Next Article in Journal
Multi-Factor Coupled Assessment of Seismic Disaster Risk for Buildings: A Case Study of Ankang City
Next Article in Special Issue
Fatigue Assessment of Weathering Steel Welded Joints Based on Fracture Mechanics and Machine Learning
Previous Article in Journal
Characterization of the Biodeterioration Caused by the Fungus Serpula lacrymans in Lignocellulosic Materials of Building Envelopes
Previous Article in Special Issue
A Deep Learning-Based Method for Measuring Apparent Disease Areas of Sling Sheaths
 
 
Font Type:
Arial Georgia Verdana
Font Size:
Aa Aa Aa
Line Spacing:
Column Width:
Background:
Article

Experimental Study on Seismic Behavior of Irregular-Shaped Steel-Beam-to-CFST Column Joints with Inclined Internal Diaphragms

1
China Construction First Group Corporation Limited, Beijing 100071, China
2
State Key Laboratory of Disaster Reduction in Civil Engineering, Tongji University, Shanghai 200092, China
3
Pinghu City Construction Investment Corporation Limited, Jiaxing 314299, China
*
Author to whom correspondence should be addressed.
Buildings 2025, 15(24), 4514; https://doi.org/10.3390/buildings15244514
Submission received: 16 November 2025 / Revised: 7 December 2025 / Accepted: 12 December 2025 / Published: 13 December 2025

Abstract

With the increasing functional and geometric complexity of modern steel buildings, irregular-shaped beam-to-column joints are becoming common in engineering practice. However, their seismic behavior remains insufficiently understood, particularly for configurations with geometric asymmetry and complex stress transfer mechanisms. This study experimentally investigates the seismic performance of irregular steel-beam-to-concrete-filled steel tube (CFST) column joints incorporating inclined internal diaphragms (IIDs), taking unequal-depth beam (UDB) and staggered beam (SB) joints as representative cases. Two full-scale joint specimens were designed and tested under cyclic loading to evaluate their failure modes, load-bearing capacity, stiffness/strength degradation, energy dissipation capacity, strain distribution, and panel zone shear behavior. Both joints exhibited satisfactory strength and initial stiffness. Although diaphragm fracture occurred at approximately 3% drift, the joints retained 45–60% of their peak load capacity, based on the average strength of several loading cycles at the same drift level after diaphragm failure, and maintained stable hysteresis with average equivalent damping ratios above 0.20. Final failure was governed by successive diaphragm fracture followed by the tearing of the column wall, indicating that the adopted diaphragm thickness (equal to the beam flange thickness) was insufficient and that welding quality significantly affected joint performance. Refined finite element (FE) models were developed and validated against the test responses, reasonably capturing global strength, initial stiffness, and the stress concentration patterns prior to diaphragm fracture. The findings of this study provide a useful reference for the seismic design and further development of internal-diaphragm irregular steel-beam-to-CFST column joints.

1. Introduction

Concrete-filled steel tubular (CFST) columns effectively combine the advantages of both materials—the high strength-to-weight ratio and ductility of steel and the excellent compressive performance of concrete. This composite system exhibits superior load-bearing capacity, seismic resistance, and fire performance. Consequently, CFST column-steel beam composite frame systems have been widely applied in high-rise buildings and long-span structures, becoming a mature and efficient structural form [1,2]. Among various types of beam-to-column joints, those with internal diaphragms (IDs) are particularly prevalent in China and other Asian countries. Such joints not only ensure efficient force transfer but also provide a smooth exterior surface, facilitating architectural integration and improving overall constructability [3,4,5,6]. ID can effectively distribute the concentrated forces transmitted from beam flanges to both the steel tube wall and the core concrete, thereby achieving composite action between the two materials. However, the stress state within ID joints is inherently complex, often accompanied by significant three-dimensional stress concentrations in the panel zone. In particular, when the column wall is relatively thin, the beam flange is thick, or the structural configuration exhibits geometric irregularity, localized cracks, tearing, or weld failures are more likely to occur, which may contribute to more rapid deterioration of joint performance under seismic loading [7,8].
Previous studies have demonstrated that the beam-to-column flange thickness ratio (ηbc = tbf/tcf), where tcf denotes the wall thickness of the square tube column, is a critical parameter influencing the seismic performance of ID joints. Due to the confining effect of the infilled concrete, CFST columns can maintain sufficient stiffness even with thin steel walls; meanwhile, thick-flanged steel beams are often used in high-rise and long-span buildings, leading to ηbc values commonly exceeding 1.0. Zhang et al. [7] and Shi et al. [8] conducted cyclic loading tests on thick-flanged steel-beam–CFST column joints with IDs and reported that increasing ηbc from 1.0 to 1.33 did not compromise the global strength but significantly intensified local stress concentration, which became a key factor controlling joint performance. Similarly, studies by Kawano et al. [9], Sasaki et al. [10], and Fukumoto et al. [11,12] confirmed that insufficient local connection strength could lead to pronounced out-of-plane deformation of column flanges, contributing notably to story drift. Yu et al. [13] and Li et al. [14] conducted tensile and cyclic tests on CFST column-composite beam joints, demonstrating that the diaphragm thickness and casting hole diameter markedly affected local connection capacity. When ηbc was excessively large, cracks and punching failures were observed on the column face. Collectively, these findings indicate that when ηbc > 1.0 or when the diaphragm opening is oversized, the local load-bearing capacity of the connection decreases significantly, and fracture of the diaphragm or tearing of the column face becomes more likely under cyclic loading. In addition, recent studies have examined cyclic deformation and failure mechanisms in steel frame systems, offering broader insight into stress transfer and joint behavior under seismic actions [15,16].
With the increasing architectural diversity in building functions, story heights, and spatial layouts, irregular steel-beam-to-column joints have emerged in practical engineering applications (as illustrated in Figure 1). These irregular configurations often arise from variations in beam elevation, story height differences, or staggered floor arrangements. Representative forms include unequal-depth beam (UDB) joints [17,18] and staggered beam (SB) joints [19,20]. Compared with conventional symmetric joints, irregular joints exhibit distinct geometric and mechanical asymmetry. The stress distribution in their panel zones is highly non-uniform, accompanied by pronounced stress concentrations, out-of-plane deformation, and local buckling, which ultimately reduce both strength and ductility [21,22].
Research on unequal-depth steel beam (UDSB) and staggered steel beam (SSB) joints originated several decades ago, primarily through experimental and numerical investigations in Japan and China. Nakao and Osa [23,24] first conducted tests on H-beam–H-column connections and demonstrated that the beam depth ratio strongly influences the restoring force characteristics of the panel zone, while horizontal stiffeners can effectively enhance joint strength. Tateyama et al. [25] and Kuwahara et al. [26] further examined the effects of beam depth ratio, axial load ratio, and diaphragm configuration (through or internal) on the stiffness and failure mechanisms of UDB joints, proposing strength estimation methods for the panel zone. Later studies by Xue et al. [27], Hashemi et al. [28], and Sui et al. [29] combined full-scale testing with finite element (FE) analyses and revealed that beam depth disparity affects the shear capacity and ductility of the joint, while also altering the plastic hinge location and local stress concentration at beam ends. Mou et al. [30,31] performed cyclic loading tests on outer annular stiffener-reinforced UDB joints with hollow structural section (HSS) and CFST columns, proposing a shear strength model incorporating the influence of beam depth ratio. Regarding SSB joints, existing research remains comparatively limited. Imai et al. [19] conducted monotonic loading tests on H-beam–H-column SB joints, clarifying the correlation between eccentricity and nonlinear restoring force. Kuwahara et al. [20] further characterized the stiffness and strength of such joints through static loading tests. Sui et al. [32] examined circular steel tube column–H-beam SB joints using quasi-static tests and FE analysis, reporting that staggered height had a significant effect on initial stiffness but a negligible effect on shear strength. More recently, Liu et al. [33,34] performed one-third-scale cyclic loading tests on CFST frame systems equipped with SSB joints using external annular diaphragms, reporting weaker hysteretic behavior and lower energy dissipation compared with conventional joints. Their work mainly focused on the global seismic performance of complete frame systems and demonstrated the effectiveness of external diaphragms. However, this configuration requires multiple large external plates, which raises practical concerns regarding fabrication cost, spatial usage, and architectural appearance.
Overall, although previous studies have clarified some mechanical characteristics of UDSB and SSB joints, systematic research on irregular steel-beam-to-CFST column joints—particularly regarding local failure mechanisms, load-transfer paths, and diaphragm behavior—remains scarce. Furthermore, studies on joints with internal diaphragms are even more limited and generally rely on multiple horizontal plates, which are difficult to weld inside HSS or CFST columns. To address this issue, this study proposes a novel inclined internal diaphragm (IID) connection, where a single oblique diaphragm is installed between the flanges of opposing beams to streamline construction and improve load transfer efficiency.
Based on the above considerations, this study systematically investigates the seismic behavior of irregular steel-beam–CFST column joints with IIDs and ηbc > 1.0. Two full-scale joint specimens, representing an UDB joint and an SB joint, were designed and tested under cycle loading. The failure modes, hysteresis curves, load-bearing capacities, stiffness degradation, strength degradation, energy dissipation performance, strain distributions, and panel zone shear behaviors of the specimens were discussed. Based on the experimental results, refined FE models for the irregular joints were developed and validated by the test data with good accuracy.

2. Experimental Program

2.1. Joint Configuration

Previous studies have demonstrated that properly designed internal diaphragm (ID), through diaphragm (TD), and external diaphragm (ED) joints generally exhibit high load-bearing capacity and favorable seismic performance [35,36,37,38,39]. However, ED joints require large external ring plates, leading to higher steel consumption and uneven joint surfaces, which compromise both aesthetics and interior space utilization. TD joints, on the other hand, require cutting the column at the joint region for diaphragm welding, resulting in a heavy welding workload and protruding diaphragms that may affect architectural appearance. Compared with these types, ID joints are more architecturally favorable due to their smooth exterior surface and compact configuration.
Nevertheless, for irregular joints such as UDB and SB connections, the column panel zone becomes geometrically complex. As illustrated in Figure 2, the conventional fabrication method requires installing multiple horizontal internal diaphragms at different beam-flange levels. Because these diaphragms must be inserted inside the closed CFST column, the column is typically cut into several short segments before re-welding, which greatly increases fabrication difficulty and welding workload. In addition, the installation of multiple horizontal diaphragms leads to very limited internal access for welding, making it difficult for welders to control torch angles and weld penetration inside the confined space. This often results in unsatisfactory weld quality and poses significant challenges for practical application.
As illustrated in Figure 3, two improved CFST column-to-H-beam joint configurations with UDB and SB geometries are proposed in this study, incorporating IIDs. These designs aim to enhance structural compactness, force transfer efficiency, and fabrication feasibility. The square HSS column is composed of two prefabricated segments connected by complete joint penetration (CJP) groove welds. Prior to welding, the horizontal or inclined ID is pre-installed at the end of each segment to transfer forces from the beam flanges. The inclined diaphragms are welded along all four sides of the column cross-section using the same welding method as conventional horizontal diaphragms. The beam flanges and webs are joined to the column through weld access holes (WAHs), ensuring proper continuity of the load path. The diaphragm width is designed slightly smaller than the column width to provide adequate welding clearance, while its thickness is not less than that of the beam flanges to ensure sufficient strength. Large circular casting holes are also incorporated to facilitate concrete placement within the column. This inclined-diaphragm configuration can be regarded as a simplified alternative to the traditional double horizontal diaphragm scheme. As shown in Figure 2, using only one diaphragm without cutting the column reduces the overall weld length by about 35–40% and lowers internal welding operations by approximately 40–50% while still providing comparable structural performance. As a result, it improves both constructability and the potential for automated fabrication.

2.2. Design of the Specimens

Two full-scale specimens, designated as UDSBJ-IID-1 and SSBJ-IID-1, were fabricated to investigate the seismic behavior of irregular CFST column-to-H-beam joints with inclined internal diaphragms (IIDs). The key geometric properties and detailed configurations of the two specimens are summarized in Table 1 and illustrated in Figure 4. Specimen UDSBJ-IID-1 adopted a hybrid diaphragm system comprising both horizontal and inclined IDs, connected to a square HSS column with dimensions of 300 × 300 × 10 mm. In contrast, SSBJ-IID-1 incorporated two inclined diaphragms and the same square HSS column section (300 × 300 × 10 mm) to represent the staggered floor configuration. The thicknesses of all diaphragms were designed equal to those of the beam flanges to ensure continuous force transmission between the beams and column. To facilitate concrete infilling, each diaphragm was fabricated with a central circular (or half-circular) opening of 160 mm in diameter, along with two or four peripheral vent holes of 20 mm in diameter, as shown in Figure 4. All columns were filled with self-compacting concrete (C45) to ensure complete filling of the confined space without the need for vibration.
In specimen UDSBJ-IID-1, two steel beams of unequal depths were connected to the column: the deeper beam was a welded H-section of 294 × 200 × 8 × 12 mm, and the shallower beam was 244 × 175 × 8 × 12 mm, resulting in a beam height ratio of H2/H1 = 0.83 (i.e., a height difference of 50 mm). In specimen SSBJ-IID-1, the two steel beams were identical welded H-sections of 244 × 175 × 8 × 12 mm, while a vertical offset (ΔH) of 50 mm, equivalent to one-fifth of the beam depth, was introduced between the beam elevations to simulate the staggered floor condition.
All critical welds within the joint region were executed using 14 mm thick complete joint penetration (CJP) groove welds, performed under controlled workshop conditions to minimize fabrication variability and ensure consistent joint quality. The welding followed a standard structural steel Welding Procedure Specification (WPS), including (i) a double-V groove preparation for all CJP welds; (ii) gas-shielded flux-cored arc welding (FCAW) as the primary process; (iii) a controlled heat-input range of 1.0–1.5 kJ/mm to limit the width of the heat-affected zone; and (iv) the use of E71T-1C flux-cored filler metal, commonly employed in seismic-grade welded joints.

2.3. Material Properties

All steel components were fabricated using Grade Q355B steel(Pinghu City Construction Investment Corporation Limited, Jiaxing 314299, China), in accordance with the Chinese standard GB/T 228.1-2021 [40]. To evaluate the mechanical properties, six groups of tensile coupons were tested, each corresponding to a different plate thickness, with three specimens per group. This testing quantity is consistent with standard practice in large-scale steel joint experiments, where two to three coupons per thickness are commonly adopted for obtaining representative material parameters rather than establishing full statistical distributions [29,30]. Key parameters obtained include Young’s modulus (Es), yield strength (fy), ultimate tensile strength (fu), and elongation after fracture. The yield strength was defined as the lower yield point, and Young’s modulus was calculated as the secant modulus between the origin and 1/3 fy. The measured material properties are summarized in Table 2.
Additionally, the concrete material properties were determined through uniaxial compression testing on cylindrical specimens. To ensure consistency with the in situ conditions, the specimens were cured under the same environmental conditions as the C45 fine aggregate concrete placed in the steel tubular columns until the time of testing. The concrete exhibited an average compressive strength of 55.0 MPa obtained by compression tests.

2.4. Test Setup and Loading Protocol

The overall test setup is illustrated in Figure 5a. Spherical hinges were installed at the top and bottom of the column to simulate pinned boundary conditions, while the beam ends on both sides were connected to two 500 kN hydraulic actuators via in-plane pinned supports. A 1000 kN hydraulic jack applied a constant axial load at the column top. To resist the resulting horizontal reaction force, a tubular horizontal brace was installed between the steel pedestal atop the column and the reaction frame. The specimen was configured as a cross-shaped beam-to-column joint, with symmetric beam lengths on both sides of the column. Antisymmetric vertical displacements were applied to the beam ends to simulate seismic loading. The effective column height was 3580 mm, and the center-to-center distance between the beam-end hinge points was 3600 mm (i.e., 1800 mm from each beam-end loading point to the column axis). To prevent out-of-plane deformation and torsional instability of the H-shaped beams, lateral stiffener plates were welded to the flanges approximately three-quarters along the beam length (700 mm from the hinge axis), and lateral restraints using universal ball supports were provided. A dedicated loading region was constructed at each beam end, with pin connections to the actuators and high-strength bolts connecting to the test beams. Both actuators were synchronized via a common oil pump to ensure simultaneous loading.
The loading protocol consisted of two parts: (1) continuous axial loading of the CFST column using the jack, and (2) cyclic antisymmetric displacement loading at the beam ends using the actuators. The beam ends were subjected to alternating upward and downward displacements to replicate the deformation pattern of specimens under seismic action. The displacement-controlled loading sequence was designed in accordance with AISC 341-22 [41] and defined in terms of story drift ratio (SDR), as shown in Figure 5b.

2.5. Instrumentation Arrangement

Considering the geometric asymmetry of the specimens, strain gauges and strain rosettes were mainly arranged on both sides of the joint to comprehensively monitor the strain distribution within the joint panel zone and adjacent beam-column components. As shown in Figure 6, strain gauges numbered TFL-n (n = 1–5) and BFL-n (n = 1–3) were installed on the top and bottom flanges of the left beam (Beam 2), while gauges numbered TFR-n (n = 1–5) and BFR-n (n = 1–3) were installed on the top and bottom flanges of the right beam (Beam 1) to measure the shear strain distribution and stress variations along the beam flanges near the joint. Strain gauges numbered WL-n (n = 1–2) and WR-n (n = 1–2 or 1–3) were attached to the mid-height of the web plates on the left and right beams, respectively, to record the web shear strain distribution. Strain gauges numbered CL-n (n = 1–4) and CR-n (n = 1–4) were mounted on the column flanges on both sides of the joint to evaluate the strain development and yielding behavior of the column flanges under cyclic loading. Strain rosettes numbered P-n (n = 1–6 or 1–12) were placed on the column webs to measure the principal strain distribution and its evolution within the joint panel zone. The detailed layout and relative positions of all strain gauges are shown in Figure 6.
In addition, linear variable displacement transducers (LVDTs) were installed at key locations of the specimens to measure the displacements and rotational deformations of the beams, column, and joint panel zone. LVDTs numbered D1-D6 were placed at the beam-end loading points and at the top and bottom of the column to record the vertical displacements of the beam ends and the horizontal displacements of the column ends. For specimen UDSBJ-IID-1, LVDTs D7-D16 were installed across the joint panel zone and beam-column interfaces to measure the shear deformation within the joint panel zone and the relative rotation between the beam and column. For specimen SSBJ-IID-1, LVDTs D7-D17 were used due to the different geometry of the staggered joint. The detailed LVDT layout and numbering for each specimen are summarized in Figure 7.

3. Results

3.1. General Observations and Failure Modes

The final damage patterns of the two specimens after cyclic loading are shown in Figure 8 and Figure 9. Overall, both specimens exhibited similar failure modes, characterized by fracture of the IDs and tearing of the column wall, representing a typical combined diaphragm–column wall failure pattern.
For specimen UDSBJ-IID-1, the first visible crack was detected during the first half of the second loading cycle at 1.5% drift, where a fine crack initiated and slightly propagated along the weld between the deeper beam (Beam 1) flange and the column wall. At a drift ratio of 2%, the weld cracks further widened, particularly at the bottom flange of Beam 1. When the drift ratio increased to 3%, during the first loading cycle, the bottom flange of Beam 1 was subjected to tension, causing the weld cracks to extend noticeably. A distinct brittle sound was heard, indicating fracture of the lower ID. During the second loading cycle at the same drift ratio (3%), the top flange of Beam 1 was in tension, accompanied by another loud noise, which was attributed to the fracture of the upper ID. Simultaneously, local bulging was observed on the adjacent column face. At the end of the 3% drift ratio loading, fracture of the ID also occurred at the top flange of the shallower beam (Beam 2), accompanied by a cracking sound.
As the drift ratio increased to 4%, cracks at the tension flanges of both beams further widened, and the column surface bulging became more pronounced. By the end of this stage, the tension flange of Beam 2 had been almost completely pulled away, accompanied by column wall tearing, whereas Beam 1 exhibited weld fracture at the beam end. When the drift ratio reached 5%, the area of column wall tearing expanded, and cracks along the tension flanges of both beams nearly coalesced into continuous lines, with more severe bulging of the column surface. At a drift ratio of 6%, the bulging and tearing of the column wall became more extensive. The test was terminated at this stage due to the severe tearing observed in the column wall and because the actuator had approached its stroke limit. Ultimately, severe tearing occurred at the column wall adjacent to the top and bottom flanges of Beam 1 and the top flange of Beam 2, forming a typical combined failure involving ID fracture and column wall tearing.
For specimen SSBJ-IID-1, the overall failure progression was similar to that of UDSBJ-IID-1, although damage initiation occurred slightly later. At a drift ratio of 1.5%, fine cracks appeared at the beam flange welds on both sides of the joint. When the drift ratio reached 2%, these cracks began to propagate and extend along the weld toes. During the first loading cycle at a 3% drift ratio, a loud fracture sound was heard, and the weld between the top flange of Beam 1 and the column wall suddenly opened, indicating fracture of the upper ID weld. Subsequently, the tearing at the column wall adjacent to the upper flange of Beam 1 expanded, forming a ring-shaped discontinuous crack along the beam-column interface. At a 4% drift ratio, the tearing at the top flange of Beam 1 continued to develop, accompanied by pronounced column wall bulging, while new cracks appeared at both the top and bottom flanges of Beam 2 and continued to propagate.
When the drift ratio increased to 5%, another sharp cracking sound was heard during loading. The weld between the bottom flange of Beam 2 and the column wall suddenly ruptured, and the column face was pulled open, indicating fracture of the lower ID weld. Shortly afterward, another loud sound was recorded as the weld between the top flange of Beam 2 and the column wall was torn and separated, again corresponding to ID weld fracture. Meanwhile, cracks at the interface between Beam 1 and the column wall further expanded. At a 6% drift ratio, both sides of the column wall exhibited severe tearing and significant bulging deformation. Ultimately, tearing of the column wall occurred at the top and bottom flange regions of Beam 1 and at the top flange region of Beam 2, forming a through-type tearing failure pattern.
In summary, both irregular joint specimens exhibited similar failure mechanisms. The damage initiated with the formation and propagation of minor weld cracks at the beam ends, followed by successive fractures of the ID welds, which ultimately led to extensive column wall tearing and outward bulging. The overall behavior was governed by a ductile failure mode characterized by sequential diaphragm fracture and column wall tearing.

3.2. Hysteresis and Skeleton Curves

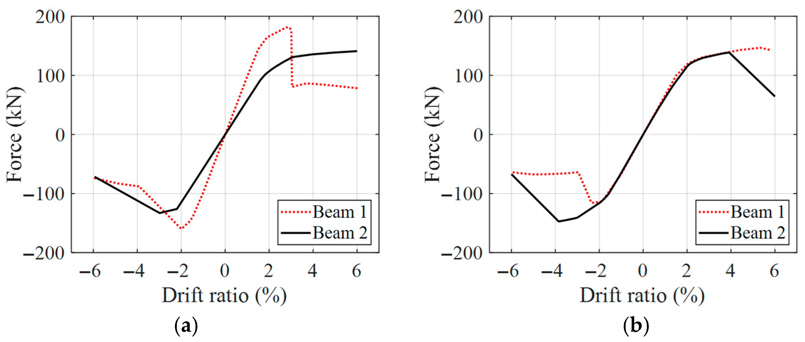
Figure 10 presents the hysteretic responses of Beam 1 and Beam 2 for both specimens. The loading direction was defined as positive when the beam top flange was in compression and the bottom flange was in tension. The F-Δ curves illustrate the load–displacement relationships, while the M-θ curves describe the moment-drift ratio relationships, where the beam-end moment was calculated as M = F × Lb, with Lb denoting the distance between the actuator loading point and the column face. The plastic moment capacities (Mp) of Beams 1 and 2, determined from the measured material properties and section geometries, are also indicated in the figures. Throughout the loading process, all specimens underwent three distinct deformation stages: elastic, plastic development, and ultimate damage. At drift ratios below 1.5%, the specimens behaved elastically, exhibiting a nearly linear load–displacement response. From a drift ratio of 2% onward, flexural stiffness began to vary slightly, and the beam-end moments approached or reached Mp, signifying the onset of yielding.
For specimen UDSBJ-IID-1, the deeper beam (Beam 1) exhibited noticeably higher flexural strength than the shallower beam (Beam 2). Under positive loading, the moment in Beam 1 exceeded Mp, while under negative loading it was slightly lower. The positive and negative peak moments of Beam 1 were +300 kN·m and –264 kN·m, respectively, giving a positive-to-negative peak moment ratio of about 1.14, which quantifies the observed flexural asymmetry. When the drift ratio reached 3%, fractures occurred successively at the lower and upper IDs near the beam flanges during the first and second loading cycles, respectively, leading to a sudden strength drop. This drift level is slightly below the 4% story-drift requirement for SMF connections specified in AISC 341-22 [41]. After ID fracture, the residual strengths were +83 kN and –99 kN in the positive and negative directions, corresponding to about 46% and 62% of their respective peak strengths. As the column wall weld cracks propagated, the residual strength gradually decreased, and the hysteretic loops exhibited a distinct pinching shape. During the second cycle at −3% drift, the upper diaphragm on the shallower beam (Beam 2) fractured, causing a sharp reduction in negative strength; the overall resistance then approached that of Beam 1, while the positive direction maintained stable tensile capacity. This asymmetric hysteretic response indicates that the deeper beam in UDSB joints sustained higher flexural demands and was the first component to yield and fail.
In contrast, specimen SSBJ-IID-1 exhibited fuller and more stable hysteretic loops, demonstrating superior ductility and energy dissipation capacity. At a 3% drift ratio, fracture of the ID at the top flange of Beam 1 occurred first, causing a sudden strength reduction to about 56% of the peak strength in the negative direction. Subsequently, the positive loading response of Beam 1 gradually increased, entering a stable yielding phase, while the negative strength failed to recover due to tearing of the column wall. Although Beam 1 failed earlier than Beam 2 and therefore did not reach the 4% story-drift level, this behavior is consistent with the fact that the AISC 341-22 [41] requirement applies to the connection as a whole rather than to each beam individually. Beam 2, however, continued to sustain loading until a drift ratio of 5%, at which point both its upper and lower diaphragms fractured, resulting in significant strength degradation of the joint. Because Beam 2 maintained its flexural capacity beyond the 4% drift ratio, the overall connection deformation capacity of specimen SSBJ-IID-1 satisfies the SMF requirement prescribed in AISC 341-22 [41]. These results highlight the critical role of the ID in transferring flexural moments between the beams and the column; its fracture led to an approximate 50% reduction in the joint capacity. Nevertheless, after diaphragm fracture, the joints retained considerable residual strength and exhibited pronounced hysteretic loops, indicating satisfactory ductility and deformation capacity.
Figure 11 shows the skeleton curves of Beams 1 and 2 for both specimens. For specimen UDSBJ-IID-1, the deeper beam exhibited higher initial stiffness and peak strength than the shallower beam, revealing a “deep-beam-dominated” behavior typical of UDSB joints. For specimen SSBJ-IID-1, both beams displayed comparable stiffness and strength, indicating a more balanced force distribution due to identical beam depths. In general, both irregular joint types showed good initial stiffness and strength in the early loading stages, followed by pronounced degradation after diaphragm fracture.
In summary, the hysteretic and skeleton responses of both specimens confirm that the inclined ID plays a vital role in flexural moment transfer and overall joint resistance. Its fracture was the primary cause of strength deterioration. Although the diaphragm thickness in this study (12 mm, equal to the beam flange thickness) provided satisfactory strength at early stages, premature diaphragm fracture indicated that the current thickness was still insufficient. For practical applications, it is recommended to increase the diaphragm thickness and ensure adequate weld quality to enhance joint ductility and seismic reliability.

3.3. Degradation of Stiffness

Figure 12 illustrates the stiffness degradation of both specimens throughout the cyclic loading process. The stiffness Kj was defined as the ratio of the peak load to the corresponding displacement for each loading cycle, while the normalized stiffness kj was expressed as the ratio of the current stiffness to the initial peak stiffness, serving to quantitatively evaluate the rate of degradation. Overall, both types of irregular joints exhibited a gradual reduction in stiffness with increasing drift ratio, showing a typical cyclic degradation pattern.
For specimen UDSBJ-IID-1, the initial stiffness of the deeper beam (Beam 1) was approximately 1.8 times that of the shallower beam (Beam 2), indicating that the overall joint deformation was primarily governed by the deeper beam during the early loading stage. As the drift ratio increased, Beam 1 experienced a noticeably faster rate of stiffness reduction and exhibited a sharp drop near a 3% drift ratio. After the sudden drop, the stiffness of Beam 1 decreased to about 20% of its initial value, whereas Beam 2 maintained approximately 40% of its residual stiffness in the positive loading direction. This behavior suggests that the overall joint stiffness degradation was controlled by the deeper beam, as the uneven flexural demand between beams led to stress concentration and accelerated local stiffness deterioration. Consequently, the stiffness degradation in unequal-depth joints was governed by the combined effect of nonuniform moment distribution and intercomponent interaction.
For specimen SSBJ-IID-1, the initial stiffnesses of the two beams were nearly identical. The stiffness degradation curve of Beam 2 remained almost symmetric under positive and negative loading, while Beam 1 exhibited slight asymmetry due to the early fracture of the upper ID. The joint maintained linear stiffness before a 1.5% drift ratio, transitioned into the plastic stage beyond 2%, and gradually degraded to a stable residual stiffness state after approximately 5% drift. In general, the stiffness degradation of the staggered joint was smoother and more balanced than that of the unequal-depth joint, indicating that the staggered configuration helped distribute stress more evenly within the joint region and delayed overall stiffness deterioration.
In summary, both irregular joint types underwent a three-stage stiffness degradation process, transitioning from elastic stiffness to yielding stiffness to residual stiffness. The point of stiffness drop corresponded closely to the failure of the ID. After diaphragm fracture, the joints retained about 20–30% of their initial stiffness, demonstrating a certain level of ductility reserve. However, compared with conventional equal-depth beam-to-column joints [7,8], the stiffness degradation of the irregular joints was more pronounced, particularly when the beam-to-column flange thickness ratio ηbc > 1.0, under which the contribution of the ID to joint stiffness was significantly reduced.

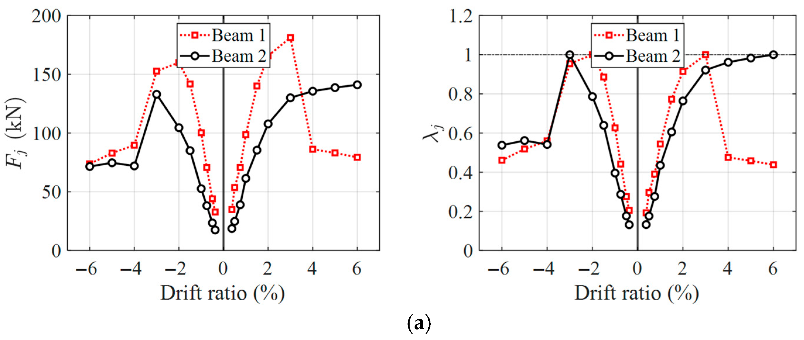
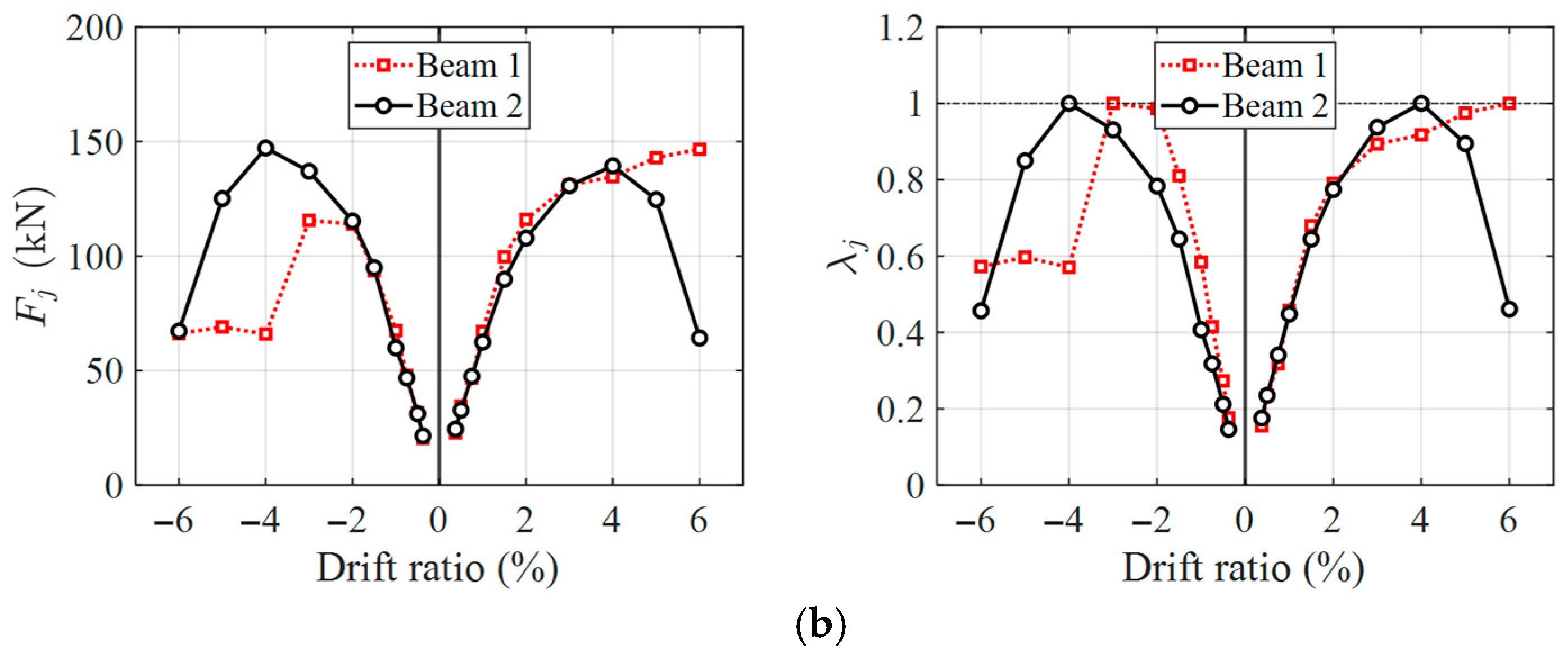
3.4. Degradation of Strength

Figure 13 presents the strength degradation behavior of both specimens under cyclic loading. The strength Fj is defined as the peak load attained by the specimen during the j-th loading cycle, while the strength degradation coefficient λj represents the ratio of the current peak load to the maximum peak load Fp recorded throughout the entire loading process. For each drift level, the reported value of λj corresponds to the average of all repeated cycles at that drift level, in order to reflect the overall degradation trend. Overall, both types of irregular joints exhibited a characteristic three-stage trend of “growth-drop-stabilization”, and the differences between the two beams were primarily governed by the joint geometry and the stress state of the ID.
For specimen UDSBJ-IID-1, Beam 1 exhibited a higher initial rate of strength increase, with its peak load approximately 25% greater than that of Beam 2. However, around a 3% drift ratio, successive fractures of the IDs in Beam 1 caused a pronounced strength reduction, with the positive- and negative-direction λj values decreasing to approximately 0.48 and 0.56, respectively. In contrast, Beam 2 retained about 0.6 of its negative-direction strength at the same stage, while its positive-direction λj remained nearly unchanged. Afterward, the strength of Beam 1 stabilized at a lower level, maintaining about 40–50% of its initial capacity. These observations indicate that the strength degradation of UDSB joints is distinctly asymmetric, with stress concentration on the deeper beam side and diaphragm failure being the dominant causes of the abrupt strength drop.
For specimen SSBJ-IID-1, both beams exhibited comparable peak strengths and degradation rates prior to a 3% drift ratio, after which the damage mechanism began to diverge. The joint remained in a linear growth stage before a 1.5% drift ratio, followed by a plateau in strength beyond 2%. At a 3% drift ratio, fracture of the upper diaphragm in Beam 1 led to a reduction in negative-direction strength, while the positive-direction strength remained stable. When the drift ratio reached 5%, the upper and lower diaphragms of Beam 2 fractured sequentially, causing simultaneous strength reduction in both beams. By the end of the 5% and 6% drift cycles, λj had decreased to approximately 0.88 and 0.43, respectively. Compared with the UDSB joint, the SSB joint exhibited smoother and more symmetric degradation curves, suggesting that the staggered configuration effectively alleviates local stress concentration and enhances the joint’s capacity to sustain ductility.
In summary, the strength degradation process of both irregular joints can be divided into three distinct stages: (1) initial strengthening stage (before 1.5%), where load-bearing capacity increases with plastic development; (2) sharp reduction stage (around 3%), corresponding to ID fracture and rapid strength loss; and (3) residual stage (≥5%), where the joints retained more than 40% of their peak load capacity. The test results confirm that fracture of the ID is the key trigger for abrupt strength deterioration, and when the beam-to-column flange thickness ratio ηbc > 1.0 [7,8], the joints become more sensitive to diaphragm failure, resulting in a significantly accelerated degradation rate.

3.5. Energy Dissipation Capacity

The energy dissipation capacity of the joints was evaluated in terms of the cumulative energy dissipation (ΣE) and the equivalent damping ratio ( ξ eq ). The equivalent damping ratio reflects the energy loss capacity of the joint during cyclic loading, and it is calculated as follows:
ξ eq = 1 2 π S ABCD S OBG + S ODH
where SABCD denotes the area enclosed by the hysteresis loop, while SOBG and SODH correspond to the areas of the elastic restoring force triangles, as illustrated in Figure 14. Vertices A–H represent the characteristic intersection points of the loading and unloading paths used to construct these areas.
Figure 15 and Figure 16 show the cumulative energy dissipation and equivalent damping ratio of each specimen, respectively. Overall, the energy dissipation capacity of both irregular joints increased significantly with increasing drift ratio before reaching 4%, demonstrating pronounced plastic energy dissipation characteristics. With further cyclic loading, the equivalent damping ratio ξ eq gradually stabilized around a 4% drift, indicating that the joints had reached a steady-state energy dissipation condition.
For specimen UDSBJ-IID-1, the cumulative energy of Beam 1 increased slowly during the initial loading stage, but it rose sharply once the drift ratio exceeded 2%, as the hysteresis loops became more stable and fuller. At a 3% drift ratio, Beam 1 exhibited approximately 30% greater cumulative energy dissipation than Beam 2, suggesting that the deeper beam governed the early-stage plastic energy absorption of the joint. After the fracture of the IDs, the energy accumulation rate of Beam 1 decreased slightly but remained consistently higher than that of Beam 2 throughout the test. At a 6% drift ratio, the total cumulative energy dissipation of Beams 1 and 2 reached approximately 88 kN·m and 75 kN·m, respectively, confirming that the joint maintained a high energy absorption capacity even after diaphragm fracture. Correspondingly, the equivalent damping ratio of Beam 1 increased rapidly after a 3% drift ratio and stabilized within the range of 0.22–0.28, while the maximum ξ eq of Beam 2 reached about 0.20. These values exceed the ξeq ≥ 0.125 acceptance limit commonly used in ASCE 41-based seismic performance assessments, demonstrating adequate energy-dissipation capacity [41]. Moreover, compared with conventional RC beam-to-column joints (typically ξeq ≈ 0.10), the proposed joint exhibits more than twice the damping capacity. Its ξeq levels are also comparable to those reported for CFST column-beam joints (ξeq ≈ 0.25–0.30 [42]) and similar to the 0.246–0.288 range measured in external-diaphragm UDSB-to-CFST joints tested by Liu et al. [34].
For specimen SSBJ-IID-1, both beams exhibited a more balanced energy dissipation trend. Before a 2% drift ratio, the cumulative energy was limited, but it increased rapidly thereafter. When the upper inclined diaphragm of Beam 1 fractured at a 3% drift, its energy dissipation capacity declined, while Beam 2 continued to accumulate energy and surpassed Beam 1. With further loading up to a 5% drift, both upper and lower diaphragms of Beam 2 fractured, resulting in a gradual reduction in the energy growth rate. The equivalent damping ratios of Beams 1 and 2 stabilized at approximately 0.23–0.25 and 0.16–0.19, respectively, at drift ratios of 3% and 5%. These values exceed the ASCE 41 acceptance limit of ξeq ≥ 0.125 and fall within the typical range reported for CFST and external-diaphragm UDSB joints [34,42].
In summary, the joints with inclined IDs exhibited good energy dissipation capacity under cyclic loading. Even after a partial diaphragm fracture, the joints maintained a high level of energy absorption, reflecting stable hysteretic behavior and reliable seismic energy dissipation performance.

3.6. Shear Behavior of Panel Zone

The shear transfer mechanism of the panel zone in the unequal-depth (UDSB) and staggered (SSB) joints is schematically illustrated in Figure 17. The panel zone is subdivided into multiple sub-regions according to the beam-column intersection geometry. When lateral loading is applied, the flexural moments transmitted from the beam ends induce unbalanced shear forces across these sub-regions. The whole panel zone can therefore be idealized as a system composed of several shear segments (three for the SSB joint and two for the UDSB joint), each subjected to distinct internal force distributions. The arrows in Figure 17 indicate the directions of internal shear forces at the beam-column interfaces. Assuming that the beam and column end moments act as concentrated couples at the flange locations, the resultant shear force of the entire panel zone, Qp, can be determined from equilibrium as [20,42,43]
Q p = M p d b = M b 1 + M b 2 d b Q cU + Q cL 2 = L b d c d b L b L c Q b 1 + Q b 2 2
where db is the total height of the panel zone, dc is the distance between the column flange centerlines (i.e., the panel zone width), Lb and Lc denote the beam span and effective column height, respectively, and Qb1 and Qb2 represent the beam-end shear forces.
The whole panel shear deformation angle (γp) was derived from the diagonal displacements measured within the panel zone as [20]:
γ p = d 1 + d 2 2 h p cos α
where h p is the height of the whole panel zone, d 1 and d 2 are the measured compressive and tensile diagonal displacements, and α denotes the initial angle between the diagonal and the horizontal axis.
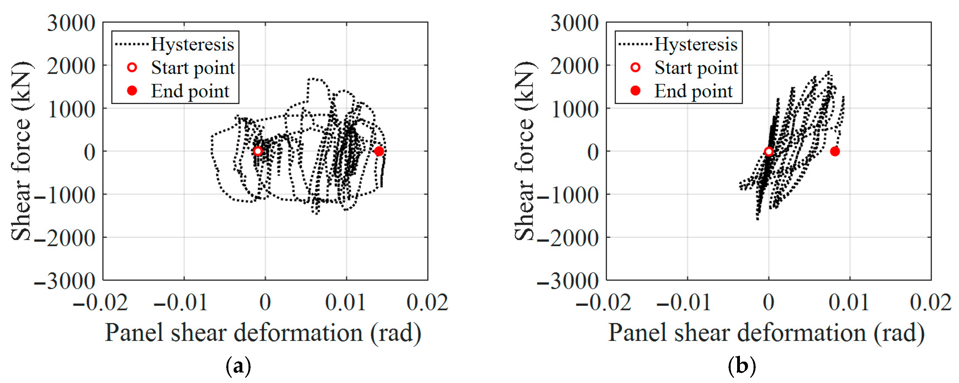
Figure 18 presents the shear force-shear deformation relationships of the panel zones for both specimens. The panel zones of the two joints exhibited evident plastic deformation, accompanied by asymmetric hysteretic loops that shifted toward one side. This asymmetric response primarily resulted from the inherent geometric irregularity of the joints, as well as the eccentric force transfer path caused by moment-shear coupling at the beam ends and local cracking of the inclined diaphragms.
For UDSBJ-IID-1, the hysteretic loops appeared fuller, demonstrating pronounced energy dissipation and accumulation of residual deformation during cyclic loading. The maximum panel shear force reached approximately 1684 kN, corresponding to a maximum shear deformation angle of about 0.015 rad. Upon unloading, a residual shear deformation angle of about 0.014 rad remained, indicating a significant degree of irreversible deformation. The larger panel deformation in this specimen was primarily attributed to the earlier and more severe fracture of the upper and lower diaphragms of Beam 1, which altered the internal force transfer path, promoted unilateral shear plasticity, and resulted in the observed offset and fuller hysteretic loops.
In contrast, the SSBJ-IID-1 specimen exhibited a higher shear strength but smaller deformation, with a maximum panel shear force of approximately 1865 kN, a maximum shear deformation angle of about 0.009 rad, and a residual shear deformation angle of about 0.008 rad. Although its hysteretic loops were also asymmetric and biased toward one side, the staggered beam configuration effectively dispersed the stress distribution within the panel zone. Consequently, the initiation of diaphragm fracture was delayed, and the extent of plastic development was smaller than that observed in UDSBJ-IID-1, leading to a narrower and more elongated hysteretic shape.
It is noteworthy that the panel zone contributed only a limited portion of the total story drift. For instance, at a 4% drift ratio, the panel-zone shear deformation accounted for approximately 20% of the total story drift in specimen UDSBJ-IID-1 and 12.5% in specimen SSBJ-IID-1. Although yielding and residual deformation occurred within the panel zones of both specimens, the magnitude of panel shear deformation was considerably smaller than the overall story drift observed at the same loading level. Accordingly, the global joint deformation was therefore dominated by beam-end rotation, rather than by shear distortion within the panel zone.

3.7. Moment-Rotation Response of Beam End

Figure 19 shows the beam-end moment-rotation hysteretic relationships for both specimens. The beam-end rotation was calculated from the relative displacement measured by the upper and lower LVDTs at each beam end (as shown in Figure 7), divided by the vertical distance between them [44].
For Specimen UDSBJ-IID-1, the hysteretic curves display a pronounced directional bias after the fracture of the inclined diaphragms at approximately 3% drift. Following this event, the rotation of Beam 1 shifted toward the positive direction (tension side of the bottom flange), and the maximum rotation exceeded 0.04 rad, indicating extensive flexural deformation concentrated at the beam end. In contrast, Beam 2 exhibited smaller and more stable rotations because its diaphragm fracture occurred later. The rotation gradually developed toward the negative direction (tension side of the top flange), consistent with the observed crack propagation and final failure mode. This asymmetric rotational response highlights the effect of differential diaphragm damage on the deformation coordination of the two beams within the joint.
For Specimen SSBJ-IID-1, the hysteretic curves are relatively stable and fuller, indicating more uniform moment transfer between both beams. The initial stiffness of Beam 1 and Beam 2 was nearly identical. When the upper diaphragm of Beam 1 side fractured at 3% drift, the moment-rotation curve began to shift toward the negative direction (tension side of the top flange), and the maximum rotation reached approximately 0.03 rad. Subsequently, after 5% drift, the upper and lower diaphragms of Beam 2 side fractured successively, causing its rotation response to deviate toward the positive direction (tension side of the bottom flange), with a maximum rotation of approximately 0.012 rad.
Overall, both joints exhibited evident rotational asymmetry and strength degradation following diaphragm fracture, but the staggered-beam configuration demonstrated superior stability and deformation coordination, with reduced concentration of local plastic rotation at the beam ends. These results confirm that the integrity and sequence of diaphragm fracture critically influence the rotational behavior and global deformation mechanism of irregular beam-to-CFST column joints.

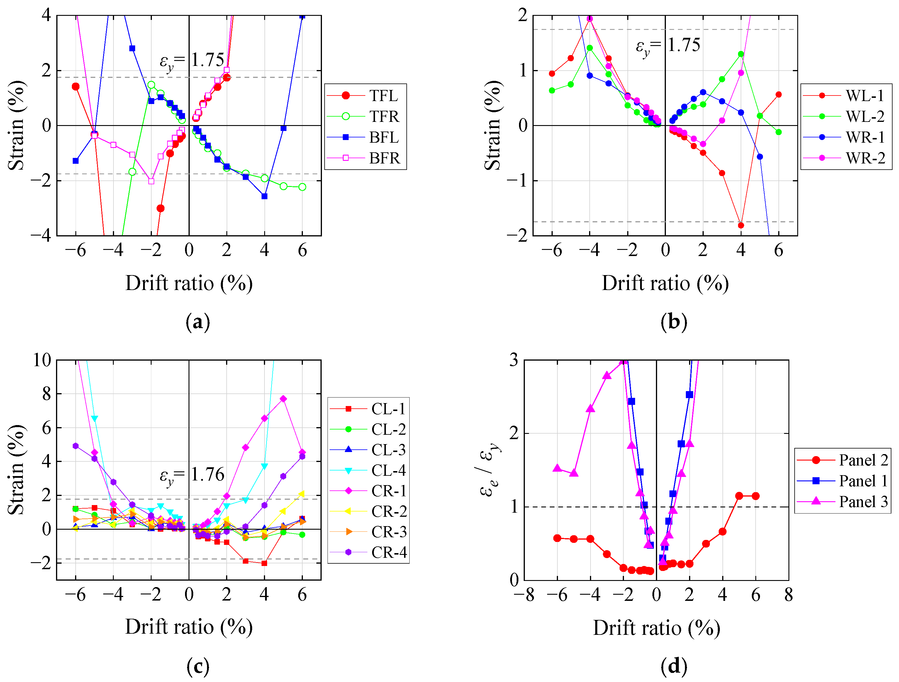
3.8. Strain Distributions

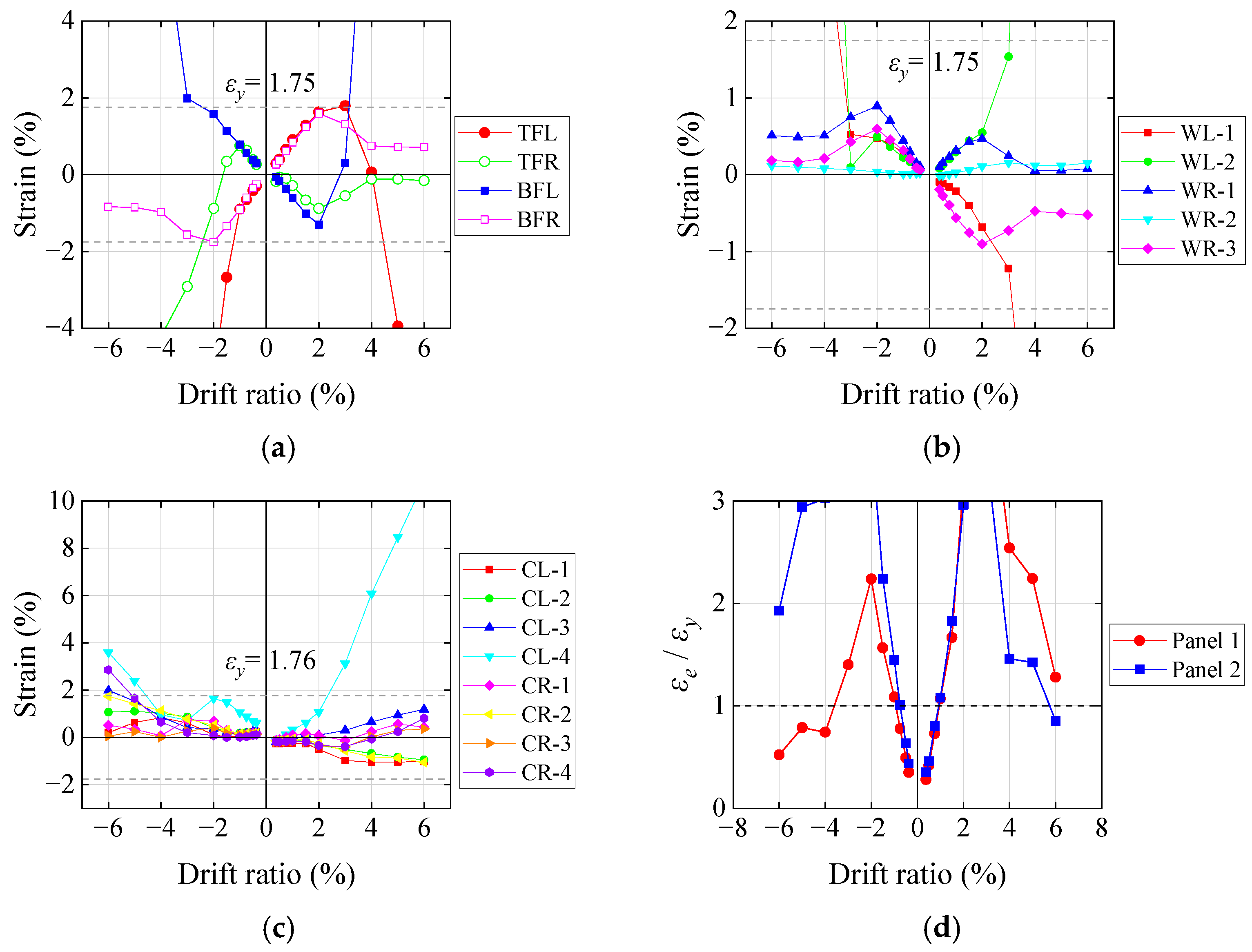
Figure 20 and Figure 21 illustrate the strain evolution of the beam flanges, beam webs, column walls, and panel zones in the unequal-depth (UDSBJ-IID-1) and staggered beam (SSBJ-IID-1) joints under cyclic loading, respectively. The gray dashed lines indicate the yield strain (εy) of the steel components, determined from the material coupon tests. At each loading level, the reported strain corresponds to the mean of the maximum measured values across the repeated loading cycles.
For the UDB joint (Figure 20), the strain development of the beam flanges exhibited distinct staged behavior. The top flange of Beam 2 (TFL) yielded first at approximately 1.5% drift ratio, with strain gauge TFL-4 being the first sensor to reach the yield strain εy. This was followed by the bottom flange of Beam 1 (BFR), which entered the plastic stage beyond 2% drift. As the loading progressed, the strain directions of Beams 1 and 2 diverged, indicating asymmetric yielding caused by the accumulation of residual plastic deformation. The web strain remained relatively low, with only Beam 2 showing partial yielding after 3% drift, suggesting that flexural resistance was mainly provided by the flange zones. The column-wall strain was generally uniform along the height but began to increase noticeably after 3% drift, particularly at measurement point CL-4 near the Beam 2 bottom flange, where diaphragm weld fracture occurred. As shown in Figure 20d, both Panel 1 and Panel 2 yielded at approximately 1% drift ratio (corresponding to a panel shear force of about 1235 kN) and rapidly entered the plastic regime, confirming that the panel zone was the first component to yield. Overall, the failure process of UDSBJ-IID-1 can be summarized as follows: the panel zone yielded first, followed by the development of plasticity in the beam flanges. Subsequently, fracture of the internal diaphragm caused localized deformation concentration along the column face, leading to a composite yielding mechanism governed by both the beam flange and the column wall.
For the SB joint (Figure 21), the strain distribution exhibited pronounced asymmetry. The top flange of Beam 2 (TFL) yielded first at about 1.5% drift, while both the top (TFR) and bottom (BFR) flanges of Beam 1 yielded after 2% drift. A sudden reversal of strain in the Beam 1 top flange occurred at 3% drift, corresponding to the fracture of the upper diaphragm. Similarly, the Beam 2 bottom flange (BFL) experienced a sharp strain reversal at 5% drift, indicating sequential fracture of the upper and lower diaphragms. The beam-web strains developed gradually and only partially yielded after 4% drift. Most column-wall measurement points exhibited limited strain amplitudes, except for CR-1 (near the Beam 1 top flange) and CL-4 (near the Beam 2 bottom flange), which showed significant localized strain concentration after diaphragm fracture and entered the plastic stage, consistent with observed column-wall tearing. The normalized equivalent strains in the panel zones indicate that Panel 1 yielded first at about 1% drift, Panel 3 yielded around 1.5%, and Panel 2 remained elastic until after 5% drift, highlighting the nonuniform stress distribution across the joint core. In summary, the failure sequence of SSBJ-IID-1 involved initial yielding of the panel zone, followed by plastic deformation of the beam flanges. The subsequent fracture of the inclined diaphragm triggered local yielding of the column wall, while the beam web exhibited delayed yielding at the later loading stages.
Overall, both joint configurations demonstrate that IID plays a pivotal role in controlling the stress transfer path and deformation capacity of the connection. The panel zone yields first, followed by the beam flanges that accommodate most of the plastic deformation. Once the welded diaphragms fail, additional tensile strain develops in the column wall, accelerating damage propagation and ultimately governing the overall failure of the joint.

4. Numerical Simulation

4.1. Modeling Setup

To numerically reproduce the cyclic behavior of the two irregular CFST column-to-beam joints, a three-dimensional FE model was developed using ABAQUS 6.14 [45]. The overall configuration and geometric dimensions were consistent with those of the experimental specimens to ensure direct comparability between simulation and test results. A schematic overview of the FE model, including mesh generation and boundary conditions, is presented in Figure 22. All key members, including the H-section steel beams, square HSS column, infilled concrete, and IDs, were modeled using eight-node linear brick elements with reduced integration (C3D8R). To achieve a reasonable trade-off between accuracy and computational efficiency, a multi-scale meshing strategy was employed. The mesh was refined to 15 mm in the joint region where severe stress gradients were expected, and gradually coarsened to 30 mm in regions away from the joint. For elements with local geometric discontinuities, such as diaphragm openings, further mesh refinement was adopted to better capture local stress concentrations. In addition, the steel beam flanges and webs, as well as the column walls, were modeled using double-layer meshes (two elements through the thickness) to improve the accuracy of local stress transfer near welded areas. The total element counts were 51,450 for specimen UDSBJ-IID-1 and 51,268 for specimen SSBJ-IID-1.
Reference points (RPs) were established at both beam ends and at the top and bottom of the CFST column. Each RP was kinematically coupled to its corresponding end face to control the boundary motions. The RP located at the top of the column was assigned a pinned constraint, consistent with the experimental setup, and was used for applying the axial compressive force. Vertical displacement-controlled cyclic loading was applied at the beam-end RPs following the loading history described in Figure 5b. All boundary conditions and coupling constraints were defined in the initial analysis step, after which the axial load was introduced at the column top, and cyclic displacements were imposed at the beam ends to replicate the quasi-static test procedure.

4.2. Interface Definition

To accurately simulate the load transfer and interaction between the various steel and concrete components, several types of contact and constraint definitions were incorporated into the FE model. The key interfaces considered included: (1) the contact between the square steel tube and the infilled concrete; (2) the contact between the IDs and the concrete core; and (3) the interfaces among the steel tube, diaphragms, beam webs, and beam flanges within the welded connection region. The interaction between the steel tube and the concrete infill, as well as between the diaphragms and the concrete, was modeled using a surface-to-surface contact formulation with distinct normal and tangential behavior laws. In the normal direction, a hard contact relationship was assigned to prevent penetration and to allow full transfer of compressive stress across the interface. In the tangential direction, a penalty-based friction model was employed with a friction coefficient of 0.3 [46,47], which has been verified as appropriate for steel-concrete interfaces in previous studies. All welded connections among steel components, including the beam flanges and webs, diaphragms, and the HSS column wall, were simulated using surface-based “Tie” constraints, ensuring complete continuity of displacement and rotation across the contact surfaces. This treatment idealizes the welded zones as fully bonded, thereby eliminating any relative slip between the connected parts and achieving a realistic representation of the composite action observed in the physical specimens.

4.3. Material Model

For the steel components of the connection, a five-stage elastic-plastic constitutive model [48] was adopted to simulate stress–strain response. The model satisfies the von Mises yield criterion under multiaxial stress states. As illustrated in Figure 23, the simplified stress–strain curve consists of five characteristic regions: elastic (O-a), elastic-plastic transition (a-b), plastic plateau (b-c), strain hardening (c-d), and secondary plastic flow (d-e). The parameters fp, fy, and fu correspond to the proportional limit, yield strength, and ultimate tensile strength, respectively. The strain limits used in this model were defined as εe = 0.8fy/Es, εe1 = 1.5εe, εe2 = 10εe1, and εe3 = 100εe1, where the corresponding values of fy and Es (Young’s modulus) are provided in Table 2 based on the steel material property tests.
The concrete damaged plasticity (CDP) model available in ABAQUS [45] was adopted to simulate the nonlinear behavior of the infilled concrete under cyclic loading. The main material parameters employed in the CDP model [49] are listed in Table 3. This model captures both compressive and tensile damage evolution through independent stress–strain relationships and corresponding degradation variables.
The uniaxial compressive response of concrete was simulated using the following nonlinear stress–strain relationship [48]:
y = 2 x x 2 x 1 x β 0 ( x 1 ) η + x x > 1
where x = ε ε c 0 and y = σ σ c 0 ; σ c 0 = f c ( N / mm 2 ) represents the compressive strength, and the corresponding strain at the peak stress is given by
ε c 0 = ε cc + 800 ξ 0.2   10 6 , ε cc = ( 1300 + 12.5 f c )   10 6
where fc (N/mm2) is the concrete cube strength.
For CFST columns, the lateral confinement effect is incorporated by modifying the parameters η and β 0 :
η = 1.6 + 1.5 x , β 0 = f c 0.1 1.2 1 + ξ
where f c is the cylinder compressive strength of concrete (N/mm2), and the confinement coefficient ξ accounts for the interaction between the steel tube and the concrete core, expressed as:
ξ = A s f y A c f ck = α f y f ck
Here, As and Ac (mm2)are the cross-sectional areas of the steel tube and concrete core, respectively; fy and fck (N/mm2) are the yield strength of the steel and the characteristic compressive strength of concrete; and α denotes the steel ratio of the CFST section. This confinement parameter effectively enhances the concrete ductility and accounts for the composite action between the two materials.
The tensile response of concrete was modeled using the strain-based tension stiffening option in ABAQUS, following the constitutive expression given in [50]:
y = 1.2 x 0.2 x 6 x 1 x 0.31 σ p 0 2 ( x 1 ) 1.7 + x x > 1
where x = ε t ε t 0 and y = σ t σ t 0 ; σ t 0 = 0.26 ( 1.25 f c ) 2 / 3   ( N / mm 2 ) and ε t 0 = 43.1 σ t 0 ( μ ε ) represent the tensile strength and the corresponding strain at the tensile peak, respectively.
To simulate material degradation under cyclic loading, two damage variables were introduced in the CDP model: the compressive damage variable (dc) and the tensile damage variable (dt). These were computed based on the Sidiroff energy equivalence principle [51] as follows:
d c = 1 σ c E c ε c
d t = 1 σ t E c ε t
where Ec (N/mm2) is the elastic modulus of concrete, σ c and σ t are the compressive and tensile stresses (N/mm2), ε c and ε t are the corresponding strains. The parameters dc and dt dimensionless damage variables describe stiffness degradation in compression and tension and are critical for reproducing the unloading-reloading behavior observed in cyclic tests.

4.4. Validation of FE Models

Figure 24 compares the hysteretic responses obtained from the experiments and the finite element analyses (FEA) for both specimens. It can be observed that, prior to the occurrence of ID fracture and the corresponding strength degradation, the hysteretic curves predicted by the FEA agree well with the experimental results in terms of overall shape and characteristic behavior. The numerical hysteresis loops appear slightly fuller, while the experimental curves exhibit a more pronounced pinching effect, which can be attributed to local slip and progressive yielding in the actual tests. Nevertheless, these discrepancies remain within an acceptable range, confirming that the developed numerical model is capable of accurately reproducing the cyclic response of the joints.
Figure 25 presents the comparison between the skeleton curves obtained from the FEA and those measured in the tests. In general, the initial stiffness predicted by the FE model is in close agreement with the experimental results, with an error of less than 5%. For specimen UDSBJ-IID-1, within a drift range of 4%, the predicted peak strengths of Beam 1 are slightly higher than those measured in both loading directions. For Beam 2, the simulated skeleton curve matches the experimental result well under positive loading, and the peak strength under negative loading also shows good agreement. For specimen SSBJ-IID-1, Beam 1 exhibits excellent consistency between the FEA and experimental results in the positive loading direction, whereas the predicted peak strength under negative loading is marginally higher. Beam 2 shows a close match between the FEA and test results in both loading directions. The minor deviations in peak strength are mainly attributed to the sudden strength reduction caused by diaphragm fracture observed in the experiments, whereas the FE model does not explicitly capture brittle fracture phenomena such as diaphragm rupture or column wall tearing. Consequently, the FEA backbone curves do not exhibit significant post-peak strength degradation. Overall, before the occurrence of diaphragm failure, the simulated hysteretic and skeleton curves closely replicate the experimental trends in terms of shape, stiffness, and peak strength, demonstrating that the developed FE model can reliably capture the mechanical behavior of irregular joints.
Furthermore, the panel zone shear behavior obtained from the FE simulation was compared with the test results, as shown in Figure 26. Within the loading range up to 4% drift, the FE-predicted panel shear response agreed well with the test data in terms of both stiffness and strength, particularly for Specimen SSBJ-IID-1, which exhibited a delayed onset of damage. For Specimen UDSBJ-IID-1, the experimentally measured panel shear deformation was slightly larger and the corresponding shear strength was lower than those predicted by the FE model. This difference mainly resulted from the premature fracture of the diaphragms and local column-wall distortion, which reduced the joint’s effective shear stiffness in the test but was not explicitly captured in the simulation. Nonetheless, the overall hysteretic response showed good agreement between the experiment and the FE analysis.
Figure 27 compares the failure modes and von Mises stress distributions obtained from both the experimental observations and the FEA. The numerical model captured the pre-fracture response of the joint and identified stress-concentration zones at the beam flange-column wall interfaces and the diaphragm-column junction, which coincided with the fracture locations observed in the tests. Although the FE model did not explicitly reproduce tearing or material separation, it successfully reflected the critical stress paths, localized deformation patterns, and the progressive concentration of stresses leading up to failure. These results demonstrate that the proposed FE model reliably captures the essential response characteristics and damage-initiation mechanisms of the tested joints.

4.5. Limitations of This Study

Although the present study provides full-scale experimental data and validated FE models for irregular CFST beam-to-column joints with IIDs, several limitations should be acknowledged:
(1)
The FE models did not incorporate explicit steel fracture, weld damage, or crack-propagation criteria. As a result, the simulations captured only the pre-fracture stress evolution and could not reproduce diaphragm tearing or column-wall rupture.
(2)
Only two full-scale joints were tested, representing one unequal-depth configuration and one staggered-beam configuration. While these tests provide useful insight, a broader specimen matrix is needed to fully generalize the observed behaviors.
(3)
All welds were produced under controlled workshop conditions, but weld penetration, toughness, and variability were not experimentally quantified. As shown in the tests, weld quality significantly influences fracture initiation.

5. Conclusions

This paper experimentally and numerically investigated the seismic performance of irregular-shaped steel-beam-to-CFST column joints incorporating inclined internal diaphragms (IIDs), with unequal-depth beam (UDB) and staggered beam (SB) configurations as representative cases. Two full-scale specimens were tested under cyclic loading, and corresponding FE models were developed and validated against the experimental results. The main findings are summarized as follows:
(1)
The yielding sequence and failure mechanism were identified for both joint types. In both joint specimens, yielding initiated in the panel zone at approximately 1% drift, followed by beam-flange plasticity and eventual diaphragm fracture leading to column-wall tearing. However, the SB joint exhibited a more balanced stress distribution and delayed diaphragm fracture, resulting in improved deformation coordination and stability.
(2)
IDs played an important role in controlling the load transfer path and overall ductility. The diaphragm fracture triggered local column-wall distortion and marked strength degradation. The test results indicated that, even after diaphragm failure, the joints retained approximately 45–60% of their peak strength. However, the residual capacity achievable in practice may vary depending on weld quality, diaphragm thickness, and construction workmanship.
(3)
Stiffness and strength degradation exhibited clear three-stage characteristics, including elastic, yielding, and residual phases. The initial stiffness of both joints was high; after 3% drift, a sudden reduction occurred due to diaphragm fracture, with the residual stiffness maintained at about 20–30% of the initial value. Despite this degradation, the joints sustained stable hysteretic responses, and their average equivalent damping ratios exceeded 0.20 at large drifts, indicating robust energy dissipation capacity.
(4)
Panel-zone shear deformation contributed only a small portion of the total story drift. The maximum panel shear forces reached 1684 kN and 1865 kN for the UDB and SB joints, respectively, with the maximum shear deformation angles of 0.015 rad and 0.009 rad. The panel zones entered plasticity but remained secondary to beam-end rotation in governing overall drift response.
(5)
The FE models captured the key experimental responses within the pre-fracture deformation range, including the overall load-deformation behavior and panel-zone shear response. The simulated hysteretic loops and backbone curves showed good agreement with the test results prior to diaphragm fracture. The models identified the same stress-concentration zones observed in the tests but did not replicate the fracture behavior, capturing only the evolution of stresses up to the onset of failure.
Future work will include post-test sectioning or 3-D CT scanning of the fractured diaphragms to quantitatively assess weld penetration and its influence on failure initiation. In addition, the numerical model will be enhanced by incorporating steel fracture and weld-damage formulations to better capture post-fracture behavior. A comprehensive parametric study will also be conducted to evaluate the effects of key geometric parameters such as diaphragm thickness, beam-to-column flange thickness ratio, column width-to-thickness ratio, beam-depth ratio, and staggered-floor offset. Furthermore, design formulations will be developed to predict the seismic capacity of IID irregular joints and to establish a rational framework for their practical seismic design. Investigating the influence of variable-amplitude loading and corrosion-induced degradation on the long-term performance of such irregular joints also represents an important and promising direction for future research.

Author Contributions

Conceptualization, P.L.; methodology, J.J.; software, J.J.; validation, C.S. and W.J.; formal analysis, C.S. and W.J.; investigation, C.S. and W.J.; resources, C.S., W.W. and W.J.; data curation, P.L. and J.J.; writing—original draft preparation, J.J.; writing—review and editing, P.L., J.J. and W.W.; visualization, J.J.; supervision, W.W.; project administration, P.L.; funding acquisition, P.L., J.J. and W.W. All authors have read and agreed to the published version of the manuscript.

Funding

This work was financially supported by the National Natural Science Foundation of China (NSFC) with Grant No. 52378182 and the Postdoctoral Fellowship Program of CPSF under Grant Number GZC20252127.

Data Availability Statement

The original contributions presented in the study are included in the article, further inquiries can be directed to the corresponding author.

Acknowledgments

The authors would like to express their sincere appreciation to all those who provided assistance during the experimental program.

Conflicts of Interest

Authors Peng Li and Weifeng Jiao were employed by the company China Construction First Group Corporation Limited. Author Chen Shi was employed by the company Pinghu City Construction Investment Corporation Limited. The remaining authors declare that the research was conducted in the absence of any commercial or financial relationships that could be construed as a potential conflict of interest.

Abbreviations

AcronymFull term
CFSTConcrete-filled steel tube
IDInternal diaphragm
UDBUnequal-depth beam
SBStaggered beam
UDSBUnequal-depth steel beam
SSBStaggered steel beam
FEFinite element
IIDInclined internal diaphragm
HSSHollow structural section
TDThrough diaphragm
EDExternal diaphragm
CJPComplete joint penetration
WAHWeld access hole
SDRStory drift ratio
LVDTLinear variable displacement transducer
RPReference point
CDPConcrete damaged plasticity
FEAFinite element analysis

References

  1. Thai, H.T. Beam-to-CFST column joints in steel-concrete composite buildings: A comprehensive review. Structures 2024, 68, 107123. [Google Scholar] [CrossRef]
  2. Morino, S.; Tsuda, K. Design and construction of concrete-filled steel tube column system in Japan. Earthq. Eng. Eng. Seismol. 2003, 4, 51–73. Available online: https://www.ctsee.org.tw/pdf/200310/ee0401-05.pdf (accessed on 11 December 2025).
  3. Nie, J.G.; Qin, K.; Liu, R. Experimental study on seismic behavior of connections composed of concrete filled square steel tubular columns and steel-concrete composite beams with interior diaphragms. J. Build. Struct. 2006, 27, 1–9. [Google Scholar] [CrossRef]
  4. Qin, Y.; Chen, Z.; Wang, X. Experimental investigation of new internal-diaphragm connections to CFT columns under cyclic loading. J. Constr. Steel Res. 2014, 98, 35–44. [Google Scholar] [CrossRef]
  5. Habibi, A.; Fanaie, N.; Shahbazpanahi, S. Experimental and numerical investigation of I-beam to concrete-filled tube (CFT) column moment connections with pipe-stiffened internal diaphragm. J. Constr. Steel Res. 2023, 200, 107648. [Google Scholar] [CrossRef]
  6. Jin, J.; Nagae, T.; Chung, Y.L. Seismic and collapse behavior of existing high-rise steel buildings under long-period earthquakes. J. Constr. Steel Res. 2023, 211, 108151. [Google Scholar] [CrossRef]
  7. Zhang, N.; Jiang, S.; Chen, X.; Bao, L.; Zhou, F.; Zhao, H.; Shi, G. Experimental study on seismic behaviour of thick-flange steel beam to square CFST column joints with internal diaphragms. Eng. Struct. 2024, 319, 118792. [Google Scholar] [CrossRef]
  8. Shi, G.; Zhang, N.; Bao, L.; Chen, X.; Zhou, F.; Jiang, S.; Zhao, H. Experimental investigation on local connection behaviour of thick-flange steel beam to CFST column joints under cyclic loadings. Eng. Struct. 2025, 343, 121206. [Google Scholar] [CrossRef]
  9. Kawano, A.; Matsui, C.; Murai, N. Load-deformation relation models for local deformations in diaphragm-stiffened connections of H-shaped steel beams to rectangular CFT columns. Steel Constr. Eng. 1998, 5, 93–104. [Google Scholar] [CrossRef]
  10. Sasaki, S.; Morita, K.; Teraoka, M.; Okada, T.; Tanaka, K. Study on structural behaviors of concrete filled rectangular tubular steel column-steel beam subassemblage without diaphragms of beam to column connection. J. Struct. Constr. Eng. AIJ 2000, 536, 169–176. [Google Scholar] [CrossRef]
  11. Fukumoto, T.; Morita, K. Connection between concrete-filled square steel tubular column and steel beam reinforced with internal diaphragm: Elasto-plastic behavior of the local connection. J. Struct. Constr. Eng. AIJ 2000, 528, 175–182. [Google Scholar] [CrossRef]
  12. Fukumoto, T.; Taki, M. Local elastic plastic behavior of steel beam to concrete-filled square steel tubular column connections. J. Struct. Constr. Eng. AIJ 2002, 560, 213–220. [Google Scholar] [CrossRef]
  13. Yu, Y.; Lu, X.; Tanaka, K.; Sasaki, S. Experimental study on connection between concrete-filled square tube column and steel beams under tensile loading. Struct. Eng. 1999, 1, 23–28. [Google Scholar] [CrossRef]
  14. Li, Z.; Wang, W.; Chen, Y.; Zhang, Z.; Ding, J. Details improvement and experimental research on steel truss-square CFT column joints in railway station terminal. Build. Struct. 2013, 43, 63–67. [Google Scholar] [CrossRef]
  15. Azizi, H.; Lehner, P.; Eghbali, M.; Ahmadi, J.; Badarloo, B. Performance assessment of novel parallel double-stage yield buckling-restrained braces for seismic hazard mitigation. J. Constr. Steel Res. 2025, 227, 109389. [Google Scholar] [CrossRef]
  16. Hu, F.; Shi, G.; Shi, Y. Experimental study on seismic behavior of high strength steel frames: Global response. Eng. Struct. 2017, 131, 163–197. [Google Scholar] [CrossRef]
  17. Nakao, M.; Osa, H. Study on beam-to-column connections of H-shaped steel strong-axis cruciform columns with unequal beam depths on both sides. Annu. Rep. Kanto Branch Archit. Inst. Jpn. 1984, 97–100. Available online: https://www.aij.or.jp/paper/detail.html?productId=101659 (accessed on 11 December 2025). (In Japanese).
  18. Jordaão, S.; Silva, L.S.; Simoães, R. Behaviour of welded beam-to-column joints with beams of unequal depth. J. Constr. Steel Res. 2013, 91, 42–59. [Google Scholar] [CrossRef]
  19. Imai, K.; Yoshida, Y.; Saijo, M.; Watanabe, T.; Hirano, M. An experimental report on elasto-plastics behaviors of beam-to-column connections with an offset in right and left beam positions. J. Struct. Constr. Eng. AIJ 1991, 425, 27–35. [Google Scholar] [CrossRef]
  20. Kuwahara, S.; Kunitsugu, T. Experimental study on elasto-plastic behaviors of beam-to-column connection panel formed at intersection of one column and two offset beams fixed in parallel with each other. Summ. Tech. Pap. Annu. Meet. AIJ 2008, 1031–1032. Available online: https://www.aij.or.jp/paper/detail.html?productId=220652 (accessed on 11 December 2025). (In Japanese).
  21. Mou, B.; Bai, Y. Experimental investigation on shear behavior of steel beam-to-CFST column connections with irregular panel zone. Eng. Struct. 2018, 168, 487–504. [Google Scholar] [CrossRef]
  22. Peng, S.; Xiong, Z.; Xu, C.; Fei, J.; Chen, X. Research on shear strength of CFSST column and H-section with beam composite joint of unequal depth. J. Constr. Steel Res. 2021, 180, 106575. [Google Scholar] [CrossRef]
  23. Nakao, M.; Osa, H. Research on the behavior of beam-to-column connection between beams of different depths. Summ. Tech. Pap. Annu. Meet. AIJ 1985, 917–918. Available online: https://www.aij.or.jp/paper/detail.html?productId=129093 (accessed on 11 December 2025). (In Japanese).
  24. Osa, H.; Nakao, M. Research on the behavior of beam-to-column connection between beams of different depths, Report 2: Influence of beam depth ratio on restoring force characteristics. Summ. Tech. Pap. Annu. Meet. AIJ 1989, 1195–1196. Available online: https://www.aij.or.jp/paper/detail.html?productId=132120 (accessed on 11 December 2025). (In Japanese).
  25. Tateyama, E.; Inoue, K.; Matsumura, H. Stiffness and moment capacity of H-shaped beam connected to RHS-column without diaphragm at its lower flange level. J. Struct. Constr. Eng. AIJ 1990, 416, 113–123. [Google Scholar] [CrossRef][Green Version]
  26. Kuwahara, S.; Kumano, T.; Inoue, K. The elasto-plastic behaviors of joint panels at the connection of rectangular steel column and two H-shaped beams with different depth. J. Struct. Constr. Eng. AIJ 2000, 533, 175–181. [Google Scholar] [CrossRef] [PubMed]
  27. Xue, J.; Hu, Z.; Peng, X.; Liu, Z. Experimental study on failure mechanism of irregular joints between steel box columns and beams. J. Build. Struct. 2010, 31, 50–54. [Google Scholar] [CrossRef]
  28. Hashemi, B.H.; Jazany, R.A. Study of connection detailing on SMRF seismic behavior for unequal beam depths. J. Constr. Steel Res. 2012, 68, 150–164. [Google Scholar] [CrossRef]
  29. Sui, W.; Zhang, Q.; Wang, Z. Cyclic behaviour of steel irregular tubular column panel zones. Thin-Walled Struct. 2020, 154, 106901. [Google Scholar] [CrossRef]
  30. Mou, B.; Pang, L.; Qiao, Q.; Yang, Y. Experimental investigation of unequal-depth-beam-to-column joints with t-shape connector. Eng. Struct. 2018, 174, 663–674. [Google Scholar] [CrossRef]
  31. Mou, B.; Li, X.; Bai, Y.; Wang, L. Shear behavior of panel zones in steel beam-to-column connections with unequal depth of outer annular stiffener. J. Struct. Eng. ASCE 2019, 145, 04018247. [Google Scholar] [CrossRef]
  32. Sui, W.; Wang, Z.; Li, X. Experimental performance of irregular PZs in CHS column H-shape beam steel frame. J. Constr. Steel Res. 2019, 158, 547–559. [Google Scholar] [CrossRef]
  33. Liu, X.; Xu, C.; Peng, S.; Ni, T. Experimental study on seismic behavior of concrete filled square tubular frame with staggered beam-to-column joints. Structures 2021, 29, 286–293. [Google Scholar] [CrossRef]
  34. Liu, X.; Xu, C.; Peng, S.; Zhou, B. Influence of staggered floor and unequal height of left and right beam on seismic behavior of CFSST column-to-HSS beam composite frames. J. Build. Eng. 2023, 66, 105878. [Google Scholar] [CrossRef]
  35. Doung, P.; Leelataviwat, S.; Sasaki, E. Tensile strength and failure mechanism of internal diaphragms in wide flange beam-to-box column connections with concrete filling. J. Build. Eng. 2021, 34, 102037. [Google Scholar] [CrossRef]
  36. Cho, Y.H.; Wang, F.; Seo, S.Y.; Lee, K.S.; Kim, T.S. Experimental and numerical investigation of through-diaphragm in H-shaped steel beam to CFST column connections. Thin-Walled Struct. 2024, 199, 111852. [Google Scholar] [CrossRef]
  37. Jin, J.; Yan, T.; Nagae, T.; Okazaki, T.; Matsumiya, T.; Takahashi, N. Effect of composite slab and connection detail on cyclic behavior of steel beam-to-HSS column moment connections. J. Build. Eng. 2024, 95, 110254. [Google Scholar] [CrossRef]
  38. Razavi, A.; Tahouni, S.; Tehrani, P. Seismic behavior of external diaphragm connections to concrete-filled steel tube (CFST) columns: A full-scale experimental study. J. Build. Eng. 2025, 112, 113833. [Google Scholar] [CrossRef]
  39. Li, J.; Jin, J.; Yan, T.; Fujiwara, J.; Kajiwara, K.; Kishida, A.; Nishi, R.; Nagae, T.; Asai, T.; Okazaki, T. Bidirectional loading response of column panel zones measured in shake-table tests on a 10-story steel building. J. Struct. Eng. ASCE 2025, 151, 04025050. [Google Scholar] [CrossRef]
  40. GB/T 228.1-2021; Metallic Materials-Tensile Test-Part 1: Method of Test at Room Temperature. Standards Press of China: Beijing, China, 2021. (In Chinese)
  41. ANSI/AISC 341-22; Seismic Provisions for Structural Steel Buildings. American Institute of Steel Construction: Chicago, IL, USA, 2022.
  42. T/CECS 506-2018; Technical Specification for Rectangular Concrete-Filled Steel Tube Joints. Chinese Planning Press: Beijing, China, 2018. (In Chinese)
  43. Architectural Institute of Japan. Recommendation for Design of Connections in Steel Structures; Architectural Institute of Japan: Tokyo, Japan, 2012. (In Japanese) [Google Scholar]
  44. Yan, T.; Chung, Y.L.; Jin, J.; Lin, K.C.; Komatsu, Y.; Nagae, T. Full-scale tests on resilient post-earthquake repair of steel beam-to-column connections. J. Build. Eng. 2025, 108, 112845. [Google Scholar] [CrossRef]
  45. Dassault Systèmes Simulia Corp. Abaqus 6.14 User’s Manual; Dassault Systèmes Simulia Corp.: Providence, RI, USA, 2014. [Google Scholar]
  46. Yang, Q.; Zhao, B.; Liu, B.; Zhao, Z.; Mo, S. Influence of corrosion on loading capacity of circular concrete-filled steel tubular column. J. Constr. Steel Res. 2024, 215, 108564. [Google Scholar] [CrossRef]
  47. Yan, X.; Li, A.; Liu, X.; Wei, X.; Mao, H. Seismic performance of the joint between unequal-depth steel beam and CFDST column. J. Constr. Steel Res. 2025, 225, 109175. [Google Scholar] [CrossRef]
  48. Han, L.H.; Yao, G.H.; Tao, Z. Performance of concrete-filled thin-walled steel tubes under pure torsion. Thin-Walled Struct. 2007, 45, 24–36. [Google Scholar] [CrossRef]
  49. Ban, H.; Zeng, Z.; Chen, Z.; Shi, Y.; Wang, Y. Axial compression behaviour of circular concrete-filled stainless-clad bimetallic steel tubular stub columns. Thin-Walled Struct. 2024, 205, 112468. [Google Scholar] [CrossRef]
  50. Shen, J.; Wang, C.; Jiang, J. Finite Element Analysis of Reinforced Concrete and Limit Analysis of Plate and Shell; Tsinghua University Press: Beijing, China, 1993. (In Chinese) [Google Scholar]
  51. Sidoroff, F. Description of anisotropic damage application to elasticity. In Colloquium on Physical Nonlinearities in Structural Analysis; Springer: Berlin/Heidelberg, Germany, 1981; pp. 237–244. [Google Scholar] [CrossRef]
Figure 1. Irregular steel-beam-to-column joints in practical engineering applications. (a) Unequal-depth steel beam (UDSB) joint. (b) Staggered steel beam (SSB) joint.
Figure 1. Irregular steel-beam-to-column joints in practical engineering applications. (a) Unequal-depth steel beam (UDSB) joint. (b) Staggered steel beam (SSB) joint.
Buildings 15 04514 g001
Figure 2. Traditional horizontal internal diaphragm arrangement in irregular joints. (a) Unequal-depth steel beam (UDSB) joint. (b) Staggered steel beam (SSB) joint.
Figure 2. Traditional horizontal internal diaphragm arrangement in irregular joints. (a) Unequal-depth steel beam (UDSB) joint. (b) Staggered steel beam (SSB) joint.
Buildings 15 04514 g002
Figure 3. Schematic layout of the proposed irregular steel-beam-to-CFST column joints. (a) Unequal-depth steel beam (UDSB) joint. (b) Staggered steel beam (SSB) joint.
Figure 3. Schematic layout of the proposed irregular steel-beam-to-CFST column joints. (a) Unequal-depth steel beam (UDSB) joint. (b) Staggered steel beam (SSB) joint.
Buildings 15 04514 g003
Figure 4. Design details of the specimens (unit: mm). (a) Specimen UDSBJ-IID-1. (b) Specimen SSBJ-IID-1.
Figure 4. Design details of the specimens (unit: mm). (a) Specimen UDSBJ-IID-1. (b) Specimen SSBJ-IID-1.
Buildings 15 04514 g004
Figure 5. Test setup and loading protocol. (a) Test device (unit: mm). (b) Loading protocol.
Figure 5. Test setup and loading protocol. (a) Test device (unit: mm). (b) Loading protocol.
Buildings 15 04514 g005
Figure 6. Instrumentation of strain gauges (unit: mm). (a) Specimen UDSBJ-IID-1. (b) Specimen SSBJ-IID-1.
Figure 6. Instrumentation of strain gauges (unit: mm). (a) Specimen UDSBJ-IID-1. (b) Specimen SSBJ-IID-1.
Buildings 15 04514 g006
Figure 7. Arrangement of displacement transducers. (a) Specimen UDSBJ-IID-1. (b) Specimen SSBJ-IID-1.
Figure 7. Arrangement of displacement transducers. (a) Specimen UDSBJ-IID-1. (b) Specimen SSBJ-IID-1.
Buildings 15 04514 g007
Figure 8. Damage phenomenon of Specimen UDSBJ-IID-1.
Figure 8. Damage phenomenon of Specimen UDSBJ-IID-1.
Buildings 15 04514 g008
Figure 9. Damage phenomenon of Specimen SSBJ-IID-1.
Figure 9. Damage phenomenon of Specimen SSBJ-IID-1.
Buildings 15 04514 g009
Figure 10. Hysteretic curves. (a) Specimen UDSBJ-IID-1. (b) Specimen SSBJ-IID-1.
Figure 10. Hysteretic curves. (a) Specimen UDSBJ-IID-1. (b) Specimen SSBJ-IID-1.
Buildings 15 04514 g010
Figure 11. Skeleton curves. (a) Specimen UDSBJ-IID-1. (b) Specimen SSBJ-IID-1.
Figure 11. Skeleton curves. (a) Specimen UDSBJ-IID-1. (b) Specimen SSBJ-IID-1.
Buildings 15 04514 g011
Figure 12. Degradation of stiffness. (a) Specimen UDSBJ-IID-1. (b) Specimen SSBJ-IID-1.
Figure 12. Degradation of stiffness. (a) Specimen UDSBJ-IID-1. (b) Specimen SSBJ-IID-1.
Buildings 15 04514 g012
Figure 13. Degradation of strength. (a) Specimen UDSBJ-IID-1. (b) Specimen SSBJ-IID-1.
Figure 13. Degradation of strength. (a) Specimen UDSBJ-IID-1. (b) Specimen SSBJ-IID-1.
Buildings 15 04514 g013aBuildings 15 04514 g013b
Figure 14. Definition of equivalent damping ratio.
Figure 14. Definition of equivalent damping ratio.
Buildings 15 04514 g014
Figure 15. Cumulative energy dissipation. (a) Specimen UDSBJ-IID-1. (b) Specimen SSBJ-IID-1.
Figure 15. Cumulative energy dissipation. (a) Specimen UDSBJ-IID-1. (b) Specimen SSBJ-IID-1.
Buildings 15 04514 g015
Figure 16. Equivalent damping ratio. (a) Specimen UDSBJ-IID-1. (b) Specimen SSBJ-IID-1.
Figure 16. Equivalent damping ratio. (a) Specimen UDSBJ-IID-1. (b) Specimen SSBJ-IID-1.
Buildings 15 04514 g016
Figure 17. Force transfer mechanism. (a) UDSB joint. (b) SSB joint.
Figure 17. Force transfer mechanism. (a) UDSB joint. (b) SSB joint.
Buildings 15 04514 g017
Figure 18. Shear behavior of the panel zone. (a) Specimen UDSBJ-IID-1. (b) Specimen SSBJ-IID-1.
Figure 18. Shear behavior of the panel zone. (a) Specimen UDSBJ-IID-1. (b) Specimen SSBJ-IID-1.
Buildings 15 04514 g018
Figure 19. Beam end moment-rotation relationship. (a) Specimen UDSBJ-IID-1. (b) Specimen SSBJ-IID-1.
Figure 19. Beam end moment-rotation relationship. (a) Specimen UDSBJ-IID-1. (b) Specimen SSBJ-IID-1.
Buildings 15 04514 g019
Figure 20. Strain distribution of UDSBJ-IID-1 specimen. (a) Maximum strain of the beam flange. (b) Maximum strain of the beam web. (c) Maximum strain of the column wall. (d) Standardized strain of the panel zone.
Figure 20. Strain distribution of UDSBJ-IID-1 specimen. (a) Maximum strain of the beam flange. (b) Maximum strain of the beam web. (c) Maximum strain of the column wall. (d) Standardized strain of the panel zone.
Buildings 15 04514 g020
Figure 21. Strain distribution of SSBJ-IID-1 specimen. (a) Maximum strain of the beam flange. (b) Maximum strain of the beam web. (c) Maximum strain of the column wall. (d) Standardized strain of the panel zone.
Figure 21. Strain distribution of SSBJ-IID-1 specimen. (a) Maximum strain of the beam flange. (b) Maximum strain of the beam web. (c) Maximum strain of the column wall. (d) Standardized strain of the panel zone.
Buildings 15 04514 g021
Figure 22. A schematic view of the FE model (UDSBJ-IID-1 specimen).
Figure 22. A schematic view of the FE model (UDSBJ-IID-1 specimen).
Buildings 15 04514 g022
Figure 23. Steel constitutive model.
Figure 23. Steel constitutive model.
Buildings 15 04514 g023
Figure 24. Hysteretic curves of test specimens and FE models. (a) Specimen UDSBJ-IID-1. (b) Specimen SSBJ-IID-1.
Figure 24. Hysteretic curves of test specimens and FE models. (a) Specimen UDSBJ-IID-1. (b) Specimen SSBJ-IID-1.
Buildings 15 04514 g024aBuildings 15 04514 g024b
Figure 25. Skeleton curves of test specimens and FE models. (a) Specimen UDSBJ-IID-1. (b) Specimen SSBJ-IID-1.
Figure 25. Skeleton curves of test specimens and FE models. (a) Specimen UDSBJ-IID-1. (b) Specimen SSBJ-IID-1.
Buildings 15 04514 g025
Figure 26. Panel zone shear behavior of test specimens and FE models. (a) Specimen UDSBJ-IID-1. (b) Specimen SSBJ-IID-1.
Figure 26. Panel zone shear behavior of test specimens and FE models. (a) Specimen UDSBJ-IID-1. (b) Specimen SSBJ-IID-1.
Buildings 15 04514 g026
Figure 27. Failure modes of test specimens and FE models. (a) Specimen UDSBJ-IID-1. (b) Specimen SSBJ-IID-1.
Figure 27. Failure modes of test specimens and FE models. (a) Specimen UDSBJ-IID-1. (b) Specimen SSBJ-IID-1.
Buildings 15 04514 g027aBuildings 15 04514 g027b
Table 1. Geometric properties of the specimens.
Table 1. Geometric properties of the specimens.
SpecimenColumn (mm)Beam 1 (mm)Beam 2 (mm)ηbcH2/H1 H (mm)
UDSBJ-IID-1□-300 × 300 × 10H-294 × 200 × 8 × 12H-244 × 175 × 8 × 121.20.83-
SSBJ-IID-1□-300 × 300 × 10H-244 × 175 × 8 × 12H-244 × 175 × 8 × 121.2-50
Table 2. Material properties of steel members.
Table 2. Material properties of steel members.
Parttp (mm)Es (MPa)fy (MPa)CoV(fy)fu (MPa)CoV(fu)A (%)Z (%)
HSS column10205,2983620.0105350.00867.737.4
Beam flange (Beam 1)12206,5533620.0075150.00470.438.6
Beam web (Beam 1)8201,0123550.0025050.00370.243.7
Beam flange (Beam 2)12200,2893610.0105090.00170.838.5
Beam web (Beam 2)8204,3393570.0065080.00570.344.3
Internal diaphragm12198,3283620.0035110.00470.737.9
Note: tp is the thickness of steel plate, Es is the Young’s modulus, fy is the yield strength, fu is the ultimate tensile strength, CoV(fy) and CoV(fu) are the coefficients of variation for fy and fu, A is the yield ratio, and Z is the elongation ratio.
Table 3. Parameters for the CDP model.
Table 3. Parameters for the CDP model.
Ψefb0/fcoKViscosity Parameter
Value350.11.160.6670.05
Note: ψ is the dilation angle; e is the flow potential eccentricity; The ratio fb0/fco is the biaxial to uniaxial compressive strength ratio; K is a parameter associated with the yield surface shape.
Disclaimer/Publisher’s Note: The statements, opinions and data contained in all publications are solely those of the individual author(s) and contributor(s) and not of MDPI and/or the editor(s). MDPI and/or the editor(s) disclaim responsibility for any injury to people or property resulting from any ideas, methods, instructions or products referred to in the content.

Share and Cite

MDPI and ACS Style

Li, P.; Jin, J.; Shi, C.; Wang, W.; Jiao, W. Experimental Study on Seismic Behavior of Irregular-Shaped Steel-Beam-to-CFST Column Joints with Inclined Internal Diaphragms. Buildings 2025, 15, 4514. https://doi.org/10.3390/buildings15244514

AMA Style

Li P, Jin J, Shi C, Wang W, Jiao W. Experimental Study on Seismic Behavior of Irregular-Shaped Steel-Beam-to-CFST Column Joints with Inclined Internal Diaphragms. Buildings. 2025; 15(24):4514. https://doi.org/10.3390/buildings15244514

Chicago/Turabian Style

Li, Peng, Jialiang Jin, Chen Shi, Wei Wang, and Weifeng Jiao. 2025. "Experimental Study on Seismic Behavior of Irregular-Shaped Steel-Beam-to-CFST Column Joints with Inclined Internal Diaphragms" Buildings 15, no. 24: 4514. https://doi.org/10.3390/buildings15244514

APA Style

Li, P., Jin, J., Shi, C., Wang, W., & Jiao, W. (2025). Experimental Study on Seismic Behavior of Irregular-Shaped Steel-Beam-to-CFST Column Joints with Inclined Internal Diaphragms. Buildings, 15(24), 4514. https://doi.org/10.3390/buildings15244514

Note that from the first issue of 2016, this journal uses article numbers instead of page numbers. See further details here.

Article Metrics

Back to TopTop