more.
Soft robotics represents a rapidly advancing and significant subfield within modern robotics. However, existing soft actuators often face challenges including unwanted deformation modes, limited functional diversity, and a lack of versatility. This paper presents a four-chamber multimodal soft actuator with a centrally symmetric layout and independent pneumatic control. While building on existing multi-chamber concepts, the design incorporates a cruciform constraint layer and inter-chamber gaps to improve directional bending and reduce passive chamber deformation. An empirical model based on the vector superposition of single- and dual-chamber inflations is developed to describe the bending behavior. Experimental results show that the actuator can achieve omnidirectional bending with errors below 5% compared to model predictions. To demonstrate versatility, the actuator is implemented in two distinct applications: a three-finger soft gripper that can grasp objects of various shapes and perform in-hand twisting maneuvers, and a steerable crawling robot that mimics inchworm locomotion. These results highlight the actuator’s potential as a reusable and adaptable driving unit for diverse soft robotic tasks. Full article
(This article belongs to the Section Actuators for Robotics)
Show Figures

Figure 1

Back to TopTop