MPIF in E-Commerce Recommendation: Application of Multi-Pairwise Ranking with Heterogeneous Implicit Feedback
Abstract
1. Introduction
- Addressing the issue of sparse purchase data and the underutilization of auxiliary behaviors such as browsing and adding-to-cart in e-commerce scenarios, this research proposes series-pairwise assumptions to introduce heterogeneous implicit feedback, which effectively alleviates the data sparsity problem and enhances the performance of recommendation systems.
- This research proposes multi-pairwise assumptions to address the deficiencies of series-pairwise assumptions, which effectively enhances the performance of recommendations. This research also introduces and improves upon the PopRank method to acquire auxiliary information, which fully leverages heterogeneous implicit feedback. This further enhances the performance of recommendation systems.
- Experiments were conducted on three real-world e-commerce datasets, Sobazaar, Retailrocket, and REES46, to validate the effectiveness of MPIF across e-commerce scenarios of different scales and types, and the method achieved superior performance compared with the state-of-the-art recommendation algorithms, providing a more reliable and effective personalized recommendation solution for practical e-commerce platforms.
2. Related Work
2.1. BPR Class Algorithms
2.2. Other Recommendation Algorithms
3. Method
3.1. Pairwise Assumption
3.1.1. Series Pairwise Assumption
3.1.2. Multi-Pairwise Assumption
3.1.3. Generation of Auxiliary Information
3.2. Model Learning
| Algorithm 1 MPIF |
| 1: Initialization: |
| 2: Initialize; |
| 3: for user u∈U do |
| 4: Derive according to the target action; |
| 5: Derive according to the view action; |
| 6: Derive according to the cart action; |
| 7: Derive according to the auxiliary information; |
| 8: Derive ; |
| 9: end for; |
| 10: Optimization: |
| 11: for = 1, …, T do |
| 12: for = 1, …, n do |
| 13: Sample item set i, v, c, j and k from , , , , , respectively; |
| 14: Calculate the gradients; |
| 15: Update the model parameters; |
| 16: end for |
| 17: end for |
3.3. Sampling Strategy
- Negative feedback handling: For each user u, negative samples are drawn from two subsets, disliked items () and unknown items (), with a ratio of 1:3 (:)—this reduces noise from mislabeled negative samples.
- Class imbalance mitigation: This research adopts oversampling for rare auxiliary–target pairs (e.g., cart–buy pairs in Sobazaar) and undersampling for frequent non-preference pairs, maintaining a total sample pair size of 500 per user per iteration.
- Pair ratio setting: The sampling ratios of the six pairwise preferences (as shown in Equation (7)) are set equally (1/6 each) to ensure balanced learning of all preference relationships, verified via cross-validation to avoid bias toward dominant pairs.
4. Experiments
4.1. Datasets and Evaluation Metrics
4.2. Baselines and Parameter Settings
- WRMF [8]: A point-wise recommendation model optimized via the weighted alternating least squares (wALS) optimization strategy. We include it as a representative of early, highly influential point-wise approaches.
- eALS [27]: An efficient point-wise method that leverages element alternating least squares for fast optimization. It is chosen to compare MPIF+ against a computationally efficient point-wise baseline.
- BPR [12]: A seminal pairwise ranking algorithm that is widely used and effective for implicit feedback-based personalized recommendation. It serves as the primary baseline to demonstrate the necessity of moving beyond its single-feedback, binary-preference assumption.
- SDBPR [7]: A Bayesian recommendation approach that introduces view data to improve the ranking performance. This baseline is crucial for validating our core idea of incorporating heterogeneous feedback, albeit in a less structured way than MPIF.
- MSBPR [10]: A multi-pairwise preference and similarity-based BPR method, which considers item similarity in pairwise ranking. We compare against it to show the benefits of our multi-pairwise preference structure over similarity-based enhancements.
- G-UBS [16]: A group-aware robust implicit feedback interpretation method, which reduces noise in implicit feedback via group analysis. It is included to demonstrate that explicitly modeling the hierarchical structure of feedback, as in MPIF+, is more effective than general noise-reduction techniques for multi-behavior data.
- LightGCN [20]: A state-of-the-art GCN-based recommender that simplifies graph convolution by removing feature transformation and nonlinear activation, focusing solely on neighborhood aggregation. It serves as a strong representative of modern graph-based collaborative filtering methods.
- : only considers view.
- : only considers cart.
- MPIF: considers the view and cart.
- MPIF+: considers the view, cart and auxiliary information.
4.3. Performance Comparison
4.4. Discussion of Experimental Results
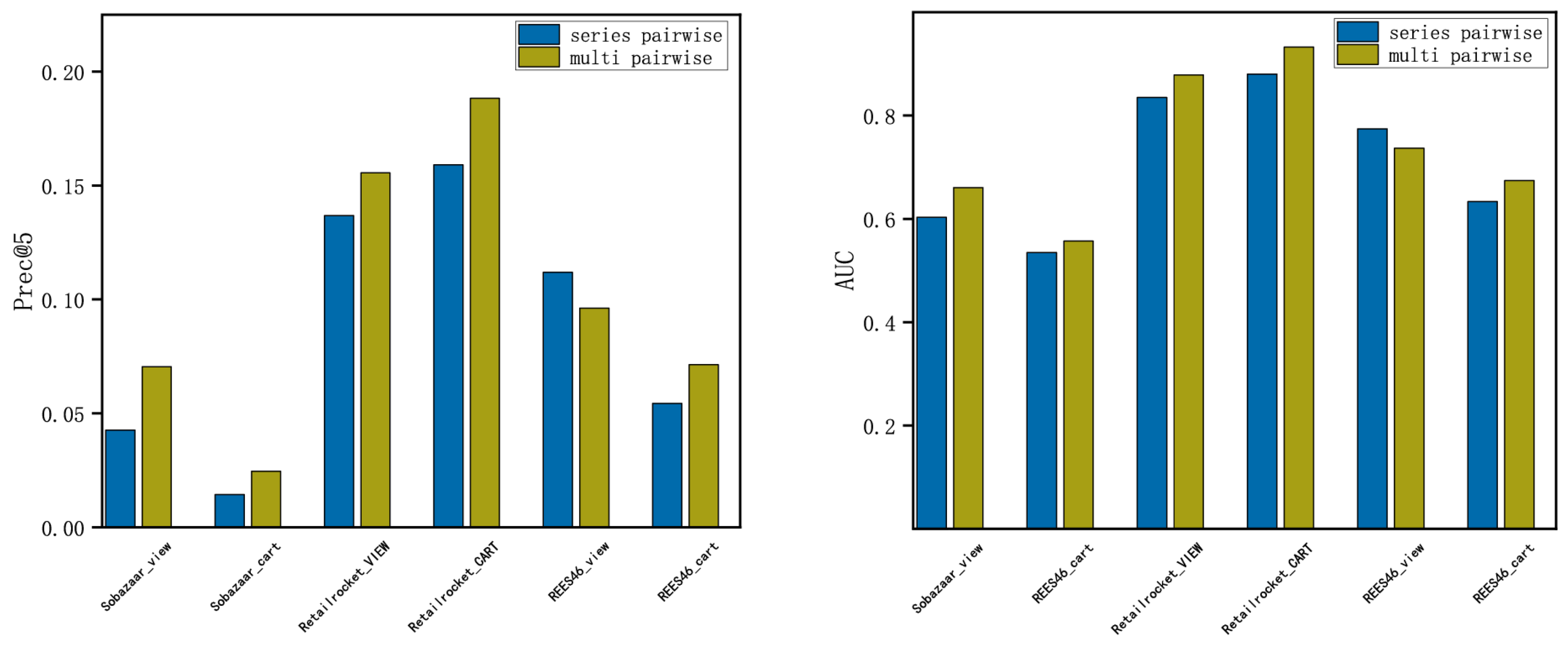
4.4.1. Results of Series Pairwise Assumption
4.4.2. Results of Multi-Pairwise Assumption
4.4.3. Results of MPIF Variants
- MPIF performs better than MPIF_view and MPIF_cart on all datasets, and the results demonstrate that a reasonable combination of multiple implicit feedback types can help improve recommendation performance.
- MPIF+ beats all other MPIF variants. MPIF+ achieves performance gain over MPIF mainly from two aspects: adding increases the true-negative sample proportion from 40% to 70%, enabling more accurate latent representation learning, and adding three extra pairwise preferences enriches training signals and strengthens the model’s ability to distinguish items. Further verification shows that on sparser datasets (e.g., Sobazaar), MPIF+ outperforms MPIF more significantly (+16.2% NDCG@5) than on denser datasets (e.g., Retailrocket, +2.0%), confirming ’s greater impact in sparse scenarios with severe negative sample noise. This fully proves the necessity of mining disliked items from unobserved items.
4.4.4. Parameter Sensitivity Analysis
- The method performs better when is smaller. As the value of becomes larger, the performance of our models becomes stable. A smaller value of leads to superior performance of our method. When grows larger, the overall performance of the model tends to converge and stabilize.
- Moreover, exhibits different sensitivities with respect to different metrics. From Figure 5, it can be observed that the NDCG@5 curve drops most sharply in Retailrocket, whereas the remaining metrics show more stable trends.
- There exists a positive correlation between the latent dimension d and the overall performance of our method. Specifically, a larger d leads to better performance, yet the performance gradually plateaus once d reaches a sufficiently large value. Meanwhile, choosing an overly large d will introduce heavy computational costs and reduce efficiency.
- Different datasets exhibit distinct levels of sensitivity to the choice of d. As illustrated in Figure 6, the overall trend on Retailrocket fluctuates much more obviously than that on the remaining datasets, demonstrating that the influence of d varies in magnitude across different data scenarios.
- A positive correlation exists between N and the recommendation performance: larger N leads to better performance, which plateaus and stabilizes when N is large enough.
- Moreover, the sensitivity to N differs across datasets. From Figure 7, it can be observed that the overall change in Retailrocket is far more significant than that on other datasets, reflecting the varying degrees of influence exerted by parameter N.
- MPIF+ performance is optimal. As N becomes larger, the performance of MPIF+ remains optimal.
4.4.5. Ablation Study
4.5. Runtime Analysis
- WRMF requires the longest execution time compared with other competing methods, and its effectiveness is worse than some pairwise methods. Therefore, the pairwise method is superior to the point-wise method.
- MPIF requires longer execution time compared with other competing methods in certain situations. However, considering the improvement of our methods, the extra time consumed is still worthwhile.
5. Conclusions and Future Work
Author Contributions
Funding
Data Availability Statement
Conflicts of Interest
Abbreviations
| OCCF | One-Class Collaborative Filtering |
| BPR | Bayesian Personalized Ranking |
| MPIF | Multi-pairwise Ranking with Heterogeneous Implicit Feedback |
| SGD | Stochastic Gradient Descent |
| NDCG@5 | Normalized Discounted Cumulative Gain at 5 |
| Prec@5 | Precision at 5 |
| Rec@5 | Recall at 5 |
| AUC | Area Under the Curve |
References
- Lu, J.; Wu, D.S.; Mao, M.S.; Wang, W.; Zhang, G.Q. Recommender system application developments: A survey. Decis. Support Syst. 2015, 74, 12–32. [Google Scholar] [CrossRef]
- Sun, Z.; Guo, G.B.; Zhang, J. Exploiting implicit item relationships for recommender systems. In User Modeling, Adaptation and Personalization, Proceedings of the UMAP 2015, Dublin, Ireland, 29 June–3 July 2015; Proceedings 23; Springer: Berlin/Heidelberg, Germany, 2015; pp. 252–264. [Google Scholar] [CrossRef]
- Koren, Y.; Rendle, S.; Bell, R. Advances in collaborative filtering. In Recommender Systems Handbook; Springer: Berlin/Heidelberg, Germany, 2021; pp. 91–142. [Google Scholar] [CrossRef]
- Ma, W.; Pan, W.; Ming, Z. SCF: Structured collaborative filtering with heterogeneous implicit feedback. Knowl.-Based Syst. 2022, 258, 109999. [Google Scholar] [CrossRef]
- Zeng, W.; Qin, J.; Wei, C. Neural Collaborative Autoencoder for Recommendation With Co-Occurrence Embedding. IEEE Access 2021, 9, 163316–163324. [Google Scholar] [CrossRef]
- Núñez-Valdez, E.R.; Quintana, D.; Crespo, R.G.; Isasi, P.; Herrera-Viedma, E. A recommender system based on implicit feedback for selective dissemination of ebooks. Inf. Sci. 2018, 467, 87–98. [Google Scholar] [CrossRef]
- Ding, J.T.; Yu, G.H.; He, X.N.; Feng, F.; Li, Y.; Jin, D.P. Sampler design for bayesian personalized ranking by leveraging view data. IEEE Trans. Knowl. Data Eng. 2019, 33, 667–681. [Google Scholar] [CrossRef]
- Hu, Y.F.; Koren, Y.; Volinsky, C. Collaborative filtering for implicit feedback datasets. In ICDM ’08: Proceedings of the 2008 Eighth IEEE International Conference on Data Mining; IEEE: Washington, DC, USA, 2008; pp. 263–272. [Google Scholar] [CrossRef]
- He, M.K.; Pan, W.K.; Ming, Z. BAR: Behavior-aware recommendation for sequential heterogeneous one-class collaborative filtering. Inf. Sci. 2022, 608, 881–899. [Google Scholar] [CrossRef]
- Zeng, L.; Guan, J.W.; Chen, B.L. MSBPR: A multi-pairwise preference and similarity based Bayesian personalized ranking method for recommendation. Knowl.-Based Syst. 2023, 260, 110165. [Google Scholar] [CrossRef]
- Yu, R.L.; Liu, Q.; Ye, Y.Y.; Cheng, M.Y.; Chen, E.H.; Ma, J.H. Collaborative list-and-pairwise filtering from implicit feedback. IEEE Trans. Knowl. Data Eng. 2020, 34, 2667–2680. [Google Scholar] [CrossRef]
- Rendle, S.; Freudenthaler, C.; Gantner, Z.; Schmidt-Thieme, L. BPR: Bayesian personalized ranking from implicit feedback. UAI 2012, 12, 452–461. [Google Scholar] [CrossRef]
- Wang, J.; Lin, L.F.; Zhang, H.; Tu, J.Q. Confidence-learning based collaborative filtering with heterogeneous implicit feedbacks. In Proceedings of the APWeb 2016, Suzhou, China, 23–25 September 2016; Proceedings, Part I; Springer: Berlin/Heidelberg, Germany, 2016; pp. 444–455. [Google Scholar] [CrossRef]
- Jin, B.; Gao, C.; He, X.; Jin, D.; Li, Y. Multi-behavior recommendation with graph convolutional networks. In Proceedings of the SIGIR ’20: Proceedings of the 43rd International ACM SIGIR Conference on Research and Development in Information Retrieval, Virtual Event, 25–30 July 2020; ACM: New York, NY, USA, 2020; pp. 659–668. [Google Scholar] [CrossRef]
- He, T.; Xie, M.; Li, R.; Xu, X.; Yu, J.; Wang, Z.; Hu, L.; Li, H.; Gai, K. An end-to-end multi-objective ensemble ranking framework for video recommendation. In Proceedings of the RecSys 2025, Prague, Czech Republic, 22–26 September 2025; ACM: New York, NY, USA, 2025; pp. 189–198. [Google Scholar] [CrossRef]
- Chen, B.; Chen, S.; Yue, Z.; Yan, K.; Yu, C.; Kong, B.; Lei, C.; Zhuo, C.; Li, Z.; Wang, Y. G-UBS: Towards Robust Understanding of Implicit Feedback via Group-Aware User Behavior Simulation. arXiv 2025, arXiv:2508.05709. [Google Scholar] [CrossRef]
- Liu, J.R.; Yang, Z.; Li, T.; Wu, D.; Wang, R.Y. SPR: Similarity pairwise ranking for personalized recommendation. Knowl.-Based Syst. 2022, 239, 107828. [Google Scholar] [CrossRef]
- Zhang, Q.; Ren, F. Prior-based bayesian pairwise ranking for one-class collaborative filtering. Neurocomputing 2021, 440, 365–374. [Google Scholar] [CrossRef]
- Zheng, J.C.; Wang, H.J. FSBPR: A novel approach to improving BPR for recommendation with the fusion of similarity. J. Supercomput. 2024, 80, 12003–12020. [Google Scholar] [CrossRef]
- He, X.N.; Deng, K.; Wang, X.; Li, Y.; Zhang, Y.D.; Wang, M. LightGCN: Simplifying and Powering Graph Convolution Network for Recommendation. In Proceedings of the 43rd International ACM SIGIR Conference on Research and Development in Information Retrieval (SIGIR ’20); Association for Computing Machinery: New York, NY, USA, 2020; pp. 639–648. [Google Scholar] [CrossRef]
- Xia, L.H.; Huang, C.; Xu, Y.; Dai, P.; Zhang, X.Y.; Yang, H.S.; Pei, J.; Bo, L.F. Knowledge-Enhanced Hierarchical Graph Transformer Network for Multi-Behavior Recommendation. In AAAI Conference on Artificial Intelligence. 2021. Available online: https://api.semanticscholar.org/CorpusID:235306149 (accessed on 10 August 2025).
- Zheng, Y.; Gao, C.; Li, X.; He, X.N.; Jin, D.P.; Li, Y. Disentangling User Interest and Conformity for Recommendation with Causal Embedding. In Proceedings of the Web Conference 2021; 2021. Available online: https://api.semanticscholar.org/CorpusID:231984619 (accessed on 12 August 2025).
- Su, J.; Chen, C.; Lin, Z.; Li, X.; Liu, W.; Zheng, X. Personalized Behavior-Aware Transformer for Multi-Behavior Sequential Recommendation. In Proceedings of the 31st ACM International Conference on Multimedia; ACM: New York, NY, USA, 2023; pp. 6321–6331. [Google Scholar] [CrossRef]
- Fan, C.; Gao, C.; Shi, W.; Gong, Y.; Zhao, Z.; Feng, F. Fine-grained list-wise alignment for generative medication recommendation. In Neural Information Processing Systems (NeurIPS 2025, Vancouver, Canada); NeurIPS Foundation: San Diego, CA, USA, 2025; pp. 2103–2114. [Google Scholar] [CrossRef]
- Nguyen, H.T.; Almenningen, T.; Havig, M.; Schistad, H.; Kofod-Petersen, A.; Langseth, H.; Ramampiaro, H. Learning to rank for personalised fashion recommender systems via implicit feedback. In Mining Intelligence and Knowledge Exploration, MIKE 2014, Cork, Ireland, 10–12 December 2014; Springer: Berlin/Heidelberg, Germany, 2014; pp. 51–61. [Google Scholar] [CrossRef]
- Kechinov, M. ECommerce Behavior Data from Multi Category Store. 2019; Kaggle Datasets. Available online: https://github.com/almasfathinirbah/RFM-Analysis-of-eCommerce-Behavior-Data-with-Python (accessed on 6 October 2025).
- He, X.N.; Zhang, H.W.; Kan, M.-Y.; Chua, T.-S. Fast matrix factorization for online recommendation with implicit feedback. In ACM International Conference on Research and Development in Information Retrieval (SIGIR 2016); ACM: New York, NY, USA, 2016; pp. 549–558. [Google Scholar] [CrossRef]








| Datasets | View and Buy | Cart and Buy |
|---|---|---|
| Sobazaar | 10% | 4.9% |
| Retailrocket | 29% | 88% |
| REES46 | 27% | 88% |
| Datasets | User | Item | Purchase | View | Cart |
|---|---|---|---|---|---|
| Sobazaar | 4712 | 7015 | 18,267 | 97,010 | 154,132 |
| Retailrocket | 11,719 | 12,025 | 22,457 | 122,561 | 24,963 |
| REES46 | 49,314 | 12,203 | 73,778 | 544,349 | 42,486 |
| Datasets | Method | NDCG@5 | Pre@5 | Rec@5 | AUC |
|---|---|---|---|---|---|
| BPR | 0.0065 | 0.0032 | 0.0084 | 0.5077 | |
| WRMF | 0.0138 | 0.0055 | 0.0177 | 0.5137 | |
| eALS | 0.0165 | 0.0068 | 0.0230 | 0.5158 | |
| MSBPR | 0.1820 | 0.0590 | 0.2517 | 0.6324 | |
| Sobazaar | LightGCN | 0.1988 | 0.0632 | 0.2705 | 0.6476 |
| SDBPR | 0.2012 | 0.0653 | 0.2823 | 0.6520 | |
| G-UBS | 0.2035 | 0.0667 | 0.2850 | 0.6582 | |
| MPIF | 0.2350 | 0.0753 | 0.3139 | 0.6732 | |
| MPIF+ | 0.2730 | 0.0873 | 0.3643 | 0.6996 | |
| BPR | 0.0137 | 0.0037 | 0.0158 | 0.5091 | |
| WRMF | 0.0110 | 0.0032 | 0.0120 | 0.5079 | |
| eALS | 0.0125 | 0.0040 | 0.0142 | 0.5098 | |
| SDBPR | 0.6417 | 0.1550 | 0.7385 | 0.8766 | |
| Retailrocket | G-UBS | 0.6501 | 0.1680 | 0.7723 | 0.8784 |
| LightGCN | 0.7798 | 0.1876 | 0.8433 | 0.9396 | |
| MSBPR | 0.8156 | 0.1921 | 0.8856 | 0.9494 | |
| MPIF | 0.8434 | 0.1997 | 0.9041 | 0.9624 | |
| MPIF+ | 0.8606 | 0.2016 | 0.9160 | 0.9676 | |
| BPR | 0.0185 | 0.0062 | 0.0273 | 0.5151 | |
| WRMF | 0.0347 | 0.0138 | 0.0657 | 0.5342 | |
| eALS | 0.0378 | 0.0146 | 0.0693 | 0.5364 | |
| SDBPR | 0.3955 | 0.0968 | 0.4721 | 0.7388 | |
| REES46 | MSBPR | 0.4156 | 0.1049 | 0.5039 | 0.7464 |
| LightGCN | 0.4188 | 0.1063 | 0.5244 | 0.7600 | |
| G-UBS | 0.4188 | 0.1082 | 0.5265 | 0.7609 | |
| MPIF | 0.4216 | 0.1112 | 0.5360 | 0.7735 | |
| MPIF+ | 0.5605 | 0.1431 | 0.6891 | 0.8500 |
| Datasets | Method | NDCG@5 | Pre@5 | Rec@5 | AUC |
|---|---|---|---|---|---|
| Sobazaar | MPIF_view | 0.2110 | 0.0705 | 0.2959 | 0.6606 |
| MPIF_cart | 0.0717 | 0.0246 | 0.0938 | 0.5570 | |
| MPIF | 0.2350 | 0.0753 | 0.3139 | 0.6732 | |
| MPIF+ | 0.2730 | 0.0873 | 0.3643 | 0.6996 | |
| Retailrocket | MPIF_view | 0.6500 | 0.1556 | 0.7409 | 0.8787 |
| MPIF_cart | 0.8144 | 0.1883 | 0.8431 | 0.9328 | |
| MPIF | 0.8434 | 0.1997 | 0.9041 | 0.9624 | |
| MPIF+ | 0.8606 | 0.2016 | 0.9160 | 0.9676 | |
| REES46 | MPIF_view | 0.3402 | 0.0962 | 0.4642 | 0.7371 |
| MPIF_cart | 0.3169 | 0.0714 | 0.3378 | 0.6741 | |
| MPIF | 0.4216 | 0.1112 | 0.5360 | 0.7735 | |
| MPIF+ | 0.5605 | 0.1431 | 0.6891 | 0.8500 |
| Method | NDCG@5 | Pre@5 | Rec@5 | AUC |
|---|---|---|---|---|
| MPIF+-S | 0.2158 | 0.0684 | 0.2921 | 0.6510 |
| MPIF+-M | 0.2481 | 0.0794 | 0.3312 | 0.6827 |
| MPIF+-NoD | 0.2326 | 0.0740 | 0.3096 | 0.6701 |
| MPIF+ (Full) | 0.2730 | 0.0873 | 0.3643 | 0.6996 |
| Method | Sobazaar | Retailrocket | REES46 |
|---|---|---|---|
| BPR | 7 | 12 | 51 |
| CoFiSet | 34 | 43 | 197 |
| GBPR | 60 | 88 | 365 |
| WRMF | 182 | 415 | 2115 |
| eALS | 155 | 519 | 779 |
| SDBPR | 11 | 16 | 72 |
| MSBPR | 13 | 21 | 89 |
| G-UBS | 58 | 85 | 352 |
| MPIF | 14 | 19 | 72 |
| MPIF+ | 3/30 | 4/44 | 23/233 |
Disclaimer/Publisher’s Note: The statements, opinions and data contained in all publications are solely those of the individual author(s) and contributor(s) and not of MDPI and/or the editor(s). MDPI and/or the editor(s) disclaim responsibility for any injury to people or property resulting from any ideas, methods, instructions or products referred to in the content. |
© 2026 by the authors. Licensee MDPI, Basel, Switzerland. This article is an open access article distributed under the terms and conditions of the Creative Commons Attribution (CC BY) license.
Share and Cite
Chen, C.; Wang, H.; Liu, L.; Qin, P.; Ma, S.; Cheng, M. MPIF in E-Commerce Recommendation: Application of Multi-Pairwise Ranking with Heterogeneous Implicit Feedback. Electronics 2026, 15, 985. https://doi.org/10.3390/electronics15050985
Chen C, Wang H, Liu L, Qin P, Ma S, Cheng M. MPIF in E-Commerce Recommendation: Application of Multi-Pairwise Ranking with Heterogeneous Implicit Feedback. Electronics. 2026; 15(5):985. https://doi.org/10.3390/electronics15050985
Chicago/Turabian StyleChen, Cui, Hongjuan Wang, Long Liu, Peijun Qin, Siyuan Ma, and Mingzhi Cheng. 2026. "MPIF in E-Commerce Recommendation: Application of Multi-Pairwise Ranking with Heterogeneous Implicit Feedback" Electronics 15, no. 5: 985. https://doi.org/10.3390/electronics15050985
APA StyleChen, C., Wang, H., Liu, L., Qin, P., Ma, S., & Cheng, M. (2026). MPIF in E-Commerce Recommendation: Application of Multi-Pairwise Ranking with Heterogeneous Implicit Feedback. Electronics, 15(5), 985. https://doi.org/10.3390/electronics15050985

