Functional Feed Additives Promote Recovery from Runting and Stunting Syndrome in Apostichopus japonicus: Links Between Growth Traits, Digestive Function, and the Gut Microbiome
Abstract
1. Introduction
2. Materials and Methods
2.1. Experimental Animals
2.2. Feeding Diet
2.3. Experimental Design and Feeding Strategy
2.4. Analysis Methods
2.4.1. Histological Observation and H&E Staining
2.4.2. Measurement of Growth Performance
2.4.3. Measurement of Digestive Enzyme Activity in the Gut
2.4.4. Measurement of Gut Microbial Count
2.4.5. Measurement of Water Quality
2.4.6. Measurement of Intestinal Microbial Diversity
2.5. Data Analysis
3. Results
3.1. Comparison of External Morphology and Intestinal Cross-Sections Between Normal Apostichopus japonicus and RSS in Apostichopus japonicus
3.2. Effects of Different Nutritional Additive Treatments on the Recovery Rate of RSS in Apostichopus japonicus
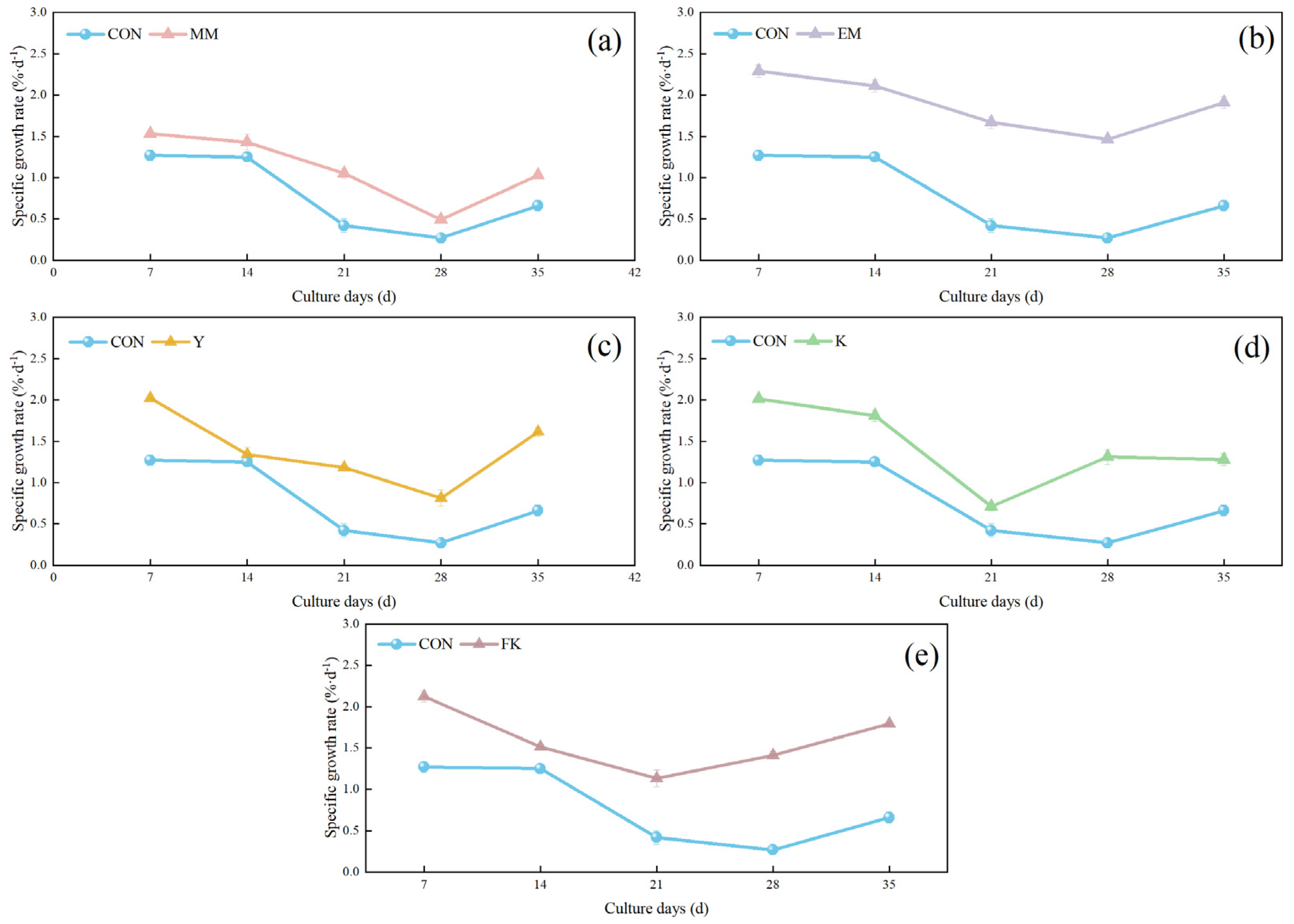
3.3. Effects of Different Nutritional Additive Treatments on the Specific Growth Rate of RSS in Apostichopus japonicus
3.4. Effects of Different Nutritional Additive Treatments on the Body Wall Yield of RSS in Apostichopus japonicus
3.5. Effects of Different Nutritional Additive Treatments on the Intestine-to-Body Wall Ratio of RSS in Apostichopus japonicus
3.6. Effects of Different Nutritional Additive Treatments on Intestinal Digestive Enzyme Activities
3.7. Effects of Different Nutritional Additive Treatments on Heterotrophic Bacterial Abundance and the Proportion of Vibrio in the Intestine
3.8. Effects of Different Nutritional Additive Treatments on Water Quality in the Culture System
3.9. Intestinal Microbial Diversity Under Different Nutritional Additive Treatments
4. Discussion
5. Conclusions
Author Contributions
Funding
Institutional Review Board Statement
Data Availability Statement
Conflicts of Interest
References
- Martinez-Porchas, M.; Martinez-Cordova, L.R. World aquaculture: Environmental impacts and troubleshooting alternatives. Sci. World J. 2012, 2012, 389623–389631. [Google Scholar] [CrossRef] [PubMed]
- Purcell, S.W.; Shea, S.K.H.; Gray, B.C.T. Decadal changes in value of dried sea cucumbers (bêche-de-mer) in Hong Kong markets. Mar. Policy 2025, 171, 106450–106459. [Google Scholar] [CrossRef]
- Dong, S.L.; Liang, M.; Gao, Q.F.; Wang, F.; Dong, Y.W.; Tian, X.L. Intra-specific effects of sea cucumber (Apostichopus japonicus) with reference to stocking density and body size. Aquac. Res. 2010, 41, 1170–1178. [Google Scholar] [CrossRef]
- Yang, X.; Wang, P.; Giao, Y. Study on the Culture Technique in the Middle Stage and the Growing Character of Apostichopus japonicus. Shandong Fish. 2005, 10, 1–5. Available online: https://qikan.cqvip.com/Qikan/Article/Detail?id=20442303 (accessed on 8 November 2025). (In Chinese)
- Liu, G.; Yang, H.; Liu, S. Effects of rearing temperature and density on growth, survival and development of sea cucumber larvae, Apostichopus japonicus (Selenka). Chin. J. Oceanol. Limnol. 2010, 28, 842–848. [Google Scholar] [CrossRef]
- Cui, L.; Xie, Y.; Luo, K.; Wang, M.; Liu, L.; Li, C.; Tian, X. Physiological and intestinal microbiota responses of sea cucumber Apostichopus japonicus to various stress and signatures of intestinal microbiota dysbiosis. Front. Microbiol. 2024, 15, 1528275. [Google Scholar] [CrossRef]
- Han, Q.; Keesing, J.K.; Liu, D. A Review of Sea Cucumber Aquaculture, Ranching, and Stock Enhancement in China. Rev. Fish. Sci. Aquac. 2016, 24, 326–341. [Google Scholar] [CrossRef]
- Li, X.; Gao, Q.; Tian, Y.; Mei, Y.; Xu, Y.; Cao, Y.; Dong, S.; Zhou, Y.; Sun, Y.; Ju, W. Persistence of Digestive Enzyme Activities of Sea Cucumber (Apostichopus japonicus): Evidence From Diet Switch After Evisceration. Front. Mar. Sci. 2022, 9, 843612. [Google Scholar] [CrossRef]
- de Oliveira, L.B.; Stanton, J.B.; Zhang, J.; Brown, C.; Butt, S.L.; Dimitrov, K.; Afonso, C.L.; Volkening, J.D.; Lara, L.J.C.; de Oliveira, C.S.F.; et al. Runting and Stunting Syndrome in Broiler Chickens: Histopathology and Association With a Novel Picornavirus. Vet. Pathol. 2021, 58, 123–135. [Google Scholar] [CrossRef]
- Salgado-López, P.; Llauradó-Calero, E.; García-Vilana, S.; Sánchez-Molina, D.; Brun, A.; Font-i-Furnols, M.; Gasa, J.; Solà-Oriol, D. Evaluation of organ and skeletal physiological characteristics for improved classification of growth-restricted newborn piglets. Sci. Rep. 2025, 15, 34328–34339. [Google Scholar] [CrossRef]
- Kang, K.I.; Linnemann, E.; Icard, A.H.; Durairaj, V.; Mundt, E.; Sellers, H.S. Chicken astrovirus as an aetiological agent of runting-stunting syndrome in broiler chickens. J. Gen. Virol. 2018, 99, 512–524. [Google Scholar] [CrossRef]
- Cornelison, A.S.; Karriker, L.A.; Williams, N.H.; Haberl, B.J.; Stalder, K.J.; Schulz, L.L.; Patience, J.F. Impact of health challenges on pig growth performance, carcass characteristics, and net returns under commercial conditions. Transl. Anim. Sci. 2018, 2, 50–61. [Google Scholar] [CrossRef] [PubMed]
- Suprayogi, W.P.S.; Ratriyanto, A.; Akhirini, N.; Hadi, R.F.; Setyono, W.; Irawan, A. Changes in nutritional and antinutritional aspects of soybean meals by mechanical and solid-state fermentation treatments with Bacillus subtilis and Aspergillus oryzae. Bioresour. Technol. Rep. 2022, 17, 100925–1009233. [Google Scholar] [CrossRef]
- Wang, J.-H.; Guo, H.; Zhang, T.-R.; Wang, H.; Liu, B.-N.; Xiao, S. Growth performance and digestion improvement of juvenile sea cucumber Apostichopus japonicus fed by solid-state fermentation diet. Aquac. Nutr. 2017, 23, 1312–1318. [Google Scholar] [CrossRef]
- Ma, Y.X.; Li, L.Y.; Bao, P.Y.; Li, M.; Chen, W.; Chang, Y.Q. Effects of combined dietary administration of Rhodotorula sp. H26 and Bacillus sp. BC26 on growth, immunity and intestinal microbiota in juvenile sea cucumber, Apostichopus japonicus. Aquac. Res. 2018, 49, 3792–3803. [Google Scholar] [CrossRef]
- Guo, T.-Y.; Zhao, W.; He, J.-Y.; Liao, S.-Y.; Xie, J.-J.; Xie, S.-W.; Masagounder, K.; Liu, Y.-J.; Tian, L.-X.; Niu, J. Dietary dl-methionyl-dl-methionine supplementation increased growth performance, antioxidant ability, the content of essential amino acids and improved the diversity of intestinal microbiota in Nile tilapia (Oreochromis niloticus). Br. J. Nutr. 2020, 123, 72–83. [Google Scholar] [CrossRef]
- Onomu, A.J.; Okuthe, G.E. The Role of Functional Feed Additives in Enhancing Aquaculture Sustainability. Fishes 2024, 9, 167. [Google Scholar] [CrossRef]
- Cui, J.; Tan, X.; Xu, Z.; Sun, X.; Wang, L.; Zhan, H.; Liu, Y.; Li, Y.; Liu, B. Evaluation of growth, immune characteristics and gut microbiota of juvenile sea cucumber Apostichopus japonicus fed with fermented feed from Corynebacterium glutamicum. Aquac. Int. 2024, 32, 6827–6843. [Google Scholar] [CrossRef]
- López-Otín, C.; Bond, J.S. Proteases: Multifunctional enzymes in life and disease. J. Biol. Chem. 2008, 283, 30433–30437. [Google Scholar] [CrossRef]
- Fu, Z.; Akula, S.; Thorpe, M.; Hellman, L. Marked difference in efficiency of the digestive enzymes pepsin, trypsin, chymotrypsin, and pancreatic elastase to cleave tightly folded proteins. Biol. Chem. 2021, 402, 861–867. [Google Scholar] [CrossRef]
- Shi, C.; Dong, S.; Wang, F.; Gao, Q.; Tian, X. Effects of the sizes of mud or sand particles in feed on growth and energy budgets of young sea cucumber (Apostichopus japonicus). Aquaculture 2015, 440, 6–11. [Google Scholar] [CrossRef]
- Rahayu, S.; Amoah, K.; Huang, Y.; Cai, J.; Wang, B.; Shija, V.M.; Jin, X.; Anokyewaa, M.A.; Jiang, M. Probiotics application in aquaculture: Its potential effects, current status in China and future prospects. Front. Mar. Sci. 2024, 11, 1455905. [Google Scholar] [CrossRef]
- Siddik, M.A.B.; Foysal, M.J.; Fotedar, R.; Francis, D.S.; Gupta, S.K. Probiotic yeast Saccharomyces cerevisiae coupled with Lactobacillus casei modulates physiological performance and promotes gut microbiota in juvenile barramundi, Lates calcarifer. Aquaculture 2022, 546, 737346–737357. [Google Scholar] [CrossRef]
- Sumana, S.L.; Sidibe, G.; Elshafey, A.E.; Habinshuti, D.; Mattia, A.; Massaquoi, J.; Tarawallie, S.; Abdullateef, M.M.; Shuaibu, A.; Mabey, P.T. Seaweed as a functional feed additive in aquaculture: Efficacy, safety, and fish species-specific optimization. Algal Res. 2026, 94, 104525–104542. [Google Scholar] [CrossRef]
- Xu, R.; Wang, Z.; Liu, H.; Li, R.; Wang, X.; Yang, H.; Ding, J.; Chang, Y.; Zuo, R. Effect of Dietary Proline on the Growth Performance, Collagen Deposition, and Texture Quality of Sea Cucumbers’ Body Wall (Apostichopus japonicus). Fishes 2025, 10, 482. [Google Scholar] [CrossRef]
- Jiang, A.; Ji, H.; Liu, H.; Zhu, H.; Ai, G.; Guo, X. Culture of benthic diatom Nitzschia sp. with macroalgae carriers and its application as feed of juveniles Stichopus japonicus. Helgol. Mar. Res. 2020, 74, 11–22. [Google Scholar] [CrossRef]
- Hopkins, K.D. Reporting Fish Growth: A Review of the Basics. J. World Aquac. Soc. 1992, 23, 173–179. [Google Scholar] [CrossRef]
- Lowry, O.H.; Rosebrough, N.J.; Farr, A.L.; Randall, R.J. Protein measurement with the Folin phenol reagent. J. Biol. Chem. 1951, 193, 265–275. [Google Scholar] [CrossRef]
- Miller, G.L. Use of dinitrosalicylic acid reagent for determination of reducing sugar. Anal. Chem. 1959, 31, 426–428. [Google Scholar] [CrossRef]
- Jett, B.D.; Hatter, K.L.; Huycke, M.M.; Gilmore, M.S. Simplified agar plate method for quantifying viable bacteria. BioTechniques 1997, 23, 648–650. [Google Scholar] [CrossRef]
- Grasshoff, K.; Kremling, K.; Ehrhardt, M. Methods of Seawater Analysis, 3rd ed.; Wiley-VCH: Weinheim, Germany, 1999. [Google Scholar] [CrossRef]
- GB 3097-1997; Sea Water Quality Standard. Ministry of Ecology and Environment of the People’s Republic of China: Beijing, China, 1997.
- Zhang, H.; Wang, Q.; Liu, S.; Huo, D.; Zhao, J.; Zhang, L.; Zhao, Y.; Sun, L.; Yang, H. Genomic and metagenomic insights into the microbial community in the regenerating intestine of the sea cucumber Apostichopus japonicus. Front. Microbiol. 2019, 10, 1165. [Google Scholar] [CrossRef] [PubMed]
- Ren, Y.; Wang, F.; Yu, D.; Cui, G.; Chen, J. A comparative study on growth, protein turnover and energy budget of green and white color morphs of sea cucumber Apostichopus japonicus (Selenka). Aquac. Environ. Interact. 2017, 9, 405–414. [Google Scholar] [CrossRef]
- Xu, W.; Mawolo, P.Y.; Gao, J.; Chu, L.; Wang, Y.; Nie, Z.; Song, L.; Shao, N.; Gao, J.; Xu, P.; et al. Effects of supplemental effective microorganisms in feed on the growth, immunity, and appetite regulation in juvenile GIFT tilapia. Aquac. Rep. 2021, 19, 100577–100584. [Google Scholar] [CrossRef]
- Mingmongkolchai, S.; Panbangred, W. Bacillus probiotics: An alternative to antibiotics for livestock production. J. Appl. Microbiol. 2018, 124, 1334–1346. [Google Scholar] [CrossRef] [PubMed]
- Zhang, Z.; Wu, Y.; Zhang, Y.; Cao, Y.; Chen, S.; Tian, Z.; Li, Q.; Sun, X.; Chen, A. Effects of adding EM bacteria and mechanical aeration on water quality, growth and antioxidant status of Meretrix meretrix and Exopalaemon carinicauda farmed in the clam–shrimp polyculture system. Aquac. Res. 2022, 53, 1823–1832. [Google Scholar] [CrossRef]
- Ma, Y.-X.; Li, L.-Y.; Li, M.; Chen, W.; Bao, P.-Y.; Yu, Z.-C.; Chang, Y.-Q. Effects of dietary probiotic yeast on growth parameters in juvenile sea cucumber, Apostichopus japonicus. Aquaculture 2019, 499, 203–211. [Google Scholar] [CrossRef]
- Pinoargote, G.; Flores, G.; Cooper, K.; Ravishankar, S. Effects on survival and bacterial community composition of the aquaculture water and gastrointestinal tract of shrimp (Litopenaeus vannamei) exposed to probiotic treatments after an induced infection of acute hepatopancreatic necrosis disease. Aquac. Res. 2018, 49, 3270–3288. [Google Scholar] [CrossRef]
- Stephens, W.Z.; Burns, A.R.; Stagaman, K.; Wong, S.; Rawls, J.F.; Guillemin, K.; Bohannan, B.J.M. The composition of the zebrafish intestinal microbial community varies across development. ISME J. 2016, 10, 644–654. [Google Scholar] [CrossRef]
- Kim, P.S.; Shin, N.-R.; Lee, J.-B.; Kim, M.-S.; Whon, T.W.; Hyun, D.-W.; Yun, J.-H.; Jung, M.-J.; Kim, J.Y.; Bae, J.-W. Host habitat is the major determinant of the gut microbiome of fish. Microbiome 2021, 9, 166–181. [Google Scholar] [CrossRef]
- El-Saadony, M.T.; Alagawany, M.; Patra, A.K.; Kar, I.; Tiwari, R.; Dawood, M.A.O.; Dhama, K.; Abdel-Latif, H.M.R. The functionality of probiotics in aquaculture: An overview. Fish Shellfish Immunol. 2021, 117, 36–52. [Google Scholar] [CrossRef]
- Zhao, Y.; Zhang, W.; Xu, W.; Mai, K.; Zhang, Y.; Liufu, Z. Effects of potential probiotic Bacillus subtilis T13 on growth, immunity and disease resistance against Vibrio splendidus infection in juvenile sea cucumber Apostichopus japonicus. Fish Shellfish Immunol. 2012, 32, 750–755. [Google Scholar] [CrossRef] [PubMed]
- Gavzy, S.J.; Kensiski, A.; Lee, Z.L.; Mongodin, E.F.; Ma, B.; Bromberg, J.S. Bifidobacterium mechanisms of immune modulation and tolerance. Gut Microbes 2023, 15, 2291164–2291186. [Google Scholar] [CrossRef] [PubMed]
- James, G.; Prasannan Geetha, P.; Thavarool Puthiyedathu, S.; Vattringal Jayadradhan, R.K. Applications of Actinobacteria in aquaculture: Prospects and challenges. 3 Biotech 2023, 13, 42–53. [Google Scholar] [CrossRef] [PubMed]
- Yu, Z.; Xue, Z.; Liu, C.; Zhang, A.; Fu, Q.; Yang, K.; Zhang, F.; Ran, L. Distinct microbiota assembly mechanisms revealed in different reconstruction stages during gut regeneration in the sea cucumber Apostichopus japonicus. MicrobiologyOpen 2021, 10, 1250–1264. [Google Scholar] [CrossRef]
- Zhang, Z.; Liu, Y.; Wang, Z.; Wang, Z.; Zhou, J.; Han, J.; Lu, C.; Li, Y.; Ming, T.; Su, X. Investigating of the microbial communities in a red circle disease of sea cucumber based on metagenomic sequencing. Aquac. Rep. 2023, 28, 101445–101454. [Google Scholar] [CrossRef]
- Song, M.; Zhang, S.; Xiao, K.; Zhang, X.; Li, C. Intestinal microbiota protects Vibrio splendidus induced intestinal epithelium damage by inhibiting apoptosis and promoting proliferation in Apostichopus japonicus. Aquaculture 2024, 588, 740924–740932. [Google Scholar] [CrossRef]
- Zhang, H.; Fang, J.; Zhang, H.; Cao, J. Complete genome sequence of a psychrotolerant and piezotolerant bacterium Parasedimentitalea marina W43(T), isolated from deep sea water of the New Britain trench. Mar. Genom. 2022, 61, 100915–100917. [Google Scholar] [CrossRef]
- Ali, A.M.; Abdel-Rahman, T.M.A.; Farahat, M.G. Bioprospecting of Culturable Halophilic Bacteria Isolated from Mediterranean Solar Saltern for Extracellular Halotolerant Enzymes. Microbiol. Biotechnol. Lett. 2024, 52, 76–87. [Google Scholar] [CrossRef]
- Ramírez-Durán, N.; de la Haba, R.R.; Vera-Gargallo, B.; Sánchez-Porro, C.; Alonso-Carmona, S.; Sandoval-Trujillo, H.; Ventosa, A. Taxogenomic and comparative genomic analysis of the genus Saccharomonospora focused on the identification of biosynthetic clusters PKS and NRPS. Front. Microbiol. 2021, 12, 603791. [Google Scholar] [CrossRef]






| Group | Base Feed | Marine Mud | EM Preparation | Yeast | Kelp Powder | Fermented Kelp Powder |
|---|---|---|---|---|---|---|
| Control group (CON) | 100% | 6× | – | – | – | – |
| Marine mud group (MM) | 100% | 10× | – | – | – | – |
| EM group (EM) | 100% | 6× | 2× | – | – | – |
| Yeast group (Y) | 100% | 6× | – | 2× | – | – |
| Kelp group (K) | 50% | 6× | – | – | 50% | – |
| Fermented kelp group (FK) | 50% | 6× | – | – | – | 50% |
| Culture Days (d) | CON | MM | EM | Y | K | FK |
|---|---|---|---|---|---|---|
| 7 | 6.67 ± 5.02 c | 13.33 ± 5.77 b | 20.00 ± 1.10 a | 13.33 ± 2.35 b | 13.33 ± 1.72 b | 13.33 ± 2.38 b |
| 14 | 7.14 ± 2.06 c | 14.29 ± 4.75 b | 28.57 ± 5.76 a | 14.29 ± 1.36 b | 14.29 ± 1.62 b | 28.57 ± 2.85 a |
| 21 | 15.38 ± 5.78 e | 23.07 ± 4.79 d | 46.15 ± 1.81 a | 30.77 ± 1.50 c | 23.08 ± 1.78 d | 38.46 ± 5.18 b |
| 28 | 33.33 ± 2.17 d | 41.67 ± 4.77 c | 75.00 ± 1.59 a | 66.67 ± 2.50 b | 66.67 ± 3.42 b | 75.00 ± 2.15 a |
| 35 | 54.55 ± 1.47 e | 63.64 ± 1.41 d | 90.91 ± 1.15 a | 81.82 ± 5.99 b | 72.73 ± 1.35 c | 90.91 ± 4.96 a |
| Culture Days (d) | CON | MM | EM | Y | K | FK |
|---|---|---|---|---|---|---|
| 0 | 72.53 ± 0.43 a | 72.53 ± 0.43 a | 72.53 ± 0.43 a | 72.53 ± 0.43 a | 72.53 ± 0.43 a | 72.53 ± 0.43 a |
| 7 | 67.73 ± 0.37 a | 67.28 ± 0.44 a | 67.24 ± 0.27 a | 68.45 ± 0.66 a | 67.75 ± 0.11 a | 67.97 ± 0.67 a |
| 14 | 66.82 ± 0.85 ab | 65.99 ± 0.54 b | 62.50 ± 0.57 d | 67.49 ± 0.32 a | 67.32 ± 0.33 ab | 64.03 ± 0.10 c |
| 21 | 65.48 ± 0.41 a | 63.21 ± 0.47 b | 57.39 ± 0.22 d | 60.42 ± 0.95 c | 55.11 ± 0.36 e | 58.50 ± 0.96 d |
| 28 | 63.25 ± 0.68 a | 61.54 ± 0.58 b | 51.99 ± 0.82 c | 53.15 ± 0.37 c | 53.36 ± 0.32 c | 52.89 ± 0.39 c |
| 35 | 59.62 ± 0.91 a | 59.54 ± 0.45 a | 56.92 ± 0.23 b | 53.55 ± 0.51 c | 53.42 ± 0.95 c | 54.54 ± 0.38 c |
| Culture Days (d) | CON | MM | EM | Y | K | FK |
|---|---|---|---|---|---|---|
| 0 | 10.34 ± 0.15 a | 10.34 ± 0.15 a | 10.34 ± 0.15 a | 10.34 ± 0.15 a | 10.34 ± 0.15 a | 10.34 ± 0.15 a |
| 7 | 10.55 ± 0.34 c | 10.61 ± 0.37 c | 11.37 ± 0.39 a | 11.08 ± 0.34 abc | 10.67 ± 0.28 bc | 11.25 ± 0.17 ab |
| 14 | 11.81 ± 0.37 c | 12.03 ± 0.37 bc | 13.12 ± 0.32 a | 12.36 ± 0.17 bc | 12.07 ± 0.15 bc | 12.50 ± 0.17 b |
| 21 | 12.26 ± 0.24 d | 12.55 ± 0.15 cd | 13.78 ± 0.37 a | 12.83 ± 0.23 bc | 12.17 ± 0.35 d | 13.26 ± 0.24 b |
| 28 | 12.77 ± 0.22 b | 13.12 ± 0.23 b | 14.14 ± 0.21a | 13.12 ± 0.38 b | 12.75 ± 0.39 b | 13.67 ± 0.21 a |
| 35 | 13.74 ± 0.28 d | 14.15 ± 0.32 d | 16.24 ± 0.24 a | 14.92 ± 0.28 c | 14.67 ± 0.19 c | 15.57 ± 0.13 b |
Disclaimer/Publisher’s Note: The statements, opinions and data contained in all publications are solely those of the individual author(s) and contributor(s) and not of MDPI and/or the editor(s). MDPI and/or the editor(s) disclaim responsibility for any injury to people or property resulting from any ideas, methods, instructions or products referred to in the content. |
© 2026 by the authors. Licensee MDPI, Basel, Switzerland. This article is an open access article distributed under the terms and conditions of the Creative Commons Attribution (CC BY) license.
Share and Cite
Hu, X.; Wang, C.; Wang, A.; Wang, G. Functional Feed Additives Promote Recovery from Runting and Stunting Syndrome in Apostichopus japonicus: Links Between Growth Traits, Digestive Function, and the Gut Microbiome. Fishes 2026, 11, 173. https://doi.org/10.3390/fishes11030173
Hu X, Wang C, Wang A, Wang G. Functional Feed Additives Promote Recovery from Runting and Stunting Syndrome in Apostichopus japonicus: Links Between Growth Traits, Digestive Function, and the Gut Microbiome. Fishes. 2026; 11(3):173. https://doi.org/10.3390/fishes11030173
Chicago/Turabian StyleHu, Xinyue, Chongyang Wang, Anqi Wang, and Guangyu Wang. 2026. "Functional Feed Additives Promote Recovery from Runting and Stunting Syndrome in Apostichopus japonicus: Links Between Growth Traits, Digestive Function, and the Gut Microbiome" Fishes 11, no. 3: 173. https://doi.org/10.3390/fishes11030173
APA StyleHu, X., Wang, C., Wang, A., & Wang, G. (2026). Functional Feed Additives Promote Recovery from Runting and Stunting Syndrome in Apostichopus japonicus: Links Between Growth Traits, Digestive Function, and the Gut Microbiome. Fishes, 11(3), 173. https://doi.org/10.3390/fishes11030173
