Sign in to use this feature.

Years

Between: -

Subjects

remove_circle_outline
remove_circle_outline
remove_circle_outline
remove_circle_outline
remove_circle_outline
remove_circle_outline
remove_circle_outline
remove_circle_outline
remove_circle_outline

Journals

remove_circle_outline
remove_circle_outline
remove_circle_outline
remove_circle_outline

Article Types

Countries / Regions

remove_circle_outline
remove_circle_outline
remove_circle_outline
remove_circle_outline

Search Results (325)

Search Parameters:
Keywords = microbial proteases

Order results
Result details
Results per page
Select all
Export citation of selected articles as:
20 pages, 1793 KB  
Article
From Charcuterie to Plant-Based: Harnessing Penicillium nalgiovense for Innovative Soybean Co-Culture Fermentation
by Xin Hui Chin, Ryan Soh, Geraldine Chan, Pnelope Ng, Aaron Thong, Hosam Elhalis, Yoganathan Kanagasundaram, Yvonne Chow and Shao Quan Liu
Foods 2026, 15(6), 1053; https://doi.org/10.3390/foods15061053 - 17 Mar 2026
Viewed by 171
Abstract
Improving the flavour of soybean-based ingredients remains challenging as soybeans naturally contain compounds that generate green and beany notes. This study evaluated how the surface-growing food-grade fungus Penicillium nalgiovense (PN), alone and together with selected yeasts and lactic acid bacteria, alters the chemistry [...] Read more.
Improving the flavour of soybean-based ingredients remains challenging as soybeans naturally contain compounds that generate green and beany notes. This study evaluated how the surface-growing food-grade fungus Penicillium nalgiovense (PN), alone and together with selected yeasts and lactic acid bacteria, alters the chemistry and sensory attributes of soybeans during solid-state fermentation. PN showed strong proteolytic activity in the monoculture fermentation, producing the highest accumulation of free amino acids (1324 mg/100 g), while its combination with Lactiplantibacillus plantarum (LP) further increased this to 1487 mg/100 g due to acid-assisted protease action. Sugar and organic acid profiles reflected distinct metabolic roles among the strains; for example, PNLP and PN-Debaryomyces hansenii (DH) depleted sucrose and glucose completely by 72 h, whereas DH retained substantial sucrose. Fermentation also altered the lipid profiles, where PN-Kluyveromyces marxianus (KM) showed the highest increase in polyunsaturated fatty acids, with linoleic and α-linolenic acid increasing more than twofold and threefold, respectively. Volatile analysis showed a significant decrease in hexanal (from 18.3 µg/g in control to <2.0 µg/g post fermentation) and an increase in esters, floral alcohols, and savoury compounds depending on the microbial pairing. Electronic tongue profiling showed that PN-fermented samples produced the strongest savoury taste signals. Overall, the work highlights how specific PN-yeast or PN-LAB combinations can be used to modulate flavour development in fermented soy-based substrates. Full article
(This article belongs to the Special Issue Soybean and Human Nutrition)
Show Figures

Graphical abstract

19 pages, 1945 KB  
Article
Functional Feed Additives Promote Recovery from Runting and Stunting Syndrome in Apostichopus japonicus: Links Between Growth Traits, Digestive Function, and the Gut Microbiome
by Xinyue Hu, Chongyang Wang, Anqi Wang and Guangyu Wang
Fishes 2026, 11(3), 173; https://doi.org/10.3390/fishes11030173 - 16 Mar 2026
Viewed by 150
Abstract
Runting and stunting syndrome (RSS) has been reported worldwide in commercial aquaculture and is frequently observed in juvenile-rearing ponds of Apostichopus japonicus. The objective of this study was to use commercially cultured A. japonicus naturally affected by RSS under high-density culture conditions [...] Read more.
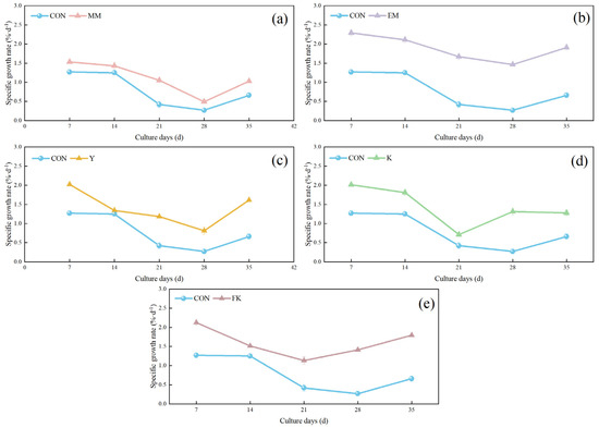
Runting and stunting syndrome (RSS) has been reported worldwide in commercial aquaculture and is frequently observed in juvenile-rearing ponds of Apostichopus japonicus. The objective of this study was to use commercially cultured A. japonicus naturally affected by RSS under high-density culture conditions as the study subjects. Different nutritional additive treatments, including marine mud, effective microorganisms (EM; photosynthetic bacteria, lactic acid bacteria, yeasts, and actinomycetes), yeast, kelp powder, and fermented kelp powder, were applied, and growth performance during recovery, the activities of intestinal digestive enzymes (protease, alginate lyase and cellulase), and heterotrophic bacterial counts were systematically evaluated. The results showed that the recovery rate of RSS in A. japonicus decreased in the following order: the EM group (90.91 ± 1.15%), the fermented kelp group (90.91 ± 4.96%), the yeast group (81.82 ± 5.99%), the kelp group (72.73 ± 1.35%), the marine mud group (63.64 ± 1.41%), and the control group (54.55 ± 1.47%). Moreover, increased intestinal digestive enzyme activities, elevated heterotrophic bacterial counts, and a reduced relative abundance of Vibrio were identified as key factors associated with RSS recovery in A. japonicus, with the EM and fermented kelp groups showing the most pronounced effects. High-throughput sequencing further revealed that nutritional additive treatments differed in their effects on the intestinal microbial community structure of RSS-affected A. japonicus. At the phylum level, Bacillota (26.45–48.08%), Actinomycetota (13.96–44.99%), and Pseudomonadota (9.15–56.46%) were the dominant phyla in the intestine of A. japonicus. At the genus level, a lower relative abundance of Vibrio was associated with improved recovery, and groups with lower Vibrio levels generally exhibited better recovery outcomes; notably, the EM group showed the lowest relative abundance of Vibrio (1.37%). Overall, these community shifts may contribute to recovery by supporting potential energy supply, immune regulation, and functional restoration. Therefore, these findings provide new insights into the treatment of RSS in A. japonicus through the development of beneficial microbes and the targeted suppression of potential pathogens. Full article
(This article belongs to the Section Nutrition and Feeding)
Show Figures

Figure 1

26 pages, 10952 KB  
Article
Novel Endophytic Fungi from Euchresta tubulosa Dunn: Characterization of Their Bioactive Secondary Metabolites and Extracellular Enzymes
by Xinlian Yin, Wei Guo, Qing Wang, Rushuang Nie, Dujiang Qing, Yao Hu, Sisi Hu, Linxin Wang, Xiaolin Ye, Shufeng Yao and Jiang Cheng
Microorganisms 2026, 14(3), 664; https://doi.org/10.3390/microorganisms14030664 - 15 Mar 2026
Viewed by 180
Abstract
The endangered ethnomedicinal plant Euchresta tubulosa harbors a valuable community of endophytic fungi, demonstrating significant potential for biotechnological applications. Endophytic fungi were isolated from E. tubulosa and identified to characterize their secondary metabolites and extracellular enzyme activities. Endophytic fungi were isolated from E. [...] Read more.
The endangered ethnomedicinal plant Euchresta tubulosa harbors a valuable community of endophytic fungi, demonstrating significant potential for biotechnological applications. Endophytic fungi were isolated from E. tubulosa and identified to characterize their secondary metabolites and extracellular enzyme activities. Endophytic fungi were isolated from E. tubulosa using tissue explant culture and identified by morphological and molecular (ITS) analysis. The chemical profiles of strain fermentation products were analyzed by LC–MS/MS, while extracellular enzyme production (cellulase, protease, amylase) was assessed through chromogenic plate assays and liquid fermentation. The results indicated that a total of 55 endophytic fungi were isolated from E. tubulosa, assigned to 17 genera. Among these, three genera (Colletotrichum, Fusarium, and Penicillium) constituted the dominant groups, while four strains (including three novel species) represented potential new taxa. LC–MS/MS analysis revealed that fermentation products of the three novel endophytic fungal species contained bioactive compounds such as flavonoids and alkaloids; furthermore, bioactivity assays indicate that they exhibited significant degrees of antibacterial and antioxidant activity. Extracellular enzyme assays demonstrated that three E. tubulosa-derived endophytic strains exhibited multi-hydrolytic enzyme production capabilities. Notably, strain ETG-1-2-1 showed the highest amylase and cellulase activities (10.95 U/mL and 9.68 U/mL, respectively), while strain ETXG-1-1-1 displayed the highest protease activity (2.34 U/mL). This study provides the first systematic report on the diversity of endophytic fungi in E. tubulosa, their secondary metabolite profiles, and extracellular enzyme activities, establishing a theoretical foundation for discovering novel bioactive compounds and developing microbial resources, while also highlighting their ecological roles and biotechnological potential. Full article
(This article belongs to the Section Molecular Microbiology and Immunology)
Show Figures

Figure 1

22 pages, 1946 KB  
Article
Comparative Evaluation of High-Throughput In Vitro Digestion Methods for Predicting In Vivo Digestibility and Fecal Odor Emissions in Pigs
by Ching-Yi Chen, Ruei-Yang Huang and Han-Tsung Wang
Animals 2026, 16(6), 918; https://doi.org/10.3390/ani16060918 - 14 Mar 2026
Viewed by 168
Abstract
Accurate and physiologically relevant in vitro models are needed to predict nutrient digestibility and hindgut fermentation in pigs, as conventional in vivo trials are resource-intensive and raise animal welfare concerns. This study evaluated and compared the predictive performance of three in vitro digestion [...] Read more.
Accurate and physiologically relevant in vitro models are needed to predict nutrient digestibility and hindgut fermentation in pigs, as conventional in vivo trials are resource-intensive and raise animal welfare concerns. This study evaluated and compared the predictive performance of three in vitro digestion approaches—shaking (S), dialysis (D), and a combined shaking plus dialysis (SD) method—for estimating in vivo apparent total tract digestibility (ATTD) and fermentation characteristics across weaning, growing, and finishing pigs. Commercial diets were subjected to simulated gastric and small-intestinal digestion using S, D, or SD, followed by fecal inoculation to model hindgut fermentation for 12 and 48 h. During the gastrointestinal phase, crude protein digestibility was highest with D (>75%), intermediate with SD, and lowest with S (50–60%), indicating that product removal by dialysis mitigated enzyme inhibition from metabolite accumulation. After 48 h of fermentation, all methods showed strong linear correlations with in vivo ATTD (r > 0.93), but only D achieved high absolute agreement (Lin’s CCC > 0.95 for dry matter and crude protein). Moreover, D and SD at 48 h closely reflected in vivo fecal profiles of skatole, indole, and microbial enzyme activities, with D at 12 h showing an especially strong correlation for protease (r = 0.98). While D provided the most precise predictions of absolute values, the SD method offered an optimal balance between physiological relevance and operational efficiency, supporting its use as a robust, high-throughput platform for porcine feed evaluation and fecal nitrogenous odorant prediction. Full article
(This article belongs to the Special Issue Advances in Farm Animal Feed and Nutrition)
Show Figures

Figure 1

13 pages, 2566 KB  
Article
The Effects of Adding Walnut Green Husk on the Quality of Alfalfa Mixed Silage, Protein Degradation, Microbial Community, and Their Interrelationships
by Naibi Abulaiti, Gulinigaer Aiyisirehong and Aibibula Yimamu
Metabolites 2026, 16(3), 187; https://doi.org/10.3390/metabo16030187 - 11 Mar 2026
Viewed by 175
Abstract
Objectives: This experiment was conducted to investigate the effects of adding walnut (Juglans regia L.) green husk (WGH) on the quality of alfalfa mixed silage, protein degradation, microbial community, and their interrelationships. Methods: Alfalfa (Medicago sativa L.) fresh grass [...] Read more.
Objectives: This experiment was conducted to investigate the effects of adding walnut (Juglans regia L.) green husk (WGH) on the quality of alfalfa mixed silage, protein degradation, microbial community, and their interrelationships. Methods: Alfalfa (Medicago sativa L.) fresh grass and WGH dried powder were used as raw materials to prepare three mixed silages of alfalfa fresh grass with 80 g/kg (A1), 120 g/kg (A2), and 160 g/kg (A3) of WGH dried powder, respectively, with alfalfa fresh grass silage as the control group (CK). After 60 days of ensilage, samples were taken and analyzed, with three replicates per treatment. Results: WGH treatment significantly improved alfalfa silage fermentation and nutritional quality. It reduced undesirable fermentation products while promoting beneficial lactic acid bacteria and preventing mold growth. Increasing the WGH ratio enhanced dry matter content and digestibility, with only a minor effect on crude protein. These results suggest that WGH is an effective silage additive for improving both fermentation characteristics and feed value. With the increase in the proportion of WGH, the proportions of rapidly degradable protein (PB1) and medium rate degradable protein (PB2) increased linearly, while the proportions of free amino acid nitrogen (FAA-N), peptide nitrogen (Peptide-N), slow degradable protein (PB3) and binding protein (PC) decreased linearly and the protease activity decreased significantly (p < 0.05). Bacterial community analysis showed that the relative abundance of Lactiplantibacillus and Levilactobacillus in the silage increased after WGH was added, while the relative abundance of Acetobacter, Pantoea, Weissella and Serratia decreased. Conclusions: Compared with pure alfalfa silage, the addition of WGH has a positive effect on silage quality, protein degradation and bacterial community structure, and the addition of WGH with 120 g/kg is more suitable. Full article
(This article belongs to the Section Nutrition and Metabolism)
Show Figures

Figure 1

16 pages, 2487 KB  
Article
Waste Activated Sludge Alkali–Thermal Hydrolysis Liquid as a Soil Amendment: Effects on Pakchoi Cabbage Growth, Soil Properties, and Microbial Community Structure
by Xiu-Fang Li, Yang Xu, Sheng Qi, Zhen Shi, Jun-Feng Zhao, Zhao-Yong Sun and Yue-Qin Tang
Agronomy 2026, 16(5), 522; https://doi.org/10.3390/agronomy16050522 - 27 Feb 2026
Viewed by 388
Abstract
Alkali–thermal treatment of waste activated sludge (WAS) can produce a liquid fertilizer (LF) rich in plant nutrients and biostimulants. However, studies on its actual effects on plant growth and soil quality during field application remain limited. This study employed pot experiments to investigate [...] Read more.
Alkali–thermal treatment of waste activated sludge (WAS) can produce a liquid fertilizer (LF) rich in plant nutrients and biostimulants. However, studies on its actual effects on plant growth and soil quality during field application remain limited. This study employed pot experiments to investigate the impacts of LF substitution (0%, 50%, 100%) for urea on pakchoi cabbage yield, soil physicochemical properties, and microbial communities. The results demonstrated that the LF100 treatment (complete substitution) exhibited the most favorable performance in terms of both plant yield and soil quality enhancement. Compared to the CK, LF0, and LF50 treatments, the LF100 treatment increased various growth and soil parameters: fresh and dry weights of pakchoi cabbage by 50.31–110.61% and 52.48–72.00%, respectively; total soil nitrogen by 1.54–9.09%; total soil phosphorus by 13.89–54.56%; soil available phosphorus by 37.51–116.88%; as well as soil urease, invertase, and protease activities by 2.73–9.41%, 17.11–32.52%, and 7.14–36.36%, respectively. Meanwhile, soil microbial diversity in all fertilized groups was higher than in CK, and it increased with the rising LF substitution ratios. Furthermore, the dominant phyla of LF100 soil microbial community included Actinobacteriota, Proteobacteria, Acidobacteriota, and Crenarchaeota, encompassing multiple bacterial genera involved in carbon/nitrogen cycling and nitrogen fixation. Thus, this liquid fertilizer carries resource utilization potential as a urea substitute, offering valuable insights for sustainable agricultural development. Full article
Show Figures

Figure 1

24 pages, 7834 KB  
Article
Improving Soil Health in Bamboo Forests Through the Cultivation of Stropharia rugosoannulata on Bamboo Residues
by Xin Wang, Dongchen Li, Xiaocao Liu, Baoxi Wang, Xianhao Cheng, Wei Zhang and Jinzhong Xie
Horticulturae 2026, 12(3), 286; https://doi.org/10.3390/horticulturae12030286 - 27 Feb 2026
Viewed by 205
Abstract
Utilizing bamboo residues for the cultivation of Stropharia rugosoannulata is an ecological practice grounded in the concept of agricultural waste recycling, aiming to improve soil microecology and enhance nutrient cycling in bamboo forests. However, a comprehensive and systematic evaluation of the ecological effects [...] Read more.
Utilizing bamboo residues for the cultivation of Stropharia rugosoannulata is an ecological practice grounded in the concept of agricultural waste recycling, aiming to improve soil microecology and enhance nutrient cycling in bamboo forests. However, a comprehensive and systematic evaluation of the ecological effects of using bamboo residues as cultivation substrates is lacking. To evaluate soil responses following the cultivation of S. rugosoannulata, a field experiment was conducted using bamboo residues pre-fermented with 4% rapeseed cake. The results showed that cultivating S. rugosoannulata with rapeseed cake-fermented bamboo residues significantly enhanced soil nutrient levels and enzyme activities. Notable increases were observed in soil organic carbon, total nitrogen, available nitrogen, and total potassium, as well as in the activities of sucrase, urease, peroxidase, polyphenol oxidase, and neutral protease. Both bacterial and fungal α-diversity were significantly enhanced, and substantial shifts occurred in the community structure and composition of soil microbiota. Metabolomic analysis revealed that significantly differential metabolites were primarily enriched in five key pathways, including purine metabolism, glycerolipid metabolism, biosynthesis of plant secondary metabolites, and starch and sucrose metabolism. Correlation analyses further revealed that specific microbial taxa (four bacterial genera and seven fungal genera) exhibited strong correlations with soil nutrient indicators, whereas another group of taxa (six bacterial phyla and eight fungal genera) was closely linked to soil enzyme activities. Furthermore, bacterial communities were significantly correlated with metabolite variations after substrate addition. Specifically, Firmicutes showed strong positive correlations with multiple metabolites, whereas Planctomycetes exhibited negative correlations with some of the same metabolites, indicating potential competitive interactions. Based on these findings, this study proposes a preliminary “Microbe–Enzyme–Metabolite–Nutrient” coupling cycle, driven by the synergistic interplay among bamboo residues, hypha–microbiome complex, soil enzymes, and functional metabolites. This mechanism provides a scientific explanation for the soil health improvements observed during S. rugosoannulata cultivation and offers theoretical support for the efficient utilization of bamboo waste and maintenance of forest ecosystem stability. Full article
(This article belongs to the Special Issue Advances in Quality Regulation and Improvement of Ornamental Plants)
Show Figures

Figure 1

19 pages, 5765 KB  
Article
Effects of Forestry Waste Mulching on Plantation Soil Fertility, Enzyme Activities, and Microbial Communities in China
by Zhihui Fan, Yi Zheng, Jixin Cao, Xiangyang Sun and Suyan Li
Forests 2026, 17(2), 283; https://doi.org/10.3390/f17020283 - 21 Feb 2026
Viewed by 292
Abstract
The application of forestry waste as organic mulch on soil represents an increasingly recognized management practice. However, studies on how different mulching strategies regulate soil fertility and microbial community responses remain limited. In this study, a field experiment was conducted in plantation forest [...] Read more.
The application of forestry waste as organic mulch on soil represents an increasingly recognized management practice. However, studies on how different mulching strategies regulate soil fertility and microbial community responses remain limited. In this study, a field experiment was conducted in plantation forest soil with four treatments: no mulching, fresh forestry waste mulching, composted mulching, and layered mulching. The results indicated that the layered mulching treatment significantly increased the soil comprehensive fertility index by 6.67% relative to the no mulching treatment. Both composted mulching and layered mulching treatments significantly reduced soil bulk density (2.26%–5.26%), increased pH (0.36%–0.48%) and organic matter content (21.90%–25.23%), and markedly enhanced urease (22.45%–26.41%) and protease activities (51.72%–62.68%). Under fresh forestry waste mulching, soil available phosphorus and available potassium increased by 23.21% and 27.07%, respectively, whereas improvements in the soil comprehensive fertility index, enzyme activities, and microbial communities were limited. Bacterial communities were highly responsive to mulching treatments, with composted mulching and layered mulching treatments significantly altering their structure, while fungal communities were comparatively stable across treatments. RDA and Mantel tests linked bacterial shifts mainly to total nitrogen, available potassium, and bulk density, and fungal variation mainly to total nitrogen (all p < 0.05). This study indicates that a layered mulching strategy simulating forest litter layers can enhance soil fertility and enzyme activity and provides an option for improving soil quality through the utilization of forestry waste. Full article
(This article belongs to the Special Issue Soil–Plant–Microbe Interactions in Forest Ecosystems)
Show Figures

Figure 1

15 pages, 3366 KB  
Article
Polycyclic Aromatic Hydrocarbon Pollution Stress Impairs Soil Enzyme Activity and Microbial Community
by Yuancheng Wang, Donglei Wu, Junxiang Liu and Haolong Xu
Microorganisms 2026, 14(2), 494; https://doi.org/10.3390/microorganisms14020494 - 18 Feb 2026
Viewed by 362
Abstract
Polycyclic aromatic hydrocarbons (PAHs) are widely prevalent harmful organic pollutants. Enzymatic activities (such as those of dehydrogenases, catalase, protease and urease), as well as the microbial community structure and assembly (through 16S and ITS amplicon sequencing), were evaluated 90 days after PAH contamination [...] Read more.
Polycyclic aromatic hydrocarbons (PAHs) are widely prevalent harmful organic pollutants. Enzymatic activities (such as those of dehydrogenases, catalase, protease and urease), as well as the microbial community structure and assembly (through 16S and ITS amplicon sequencing), were evaluated 90 days after PAH contamination and compared to those in normal soils. Microbial activity, as indicated by soil urease, catalase, and protease activities, was inhibited under PAH stress. Furthermore, PAH stress exerted significant impacts on the soil microbial community structure. Notably, PAH stress reduced soil bacterial and fungal biomass and inhibited the abundance of microbial taxa involved in soil carbon and nitrogen cycling (e.g., Marmoricola, Pedobacter, and Streptomyces), along with the majority of predicted responsive metabolic functions, particularly those related to amino acid and carbohydrate metabolism. PAH stress enriched PAH-degrading microorganisms, including Pseudomonas, Mycobacterium, Bacillus, Cycloclasticus, and Flavobacterium. The niche breadth of bacterial and fungal communities decreased significantly under PAH stress (51.5 and 14.1, respectively) compared to that in normal soil (63.7 and 22.3), which was further supported by Beta Nearest Taxon Index and co-occurrence network analysis. PAH stress increased the contribution of heterogeneous selection to soil microbial assembly (100%) compared to that in normal soil (80%). Thus, the majority of microbial community responses to PAH stress were adversely affected. These results suggest that PAH contamination may profoundly affect the soil quality by restricting the survival space of bacteria and fungi. Full article
(This article belongs to the Section Environmental Microbiology)
Show Figures

Figure 1

12 pages, 948 KB  
Article
Bioactive Potential of Peptide Fractions Derived from Enzymatic Hydrolysis of Chenopodium quinoa Proteins: Approach to Antihypertensive Activity
by Yair Noe Ávila-Vargas, Emmanuel Pérez-Escalante, Luis Guillermo González-Olivares, Elizabeth Contreras-López, Judith Jaimez-Ordaz, Javier Añorve-Morga, Jair Emmanuel Onofre-Sánchez, Ilse Monroy-Rodríguez, Nayeli Vélez Rivera and Juan Ramírez-Godínez
Macromol 2026, 6(1), 14; https://doi.org/10.3390/macromol6010014 - 15 Feb 2026
Viewed by 433
Abstract
Quinoa (Chenopodium quinoa) is a promising source of plant proteins with the potential to produce bioactive peptides through enzymatic hydrolysis. This study aimed to extract quinoa protein and produce bioactive peptides using two microbial proteases: Alcalase (from Bacillus licheniformis) and [...] Read more.
Quinoa (Chenopodium quinoa) is a promising source of plant proteins with the potential to produce bioactive peptides through enzymatic hydrolysis. This study aimed to extract quinoa protein and produce bioactive peptides using two microbial proteases: Alcalase (from Bacillus licheniformis) and Flavourzyme (from Aspergillus oryzae). The protein was extracted through alkaline solubilization and isoelectric precipitation, achieving a 72% yield. Hydrolysis was conducted for 4 h, and enzymatic activity was measured using the TNBS method to determine the degree of hydrolysis, while SDS-PAGE was used to analyze protein breakdown. The reaction was performed at controlled pH and temperature (Alcalase: 9.5 and 55 °C; Flavourzyme: 7 and 37 °C). Both enzymes achieved maximum hydrolysis at 60 min. Consequently, the separation and inhibitory capacity of angiotensin-converting enzyme (ACE-I) were tested at the first four time points (0, 20, 40, and 60 min). A wider variety and higher concentration of peptides smaller than 2 kDa were found in hydrolysates treated with Flavourzyme, which is associated with antihypertensive activity. The ACE-I assay showed greater activity at the end of hydrolysis. Inhibition percentages of 87.5 ± 2.11 were observed in hydrolysates with Flavourzyme, and 94.1 ± 1.11 in those with Alcalase. These findings indicate that quinoa protein, hydrolyzed with microbial proteases, is a feasible source of peptides with potential antihypertensive effects for use in functional foods and nutraceuticals. Full article
Show Figures

Figure 1

20 pages, 2405 KB  
Article
A Marine Alkaline Protease from Bacillus safensis DL12: Heterologous Expression, Purification and Preliminary Application in Animal Feed
by Mingchen Ma, Zhaohui Liu, Wei Zheng, Nilu Yang, Yue Guo, Jinlong Ma and Chunshan Quan
Microorganisms 2026, 14(2), 469; https://doi.org/10.3390/microorganisms14020469 - 14 Feb 2026
Viewed by 340
Abstract
Cottonseed meal (CSM) is a cost-effective protein source, but its application is limited by the toxicity of free gossypol. Traditional physical and chemical detoxification methods are costly, energy-intensive, and cause nutrient loss, while microbial fermentation-based biological detoxification is considered more sustainable than chemical [...] Read more.
Cottonseed meal (CSM) is a cost-effective protein source, but its application is limited by the toxicity of free gossypol. Traditional physical and chemical detoxification methods are costly, energy-intensive, and cause nutrient loss, while microbial fermentation-based biological detoxification is considered more sustainable than chemical or physical approaches. This study reports an alkaline protease from the marine strain Bacillus safensis DL12 isolated from Yellow Sea sediments. Following cloning of its encoding gene and heterologous expression, enzymatic characterization of the purified enzyme revealed optimal activity at pH 8.0 and 50 °C, with Fe2+, Cu2+, Ni2+, and dithiothreitol (DTT) significantly enhancing its activity. Substrate hydrolysis analysis using the purified enzyme on soybean meal, peanut meal, rapeseed meal, and cottonseed meal demonstrated that, compared to the control group, cottonseed meal hydrolysates exhibited a 55.6% relative increase in peptide content and a 41.5% relative improvement in the degree of hydrolysis (DH), indicating higher hydrolysis efficiency among the four substrates. Notably, when hydrolyzing cottonseed meal with purified enzyme versus crude enzyme preparation at equivalent activity, the purified enzyme effectively reduced free gossypol content by 70% compared to the control, achieving more efficient detoxification than the crude enzyme preparation and most reported microbial treatments. These results highlight the potential of B. safensis DL12 protease as a marine-derived enzyme, offering promising prospects for enhancing protein digestibility and addressing the long-standing challenge of gossypol toxicity in cottonseed meal utilization. Full article
(This article belongs to the Section Microbial Biotechnology)
Show Figures

Figure 1

16 pages, 3223 KB  
Article
Physiological and Intestinal Microbiota Analyses Offer Insights into the Analysis of Differential Residual Feed Intake in Jian Carp (Cyprinus carpio var. Jian)
by Gang Jiang, Yu Zhang, Ezra Martini Kamunga, Wenrong Feng, Yuanfeng Xu, Jianlin Li, Zhihua Zhang and Yongkai Tang
Animals 2026, 16(4), 548; https://doi.org/10.3390/ani16040548 - 10 Feb 2026
Viewed by 315
Abstract
Feed efficiency (FE) is a critical economic trait in aquatic species. This study aimed to assess the effects of residual feed intake (RFI) divergence on growth performance, as well as antioxidant, digestive, and immune capacities. Additionally, intestinal microbiome was also employed to reveal [...] Read more.
Feed efficiency (FE) is a critical economic trait in aquatic species. This study aimed to assess the effects of residual feed intake (RFI) divergence on growth performance, as well as antioxidant, digestive, and immune capacities. Additionally, intestinal microbiome was also employed to reveal the mechanism affecting the RFI in Jian carp. After the 8-week culture period, 12 fish (25 ± 1.05 g) each from the highest and lowest RFI extremes were selected as the HRFI and LRFI groups, respectively, for detailed physiological and microbial analysis. In terms of growth performance, the RFI, FCR, and DFI were found to be significantly lower in the LRFI group (p < 0.001), whereas no differences were observed in the ADG, BWG, SGR, HIS, VSI, and CF (p > 0.05). For physiological performance, the activities of digestive enzymes (protease, lipase and amylase) and antioxidant enzymes (T-AOC, SOD, CAT, GPx) were significantly higher in the LRFI group than in the HRFI group (p < 0.001). In line with this, the integrity of the intestinal tissue in the LRFI group was also superior to that in the HRFI group. Furthermore, the expressions of immune-related genes (LEP, GHR, AGPR, NPY) followed the same pattern. However, the expression of the CCK gene was significantly higher in the HRFI group (p < 0.001). There was no significant difference in the total lipid and fatty acids contents of muscle between the RFI groups (p > 0.05). Microbiota analysis indicated that the LRFI group harbored a higher relative abundance of several microbial taxa often associated with beneficial metabolic functions, including s Cetobacterium_sp_ZOR0034, unidentified_Chloroplast, Chloroplast, and Mangrovibacter. KEGG functional enrichment analysis indicated that the functions of these microbiota were primarily associated with metabolic processes. Collectively, these results demonstrate that improved feed efficiency in Jian carp is collaboratively driven by enhanced physiological status (digestion, antioxidant, immunity) and a beneficial shift in gut microbiota. This study provides an integrated perspective for understanding the regulatory mechanisms of RFI and offers potential microbiota-targeted strategies for feed efficiency improvement in aquaculture. Full article
(This article belongs to the Section Animal Physiology)
Show Figures

Figure 1

33 pages, 5788 KB  
Article
Temperature-Dependent and Semi-Quantitative Enzyme Profiles of Malacosoma disstria (Lepidoptera: Lasiocampidae) Hemocytic Cell Lines
by Paschalis Giannoulis and Helen Kalorizou
Cells 2026, 15(3), 302; https://doi.org/10.3390/cells15030302 - 5 Feb 2026
Viewed by 418
Abstract
Insect hemocytic cell lines offer substantial advantages over primary, in vivo hemocyte cultures, fundamentally transforming experimental approaches in cellular immunology and related fields. Selected Malacosoma disstria cell lines were characterized for optimal growth temperatures, morphogenesis, blebbing, extracellular enzyme profiles, and their interactions with [...] Read more.
Insect hemocytic cell lines offer substantial advantages over primary, in vivo hemocyte cultures, fundamentally transforming experimental approaches in cellular immunology and related fields. Selected Malacosoma disstria cell lines were characterized for optimal growth temperatures, morphogenesis, blebbing, extracellular enzyme profiles, and their interactions with material (polystyrene) and microbial (Bacillus subtilis) surfaces. The adhesive hemocyte lines UA-Md221 and Md108 showed optimal growth at 28 °C, whereas UA-Md203 and Md66 grew best at 21 °C, with Md66 tolerating 21–28 °C. Md108 demonstrated a broader temperature tolerance than other adherent cultures. Both Md108 and UA-Md221 adhered to polystyrene within 24 h post-subculturing, although protease-induced morphological changes in modified Grace’s medium continued through 48 h and 72 h, respectively. Culture quality was monitored by assessing the release of multiple enzymes, including alkaline and acid phosphatases, esterases and lipases, aminopeptidases, proteases, glycosidases, and hydrolases from the cell lines at 50% confluency in modified Grace’s medium. Fetal bovine serum showed elevated esterase lipase (C8) and phosphoamidase activities when diluted in Grace’s medium and phosphate buffered saline (PBS). Exposure to dead B. subtilis suspended in PBS induced quantitative and qualitative alterations in the enzyme secretion profiles of Md66 and Md108 cultures. We conclude that semi-quantitative assessments of hemocytic cell lines can provide valuable insights for the time window of each enzyme release, revealing immune and metabolic signaling patterns. Full article
Show Figures

Graphical abstract

15 pages, 1336 KB  
Article
Dietary Cerium (Ammonium Ceric Nitrate) Promoted the Growth, Intestinal Digestive Enzyme Activity, and Positive Modulation of Intestinal Microbiota of Largemouth Bass (Micropterus salmoides)
by Yugui Zhang, Yunfeng Chen, Kaihui Xu, Xiaoqin Li and Xiangjun Leng
Animals 2026, 16(3), 506; https://doi.org/10.3390/ani16030506 - 5 Feb 2026
Viewed by 268
Abstract
This study investigated the dietary effects of cerium (ammonium ceric nitrate, Ce (NH4)2(NO3)6) on the growth, serum antioxidant, intestinal digestive enzyme activity, tissue morphology and microbiota of Micropterus salmoides. Seven diets were designed with [...] Read more.
This study investigated the dietary effects of cerium (ammonium ceric nitrate, Ce (NH4)2(NO3)6) on the growth, serum antioxidant, intestinal digestive enzyme activity, tissue morphology and microbiota of Micropterus salmoides. Seven diets were designed with cerium supplementation of 0 (CON), 10 (Ce10), 20 (Ce20), 40 (Ce40), 60 (Ce60), 80 (Ce80) and 120 mg/kg (Ce120), respectively. Largemouth bass juveniles (initial weight of 16.89 ± 0.04 g) were fed with the above diets for 56 days. Compared with the control group, the weight gain of the Ce40 group increased by 14.4% and the feed conversion ratio decreased by 0.13 (p < 0.05). The Ce60, Ce80 and Ce120 groups showed significantly higher superoxide dismutase activity and lower malondialdehyde concentration compared with the control group (p < 0.05). Protease activity in the Ce20 and Ce40 groups and amylase activity in the Ce40 group were markedly elevated relative to the control group (p < 0.05). The proportion of Firmicutes was increased and the proportion of Proteobacteria was decreased by the addition of 10 mg/kg and 40 mg/kg Ce (Ce10 and Ce40 groups). In summary, dietary cerium supplementation can promote the growth, intestinal digestive enzyme activity, and positive modulation of the intestinal microbial flora of juvenile Micropterus salmoides. Based on the second-order polynomial regression analysis of WG or the FCR, the appropriate inclusion level of dietary cerium for juvenile largemouth bass was estimated to be 57.9 and 60.0 mg/kg, respectively. Full article
(This article belongs to the Section Animal Nutrition)
Show Figures

Figure 1

21 pages, 824 KB  
Article
Characterization of Infant Formulae Marketed in Italy and Virulence Potential of Bacillus cereus Isolates
by Viviana Fusi, Simone Stella, Emilia Ghelardi, Francesco Celandroni, Cristian Bernardi, Maria Filippa Addis, Clara Locatelli, Chistian Scarano, Francesca Piras, Giuliana Siddi and Erica Tirloni
Foods 2026, 15(3), 536; https://doi.org/10.3390/foods15030536 - 3 Feb 2026
Viewed by 597
Abstract
This study aimed to evaluate the microbiological quality and safety of powdered formulae intended for infant consumption on the Italian market. A total of 83 samples, including 23 infant formulae (PIF), 42 follow-on formulae (FOF), and 18 formulae for special medical purposes (SMPs), [...] Read more.
This study aimed to evaluate the microbiological quality and safety of powdered formulae intended for infant consumption on the Italian market. A total of 83 samples, including 23 infant formulae (PIF), 42 follow-on formulae (FOF), and 18 formulae for special medical purposes (SMPs), were taken between 2023 and 2024. Low total viable counts were highlighted with all SMP samples, 87.0% of PIF samples and 97.6% of FOF samples being compliant with the threshold set by the Code of Hygienic Practice for Powdered Formulae for Infants and Young Children (2.70 Log CFU/g). High contamination levels (>4 Log CFU/g) were found exclusively in PIF (8.7%) and FOF samples (2.4%). Considering potential pathogenic bacteria, the presence of Listeria monocytogenes, Yersinia enterocolitica, Salmonella spp., Bacillus cereus, and Cronobacter sakazakii was investigated. Enumeration of Bacillus cereus, Staphylococcus aureus, and Clostridia was also performed. Only presumptive B. cereus was detected (37 samples, and in 3 samples was enumerated with counts equal to 1 Log CFU/g). A total of 42 presumptive B. cereus isolates were tested for the production of hemolysin BL, phosphatidylcholine-specific phospholipase C, proteases, and for the presence of chromosomal toxin-encoding genes, showing a relevant prevalence of virulence factors and highlighting a potential concern for infants. The antimicrobial resistance pattern of the isolates showed high resistance rates to β-lactams and a moderate resistance to erythromycin. A chemical–physical characterization of the formulae was also performed showing high heterogeneity in terms of pH, Aw, and concentration of organic acids. The results obtained provide useful information for monitoring the potential exposition of infants to microbial populations and to evaluate the safety of the products available on the market. Full article
Show Figures

Figure 1

Back to TopTop