Sign in to use this feature.

Years

Between: -

Subjects

remove_circle_outline
remove_circle_outline
remove_circle_outline
remove_circle_outline
remove_circle_outline
remove_circle_outline
remove_circle_outline
remove_circle_outline

Journals

Article Types

Countries / Regions

Search Results (88)

Search Parameters:
Keywords = magnetic gear design

Order results
Result details
Results per page
Select all
Export citation of selected articles as:
20 pages, 1476 KB  
Article
AI-Assisted Bayesian Optimization of a Permanent Magnet Synchronous Motor for E-Bike Applications
by Mohammed Abdeldjabar Guesmia, Chuan Pham, Ya-Jun Pan, Kim Khoa Nguyen, Kamal Al-Haddad and Qingsong Wang
Machines 2026, 14(2), 160; https://doi.org/10.3390/machines14020160 - 1 Feb 2026
Viewed by 72
Abstract
This paper presents an artificial intelligence (AI)-assisted multi-objective topology optimization of a 48 V interior permanent magnet synchronous motor (PMSM) intended for mid-drive e-bike applications. The machine features a 48-slot, 8-pole stator–rotor combination with Δ-shaped three buried magnets per pole, and is [...] Read more.
This paper presents an artificial intelligence (AI)-assisted multi-objective topology optimization of a 48 V interior permanent magnet synchronous motor (PMSM) intended for mid-drive e-bike applications. The machine features a 48-slot, 8-pole stator–rotor combination with Δ-shaped three buried magnets per pole, and is coupled to a multi-stage gearbox that adapts its high-speed, low-torque output to a human-scale crank speed. The design problem simultaneously maximizes average torque and efficiency while minimizing torque ripple by varying key stator slot dimensions and magnet geometries. A modular MATLAB–ANSYS Maxwell framework is developed in which finite element simulations are driven by a Bayesian optimization (BO) loop augmented by a large language model (LLM) with retrieval-augmented generation (RAG). The LLM acts as a memory-based agent that proposes candidates, shapes Gaussian Process priors, and incorporates natural language rules expressing qualitative design knowledge. Two AI-assisted trials are compared against a multi-objective Artificial Hummingbird Algorithm benchmark, RAG + BO with and without natural language input. All three methods converge to a similar Pareto region with average torque around 5.4–5.7 Nm, torque ripple of approximately 12.8–14.2%, and efficiency near 93.3–93.6%, suitable for geared e-bike drives. The LLM-guided trial achieves this performance with a 20.1% reduction in simulation expenses relative to the BO baseline and by about 48% compared to the Artificial Hummingbird Algorithm. The results demonstrate that integrating LLM guidance into Bayesian optimization improves sample efficiency while providing interpretable design trends for PMSM topologies tailored for light electric vehicles. Full article
Show Figures

Figure 1

29 pages, 3377 KB  
Review
Application of Magnetorheological Damper in Aircraft Landing Gear: A Systematic Review
by Quoc-Viet Luong
Machines 2026, 14(1), 106; https://doi.org/10.3390/machines14010106 - 16 Jan 2026
Viewed by 217
Abstract
During takeoff and landing, aircraft operate in a variety of situations, posing significant challenges to landing gear systems. Passive hydraulic–pneumatic dampers are commonly used in conventional landing gear to absorb impact energy and reduce vibration. However, due to their fixed damping characteristics and [...] Read more.
During takeoff and landing, aircraft operate in a variety of situations, posing significant challenges to landing gear systems. Passive hydraulic–pneumatic dampers are commonly used in conventional landing gear to absorb impact energy and reduce vibration. However, due to their fixed damping characteristics and inability to adjust to changing operating conditions, these passive systems have several limitations. Recent research has focused on creating intelligent landing gear systems with magnetic dampers (MR) to overcome these limitations. By changing the magnetic field acting on the MR fluid, MR dampers provide semi-active control of the landing gear dynamics and adjust the damping force in real time. This flexibility reduces structural load during landing, increases riding comfort, and improves energy absorption efficiency. This study examines the current state of MR damper application for aircraft landing gear. The review categorizes current control techniques and highlights the structural integration of MR dampers in landing gear assemblies. Purpose: The magnetorheological (MR) damper has become a promising semiactive system to replace the conventional passive damper in aircraft landing gear. However, the mechanical structure and control strategy of the MR damper must be designed to be suitable for aircraft landing gear applications. Methods: Researchers have explored the potential structure designed, the mathematical model of the MR landing gear system, and the control algorithm that was developed for aircraft landing gear applications. Results: According to the mathematical model of the MR damper, three types of models, which are pseudo-static models, parametric models, and unparameterized models, are detailed with their application. Based on these mathematical models, many control algorithms were studied, from classical control, such as PID and skyhook control, to modern control, such as intelligent control and SMC control. Full article
(This article belongs to the Section Machine Design and Theory)
Show Figures

Figure 1

25 pages, 7202 KB  
Article
Optimal Design of a Coaxial Magnetic Gear Considering Thermal Demagnetization and Structural Robustness for Torque Density Enhancement
by Tae-Kyu Ji and Soo-Whang Baek
Actuators 2026, 15(1), 59; https://doi.org/10.3390/act15010059 - 16 Jan 2026
Viewed by 292
Abstract
This study presents an optimal design combined with comprehensive multiphysics validation to enhance the torque density of a coaxial magnetic gear (CMG) incorporating an overhang structure. Four high non-integer gear-ratio CMG configurations exceeding 1:10 were designed using different pole-pair combinations, and three-dimensional finite [...] Read more.
This study presents an optimal design combined with comprehensive multiphysics validation to enhance the torque density of a coaxial magnetic gear (CMG) incorporating an overhang structure. Four high non-integer gear-ratio CMG configurations exceeding 1:10 were designed using different pole-pair combinations, and three-dimensional finite element method (3D FEM) was employed to accurately capture axial leakage flux and overhang-induced three-dimensional effects. Eight key geometric design variables were selected within non-saturating limits, and 150 sampling points were generated using an Optimal Latin Hypercube Design (OLHD). Multiple surrogate models were constructed and evaluated using the root-mean-square error (RMSE), and the Kriging model was selected for multi-objective optimization using a genetic algorithm. The optimized CMG with a 1:10.66 gear ratio achieved a 130.76% increase in average torque (65.75 Nm) and a 162.51% improvement in torque density (117.14 Nm/L) compared with the initial design. Harmonic analysis revealed a strengthened fundamental component and a reduction in total harmonic distortion, indicating improved waveform quality. To ensure the feasibility of the optimized design, comprehensive multiphysics analyses—including electromagnetic–thermal coupled simulation, high-temperature demagnetization analysis, and structural stress evaluation—were conducted. The results confirm that the proposed CMG design maintains adequate thermal stability, magnetic integrity, and mechanical robustness under rated operating conditions. These findings demonstrate that the proposed optimal design approach provides a reliable and effective means of enhancing the torque density of high gear-ratio CMGs, offering practical design guidance for electric mobility, robotics, and renewable energy applications. Full article
Show Figures

Figure 1

19 pages, 21965 KB  
Article
A Hybrid Strategy for the Design and Optimization of Coaxial Magnetic Gears
by Xinyan Zhang, Renato Galluzzi and Nicola Amati
Machines 2025, 13(12), 1152; https://doi.org/10.3390/machines13121152 - 18 Dec 2025
Viewed by 309
Abstract
Magnetic gear transmissions are promising alternatives to mechanical ones due to their contactless power transfer, reduced acoustic noise and vibration, inherent overload protection, and improved reliability. However, their design requires fast but accurate tools. While three-dimensional finite-element models offer good accuracy, their complexity [...] Read more.
Magnetic gear transmissions are promising alternatives to mechanical ones due to their contactless power transfer, reduced acoustic noise and vibration, inherent overload protection, and improved reliability. However, their design requires fast but accurate tools. While three-dimensional finite-element models offer good accuracy, their complexity hinders their use for design purposes. Two-dimensional representations, on the other hand, tend to overestimate performance due to the lack of end effects in the axial direction. This paper proposes a hybrid design and optimization framework for coaxial magnetic gears that couples a two-dimensional optimizer based on a genetic algorithm with a three-dimensional parametric model. The former model helps identify promising combinations in the design variable space. Then, specific selections are refined through the three-dimensional model. Numerical results show that both approaches exhibit consistent parameter trends, with a resulting prototype yielding a torque density of 213 Nm/L in an envelope contained within 90 mm of diameter and 16.57 mm of active length. Full article
(This article belongs to the Section Electrical Machines and Drives)
Show Figures

Figure 1

15 pages, 3456 KB  
Article
Reinforcement Learning Optimization of Coaxial Magnetic Gear Geometry with Finite Element Analysis
by Georgi Ivanov, Valentin Mateev, Iliana Marinova, Wolfgang Gruber, Edmund Marth and Stefan Mallinger
Machines 2025, 13(12), 1143; https://doi.org/10.3390/machines13121143 - 16 Dec 2025
Viewed by 295
Abstract
This manuscript presents a reinforcement learning (RL) agent method to optimize the geometry of a coaxial magnetic gear using a 2D finite element magnetic (FEM) simulation. The proposed optimization algorithm aims to improve the maximum torque within given boundaries of the magnetic gear [...] Read more.
This manuscript presents a reinforcement learning (RL) agent method to optimize the geometry of a coaxial magnetic gear using a 2D finite element magnetic (FEM) simulation. The proposed optimization algorithm aims to improve the maximum torque within given boundaries of the magnetic gear geometry by adjusting parameterized radii. A linear actor–critic gradient algorithm is implemented, where the actor learns a policy to adjust and discover the values of five geometric parameters of the magnetic gear model, and the critic evaluates the performance of the resulting designs. The RL agent interacts with an environment integrated with a 2D FEM simulation, which provides feedback by calculating the total torque of the new geometry discovered. The optimization algorithm uses a greedy exploration method that uses the total torque as a reward system, which the RL agent aims to maximize. The results obtained for the magnetic gear optimization demonstrate the effectiveness of the proposed RL algorithm, which can be applied to automate multiparameter geometric optimization using artificial intelligence systems. Full article
(This article belongs to the Special Issue Neural Networks Applied in Manufacturing and Design)
Show Figures

Figure 1

20 pages, 6165 KB  
Article
Sensitivity-Driven Decomposition for Multi-Objective Magnetic Gear Optimization: A Sobol-Guided Two-Stage Framework
by Bin Zhang, Jinghong Zhao, Yihui Xia, Xiang Peng, Xiaohua Shi and Xuedong Zhu
Electronics 2025, 14(23), 4725; https://doi.org/10.3390/electronics14234725 - 30 Nov 2025
Viewed by 225
Abstract
This paper presents a novel Sensitivity-Guided Two-Stage Optimization (SGTSO) framework for magnetic gear (MG) design, introducing two fundamental methodological advances: (1) the adoption of global Sobol sensitivity analysis, which transcends conventional local sensitivity techniques by holistically quantifying both individual parameter effects and the [...] Read more.
This paper presents a novel Sensitivity-Guided Two-Stage Optimization (SGTSO) framework for magnetic gear (MG) design, introducing two fundamental methodological advances: (1) the adoption of global Sobol sensitivity analysis, which transcends conventional local sensitivity techniques by holistically quantifying both individual parameter effects and the interactions across the complete design space, and (2) the establishment of a mathematically guaranteed convergent two-stage optimization methodology that strategically decomposes high-dimensional problems into sequential subproblems. Unlike traditional one-factor-at-a-time sensitivity approaches that overlook parameter interdependencies, Sobol indices deliver quantitative evaluation of individual parameter contributions and coupling effects. The two-stage optimization architecture is rigorously proven to converge to near-optimal solutions under weak parameter coupling assumptions, with mathematically derived error bounds The optimized configuration achieves remarkable performance features: 65.4% suppression of inner rotor torque ripple, 27.2% reduction in outer rotor torque ripple, and 19.2% decrease in Permanent Magnet (PM) utilization, while preserving average torque output within a marginal 4.03% reduction. The proposed framework achieves a 5.25-fold enhancement in computational efficiency while maintaining mathematical convergence assurance, marking a substantial progression beyond conventional heuristic optimization paradigms. Full article
Show Figures

Figure 1

19 pages, 4245 KB  
Article
Multi-Objective Collaborative Optimization of Magnetic Gear Compound Machines Using Parameter Grouping and Kriging Surrogate Models
by Bin Zhang, Jinghong Zhao, Yihui Xia, Xiang Peng, Xiaohua Shi, Xuedong Zhu, Baozhong Qu and Keke Yang
Energies 2025, 18(23), 6153; https://doi.org/10.3390/en18236153 - 24 Nov 2025
Cited by 2 | Viewed by 388
Abstract
This paper proposes a novel optimization framework for Magnetic Gear Compound Machines (MGCMs) that integrates parameter grouping and surrogate modeling to address challenges of high-dimensional design spaces and conflicting objectives. The core methodological contribution is a new parameter grouping strategy employing sensitivity analysis [...] Read more.
This paper proposes a novel optimization framework for Magnetic Gear Compound Machines (MGCMs) that integrates parameter grouping and surrogate modeling to address challenges of high-dimensional design spaces and conflicting objectives. The core methodological contribution is a new parameter grouping strategy employing sensitivity analysis and partial correlation coefficients, which systematically classifies design parameters into high-, medium-, and low-impact groups. This approach achieves a 60% reduction in optimization dimensionality while preserving essential electromagnetic relationships. Latin Hypercube Sampling (LHS) is coupled with high-fidelity Maxwell 2D transient simulations to construct an accurate Kriging surrogate model, which is then integrated with the NSGA-III algorithm for efficient Pareto front identification. Comprehensive simulations demonstrate the framework’s exceptional performance. The sensitivity-based optimized design achieves an 85.5% reduction in inner rotor torque ripple (0.091), maintains 90.3% of the original torque output (475.100 N·m), and preserves 94.8% of the induced electromotive force (399.578 V), yielding an optimal objective function value of −0.901 that indicates superior overall performance improvement. In comparison, the correlation-based approach provides an 84.5% torque ripple reduction (0.097) with 97.7% torque retention (514.166 N·m) and 86.0% voltage preservation (362.739 V), corresponding to an objective function value of −0.841. Both grouping strategies significantly reduce computational cost by approximately 60% compared to conventional single-stage optimization methods. This research establishes an effective optimization paradigm for MGCMs, successfully resolving the fundamental trade-off between power density maximization and operational stability, with promising applications in electric propulsion and renewable energy systems. Full article
Show Figures

Figure 1

17 pages, 6823 KB  
Article
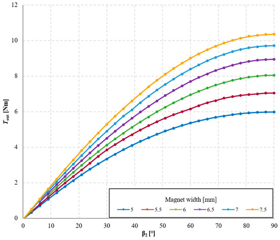
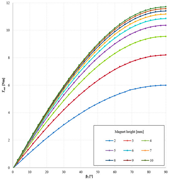
Analysis of a Two-Stage Magnetic Precession Gear Exploiting 3D Finite Element Method
by Lukasz Macyszyn, Cezary Jedryczka and Michal Mysinski
Materials 2025, 18(23), 5277; https://doi.org/10.3390/ma18235277 - 22 Nov 2025
Viewed by 465
Abstract
The paper presents the results of numerical simulations carried out to investigate the influence of selected geometric parameter–precession angle and dimensions of the magnetic circuit of a two-stage magnetic precession gear on the magnetic torques acting on its active components. The operating principle [...] Read more.
The paper presents the results of numerical simulations carried out to investigate the influence of selected geometric parameter–precession angle and dimensions of the magnetic circuit of a two-stage magnetic precession gear on the magnetic torques acting on its active components. The operating principle of the proposed gear and the developed numerical model based on the 3D finite element method (FEM) are discussed. The study focuses on the effects of air gap length, magnet dimensions, pole pitch coverage and precession angle. The results confirm a strong correlation between these parameters and the transmitted torque, providing valuable guidelines for the optimal design of high-torque, compact and efficient magnetic precession gears. Full article
(This article belongs to the Section Materials Simulation and Design)
Show Figures

Graphical abstract

18 pages, 8209 KB  
Article
A Direct-Drive Rotary Actuator Based on Modular FSPM Topology for Large-Inertia Payload Transfer
by Jianlong Zhu, Zhe Wang, Minghao Tong, Longmiao Chen and Linfang Qian
Energies 2025, 18(19), 5272; https://doi.org/10.3390/en18195272 - 4 Oct 2025
Viewed by 632
Abstract
This paper proposes a novel direct-drive rotary actuator based on a modular five-phase outer-rotor flux-switching permanent magnet (FSPM) machine to overcome the limitations of conventional actuators with gear reducers, such as mechanical complexity and low reliability. The research focused on a synergistic design [...] Read more.
This paper proposes a novel direct-drive rotary actuator based on a modular five-phase outer-rotor flux-switching permanent magnet (FSPM) machine to overcome the limitations of conventional actuators with gear reducers, such as mechanical complexity and low reliability. The research focused on a synergistic design of a lightweight, high-torque-density motor and a precise control strategy. The methodology involved a structured topology evolution to create a modular stator architecture, followed by finite element analysis-based electromagnetic optimization. To achieve precision control, a multi-vector model predictive current control (MPCC) scheme was developed. This optimization process contributed to a significant performance improvement, increasing the average torque to 13.33 Nm, reducing torque ripple from 9.81% to 2.36% and obtaining a maximum position error under 1 mil. The key result was experimentally validated using an 8 kg inertial load, confirming the actuator’s feasibility for industrial deployment. Full article
Show Figures

Figure 1

15 pages, 2120 KB  
Article
An Analytical Thermal Model for Coaxial Magnetic Gears Considering Eddy Current Losses
by Panteleimon Tzouganakis, Vasilios Gakos, Christos Papalexis, Christos Kalligeros, Antonios Tsolakis and Vasilios Spitas
Modelling 2025, 6(4), 114; https://doi.org/10.3390/modelling6040114 - 25 Sep 2025
Cited by 1 | Viewed by 541
Abstract
This work presents an analytical 2D model for estimating eddy current losses in the permanent magnets (PMs) of a coaxial magnetic gear (CMG), with a focus on loss minimization through magnet segmentation. The model is applied under various operating conditions, including different rotational [...] Read more.
This work presents an analytical 2D model for estimating eddy current losses in the permanent magnets (PMs) of a coaxial magnetic gear (CMG), with a focus on loss minimization through magnet segmentation. The model is applied under various operating conditions, including different rotational speeds, load levels, and segmentation configurations, to derive empirical expressions for eddy current losses in both the inner and outer rotors. A 1D lumped-parameter thermal model is then used to predict the steady-state temperature of the PMs, incorporating empirical correlations for the thermal convection coefficient. Both models are validated against finite element analysis (FEA) simulations. The analytical eddy current loss model exhibits excellent agreement, with a maximum error of 2%, while the thermal model shows good consistency, with a maximum temperature deviation of 5%. The results confirm that eddy current losses increase with rotational speed but can be significantly reduced through magnet segmentation. However, achieving an acceptable thermal performance at high speeds may require a large number of segments, particularly in the outer rotor, which could influence the manufacturing cost and complexity. The proposed models offer a fast and accurate tool for the design and thermal analysis of CMGs, enabling early-stage optimization with minimal computational effort. Full article
Show Figures

Figure 1

14 pages, 2203 KB  
Article
Design and Analysis of an IE6 Hyper-Efficiency Permanent Magnet Synchronous Motor for Electric Vehicle Applications
by Hayatullah Nory, Ahmet Yildiz, Serhat Aksun and Cansu Aksoy
Energies 2025, 18(17), 4684; https://doi.org/10.3390/en18174684 - 3 Sep 2025
Cited by 3 | Viewed by 1951
Abstract
In this study, a high-efficiency permanent magnet synchronous motor (PMSM) was designed for a geared electric vehicle. The motor was developed for use in an L-category electric vehicle with four wheels and a two-passenger capacity. During the design process, application-specific dimensional constraints, electromagnetic [...] Read more.
In this study, a high-efficiency permanent magnet synchronous motor (PMSM) was designed for a geared electric vehicle. The motor was developed for use in an L-category electric vehicle with four wheels and a two-passenger capacity. During the design process, application-specific dimensional constraints, electromagnetic requirements, and material limitations were taken into consideration. A spoke-type rotor structure was adopted to achieve both mechanical robustness and high efficiency with minimized leakage flux. In addition, the combination of a 12-stator slot and a 10-rotor pole was selected to suppress low-order harmonic components and improve torque smoothness. The motor model was analyzed using Siemens Simcenter SPEED software (Product Version 2020.3.1), and an efficiency above 94% was achieved, meeting the IE6 efficiency class. Magnetic flux analysis results showed that the selected core material operated within the magnetic saturation limits. The findings demonstrate that a compact and high-efficiency PMSM design is feasible for electric vehicle applications. Full article
Show Figures

Figure 1

19 pages, 4736 KB  
Article
Optimal Design of a Coaxial Magnetic Gear Pole Combination Considering an Overhang
by Tae-Kyu Ji and Soo-Whang Baek
Appl. Sci. 2025, 15(17), 9625; https://doi.org/10.3390/app15179625 - 1 Sep 2025
Cited by 1 | Viewed by 985
Abstract
This paper presents a comprehensive design approach for optimizing the pole configuration of a coaxial magnetic gear (CMG) structure with an overhang to enhance torque characteristics. Five CMG models were designed, and their characteristics were analyzed. A three-dimensional finite element method analysis was [...] Read more.
This paper presents a comprehensive design approach for optimizing the pole configuration of a coaxial magnetic gear (CMG) structure with an overhang to enhance torque characteristics. Five CMG models were designed, and their characteristics were analyzed. A three-dimensional finite element method analysis was conducted to account for axial leakage flux. To efficiently explore the design space, we utilized an optimal Latin hypercube sampling method to generate experimental points and constructed a kriging-based metamodel owing to its low root-mean-square error. We analyzed torque characteristics across the design variables to identify characteristic trends and performed a parametric sensitivity analysis to evaluate the influence of each variable on the torque. We derived an optimal solution that satisfied the objective function and constraints using the design variables. The characteristics of the proposed model were validated through electromagnetic field analysis, fast Fourier transform analysis of the air-gap magnetic flux density, and structural analysis. The optimal model achieved an average torque of 61.75 Nm, representing a 21.15% improvement over the initial model, while simultaneously reducing the ripple factor by 0.41%. These findings indicate that the proposed CMG design with an overhang effectively enhances torque characteristics. Full article
(This article belongs to the Section Electrical, Electronics and Communications Engineering)
Show Figures

Figure 1

21 pages, 8352 KB  
Article
Research on Vibration Characteristics of Electric Drive Systems Based on Open-Phase Self-Fault-Tolerant Control
by Wenyu Bai, Yun Kuang, Zhizhong Xu, Yawen Wang and Xia Hua
Appl. Sci. 2025, 15(15), 8707; https://doi.org/10.3390/app15158707 - 6 Aug 2025
Viewed by 621
Abstract
This paper presents an electromechanical coupling model integrating an equivalent magnetic network (EMN) model of a dual three-phase permanent magnet synchronous motor (DTP-PMSM) with the dynamic model of a helical planetary gear transmission system. Using this model, this study analyzes the dynamic characteristics [...] Read more.
This paper presents an electromechanical coupling model integrating an equivalent magnetic network (EMN) model of a dual three-phase permanent magnet synchronous motor (DTP-PMSM) with the dynamic model of a helical planetary gear transmission system. Using this model, this study analyzes the dynamic characteristics of an electric drive system, specifically motor phase current, electromagnetic torque, and gear meshing force, under self-fault-tolerant control strategies. Simulation and experimental results demonstrate that the self-fault-tolerant control strategy enables rapid fault tolerance during open-phase faults, significantly reducing system fault recovery time. Meanwhile, compared to the open-phase faults conditions, the self-fault-tolerant control effectively suppresses most harmonic components within the system; only the second harmonic amplitude of the electromagnetic torque exhibited an increase. This harmonic disturbance propagates to the gear system through electromechanical coupling, synchronously amplifying the second harmonic amplitude in the gear system’s vibration response. This study demonstrates that self-fault-tolerant control strategies significantly enhance the dynamic response performance of the electric drive system under open-phase faults conditions. Furthermore, this study also investigates the electromechanical coupling mechanism through which harmonics generated by this strategy affect the gear system’s dynamic response, providing theoretical support for co-optimization electromechanical coupling design and fault-tolerant control in high-reliability electric drive transmission systems. Full article
(This article belongs to the Section Mechanical Engineering)
Show Figures

Figure 1

31 pages, 5480 KB  
Review
Solid Core Magnetic Gear Systems: A Comprehensive Review of Topologies, Core Materials, and Emerging Applications
by Serkan Sezen, Kadir Yilmaz, Serkan Aktas, Murat Ayaz and Taner Dindar
Appl. Sci. 2025, 15(15), 8560; https://doi.org/10.3390/app15158560 - 1 Aug 2025
Cited by 1 | Viewed by 2791
Abstract
Magnetic gears (MGs) are attracting increasing attention in power transmission systems due to their contactless operation principles, low frictional losses, and high efficiency. However, the broad application potential of these technologies requires a comprehensive evaluation of engineering parameters, such as material selection, energy [...] Read more.
Magnetic gears (MGs) are attracting increasing attention in power transmission systems due to their contactless operation principles, low frictional losses, and high efficiency. However, the broad application potential of these technologies requires a comprehensive evaluation of engineering parameters, such as material selection, energy efficiency, and structural design. This review focuses solely on solid-core magnetic gear systems designed using laminated electrical steels, soft magnetic composites (SMCs), and high-saturation alloys. This review systematically examines the topological diversity, torque transmission principles, and the impact of various core materials, such as electrical steels, soft magnetic composites (SMCs), and cobalt-based alloys, on the performance of magnetic gear systems. Literature-based comparative analyses are structured around topological classifications, evaluation of material properties, and performance analyses based on losses. Additionally, the study highlights that aligning material properties with appropriate manufacturing methods, such as powder metallurgy, wire electrical discharge machining (EDM), and precision casting, is essential for the practical scalability of magnetic gear systems. The findings reveal that coaxial magnetic gears (CMGs) offer a favorable balance between high torque density and compactness, while soft magnetic composites provide significant advantages in loss reduction, particularly at high frequencies. Additionally, application trends in fields such as renewable energy, electric vehicles (EVs), aerospace, and robotics are highlighted. Full article
(This article belongs to the Section Electrical, Electronics and Communications Engineering)
Show Figures

Figure 1

18 pages, 3047 KB  
Article
A Rotary Piezoelectric Electromagnetic Hybrid Energy Harvester
by Zhiyang Yao and Chong Li
Micromachines 2025, 16(7), 807; https://doi.org/10.3390/mi16070807 - 11 Jul 2025
Cited by 1 | Viewed by 1263
Abstract
To collect the energy generated by rotational motion in the natural environment, a piezoelectric electromagnetic hybrid energy harvester (HEH) based on a planetary gear system is proposed. The harvester combines piezoelectric and electromagnetic effects and is mainly used for collecting low-frequency rotational energy. [...] Read more.
To collect the energy generated by rotational motion in the natural environment, a piezoelectric electromagnetic hybrid energy harvester (HEH) based on a planetary gear system is proposed. The harvester combines piezoelectric and electromagnetic effects and is mainly used for collecting low-frequency rotational energy. The HEH has a compact structure and contains four sets of piezoelectric energy harvesters (PEHs) and electromagnetic energy harvesters (EMHs) inside. The working principle of the energy harvester is analyzed, its theoretical model is established, and a simulation analysis is conducted. To verify the effectiveness of the design, an experimental device is constructed. The results indicate that the HEH can generate an average output power of 250 mW under eight magnets and an external excitation frequency of 7 Hz. In actual power supply testing, the HEH can light up 60 LEDs and provide stable power supply for the temperature–humidity meter. Full article
(This article belongs to the Special Issue MEMS/NEMS Devices and Applications, 3rd Edition)
Show Figures

Figure 1

Back to TopTop