An Enhanced Grid-Forming Control Strategy for Suppressing Magnetizing Inrush Current During Black Start of Wind-Storage Systems
Abstract
1. Introduction
- (1)
- A segmented zero-voltage-start strategy is embedded in the VSG outer loop to achieve a smooth voltage buildup, effectively mitigating transformer saturation and magnetizing inrush, thereby improving transient stability during the initial stage of black start.
- (2)
- A dual-side converter control framework enables dynamic switching between MPPT control and constant-power/constant-voltage modes, ensuring autonomous startup, load restoration, and power balance with small-capacity distributed storage.
- (3)
- Hardware-in-the-loop validation on an RT-LAB platform confirms that the proposed strategy suppresses inrush current, overvoltage, and frequency oscillations, enhancing voltage and power stability during black-start restoration.
2. System Topology and Grid-Forming Control Strategy of the Wind-Storage System
2.1. Topology of the Wind-Storage System
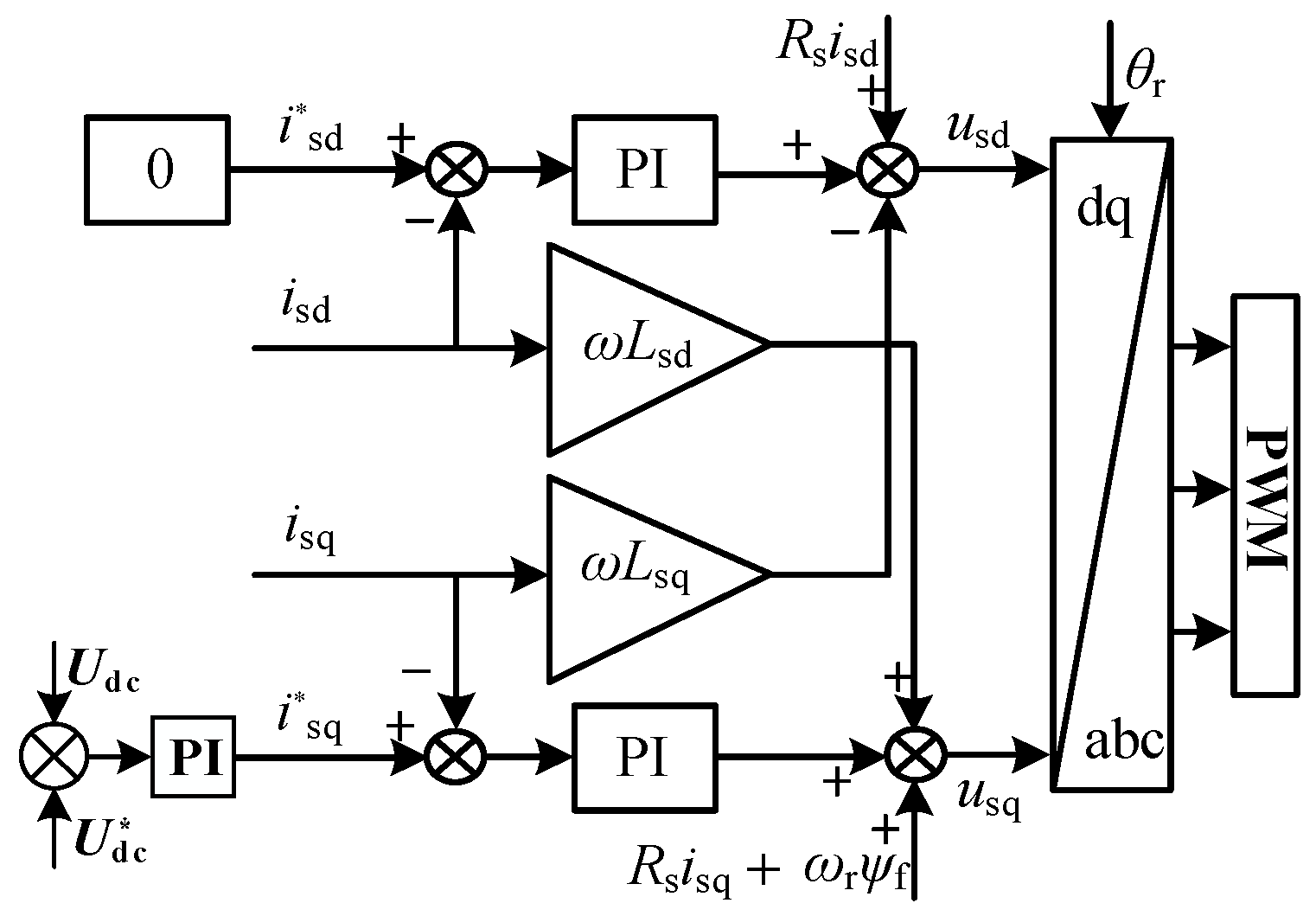
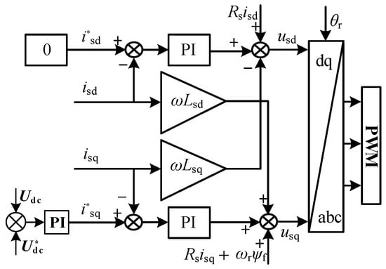
2.2. Control of the PMSG Machine-Side Converter
2.3. Control of the PMSG Grid-Side Converter
3. Improved Black-Start Control Strategy for Grid-Forming Wind-Storage Systems
3.1. Mechanism of Magnetizing Inrush During No-Load Transformer Energization
3.2. Control Strategy for Suppressing Magnetizing Inrush Current
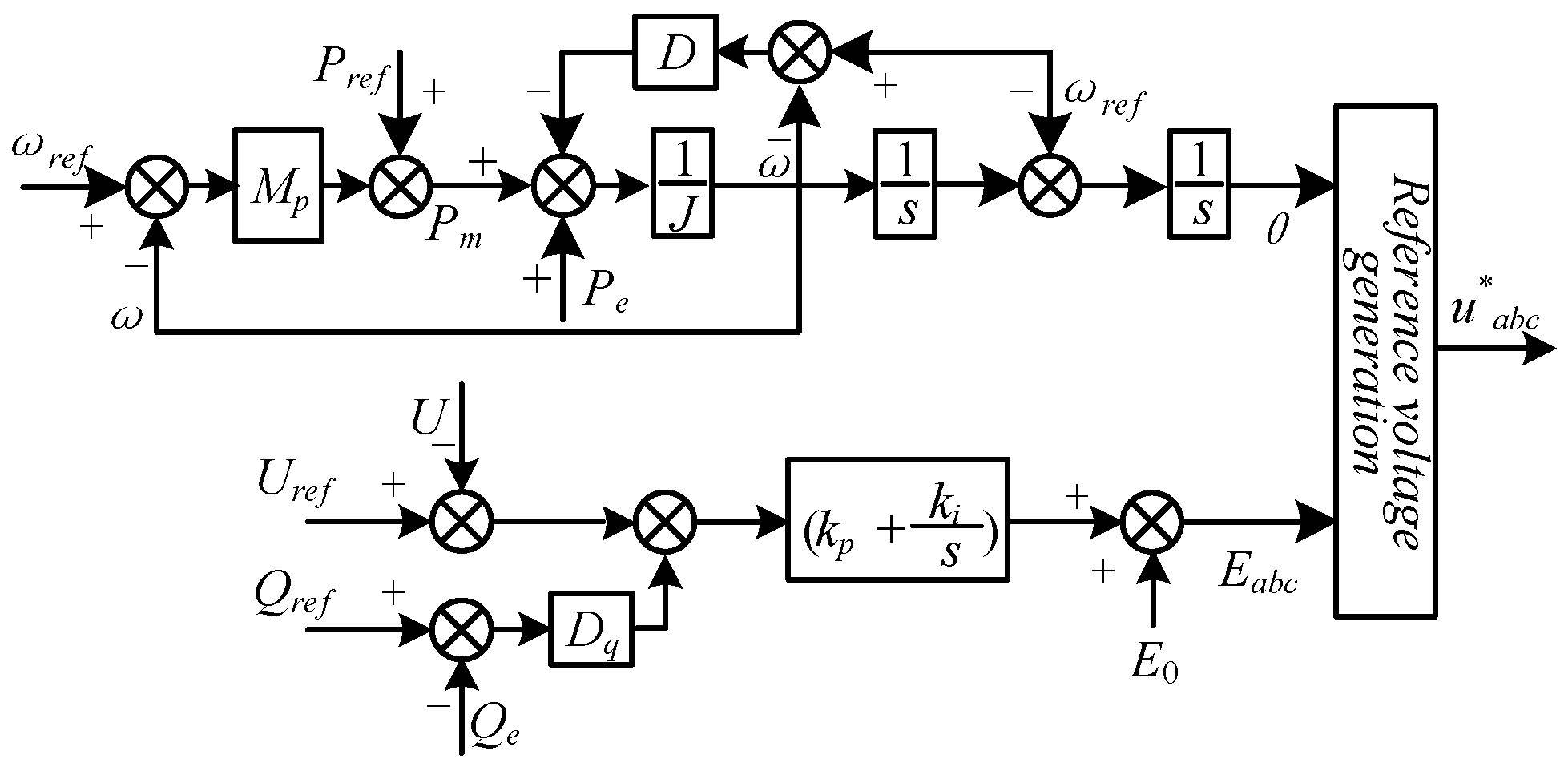
3.3. Improved Black-Start Control Strategy
3.4. Overall Control Framework
4. Black-Start Scheme for Grid-Forming Wind-Storage System
4.1. Principles, Scenarios, and Operating Stages of Black Start
- (1)
- Power Source Self-Start Stage:
- (2)
- Load Restoration Stage:
4.2. Black-Start Test Scheme for Grid-Forming Wind-Storage System
4.3. Black-Start Process Flow of Grid-Forming Wind-Storage System
- (1)
- Self-Startup Method of the Wind-Storage System
- (2)
- Load recovery
5. Controller-Level Hardware-in-the-Loop Experimental Results
5.1. Hardware-in-the-Loop Experimental Platform
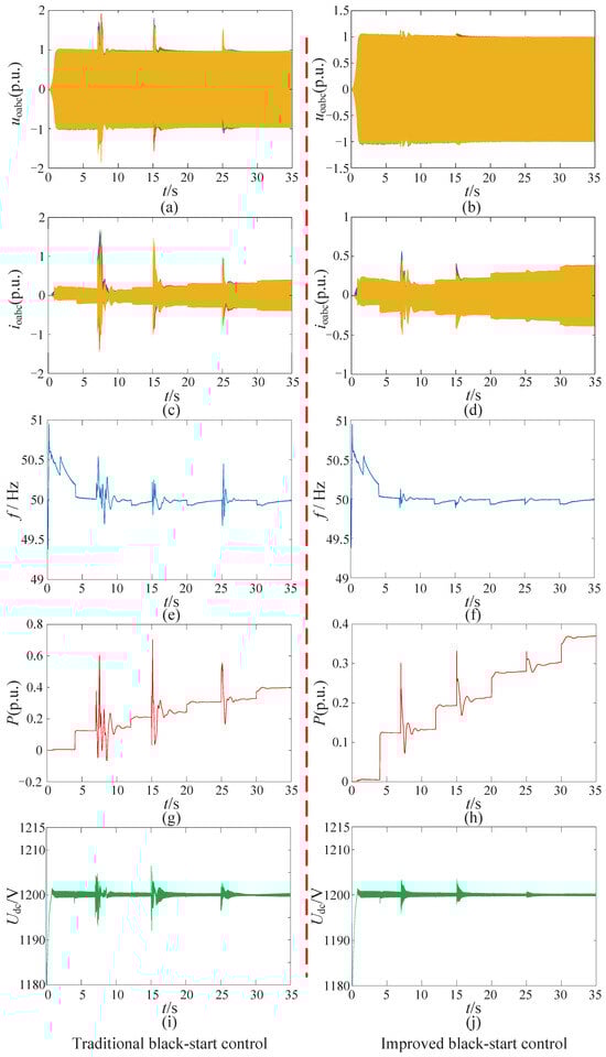
5.2. Simulation Validation of Magnetizing Inrush Current Suppression Strategy
5.3. Simulation Validation of the Black-Start Scheme for the Grid-Forming Wind-Storage System
6. Conclusions
- (1)
- A novel segmented zero-voltage startup module is integrated into the VSG control outer loop to address the challenge of magnetizing inrush current during transformer energization. This design enables smooth and controlled voltage boosting during the early black-start phase. Simulation results demonstrate that this method reduces the magnetizing inrush current peak from 1.4–1.9 p.u. to 1.0–1.1 p.u., while extending the voltage rise time by approximately 60%. The strategy effectively prevents core saturation and transient overcurrent, ensuring significantly improved voltage stability and converter safety compared with traditional VSG control.
- (2)
- To enhance load restoration performance under constrained energy storage, a multi-mode switching control framework for the PMSG dual-side converter is developed. This framework realizes automatic switching between MPPT and constant-power/constant-voltage modes based on load type and system operating state. The coordinated control of machine-side and grid-side converters maintains frequency and power balance with limited storage capacity. Simulation verification confirms that the proposed strategy limits frequency deviation within ±0.1 Hz and reduces average power fluctuation by about 40%, achieving stable black start and load restoration with small-capacity distributed storage.
- (3)
- Through hardware-in-the-loop experiments using an RT-LAB real-time simulator and DSP controller, the feasibility and superiority of the proposed strategy are comprehensively validated. Results show that the method suppresses switching overvoltage and transient overcurrent, enhances system frequency support and power dynamic response, and demonstrates strong engineering applicability for practical black-start scenarios. Due to the limited conditions, it is impossible to carry out more accurate entity verification tests. In the follow-up study, the application scenarios will be broadened as much as possible to improve the verification accuracy.
Author Contributions
Funding
Data Availability Statement
Conflicts of Interest
References
- Zhang, Z.; Sun, D.; Zhao, C.; Nian, H. An Improved Grid-Forming Control Strategy of Wind Turbine Generators with the Supercapacitor for Optimizing Primary Frequency Regulation Ability. IEEE Trans. Energy Convers. 2025, 40, 306–322. [Google Scholar] [CrossRef]
- Raza, M.W.; Badia, J.G.; Prieto-Araujo, E.; Gomis-Bellmunt, O. Fault Handling Capabilities of Grid-Forming Wind Turbines in Offshore Wind Farms Connected with MMC HVDC System. IEEE Access 2024, 12, 36404–36414. [Google Scholar] [CrossRef]
- Arasteh, A.; Zeni, L.; Cutululis, N.A. Fault ride through capability of grid forming wind turbines: A comparison of three control schemes. IET Renew. Power Gener. 2022, 16, 1866–1881. [Google Scholar] [CrossRef]
- Wang, P.; Ma, J.; Zhang, R.; Wang, S.; Liu, T.; Yang, Y. Stability Criterion for Near-Area Grid-Forming Converters Under the Weak Grid Condition. IEEE Trans. Power Electron. 2025, 40, 361–374. [Google Scholar] [CrossRef]
- Qin, Y.; Wang, H.; Deng, Z.; Zhang, J.; Yang, R.; Cai, X. Control of inertia-synchronization controlled wind turbine generators under symmetrical grid faults. IEEE Trans. Energy Convers. 2023, 38, 1085–1096. [Google Scholar] [CrossRef]
- Chen, S.; Sun, Y.; Hou, X.; Han, H.; Fu, S.; Su, M. Quantitative parameters design of VSG oriented to transient synchronization stability. IEEE Trans. Power Syst. 2023, 38, 4978–4981. [Google Scholar] [CrossRef]
- Liu, W.; Liu, Y. Hierarchical model predictive control of wind farm with an energy storage system for frequency regulation during black-start. Int. J. Electr. Power Energy Syst. 2020, 119, 105893. [Google Scholar] [CrossRef]
- Fan, J.; Niu, L.; Li, C.; Zhang, G.; Li, H.; Wang, Y.; Li, J.; Song, Q.; Sun, J.; Pan, J.; et al. Review of Black Start on New Power System Based on Energy Storage Technology. Energy Eng. 2023, 120, 2857–2878. [Google Scholar] [CrossRef]
- Xiaodong, Y.; Kunpeng, Z.; Defu, C.; Rusi, C.; Kan, C.; Yunfeng, L. Analysis of Excitation Inrush Current and Secondary Harmonic during 500kV AC Field Commissioning Test of ±800kV Shan to Wu UHVDC. In Proceedings of the 2022 4th Asia Energy and Electrical Engineering Symposium (AEEES), Online, 25–28 March 2022; pp. 529–535. [Google Scholar]
- Mishra, P.; Swain, A.; Pradhan, A.K.; Bajpai, P. Sequence Current-Based Inrush Detection in High-Permeability Core Transformers. IEEE Trans. Instrum. Meas. 2023, 72, 3534509. [Google Scholar] [CrossRef]
- Shu, H.; Jiang, X.; Bo, Z. Identifying inrush current for large-scale wind parks transformers based on difference function of differential current. IEEE Trans. Power Deliv. 2023, 38, 1768–1779. [Google Scholar] [CrossRef]
- Aghazadeh, A.; Hajipour, E.; Li, K.; Azizi, S. Mitigating the Inrush Current of v/v Transformers Using Railway Conditioners. IEEE Access 2024, 12, 50885–50897. [Google Scholar] [CrossRef]
- Wang, Q.; Zhu, M.; Ding, T.; Gao, M.; Jiao, Y. Research on Inrush Current Suppression of No-load Transformer Closing Based on Circuit Breaker Action Time Prediction. In Proceedings of the 2024 21st International Conference on Harmonics and Quality of Power (ICHQP), Chengdu, China, 15–18 October 2024; IEEE: New York, NY, USA, 2024. [Google Scholar]
- Han, P.; Tong, Q.; Wang, Y.; Chen, Z.; Yang, W.; Hu, D.; Wu, H.; Zhang, J. An Inrush Current Suppression Strategy for UHV Converter Transformer Based on Simulation of Magnetic Bias. Trans. Power Deliv. 2022, 37, 5179–5189. [Google Scholar] [CrossRef]
- Sanati, S.; Ahmadi, S.; Sanaye Pasand, M. An innovative harmonic-based approach for inrush current detection in low-loss transformers. IET Gener. Transm. Distrib. 2024, 18, 1303–1316. [Google Scholar] [CrossRef]
- Kadri, R.; Gaubert, J.-P. An improved maximum power point tracking for photovoltaic grid connected inverter based on voltage oriented control. IEEE Trans. Ind. Electron. 2011, 58, 66–75. [Google Scholar] [CrossRef]
- Yan, W.; Gevorgian, V.; Koralewicz, P.; Alam, S.M.S.; Mendiola, E. Regional power system black start with run-of-river hydropower plant and battery energy storage. J. Mod. Power Syst. Clean Energy 2024, 12, 1596–1604. [Google Scholar] [CrossRef]
- Asensio, A.P.; Gómez, S.A.; Rodriguez-Amenedo, J.L. Black-start capability of PV power plants through a grid-forming control based on reactive power synchronization. Int. J. Electr. Power Energy Syst. 2023, 146, 108730. [Google Scholar] [CrossRef]
- Shahparasti, M.; Laaksonen, H.; Kauhaniemi, K.; Lauttamus, P.; Strandberg, S.; Strandberg, J. Inrush Current Management During Medium Voltage Microgrid Black Start with Battery Energy Storage System. IEEE Access 2022, 10, 42287–42296. [Google Scholar] [CrossRef]
- Rodriguez-Amenedo, J.L.; Gomez, S.A.; Martinez, J.C.; Alonso-Martinez, J. Black-Start Capability of DFIG Wind Turbines Through a Grid-Forming Control Based on the Rotor Flux Orientation. IEEE Access 2021, 9, 142910–142924. [Google Scholar] [CrossRef]
- Kong, F.; Li, J.; Liao, M.; Li, S.; Lin, X.; Ding, X. Research on Transformer Saturation Mechanism and Restraining Measures in VSC-HVDC Black Start Process. In Proceedings of the 2022 12th International Conference on Power and Energy Systems (ICPES), Guangzhou, China, 23–25 December 2022; IEEE: New York, NY, USA, 2022; pp. 267–270. [Google Scholar]
- Sun, L.; Lin, Z.; Xu, Y.; Wen, F.; Zhang, C.; Xue, Y. Optimal skeleton-network restoration considering generator start-up sequence and load pickup. IEEE Trans. Smart Grid 2019, 10, 3174–3185. [Google Scholar] [CrossRef]
- Li, J.; You, H.; Qi, J.; Kong, M.; Zhang, S.; Zhang, H. Stratified Optimization Strategy Used for Restoration with Photovoltaic-Battery Energy Storage Systems as Black-Start Resources. IEEE Access 2019, 7, 127339–127352. [Google Scholar] [CrossRef]
- Li, C.; Zhang, S.; Li, J.; Zhang, H.; You, H.; Qi, J.; Li, J. Coordinated Control Strategy of Multiple Energy Storage Power Stations Supporting Black-Start Based on Dynamic Allocation. J. Energy Storage 2020, 31, 101683. [Google Scholar] [CrossRef]
- Dang, P.; Jia, R.; Pan, Z.; Cao, G.; Guo, Z. Black-start Control Strategy of the Wind-storage Combined Power System under Isolated Island Condition. In Proceedings of the 2023 International Conference on Power Energy Systems and Applications (ICoPESA), Nanjing, China, 24–26 February 2023; IEEE: New York, NY, USA, 2023; pp. 407–412. [Google Scholar]
- Redmann, F.; Ernst, A.; Orlik, B. Black start capability and islanded operation of power converters with virtual synchronous generator control. In Proceedings of the International Exhibition and Conference for Power Electronics, Shenzhen, China, 9–11 September 2021; IEEE: New York, NY, USA, 2021; pp. 1–8. [Google Scholar]
- Weipeng, L.; Yutian, L.; Lei, W. Model Predictive Control Based Voltage Regulation Strategy Using Wind Farm as Black-Start Source. IEEE Trans. Sustain. Energy 2023, 14, 1122–1134. [Google Scholar] [CrossRef]
- Daniela, P.; Lukasz, K.; Jesper, H.; Frede, B.; Claus Leth, B. Integrating Black Start Capabilities into Offshore Wind Farms by Grid-Forming Batteries. IET Renew. Power Gener. 2023, 17, 3523–3535. [Google Scholar]
- Binxiang, X.; Jie, R.; Zixuan, Z.; Wenxi, H.; Qi, X.; Donghui, S. Suppressing the Post-Fault Overvoltage with Cooperative Reactive Power Control for SMES Integrated PMSG-Based Wind Turbine. IEEE Trans. Appl. Supercond. 2024, 34, 5701906. [Google Scholar]
- Seyedmahdi, I.; Rafael, C.; Pablo, F.; Pablo, G.; Andrea, R. Performance Evaluation of a BESS Unit for Black Start and Seamless Islanding Operation. Energies 2022, 15, 1736. [Google Scholar] [CrossRef]
- MMohammed, A.; Petr, M. Reinforcement Learning-Based Distributed BESS Management for Mitigating Overvoltage Issues in Systems with High PV Penetration. IEEE Trans. Smart Grid 2020, 11, 2980–2994. [Google Scholar] [CrossRef]











| Parameter | Value | Parameter | Value | Parameter | Value |
|---|---|---|---|---|---|
| fN | 50 Hz | J | 10 | kfp | 5000 |
| PN | 1.1 × 106 W | D0 | 2000 | kfi | 50,000 |
| L | 0.003 H | M | 0.1 | Kp | 0.01 |
| R | 0.0002 Ω | k1 | 10 | Ki | 0.2 |
| C | 0.005 F | kpv | 7 | kpc | 2 |
| RT | 0.007 Ω | kiv | 15 | kic | 7 |
| LT | 0.03 H | RL | 0.4 Ω | LL | 0.3 H |
| Control Mode | Voabc_peak | Ioabc_peak | PPeak | fpeak |
|---|---|---|---|---|
| Traditional GFM | 1.90 | 1.63 | 0.59 | 50.54 |
| 1.63 | 1.42 | 0.68 | 50.35 | |
| 1.42 | 0.78 | 0.46 | 50.43 | |
| 1.15 | 0.34 | 0.23 | 49.88 | |
| Improved GFM Black-Start Controls | 1.09 | 0.61 | 0.29 | 50.10 |
| 1.04 | 0.42 | 0.32 | 49.95 | |
| 1.01 | 0.22 | 0.31 | 49.98 | |
| 0.99 | 0.11 | 0.14 | 49.97 |
Disclaimer/Publisher’s Note: The statements, opinions and data contained in all publications are solely those of the individual author(s) and contributor(s) and not of MDPI and/or the editor(s). MDPI and/or the editor(s) disclaim responsibility for any injury to people or property resulting from any ideas, methods, instructions or products referred to in the content. |
© 2025 by the authors. Licensee MDPI, Basel, Switzerland. This article is an open access article distributed under the terms and conditions of the Creative Commons Attribution (CC BY) license (https://creativecommons.org/licenses/by/4.0/).
Share and Cite
Zhang, T.; Hou, Y.; Ding, Y.; Wan, Y.; Cao, X.; Cai, D.; Meng, J. An Enhanced Grid-Forming Control Strategy for Suppressing Magnetizing Inrush Current During Black Start of Wind-Storage Systems. Electronics 2025, 14, 4431. https://doi.org/10.3390/electronics14224431
Zhang T, Hou Y, Ding Y, Wan Y, Cao X, Cai D, Meng J. An Enhanced Grid-Forming Control Strategy for Suppressing Magnetizing Inrush Current During Black Start of Wind-Storage Systems. Electronics. 2025; 14(22):4431. https://doi.org/10.3390/electronics14224431
Chicago/Turabian StyleZhang, Tieheng, Yucheng Hou, Yifeng Ding, Yi Wan, Xin Cao, Derui Cai, and Jianhui Meng. 2025. "An Enhanced Grid-Forming Control Strategy for Suppressing Magnetizing Inrush Current During Black Start of Wind-Storage Systems" Electronics 14, no. 22: 4431. https://doi.org/10.3390/electronics14224431
APA StyleZhang, T., Hou, Y., Ding, Y., Wan, Y., Cao, X., Cai, D., & Meng, J. (2025). An Enhanced Grid-Forming Control Strategy for Suppressing Magnetizing Inrush Current During Black Start of Wind-Storage Systems. Electronics, 14(22), 4431. https://doi.org/10.3390/electronics14224431
