Sign in to use this feature.

Years

Between: -

Subjects

remove_circle_outline
remove_circle_outline
remove_circle_outline
remove_circle_outline
remove_circle_outline
remove_circle_outline
remove_circle_outline
remove_circle_outline
remove_circle_outline

Journals

remove_circle_outline
remove_circle_outline
remove_circle_outline
remove_circle_outline
remove_circle_outline
remove_circle_outline
remove_circle_outline
remove_circle_outline
remove_circle_outline
remove_circle_outline
remove_circle_outline

Article Types

Countries / Regions

remove_circle_outline
remove_circle_outline
remove_circle_outline
remove_circle_outline
remove_circle_outline
remove_circle_outline

Search Results (1,634)

Search Parameters:
Keywords = magnetic saturation

Order results
Result details
Results per page
Select all
Export citation of selected articles as:
19 pages, 3858 KB  
Article
An Enhanced Grid-Forming Control Strategy for Suppressing Magnetizing Inrush Current During Black Start of Wind-Storage Systems
by Tieheng Zhang, Yucheng Hou, Yifeng Ding, Yi Wan, Xin Cao, Derui Cai and Jianhui Meng
Electronics 2025, 14(22), 4431; https://doi.org/10.3390/electronics14224431 - 13 Nov 2025
Abstract
Grid-forming wind-storage systems can serve as black-start power sources capable of autonomously establishing voltage and frequency references when the external grid is unavailable, thereby providing crucial support for rapid grid restoration. However, during the black-start process, energizing unloaded transformers often induces severe magnetizing [...] Read more.
Grid-forming wind-storage systems can serve as black-start power sources capable of autonomously establishing voltage and frequency references when the external grid is unavailable, thereby providing crucial support for rapid grid restoration. However, during the black-start process, energizing unloaded transformers often induces severe magnetizing inrush currents, which may cause transient overcurrent, damage grid-forming converters, and compromise system stability. To address this issue, this paper proposes a segmented zero-voltage start strategy and a dual-side converter multi-mode switching control scheme based on small-capacity distributed energy storage. First, the formation mechanism of transformer magnetizing inrush under no-load energization is analyzed. A segmented zero-voltage start module is embedded into the outer voltage loop of the virtual synchronous generator (VSG) controller to enable a smooth rise in output voltage, effectively mitigating transient impacts caused by magnetic core saturation. Second, considering the operating requirements during self-start and load restoration stages, a coordinated control framework for dual-side converters is designed to achieve dynamic voltage, frequency, and power regulation with limited energy storage capacity, thereby improving transient stability and energy utilization efficiency. Finally, real-time hardware-in-the-loop (HIL) simulations conducted on an RT-LAB platform verify the feasibility of the proposed control strategy. The results demonstrate that the method can significantly suppress magnetizing inrush current, transient overvoltage, and overcurrent, thus enhancing the success rate and dynamic stability of black-start operations in grid-forming wind-storage systems. Full article
Show Figures

Figure 1

17 pages, 4118 KB  
Article
Research on the Design and Control Method of Robotic Flexible Magneto-Rheological Actuator
by Ran Shi, Sheng Jian, Guangzeng Chen and Pengpeng Yao
Sensors 2025, 25(22), 6921; https://doi.org/10.3390/s25226921 - 12 Nov 2025
Viewed by 117
Abstract
To meet the safety and compliance requirements pertaining to robots when interacting physically with humans or the environment in unstructured settings such as households and factories, in this study, we focus on methods for the design and control of a flexible robotic magneto-rheological [...] Read more.
To meet the safety and compliance requirements pertaining to robots when interacting physically with humans or the environment in unstructured settings such as households and factories, in this study, we focus on methods for the design and control of a flexible robotic magneto-rheological actuator (MRA). Firstly, for the magneto-rheological fluid clutch (MRC), which is the core component of the MRA, an equivalent magnetic circuit model was established to accurately calculate the magnetic field inside the clutch, and a thermal circuit model was constructed to analytically determine the operating temperature of each component. Considering practical engineering constraints, including mechanical structure, magnetic saturation, maximum current, and maximum temperature, a genetic algorithm was used to optimize parameters of the MRC. Secondly, based on the dynamic characteristics of the MRA, a dynamic model incorporating the motor, reducer, MRC, and load link was established. Given scenarios where torque sensors cannot be installed due to cost and structural space limitations, a model reference PID feedforward control strategy was designed. Torque was estimated using input current. Finally, an experimental platform was built, and static and dynamic torque output experiments were conducted. These experiments verified the excellent torque tracking performance of the designed MRA. Through multi-physics modeling, parameter optimization, and control strategy design, this paper provides a solution for flexible robotic joints that integrates high torque, high compliance, and safety. Full article
(This article belongs to the Section Sensors and Robotics)
Show Figures

Figure 1

17 pages, 2914 KB  
Article
Measurement of Glutamate Suppression in a 6-OHDA-Induced Dopamine Deficiency Rat Model Following Acute Single-Dose L-DOPA Using GluCEST/MRS
by Tensei Nakano, Kazuma Bono, Junpei Ueda, Masato Ohmi and Shigeyoshi Saito
Biomedicines 2025, 13(11), 2761; https://doi.org/10.3390/biomedicines13112761 - 12 Nov 2025
Viewed by 224
Abstract
Background/Objectives: The Glutamate Chemical Exchange Saturation Transfer (GluCEST) technique is an advanced imaging modality that enables non-invasive glutamate quantification using MRI. Methods: This study evaluated glutamate dynamics in Parkinson’s disease (PD) using a unilateral PD rat model, in which Wistar rats [...] Read more.
Background/Objectives: The Glutamate Chemical Exchange Saturation Transfer (GluCEST) technique is an advanced imaging modality that enables non-invasive glutamate quantification using MRI. Methods: This study evaluated glutamate dynamics in Parkinson’s disease (PD) using a unilateral PD rat model, in which Wistar rats received 6-hydroxydopamine (6-OHDA) injections into the medial forebrain bundle, selectively eliminating dopaminergic neurons in the substantia nigra–striatum pathway. Results: The PD rat model exhibited a significant GluCEST increase (MTR Values: 3.0 ppm) compared to the sham-operated group, which was suppressed by administration of L-DOPA, a dopamine precursor drug (Sham: 0.9 ± 0.4%, PD: 2.0 ± 0.2%, Sham L-DOPA: 0.9 ± 0.5%, PD_L-DOPA: 0.8 ± 0.7%, p < 0.01). Additionally, magnetic resonance spectroscopy-derived glutamate data were consistent with GluCEST findings (Sham: 1.4 ± 0.03, PD: 1.7 ± 0.06, Sham_L-DOPA: 1.4 ± 0.12, PD_L-DOPA: 1.4 ± 0.10, p < 0.01). Conclusions: These findings suggest that GluCEST and magnetic resonance spectroscopy are valuable for assessing abnormal glutamate dynamics in the 6-OHDA-induced rat PD model. Furthermore, GluCEST may detect suppressed glutamate secretion following L-DOPA treatment, underscoring its potential for monitoring disease progression and therapeutic responses in PD. Full article
Show Figures

Figure 1

14 pages, 2974 KB  
Article
Microstructural and Magnetic Evolution of α″-Fe16N2 Bulk Magnets Consolidated by Spark Plasma Sintering
by Marian Grigoras, Mihaela Lostun, Marieta Porcescu, George Stoian and Nicoleta Lupu
Crystals 2025, 15(11), 969; https://doi.org/10.3390/cryst15110969 - 11 Nov 2025
Viewed by 142
Abstract
The development of rare-earth-free permanent magnets represents a strategic direction in advanced magnetic materials research. Among the most promising candidates, the metastable α″-Fe16N2 phase stands out due to its exceptionally high saturation magnetization. In this work, α″-Fe16N2 [...] Read more.
The development of rare-earth-free permanent magnets represents a strategic direction in advanced magnetic materials research. Among the most promising candidates, the metastable α″-Fe16N2 phase stands out due to its exceptionally high saturation magnetization. In this work, α″-Fe16N2 powders produced by gas atomization followed by nitriding were consolidated via Spark Plasma Sintering (SPS). The effects of sintering temperature (498–598 K) and pressure (40–80 MPa) on phase evolution, densification, microstructure, and magnetic properties have been systematically investigated. Optimal processing conditions were identified at 548 K and 60 MPa, providing a balance between densification (~80% of the theoretical density), phase stability, and magnetic performance. X-ray diffraction revealed that the α″-Fe16N2 phase remains stable up to ~523 K, while its decomposition into α-Fe and γ′-Fe4N becomes significant at higher temperatures. The consolidated samples exhibited a saturation magnetization of ~230 Am2/kg, a maximum coercivity of ~86.5 kA/m, and a Mr/Ms ratio of 0.42. δM curve analysis indicated a transition from magnetostatic interactions (at low pressures) to exchange-dominated coupling (at intermediate and high pressures). These findings demonstrate the potential of SPS processing to preserve the α″-Fe16N2 phase and produce rare-earth-free magnetic compacts with competitive magnetic performance, providing a basis for further process optimization. Full article
(This article belongs to the Special Issue New Trends in Materials for Permanent Magnets)
Show Figures

Figure 1

22 pages, 10609 KB  
Article
Fault Diagnosis and Location Method for Stator-Winding Single-Phase Grounding of Large Generator Based on Stepped-Frequency Pulse Injection
by Binghui Lei, Shuai Xu, Yang Liu, Weiguo Zu, Mingtao Yu, Yanxun Guo, Lianghui Dong and Zhiping Cheng
Sensors 2025, 25(22), 6875; https://doi.org/10.3390/s25226875 - 11 Nov 2025
Viewed by 137
Abstract
Ensuring the safe operation of large hydro-generators is essential for energy supply and economic development. Stator-winding single-phase grounding faults are among the most common failures in such generators. Conventional protection methods—such as fundamental voltage protection, third-harmonic voltage saturation, and low-frequency injection—lack fault location [...] Read more.
Ensuring the safe operation of large hydro-generators is essential for energy supply and economic development. Stator-winding single-phase grounding faults are among the most common failures in such generators. Conventional protection methods—such as fundamental voltage protection, third-harmonic voltage saturation, and low-frequency injection—lack fault location capability and cannot assess the fault severity. This paper proposes a stepwise variable-frequency pulse injection method for fault diagnosis and location in large hydro-generator stator windings. A finite element model of a salient-pole hydro-generator is established to analyze magnetic flux density and electromotive force distributions under normal and fault conditions, from which fault characteristics are derived. Equivalent circuit models suitable for low- and high-frequency pulse injection are developed. A bidirectional pulse injection circuit and algorithm are designed to identify the fault phase via terminal current vector characteristics, diagnose the faulty branch based on leakage loop equivalent inductance, and locate the fault point using voltage–current signal slopes. Simulation results validate the effectiveness of the proposed diagnostic approach. Full article
(This article belongs to the Section Fault Diagnosis & Sensors)
Show Figures

Figure 1

27 pages, 2961 KB  
Article
Mechanical Parameter Identification of Permanent Magnet Synchronous Motor Based on Symmetry
by Xing Ming, Xiaoyu Wang, Fucong Liu, Yi Qu, Bingyin Zhou, Shuolin Zhang and Ping Yu
Symmetry 2025, 17(11), 1929; https://doi.org/10.3390/sym17111929 - 11 Nov 2025
Viewed by 185
Abstract
Permanent Magnet Synchronous Motors (PMSMs) have been widely applied across various electrical systems due to their significant advantages, including high power density, high-efficiency conversion, and easy controllability. However, the issue of ‘parameter asymmetry’ (a mismatch between the controller’s preset parameters and the actual [...] Read more.
Permanent Magnet Synchronous Motors (PMSMs) have been widely applied across various electrical systems due to their significant advantages, including high power density, high-efficiency conversion, and easy controllability. However, the issue of ‘parameter asymmetry’ (a mismatch between the controller’s preset parameters and the actual system parameters) in PMSMs can lead to performance problems, such as delayed speed response and increased overshoot. The destruction of symmetry, including the asymmetric weight distribution between new and old data in the moment-of-inertia identification algorithm and the asymmetry between “measured values and true values” caused by sampling delay, is the core factor limiting the system’s control performance. All these factors significantly affect the accuracy of parameter identification and the system’s stability. To address this, this study focuses on the mechanical parameter identification of PMSMs with the core goal of “symmetric matching between set values and true values”. Firstly, a current-speed dual closed-loop vector control system model is constructed. The PI parameters are tuned to meet the symmetric tracking requirements of “set value-feedback” in the dual loops, and the influence of the PMSM’s moment of inertia on the loop symmetry is analyzed. Secondly, the symmetry defects of traditional algorithms are highlighted, such as the imbalance between “data weight and working condition characteristics” in the least-squares method and the mismatch between “set inertia and true inertia” caused by data saturation. Finally, a Forgetting Factor Recursive Least Squares (FFRLS) scheme is proposed: the timing asymmetry of signals is corrected via a first-order inertial link, a forgetting factor λ is introduced to balance data weights, and a recursive structure is adopted to avoid data saturation. Simulation results show that when λ = 0.92, the identification accuracy reaches +5% with a convergence time of 0.39 s. Moreover, dynamic symmetry can still be maintained under multiple multiples of inertia, thereby improving identification performance and ensuring symmetry in servo control. Full article
(This article belongs to the Special Issue Symmetry in Power System Dynamics and Control)
Show Figures

Figure 1

24 pages, 10025 KB  
Article
Holocene Paleoflood Stratigraphy and Sedimentary Events in the Poompuhar Reach, Lower Cauvery River
by Somasundharam Magalingam and Selvakumar Radhakrishnan
GeoHazards 2025, 6(4), 78; https://doi.org/10.3390/geohazards6040078 - 10 Nov 2025
Viewed by 207
Abstract
The Late Holocene flood history of the Cauvery River floodplain in the Poompuhar region was reconstructed using a multiproxy sedimentological approach applied to three trench cores. Lithostratigraphy, loss on ignition (LOI), magnetic susceptibility (MS), sand–silt–clay textural analysis, granulometric statistics (Folk and Ward), Passega [...] Read more.
The Late Holocene flood history of the Cauvery River floodplain in the Poompuhar region was reconstructed using a multiproxy sedimentological approach applied to three trench cores. Lithostratigraphy, loss on ignition (LOI), magnetic susceptibility (MS), sand–silt–clay textural analysis, granulometric statistics (Folk and Ward), Passega CM diagrams, and grain angularity provide complementary evidence to differentiate high-energy flood deposits from background slackwater sediments. Grain-size processing and statistical analyses were carried out in R using the G2Sd package, ensuring reproducible quantification of mean size, sorting, skewness, kurtosis, and transport signatures. We identified 10 discrete high-energy event beds. These layers are characterised by >80% sand content, low LOI (<3.5%), and low frequency-dependent MS (χfd% < 2%), confirming rapid, mineral-dominated deposition. A tentative chronology, projected from the regional aggradation rate, suggests two major flood clusters: a maximum-magnitude event at ~3.2 ka and a synchronous cluster at ~1.6–1.8 ka. These events chronologically align with the documented phases of channel avulsion in the adjacent Palar River Basin, supporting the existence of a synchronised Late Holocene climato-tectonic regime across coastal Tamil Nadu. This hydrological evidence supports the hypothesis that recurrent high-magnitude flooding triggered catastrophic channel avulsion of the Cauvery distributary, leading to the fluvial abandonment and decline of the ancient port city of Poompuhar. Securing an absolute chronology requires advanced K-feldspar post-IR IRSL dating to overcome quartz saturation issues in fluvial deposits. Full article
Show Figures

Figure 1

15 pages, 3641 KB  
Article
Magnetic Properties of Nitrogen-Doped Graphene Induced by Dopant Configurations
by Madhuparna Chakraborty, Gregory Jensen, David C. Ingram, Eric Stinaff and Wojciech M. Jadwisienczak
Nanomaterials 2025, 15(22), 1694; https://doi.org/10.3390/nano15221694 - 9 Nov 2025
Viewed by 252
Abstract
In this study, we experimentally demonstrate that the magnetic properties of nitrogen-doped graphene (NG) are influenced by the configuration of nitrogen dopants, namely graphitic, pyridinic, and pyrrolic, along with the overall nitrogen concentration. The NG materials were prepared via a two-step thermal treatment [...] Read more.
In this study, we experimentally demonstrate that the magnetic properties of nitrogen-doped graphene (NG) are influenced by the configuration of nitrogen dopants, namely graphitic, pyridinic, and pyrrolic, along with the overall nitrogen concentration. The NG materials were prepared via a two-step thermal treatment process. The first step involved heating in ammonia at 400 °C, followed by a second post-annealing step at 600 °C. Scanning Electron Microscopy–Energy Dispersive X-ray Spectroscopy (SEM–EDS) analysis performed at 25 μm resolution confirmed uniform elemental distribution across the samples. X-ray photoelectron spectroscopy (XPS) revealed that while the total nitrogen content decreased from 11.9 at.% in NG to 5.5 at.% in the post-annealed sample, the ratio of graphitic to pyrrolic nitrogen increased from 0.4% to 3.8% and the ratio of graphitic to pyridinic nitrogen increased from 0.8% to 2.5%. Raman spectroscopy confirmed the presence of prominent D and G bands at ~1352 cm−1 and ~1589 cm−1, respectively, along with a 2D band at ~2692 cm−1, indicating the presence of few-layered graphene and defect-related features. The IDIG ratio increased from 1.12 to 1.27 in the post-annealed sample, indicating increased disorder after annealing. Magnetic characterization showed a marked enhancement in the magnetic properties with increased graphitic nitrogen content. The saturation magnetization (Ms) reached 0.13 emu g−1, ~42% higher than that of the material heated in ammonia, with the coercivity increasing from 40 Oe to 750 Oe. These results emphasize the pivotal role of nitrogen configuration in the graphene host, specifically the promotion of graphitic nitrogen species, in tailoring the ferromagnetic response of NG. Full article
Show Figures

Figure 1

22 pages, 5674 KB  
Article
Numerical Modeling and Multiscale Evaluation of Fe3O4–Graphene Oxide Nanofluids in Electromagnetic Heating for Colombian Heavy Oil Recovery
by Paola A. León, Andres F. Ortíz, Jimena Gómez-Delgado, Daniela Barrera, Fabian Tapias, Nicolas Santos and Enrique Mejía-Ospino
Energies 2025, 18(22), 5868; https://doi.org/10.3390/en18225868 - 7 Nov 2025
Viewed by 260
Abstract
Electromagnetic heating (EMH) using microwaves has emerged as a promising enhanced oil recovery (EOR) technique, particularly for heavy crude oils where conventional thermal methods encounter technical and environmental challenges. However, its large-scale implementation remains limited due to incomplete understanding of its energy transfer [...] Read more.
Electromagnetic heating (EMH) using microwaves has emerged as a promising enhanced oil recovery (EOR) technique, particularly for heavy crude oils where conventional thermal methods encounter technical and environmental challenges. However, its large-scale implementation remains limited due to incomplete understanding of its energy transfer mechanisms. This study proposes an experimental–numerical approach integrating magnetic graphene oxide nanoparticles (Fe3O4@GO) with microwave heating to enhance energy absorption near the wellbore. The nanomaterial was synthesized via a modified Hummer’s method followed by in situ magnetite precipitation and studied through multiple material characterization techniques showing uniform 80 nm particles with superparamagnetic behavior—ideal for EMH applications. Nine experiments were conducted on sand–heavy-oil–water systems with nanoparticle concentrations up to 500 ppm using a laboratory microwave heating prototype. A simulation model was then developed in CMG-STARS for history matching to estimate energy absorption as a function of saturation and nanoparticle concentration. Experiments reached temperatures up to 240 °C, with 653 MJ of effective heat transferred to the target zone over 55 h, as estimated from the input heat required in the simulator for history matching. The results confirm that magnetic graphene oxide nanoparticles enhance thermal efficiency and heat distribution in microwave-assisted EOR. Full article
Show Figures

Figure 1

55 pages, 17120 KB  
Review
Magnetic Hydrogels as a Treatment for Oncological Pathologies
by Veronica Manescu (Paltanea), Adrian-Vasile Dumitru, Aurora Antoniac, Iulian Antoniac, Gheorghe Paltanea, Elena-Cristina Zeca (Berbecar), Mirela Gherghe, Iosif Vasile Nemoianu, Alexandru Streza, Costel Paun and Sebastian Gradinaru
J. Funct. Biomater. 2025, 16(11), 414; https://doi.org/10.3390/jfb16110414 - 5 Nov 2025
Viewed by 656
Abstract
Cancer is considered today as a prevalent research direction due to the fact that, by 2050, more than 30 million cases will occur, followed by about 19 million deaths. It is expected that scholars will search for new, innovative, and localized therapies to [...] Read more.
Cancer is considered today as a prevalent research direction due to the fact that, by 2050, more than 30 million cases will occur, followed by about 19 million deaths. It is expected that scholars will search for new, innovative, and localized therapies to ensure a much more targeted treatment with reduced side effects. Magnetic hydrogels overcome the disadvantages of classical magnetic nanoparticles in various oncological domains, including magnetic hyperthermia, theragnostic, immunotherapy, and, notably, regenerative medicine and contrast substances. We will review the magnetic hydrogel topics that may be involved as a potential application for cancer. Firstly, we present the international context and subject importance in the framework of statistics estimated by some researchers. Then, the magnetic hydrogel synthesis method will be briefly described with examples extracted from the literature. Supplementary, we will emphasize the main attributes of an ideal magnetic hydrogel, and last but not least, we will review some of the latest in vitro and in vivo studies in a direct relationship with magnetic hyperthermia, chemotherapeutic drug release dynamics, and immunotherapy used as single strategies or in combination, by underling the magnetic properties of the hydrogels and importance of application of magnetic fields. We will conclude our review paper by discussing toxicity issues, future trends, limitations, and proposed new approaches to address them. Full article
Show Figures

Graphical abstract

12 pages, 956 KB  
Article
Impact of Vertical Magnetic Field on Onset of Instability of a Casson Fluid Saturated Porous Layer: A Nonlinear Theory
by S. Suresh Kumar Raju, Fatemah H. H. Al Mukahal, Hasan Mulki and Saleh Mahmoud
Mathematics 2025, 13(21), 3550; https://doi.org/10.3390/math13213550 - 5 Nov 2025
Viewed by 149
Abstract
This study examines the stability and instability of a Casson fluid in a horizontal porous medium with magnetic effect using linear and global theories. Both linear and nonlinear analyses are conducted using the normal modes. The study proves that the linear and nonlinear [...] Read more.
This study examines the stability and instability of a Casson fluid in a horizontal porous medium with magnetic effect using linear and global theories. Both linear and nonlinear analyses are conducted using the normal modes. The study proves that the linear and nonlinear stability thresholds coincide. Two different methodologies were used to solve the system of equations. The eigenvalue problem for linear and global theories were solved using a Galerkin scheme and bvp4c routine in MATLAB. The results show that the Casson parameter destabilizes the flow, while the solutal Rayleigh number and Darcy number stabilize it. Full article
(This article belongs to the Special Issue Advances and Applications in Computational Fluid Dynamics)
Show Figures

Figure 1

11 pages, 2129 KB  
Article
La–Mg-Substituted M-Type Sr-Hexaferrites for Enhanced Hard Magnetic Properties
by Jeong-Jin Kim and Young-Min Kang
Appl. Sci. 2025, 15(21), 11764; https://doi.org/10.3390/app152111764 - 4 Nov 2025
Viewed by 258
Abstract
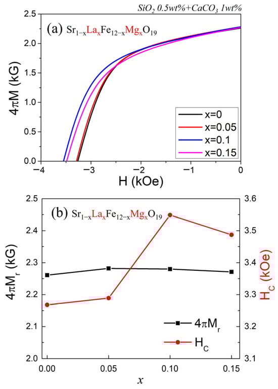
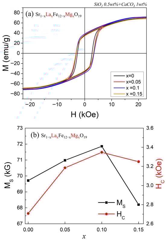
This study investigates the structural and magnetic properties of La–Mg co-substituted M-type strontium hexaferrites with the compositions Sr1−xLaxFe12−xMgxO19 (x = 0, 0.05, 0.1, 0.15), synthesized via a conventional solid-state reaction route. X-ray diffraction confirmed [...] Read more.
This study investigates the structural and magnetic properties of La–Mg co-substituted M-type strontium hexaferrites with the compositions Sr1−xLaxFe12−xMgxO19 (x = 0, 0.05, 0.1, 0.15), synthesized via a conventional solid-state reaction route. X-ray diffraction confirmed the formation of single-phase M-type hexaferrites up to x = 0.15. The Sr0.9La0.1Fe11.9Mg0.1O19 composition (x = 0.1) composition exhibited the best magnetic performance, achieving a saturation magnetization, MS = 71.9 emu/g, remanent magnetization, 4πMr = 2280 G, and coercivity, HC = 3549 Oe. These improvements were attributed to the synergistic effect of La3+ and Mg2+ substitution, which enhanced magnetocrystalline anisotropy and refined grain morphology. Further enhancement was obtained by adding sintering additives (0.8 wt% SiO2, 0.5 wt% CaO, and 0.7 wt% SrCO3), resulting in an HC of 4489 Oe and a 4πMr of 2285 G. The results demonstrate that La–Mg co-substitution, combined with optimized sintering conditions, provides a cobalt-free strategy for developing high-performance, environmentally benign M-type ferrite magnets for advanced motor and electronic applications. Full article
(This article belongs to the Section Materials Science and Engineering)
Show Figures

Figure 1

19 pages, 32582 KB  
Article
Study on the Characteristics of Cement-Based Magnetoelectric Composites Using COMSOL
by Weixuan Huang, Cuijuan Pang, Jianyu Xu, Kangyang Liang, Cunying Fan, Zeyu Lu and Chuncheng Lu
Materials 2025, 18(21), 5027; https://doi.org/10.3390/ma18215027 - 4 Nov 2025
Viewed by 282
Abstract
A multiphysics-coupled 2–2 cement-based magnetoelectric composite model is established in COMSOL 6.2. This model is used to not only systematically investigate the magnetoelectric-coupling behavior, but also quantify the effects of the magnetic field, frequency, and layer-thickness ratio on the material’s magnetoelectric properties. The [...] Read more.
A multiphysics-coupled 2–2 cement-based magnetoelectric composite model is established in COMSOL 6.2. This model is used to not only systematically investigate the magnetoelectric-coupling behavior, but also quantify the effects of the magnetic field, frequency, and layer-thickness ratio on the material’s magnetoelectric properties. The results demonstrate that the model effectively reproduces the internal stress–strain distribution and voltage evolution. Specifically, the magnetostrictive and piezoelectric layers exhibit mechanical responses with pronounced non-uniformity, which is attributed to boundary effects. The bias magnetic field plays a crucial regulatory role: the output voltage increases linearly from 0 to 2000 Oe and then saturates at higher fields. Under an alternating magnetic field, the composite exhibits pronounced resonance characteristics, whose frequency is jointly governed by structural dimensions and the bias field. The dynamic response was further analyzed using the magnetic flux density modulus, displacement profiles at selected locations, and voltage evolution across the piezoelectric layer. Notably, the thickness of each functional phase exerts a pronounced and distinct influence on the composite’s magnetoelectric coupling, with markedly different trends between phases. Optimization results show that a thin piezoelectric layer combined with a thick magnetostrictive layer yields the highest magnetoelectric performance. Additionally, the longitudinal and transverse magnetoelectric coefficients exhibit markedly different coupling mechanisms—this is owing to the misalignment between the magnetic-field and electric-polarization directions, and this difference further reveals the intrinsic anisotropy of the magnetoelectric response. Overall, this study provides a crucial theoretical foundation for the design and optimization of high-performance cement-based magnetoelectric composites. Full article
Show Figures

Figure 1

15 pages, 2298 KB  
Article
Seed-Layer-Assisted Liquid-Phase Epitaxial Growth of YIG Films on Single-Crystal Yttrium Aluminum Garnet Substrates: Evidence for Enhancement in Strain-Induced Anisotropy
by Chaitrali Kshirsagar, Rao Bidthanapally, Ying Liu, Peng Zhou, Sahana Mukund, Aruna Bidthanapally, Hongwei Qu, Deepa Xavier, Subhabrat Samantaray, Venkatachalam Subramanian, Michael R. Page and Gopalan Srinivasan
Crystals 2025, 15(11), 953; https://doi.org/10.3390/cryst15110953 - 4 Nov 2025
Viewed by 303
Abstract
Epitaxial thick films of yttrium iron garnet (YIG) are ideal for use in microwave devices due to their low losses at high frequencies. This report is on the growth of strain-engineered YIG films by liquid-phase epitaxy (LPE) on yttrium aluminum garnet (YAG) substrates [...] Read more.
Epitaxial thick films of yttrium iron garnet (YIG) are ideal for use in microwave devices due to their low losses at high frequencies. This report is on the growth of strain-engineered YIG films by liquid-phase epitaxy (LPE) on yttrium aluminum garnet (YAG) substrates with −3% lattice mismatch with YIG. Since the use of a lattice-matched substrate is preferred for LPE growths, a seed layer of YIG, 370–400 nm in thickness, was deposited by pulsed laser deposition (PLD) on (100), (110), and (111) YAG substrates. The seed layers were stoichiometric with magnetic parameters in agreement with the parameters for bulk single-crystal YIG and with strain-induced perpendicular magnetic anisotropy field Ha = 0.19–0.43 kOe. YIG films, 4 to 8.4 μm in thickness, were grown by LPE at 870 °C on YAG substrates with the seed layers using the PbO+B2O3 flux and annealed in air at 1000 °C. The films were Y-rich and Fe-deficient and confirmed to be epitaxial single crystals by X-ray diffraction. The saturation magnetization 4πMs at room temperature was rather high and ranged from 1.9 kG to 2.3 kG. Ferromagnetic resonance at 5–15 GHz showed the absence of significant magneto-crystalline anisotropy in the LPE films with the line-width ΔH in the range 85–160 Oe, and Ha = 0.27–0.80 kOe which is much higher than for the seed layers. The high magnetization and Ha-values for the LPE films could be partially attributed to the off-stoichiometry. Although the strain due to the film–substrate lattice mismatch contributes to Ha, the mismatch in the thermal expansion coefficients for YIG and YAG is also a likely cause of Ha due to the high growth and annealing temperatures. The LPE-grown YIG films with high strain-induced anisotropy fields have the potential for use in self-biased microwave devices. Full article
(This article belongs to the Special Issue Single-Crystalline Composite Materials (Second Edition))
Show Figures

Figure 1

14 pages, 2083 KB  
Article
Synthesis of Phosphorus-Modified Magnetic Chitosan and Its Application for Cr(VI) Removal from Aqueous Solution
by Hong Wang, Yiran Luo, Qing Hu, Anyuan Cao, Longzhen Ding and Shengbin Xu
Materials 2025, 18(21), 5019; https://doi.org/10.3390/ma18215019 - 4 Nov 2025
Viewed by 276
Abstract
Traditional Fe-based materials are limited for Cr(VI) remediation due to low reactivity, oxidation, and aggregation. Although chitosan coatings improve stability, they hinder efficient liquid-solid separation. To overcome this, a novel phosphorus-modified magnetic chitosan adsorbent (PCC/Fe3O4) was synthesized using Fe [...] Read more.
Traditional Fe-based materials are limited for Cr(VI) remediation due to low reactivity, oxidation, and aggregation. Although chitosan coatings improve stability, they hinder efficient liquid-solid separation. To overcome this, a novel phosphorus-modified magnetic chitosan adsorbent (PCC/Fe3O4) was synthesized using Fe3O4 as the core and tetrakis hydroxymethyl phosphonium sulfate (THPS) as a cross-linking agent. The composite exhibited a high surface area (20.67 m2/g) and superparamagnetism, enabling easy magnetic recovery. PCC/Fe3O4 demonstrated superior Cr(VI) removal capabilities compared to unmodified chitosan and raw Fe3O4, achieving a saturated adsorption capacity of 23.6 mg/g under the selected conditions (pH 6, initial Cr(VI) concentration of 1 mg/L), which were chosen to balance adsorption efficiency, adsorbent stability, and environmental relevance. The main removal mechanism includes electrostatic attraction, redox reaction, and ligand exchange. PCC/Fe3O4 maintained 86% efficiency after 5 d aging and >90% efficiency after five cycles, demonstrating excellent stability and reusability and strong potential for practical environmental remediation. Full article
(This article belongs to the Section Porous Materials)
Show Figures

Figure 1

Back to TopTop