From Charcuterie to Plant-Based: Harnessing Penicillium nalgiovense for Innovative Soybean Co-Culture Fermentation
Abstract
1. Introduction
2. Materials and Methods
2.1. Microbial Strains and Culture Preparation
2.2. Preparation of Soybean Substrates
2.3. Inoculation and Solid-State Fermentation
2.4. Microbial Enumeration
2.5. Sample Preparation for Chemical Analysis
2.6. pH Measurement
2.7. High-Performance Liquid Chromatography (HPLC) for Sugar and Organic Acid Analysis
2.8. Amino Acid Analysis
2.9. Fatty Acid Methyl Ester (FAME) Analysis via GC-FID
2.10. Electronic Tongue (E-Tongue) Taste Profiling
2.11. Volatile Compound Profiling via GC-MS
2.12. Calculation of Odour Activity Values (OAVs)
2.13. Statistical Analysis
3. Results and Discussion
3.1. Changes in Microbial Population During Fermentation
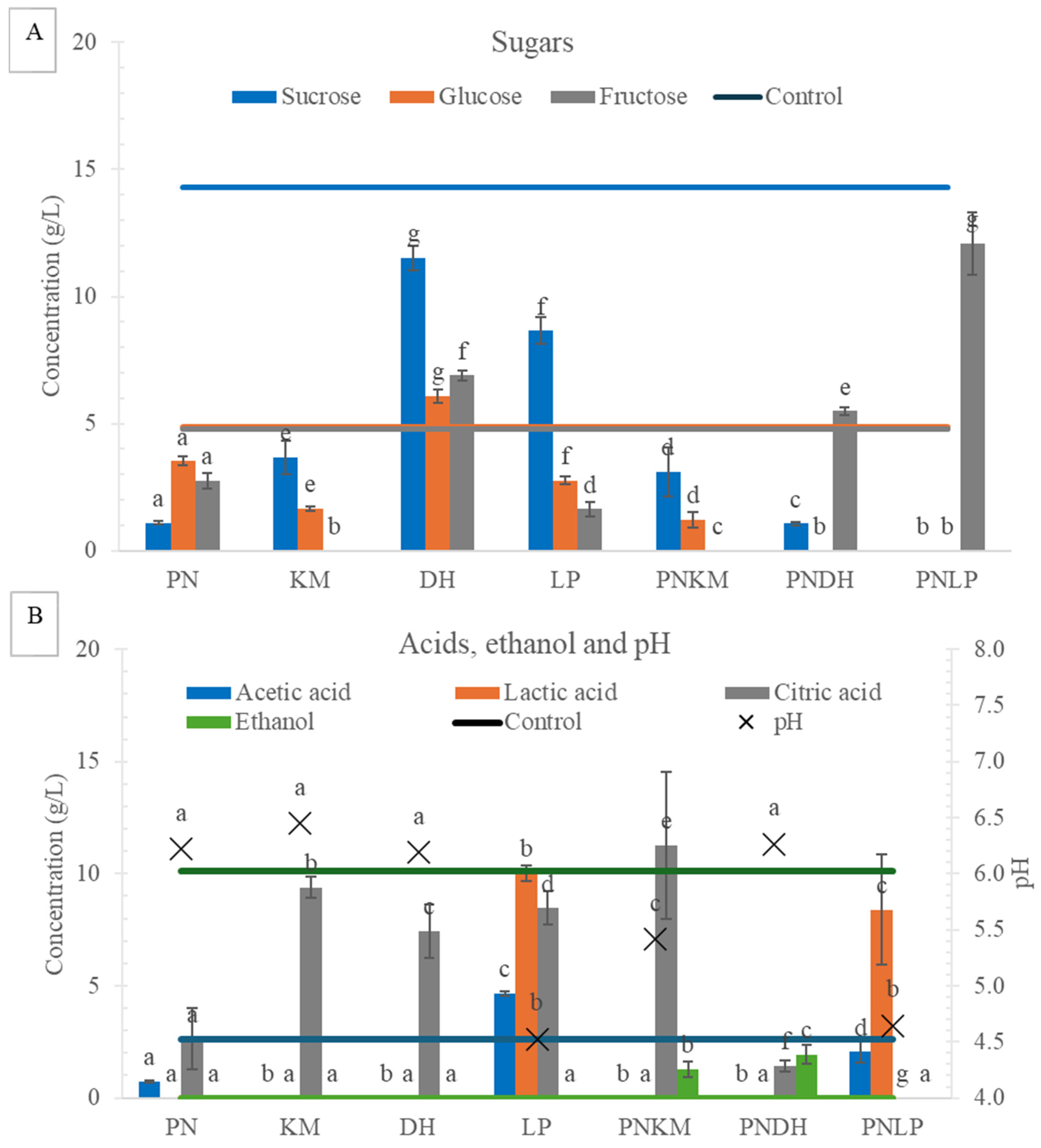
3.2. Substrate Utilisation and Metabolite Production
3.3. Free Amino Acid and E-Tongue Profiles
3.4. Fatty Acid Profile
3.5. Volatile Profile
4. Limitations and Future Work
5. Conclusions
Supplementary Materials
Author Contributions
Funding
Institutional Review Board Statement
Informed Consent Statement
Data Availability Statement
Conflicts of Interest
References
- Andreani, G.; Sogari, G.; Marti, A.; Froldi, F.; Dagevos, H.; Martini, D. Plant-Based Meat Alternatives: Technological, Nutritional, Environmental, Market, and Social Challenges and Opportunities. Nutrients 2023, 15, 452. [Google Scholar] [CrossRef]
- Smetana, S.; Ristic, D.; Pleissner, D.; Tuomisto, H.L.; Parniakov, O.; Heinz, V. Meat substitutes: Resource demands and environmental footprints. Resour. Conserv. Recycl. 2023, 190, 106831. [Google Scholar] [CrossRef]
- Elhalis, H.; See, X.Y.; Osen, R.; Chin, X.H.; Chow, Y. Significance of Fermentation in Plant-Based Meat Analogs: A Critical Review of Nutrition, and Safety-Related Aspects. Foods 2023, 12, 3222. [Google Scholar] [CrossRef] [PubMed]
- Zwinkels, J.; Wolkers-Rooijackers, J.; Smid, E.J. Solid-state fungal fermentation transforms low-quality plant-based foods into products with improved protein quality. LWT 2023, 184, 114979. [Google Scholar] [CrossRef]
- Yang, L.; Zhang, T.; Li, H.; Chen, T.; Liu, X. Control of Beany Flavor from Soybean Protein Raw Material in Plant-Based Meat Analog Processing. Foods 2023, 12, 923. [Google Scholar] [CrossRef]
- Messina, M.; Sievenpiper, J.L.; Williamson, P.; Kiel, J.; Erdman, J.W. Perspective: Soy-based Meat and Dairy Alternatives, Despite Classification as Ultra-processed Foods, Deliver High-quality Nutrition on Par with Unprocessed or Minimally Processed Animal-based Counterparts. Adv. Nutr. 2022, 13, 726–738. [Google Scholar] [CrossRef]
- Chen, L.; Madi, R.L.; Vadlani, P.V.; Li, L.; Wang, W. Value-Added Products from Soybean: Removal of Anti-Nutritional Factors via Bioprocessing. In Soybean; IntechOpen: London, UK, 2013. [Google Scholar]
- Do Prado, F.G.; Pagnoncelli, M.G.B.; De Melo Pereira, G.V.; Karp, S.G.; Soccol, C.R. Fermented Soy Products and Their Potential Health Benefits: A Review. Microorganisms 2022, 10, 1606. [Google Scholar] [CrossRef]
- Chilaka, C.A.; De Boevre, M.; Atanda, O.O.; De Saeger, S. Fate of Fusarium mycotoxins during processing of Nigerian traditional infant foods (ogi and soybean powder). Food Res. Int. 2019, 116, 408–418. [Google Scholar] [CrossRef] [PubMed]
- Chin, X.H.; Elhalis, H.; Chow, Y.; Liu, S.Q. Enhancing food safety in soybean fermentation through strategic implementation of starter cultures. Heliyon 2024, 10, e25007. [Google Scholar] [CrossRef]
- Lo, Y.; Bruxaux, J.; Rodríguez de la Vega, R.C.; O’Donnell, S.; Snirc, A.; Coton, M.; Le Piver, M.; Le Prieur, S.; Roueyre, D.; Dupont, J.; et al. Domestication in dry-cured meat Penicillium fungi: Convergent specific phenotypes and horizontal gene transfers without strong genetic subdivision. Evol. Appl. 2023, 16, 1637–1660. [Google Scholar] [CrossRef] [PubMed]
- Ludemann, V.; Pose, G.; Moavro, A.; Maliaviabarrena, M.G.; Fandiño, R.; Ripoll, G.; Basílico, J.C.; Pardo, A.G. Toxicological Assessment of Penicillium nalgiovense Strains for Use as Starter Cultures in the Manufacture of Dry Fermented Sausages. J. Food Prot. 2009, 72, 1666–1670. [Google Scholar] [CrossRef]
- Bernáldez, V.; Córdoba, J.J.; Rodríguez, M.; Cordero, M.; Polo, L.; Rodríguez, A. Effect of Penicillium nalgiovense as protective culture in processing of dry-fermented sausage “salchichón”. Food Control. 2013, 32, 69–76. [Google Scholar] [CrossRef]
- Sahu, S.; Parija, T.; Panda, S.K. Starter cultures: An insight into specific applications in flavoring and health promotion. In Indigenous Fermented Foods for the Tropics; Elsevier: Amsterdam, The Netherlands, 2023; pp. 409–418. [Google Scholar] [CrossRef]
- Chin, X.H.; Soh, R.; Chan, G.; Ng, P.; Thong, A.; Elhalis, H.; Kanagasundaram, Y.; Chow, Y.; Liu, S.Q. Leveraging Neurospora crassa in Co-culture fermentations: Modulating the taste, aroma, and enhancing fatty aroma profiles in fermented soybean products. LWT 2025, 235, 118651. [Google Scholar] [CrossRef]
- GB 5009.168-2016; National Food Safety Standard—Determination of Fatty Acids in Foods. National Health and Family Planning Commission of the People’s Republic of China: Beijing, China, 2016.
- Van Gemert, L.J. Odour thresholds. In Compilations of Odour Threshold Values in Air, Water and Other Media; Oliemans Punter & Partners: Utrecht, The Netherlands, 2011; Volume 2. [Google Scholar]
- Microsoft Corporation. Microsoft Excel; Version 2019 (16.0); Microsoft Corporation: Redmond, WA, USA, 2018; Available online: https://office.microsoft.com/excel (accessed on 8 February 2025).
- R Core Team. R: A Language and Environment for Statistical Computing; R Foundation for Statistical Computing: Vienna, Austria, 2021; Available online: https://www.R-project.org/ (accessed on 8 February 2025).
- Hou, A.; Chen, P.; Shi, A.; Zhang, B.; Wang, Y.-J. Sugar Variation in Soybean Seed Assessed with a Rapid Extraction and Quantification Method. Int. J. Agron. 2009, 2009, 484571. [Google Scholar] [CrossRef]
- Alasmar, R.; Ul-Hassan, Z.; Zeidan, R.; Al-Thani, R.; Al-Shamary, N.; Alnaimi, H.; Migheli, Q.; Jaoua, S. Isolation of a Novel Kluyveromyces marxianus Strain QKM-4 and Evidence of Its Volatilome Production and Binding Potentialities in the Biocontrol of Toxigenic Fungi and Their Mycotoxins. ACS Omega 2020, 5, 17637–17645. [Google Scholar] [CrossRef]
- Laranjo, M.; Potes, M.E.; Elias, M. Role of Starter Cultures on the Safety of Fermented Meat Products. Front. Microbiol. 2019, 10, 853. [Google Scholar] [CrossRef] [PubMed]
- Wittmann, C.; Hans, M.; Bluemke, W. Metabolic physiology of aroma-producing Kluyveromyces marxianus. Yeast 2002, 19, 1351–1363. [Google Scholar] [CrossRef]
- Wrent, P.; Rivas, E.M.; Gil De Prado, E.; Peinado, J.M.; De Silóniz, M.I. Debaryomyces. In Encyclopedia of Food Microbiology; Elsevier: Amsterdam, The Netherlands, 2014; pp. 563–570. [Google Scholar] [CrossRef]
- Poonawalla, F.M.; Patel, K.L.; Iyengar, M.R.S. Invertase Production by Penicillium chrysogenum and Other Fungi in Submerged Fermentation. Appl. Microbiol. 1965, 13, 749–754. [Google Scholar] [CrossRef]
- Lück, H. Invertase. In Methods of Enzymatic Analysis; Elsevier: Amsterdam, The Netherlands, 1965; pp. 901–907. [Google Scholar] [CrossRef]
- Zhang, Y.; Yang, H.; Huang, R.; Wang, X.; Ma, C.; Zhang, F. Effects of Lactiplantibacillus plantarum and Lactiplantibacillus brevis on fermentation, aerobic stability, and the bacterial community of paper mulberry silage. Front. Microbiol. 2022, 13, 1063914. [Google Scholar] [CrossRef]
- Chypre, M.; Zaidi, N.; Smans, K. ATP-citrate lyase: A mini-review. Biochem. Biophys. Res. Commun. 2012, 422, 1–4. [Google Scholar] [CrossRef] [PubMed]
- Antranikian, G.; Giffhorn, F. Citrate metabolism in anaerobic bacteria. FEMS Microbiol. Lett. 1987, 46, 175–198. [Google Scholar] [CrossRef]
- Kim, T.-Y.; Lee, S.-W.; Oh, M.-K. Biosynthesis of 2-phenylethanol from glucose with genetically engineered Kluyveromyces marxianus. Enzym. Microb. Technol. 2014, 61–62, 44–47. [Google Scholar] [CrossRef]
- Mardawati, E.; Febrianti, E.A.; Fitriana, H.N.; Yuliana, T.; Putriana, N.A.; Suhartini, S.; Kasbawati. An Integrated Process for the Xylitol and Ethanol Production from Oil Palm Empty Fruit Bunch (OPEFB) Using Debaryomyces hansenii and Saccharomyces cerevisiae. Microorganisms 2022, 10, 2036. [Google Scholar] [CrossRef] [PubMed]
- Mo, W.; Wang, M.; Zhan, R.; Yu, Y.; He, Y.; Lu, H. Kluyveromyces marxianus developing ethanol tolerance during adaptive evolution with significant improvements of multiple pathways. Biotechnol. Biofuels 2019, 12, 63. [Google Scholar] [CrossRef]
- Yazdi-Samadi, B.; Rinne, R.W.; Seif, R.D. Components of Developing Soybean Seeds: Oil, Protein, Sugars, Starch, Organic Acids, and Amino Acids. Agron. J. 1977, 69, 481–486. [Google Scholar] [CrossRef]
- Kim, S.-G.; Kim, H.-Y. Proteolysis of dry-cured ham according to the type and temperature of starter mixed with Debaryomyces hansenii and Penicillium nalgiovense. Food Biosci. 2024, 58, 103787. [Google Scholar] [CrossRef]
- Yang, D.; Li, C.; Li, L.; Wang, Y.; Wu, Y.; Chen, S.; Zhao, Y.; Wei, Y.; Wang, D. Novel insight into the formation mechanism of umami peptides based on microbial metabolism in Chouguiyu, a traditional Chinese fermented fish. Food Res. Int. 2022, 157, 111211. [Google Scholar] [CrossRef]
- Zhang, K.; Zhang, T.-T.; Guo, R.-R.; Ye, Q.; Zhao, H.-L.; Huang, X.-H. The regulation of key flavor of traditional fermented food by microbial metabolism: A review. Food Chem. X 2023, 19, 100871. [Google Scholar] [CrossRef] [PubMed]
- Sharma, S.; Kaur, M.; Goyal, R.; Gill, B.S. Physical characteristics and nutritional composition of some new soybean (Glycine max (L.) Merrill) genotypes. J. Food Sci. Technol. 2014, 51, 551–557. [Google Scholar] [CrossRef]
- Shahidi, F.; Hossain, A. Role of Lipids in Food Flavor Generation. Molecules 2022, 27, 5014. [Google Scholar] [CrossRef] [PubMed]
- Liu, H.; Wang, Z.; Zhang, D.; Shen, Q.; Hui, T.; Ma, J. Generation of key aroma compounds in Beijing roasted duck induced via Maillard reaction and lipid pyrolysis reaction. Food Res. Int. 2020, 136, 109328. [Google Scholar] [CrossRef]
- Bennett, A.S.; Quackenbush, F.W. Synthesis of unsaturated fatty acids by Penicillium chrysogenum. Arch. Biochem. Biophys. 1969, 130, 567–572. [Google Scholar] [CrossRef]
- Vong, W.C.; Liu, S. Changes in volatile profile of soybean residue (okara) upon solid-state fermentation by yeasts. J. Sci. Food Agric. 2017, 97, 135–143. [Google Scholar] [CrossRef]
- García-Calvo, L.; Rodríguez-Castro, R.; Ullán, R.V.; Albillos, S.M.; Fernández-Aguado, M.; Vicente, C.M.; Degnes, K.F.; Sletta, H.; Barreiro, C. Penicillium chrysogenum as a fungal factory for feruloyl esterases. Appl. Microbiol. Biotechnol. 2023, 107, 691–717. [Google Scholar] [CrossRef]
- Liu, M.; Bienfait, B.; Sacher, O.; Gasteiger, J.; Siezen, R.J.; Nauta, A.; Geurts, J.M.W. Combining Chemoinformatics with Bioinformatics: In Silico Prediction of Bacterial Flavor-Forming Pathways by a Chemical Systems Biology Approach “Reverse Pathway Engineering.”. PLoS ONE 2014, 9, e84769. [Google Scholar] [CrossRef] [PubMed]
- Jimïnez, N.; Curiel, J.A.; Reverïn, I.; De Las Rivas, B.; Muïoz, R. Uncovering the Lactobacillus plantarum WCFS1 Gallate Decarboxylase Involved in Tannin Degradation. Appl. Environ. Microbiol. 2013, 79, 4253–4263. [Google Scholar] [CrossRef] [PubMed]
- Valdez Castillo, M.; Pachapur, V.L.; Brar, S.K.; Arriaga, S.; Blais, J.-F.; Avalos Ramirez, A. Effect of the concentration of L-Phenylalanine and lactose on 2-Phenylethanol production by whey fermentation using the yeasts Kluyveromyces marxianus and Debaryomyces hansenii under co-culture mode. Bioresour. Technol. Rep. 2022, 18, 100994. [Google Scholar] [CrossRef]








| Sample | Concentration (mg/g wwb) | ||||
|---|---|---|---|---|---|
| Glutamic Acid (Glu) | Aspartic Acid (Asp) | Methionine (Met) | Cysteine (Cys) | Total (Glu + Asp + Met + Cys) | |
| Control | 0.17 ± 0.04 c | 0.07 ± 0.00 c | 0.50 ± 0.00 b | ND a | 0.74 |
| PN | 5.06 ± 0.74 g | 1.47 ± 0.27 f | 0.82 ± 0.04 d | 0.10 ± 0.01 b | 7.45 |
| KM | ND a | ND a | 0.89 ± 0.22 d | 0.09 ± 0.02 b | 0.98 |
| DH | 0.09 ± 0.11 b | 0.03 ± 0.01 b | 1.08 ± 0.01 a | 0.10 ± 0.03 b | 1.30 |
| LP | 0.09 ± 0.00 b | 0.04 ± 0.01 b | ND c | ND a | 0.13 |
| PNKM | 0.23 ± 0.08 d | 0.12 ± 0.02 d | 0.59 ± 0.06 b | 0.05 ± 0.03 c | 0.99 |
| PNDH | 1.71 ± 0.13 e | 0.48 ± 0.06 e | 0.66 ± 0.04 e | 0.08 ± 0.01 b | 2.93 |
| PNLP | 4.83 ± 0.73 f | 1.59 ± 0.23 g | 1.36 ± 0.04 f | 0.09 ± 0.01 b | 7.87 |
Disclaimer/Publisher’s Note: The statements, opinions and data contained in all publications are solely those of the individual author(s) and contributor(s) and not of MDPI and/or the editor(s). MDPI and/or the editor(s) disclaim responsibility for any injury to people or property resulting from any ideas, methods, instructions or products referred to in the content. |
© 2026 by the authors. Licensee MDPI, Basel, Switzerland. This article is an open access article distributed under the terms and conditions of the Creative Commons Attribution (CC BY) license.
Share and Cite
Chin, X.H.; Soh, R.; Chan, G.; Ng, P.; Thong, A.; Elhalis, H.; Kanagasundaram, Y.; Chow, Y.; Liu, S.Q. From Charcuterie to Plant-Based: Harnessing Penicillium nalgiovense for Innovative Soybean Co-Culture Fermentation. Foods 2026, 15, 1053. https://doi.org/10.3390/foods15061053
Chin XH, Soh R, Chan G, Ng P, Thong A, Elhalis H, Kanagasundaram Y, Chow Y, Liu SQ. From Charcuterie to Plant-Based: Harnessing Penicillium nalgiovense for Innovative Soybean Co-Culture Fermentation. Foods. 2026; 15(6):1053. https://doi.org/10.3390/foods15061053
Chicago/Turabian StyleChin, Xin Hui, Ryan Soh, Geraldine Chan, Pnelope Ng, Aaron Thong, Hosam Elhalis, Yoganathan Kanagasundaram, Yvonne Chow, and Shao Quan Liu. 2026. "From Charcuterie to Plant-Based: Harnessing Penicillium nalgiovense for Innovative Soybean Co-Culture Fermentation" Foods 15, no. 6: 1053. https://doi.org/10.3390/foods15061053
APA StyleChin, X. H., Soh, R., Chan, G., Ng, P., Thong, A., Elhalis, H., Kanagasundaram, Y., Chow, Y., & Liu, S. Q. (2026). From Charcuterie to Plant-Based: Harnessing Penicillium nalgiovense for Innovative Soybean Co-Culture Fermentation. Foods, 15(6), 1053. https://doi.org/10.3390/foods15061053

