Sign in to use this feature.

Years

Between: -

Subjects

remove_circle_outline
remove_circle_outline
remove_circle_outline
remove_circle_outline
remove_circle_outline
remove_circle_outline
remove_circle_outline
remove_circle_outline
remove_circle_outline

Journals

remove_circle_outline
remove_circle_outline
remove_circle_outline
remove_circle_outline
remove_circle_outline

Article Types

Countries / Regions

remove_circle_outline
remove_circle_outline
remove_circle_outline
remove_circle_outline

Search Results (280)

Search Parameters:
Keywords = maceral composition

Order results
Result details
Results per page
Select all
Export citation of selected articles as:
17 pages, 2720 KB  
Article
Multi-Analytical Insight into the Non-Volatile Phytochemical Composition of Coleus aromaticus (Roxb) Benth
by Chiara Toniolo, Martina Bortolami, Adriano Patriarca, Daniela De Vita, Fabio Sciubba and Luca Santi
Metabolites 2026, 16(1), 15; https://doi.org/10.3390/metabo16010015 (registering DOI) - 23 Dec 2025
Abstract
Background/Objectives: Coleus aromaticus (Lamiaceae), also known as Cuban oregano or Indian borage, is a semi-succulent perennial species widely used in traditional medicine for its therapeutic and nutritional properties. While its essential oils and aromatic fraction have been extensively investigated, the characterization of [...] Read more.
Background/Objectives: Coleus aromaticus (Lamiaceae), also known as Cuban oregano or Indian borage, is a semi-succulent perennial species widely used in traditional medicine for its therapeutic and nutritional properties. While its essential oils and aromatic fraction have been extensively investigated, the characterization of its non-volatile metabolites remains limited. The aim of this study was to explore the chemical composition of fresh leaves with a focus on the non-volatile fraction. Methods: Fresh leaves of C. aromaticus were cryogenically treated with liquid nitrogen, ground, and subjected to three different extraction procedures: hydroalcoholic maceration, ethyl acetate maceration, and liquid–liquid partitioning to obtain a dichloromethane organic phase and a hydroalcoholic phase. Extracts and fractions were analyzed by HPTLC and HPLC for metabolic profiling. In addition, the Bligh–Dyer method was applied to separate polar and non-polar metabolites, which were subsequently characterized using NMR spectroscopy. Results: Chromatographic analyses highlighted the occurrence and distribution of organic acids, polyphenols (notably flavonoids), and proteinogenic amino acids. Spectroscopic data confirmed the presence of diverse polar and non-polar metabolites, providing a more detailed chemical fingerprint of C. aromaticus. This integrated approach broadened the phytochemical profile of the species beyond the well-documented essential oils. Conclusions: The results contribute to a better understanding of the non-volatile metabolites of C. aromaticus, offering novel insights into its chemical diversity. These findings highlight the potential of this plant as a valuable source of bioactive compounds, supporting its future application in nutraceutical and pharmaceutical research. Full article
19 pages, 1308 KB  
Article
Unlocking the Value of Nine Olive Leaf Varieties: A Dual Assessment of Phenolic Composition and Antioxidant Properties
by Rachid Boulfia, Mohammed Elmeknassia, Mohamed El Yamani and Yahia Rharrabti
Horticulturae 2025, 11(12), 1510; https://doi.org/10.3390/horticulturae11121510 - 13 Dec 2025
Viewed by 290
Abstract
Olive leaves are a valuable source of natural bioactive compounds, particularly polyphenols and flavonoids, recognized for their potent antioxidant and health-promoting properties. The extraction of these high-value products has gained increasing attention due to their relevance in food sustainability and the circular economy. [...] Read more.
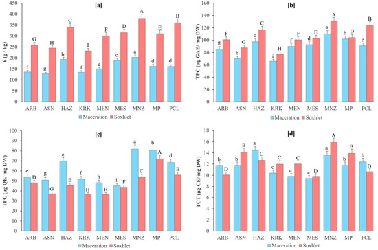
Olive leaves are a valuable source of natural bioactive compounds, particularly polyphenols and flavonoids, recognized for their potent antioxidant and health-promoting properties. The extraction of these high-value products has gained increasing attention due to their relevance in food sustainability and the circular economy. However, the concentrations and profiles of these compounds vary substantially depending on the olive variety and the extraction method applied. This study evaluated the influence of extraction method and olive variety on the phenolic composition and antioxidant potential of olive leaf extracts from nine cultivars cultivated in Morocco. Two conventional extraction techniques, maceration and Soxhlet extraction, were compared for their efficiency in recovering extraction yield, total phenolic content, total flavonoid content, and total condensed tannins, along with antioxidant activity measured by DPPH and ABTS radical scavenging assays. Analyses of variance indicated that varietal differences were the predominant source of variation in phenolic composition and antioxidant capacity, whereas the extraction method mainly influenced yield. Soxhlet extraction enhanced phenolic recovery and antioxidant potential, while maceration favored flavonoid extraction. These findings highlight the potential of olive leaf extracts derived from Manzanilla, Haouzia, Picual, and Moroccan Picholine varieties using Soxhlet as sustainable natural antioxidants for functional, cosmetic, and pharmaceutical uses. Full article
Show Figures

Graphical abstract

16 pages, 2998 KB  
Article
Development and Validation of a Selective Method to Quantify Low-Molecular-Mass Flavan-3-ols in Grapes and Wines
by Guzmán Favre, Gustavo González-Neves, Diego Piccardo, Yamila Celio-Ackermann, Florencia Pereyra-Farina and Alejandro Cammarota
Foods 2025, 14(24), 4257; https://doi.org/10.3390/foods14244257 - 10 Dec 2025
Viewed by 152
Abstract
Quantifying low-molecular-mass (LMM) flavanols in wines is relevant because these compounds, though typically minor, reflect flavanol structural composition (seed vs. skin contributions) and relate to cultivar and winemaking technique. Their determination is challenging because oligomeric and polymeric tannins interfere with standard spectrophotometric assays. [...] Read more.
Quantifying low-molecular-mass (LMM) flavanols in wines is relevant because these compounds, though typically minor, reflect flavanol structural composition (seed vs. skin contributions) and relate to cultivar and winemaking technique. Their determination is challenging because oligomeric and polymeric tannins interfere with standard spectrophotometric assays. This study introduces a coupled procedure that isolates and selectively quantifies LMM flavan-3-ols by combining the well-established methylcellulose precipitation assay (MCP) to remove oligomers and polymers with dimethylaminocinnamaldehyde (DMAC) determination of the MCP supernatant. The sequential workflow uses DMAC specificity and sensitivity and minimizes interference caused by higher-mass flavanols. Additionally, samples are quantified following dilution in the highly stable MCP supernatant medium. A Small Flavanol Index (SFI, %) is also introduced, expressing the LMM fraction relative to methylcellulose-precipitable tannins and providing a descriptor of flavanol composition. The method was validated in terms of linearity, limits of detection and quantification (LOQ in the supernatant, 1.58 mg L−1), precision, and recovery. Applicability is demonstrated in Marselan and Tannat (Vitis vinifera), resolving compositional differences by cultivar, grape tissue (skins vs. seeds), and maceration technique. Compatible with microplate formats and simple instrumentation, this robust analysis enables tandem determination of LMM flavanols and condensed tannins and represents an analytically valuable tool for commercial wineries and research. Full article
Show Figures

Graphical abstract

20 pages, 3005 KB  
Article
Biological Activities of Stachys rupestris, Development of S. rupestris Extract-Loaded Alginate Films as Wound Dressing
by Erkan Rayaman, Turgut Taşkın, Elif Çalışkan Salihi, Shalaleh Hasan Niari Niar, Duygu Taşkın, Ceyda Ekentok Atıcı, Ömer Kılıç, Pervin Rayaman, Pelin Özçelik and Hatice Kübra Elçioğlu
Pharmaceuticals 2025, 18(12), 1868; https://doi.org/10.3390/ph18121868 - 8 Dec 2025
Viewed by 329
Abstract
Background/Objectives: Regardless of the underlying cause, wound infections are among the most common complications associated with wound formation. The increasing prevalence of antibiotic resistance poses significant challenges in wound management. Due to their favorable therapeutic properties, alginate films have recently emerged as [...] Read more.
Background/Objectives: Regardless of the underlying cause, wound infections are among the most common complications associated with wound formation. The increasing prevalence of antibiotic resistance poses significant challenges in wound management. Due to their favorable therapeutic properties, alginate films have recently emerged as promising biomaterials for wound treatment. Methods: The petroleum ether, chloroform, and methanol extracts of the endemic plant Stachys rupestris were prepared using the maceration technique. The antimicrobial activity of the extracts and the extract-loaded alginate film was evaluated by agar well diffusion and microdilution assays, while their antibiofilm activity was assessed by crystal violet staining in microplates. The anti-infective potential was investigated using the Caenorhabditis elegans infection model, the phytochemical composition was analyzed by HPLC-DAD, and cytotoxicity was determined by the MTT assay. The alginate film was prepared by the solvent casting method and characterized using FTIR spectroscopy and light microscopy. Results: All extracts demonstrated antimicrobial activity, with the methanol extract exhibiting the most potent antimicrobial and antibiofilm effects. Quinic acid was identified as the major constituent. Both the methanol extract and the film displayed no cytotoxic effects and showed significant antimicrobial and antibiofilm activities. Conclusions: The S. rupestris methanol extract-loaded film exhibited strong antimicrobial and antibiofilm properties, indicating its potential as a valuable therapeutic agent in supporting wound healing. Full article
Show Figures

Graphical abstract

16 pages, 854 KB  
Article
A Comparative Study on the Efficiency and Sustainability of Rice Bran Oil Extraction Methods
by Lucia Sportiello, Maria Concetta Tenuta, Roberta Tolve, Fabio Favati, Gabriele Quarati and Giovanna Ferrentino
Foods 2025, 14(23), 4076; https://doi.org/10.3390/foods14234076 - 27 Nov 2025
Viewed by 339
Abstract
Rice bran, a rice milling by-product, is a rich source of bioactives such as tocopherols and γ-oryzanol, with promising antioxidant properties. This study compared three extraction techniques—Soxhlet, maceration, and supercritical CO2 (SC-CO2)—to identify the method offering the best balance of [...] Read more.
Rice bran, a rice milling by-product, is a rich source of bioactives such as tocopherols and γ-oryzanol, with promising antioxidant properties. This study compared three extraction techniques—Soxhlet, maceration, and supercritical CO2 (SC-CO2)—to identify the method offering the best balance of rice bran oil (RBO) recovery, composition, and sustainability. Although all methods yielded similar oil quantities (~9.5–10.8%), SC-CO2 extraction achieved superior preservation of bioactives, with the highest tocopherol (116.9 µg/g) and γ-oryzanol (13.2 mg/g) levels. Antioxidant capacity, assessed via FRAP, ABTS, and DPPH assays, was consistently higher in SC-CO2-extracted oil. The fatty acid profile further confirmed the advantages of SC-CO2 extraction, with the oil showing a high proportion of unsaturated fatty acids (86.3%) and low saturated content (13.6%). In contrast, Soxhlet- and maceration-extracted oils contained higher saturated fractions (56.5% and 60.1%, respectively) and lower unsaturated content, reflecting the impact of thermal and solvent exposure on the lipid composition. Environmental impacts were quantified through cradle-to-gate life cycle assessment (LCA), showing that SC-CO2 extraction led to the lowest ecological burden due to its solvent-free process and lower energy demand. Normalizing impacts on both oil yield and bioactive content further highlighted its advantages. These findings place SC-CO2 extraction as a green, efficient alternative for valorizing rice bran, yielding a high-quality, antioxidant-rich oil suitable for food and cosmetic applications. The integrated chemical and environmental evaluation underscores the potential for a sustainable bioeconomy, effectively turning agricultural residue into functional ingredients. Full article
Show Figures

Graphical abstract

18 pages, 1168 KB  
Article
Combined Effects of Cold Pre-Fermentative Maceration and the Use of Non-Saccharomyces Yeasts (L. thermotolerans and T. delbrueckii) on the Composition of Cayetana Blanca Wines Produced in a Semi-Arid Climate
by Fernando Sánchez-Suárez and Rafael A. Peinado
Fermentation 2025, 11(11), 639; https://doi.org/10.3390/fermentation11110639 - 11 Nov 2025
Viewed by 667
Abstract
Climate change poses a major challenge for wine production in semi-arid regions, where grape ripening frequently leads to excessive sugar accumulation and reduced acidity. This study evaluated the combined effect of cold pre-fermentative maceration (PM) and the use of non-Saccharomyces yeasts ( [...] Read more.
Climate change poses a major challenge for wine production in semi-arid regions, where grape ripening frequently leads to excessive sugar accumulation and reduced acidity. This study evaluated the combined effect of cold pre-fermentative maceration (PM) and the use of non-Saccharomyces yeasts (Lachancea thermotolerans and Torulaspora delbrueckii) on the composition and sensory properties of Cayetana Blanca wines. Pre-fermentative maceration increased titratable acidity by 0.5 g/L and yeast-assimilable nitrogen by 28 mg/L, creating more favorable conditions for the metabolic activity of non-Saccharomyces species. Wines fermented with L. thermotolerans—especially in sequential inoculation with S. cerevisiae after PM—showed the highest acidity and lactic acid content (2 g/L), together with 1% v/v lower ethanol and 1 g/L higher glycerol than the control. These wines were perceived as fresher and better balanced, despite a moderate decrease in fruity esters such as ethyl hexanoate, ethyl octanoate, and isoamyl acetate. Cluster analysis confirmed that non-Saccharomyces fermentations developed distinct compositional profiles only when combined with PM. Overall, the PM + L. thermotolerans + S. cerevisiae treatment achieved the most favorable balance between acidity, ethanol, and sensory freshness. This approach provides a sustainable and readily applicable method to enhance acidity and freshness in white wines from warm-climate regions. Full article
(This article belongs to the Special Issue The Role of Non-Saccharomyces Yeasts in Crafting Alcoholic Drinks)
Show Figures

Figure 1

32 pages, 2473 KB  
Article
In Vitro Evaluation of the Antifungal Activity of Trigonella foenum-graecum Seed Extract and Its Potential Application in Plant Protection
by Stelica Cristea, Alina Perisoara, Bianca-Maria Tihauan, Manuela Diana Ene, Mariana Constantin, Alexandru-Mihai Florea, Elena Ştefania Ivan, Relu Cristinel Zala, Bogdan Purcăreanu, Dan Eduard Mihaiescu and Lucia Pirvu
Plants 2025, 14(21), 3320; https://doi.org/10.3390/plants14213320 - 31 Oct 2025
Viewed by 1028
Abstract
In the context of promoting ecological alternatives to synthetic pesticides, this study investigates the antifungal activity of Trigonella foenum-graecum L. seed extract and its potential application in plant protection. The extract, obtained by maceration in 40% ethanol, was analysed using UV-Vis spectrophotometric methods [...] Read more.
In the context of promoting ecological alternatives to synthetic pesticides, this study investigates the antifungal activity of Trigonella foenum-graecum L. seed extract and its potential application in plant protection. The extract, obtained by maceration in 40% ethanol, was analysed using UV-Vis spectrophotometric methods to assess its phytochemical composition, including phenolic compounds, reducing sugars, and soluble proteins, as well as antioxidant activity in acellular system (ABTS, DPPH, TEAC, and CUPRAC) and CAT, SOD, peroxidase, and lipid peroxidation in planting material lysate. Additionally, the extract was qualitatively analysed using ATR-FT-IR and FT-ICR-MS methods. The antifungal activity was tested in vitro against three fungal strains, revealing significant inhibitory effects, especially on Fusarium graminearum and Monilinia laxa. Following the biogermination study on wheat seeds, it was highlighted that the extract obtained from fenugreek seeds manifested a strong inhibitory effect, especially at the highest concentration (1.50%) studied, probably due to the high content of phenols and presence of steroidal saponins (diosgenin and precursor diosgenin–protodiosgenin) and pyridine alkaloids (trigonelline). These findings suggest that Trigonella foenum-graecum seed extract possesses potent antifungal properties, making it a promising candidate for the development of biofungicides in sustainable agriculture. Full article
(This article belongs to the Special Issue Natural Compounds for Controlling Plant Pathogens)
Show Figures

Figure 1

24 pages, 817 KB  
Review
Exploring Apis mellifera Propolis Extracts: Bioavailability, Protective Strategies, and Applications in Food Systems
by Armando Pelaez-Acero, Marycarmen Cortes-Hernández, Anuar Jottar-Bernal, Lorena Luna-Rodríguez, Armando Zepeda-Bastida, Irma Morales-Rodríguez and Gabriela Medina-Pérez
Appl. Sci. 2025, 15(20), 11043; https://doi.org/10.3390/app152011043 - 15 Oct 2025
Viewed by 1505
Abstract
Propolis, a resinous substance produced by Apis mellifera, is a chemically diverse natural product rich in polyphenols, flavonoids, terpenes, vitamins, and minerals. These compounds exhibit a range of biological activities, including antimicrobial, antioxidant, antidiabetic, anti-inflammatory, and cardioprotective effects, making propolis an attractive [...] Read more.
Propolis, a resinous substance produced by Apis mellifera, is a chemically diverse natural product rich in polyphenols, flavonoids, terpenes, vitamins, and minerals. These compounds exhibit a range of biological activities, including antimicrobial, antioxidant, antidiabetic, anti-inflammatory, and cardioprotective effects, making propolis an attractive candidate for applications in the food and health sciences. This review summarizes the current understanding of its chemical composition and the environmental, botanical, and genetic factors influencing its variability. Particular attention is given to extraction methods: while conventional approaches such as maceration and Soxhlet extraction remain widely used, they often compromise compound stability. In contrast, emerging techniques—such as ultrasound-, microwave-, and supercritical fluid-assisted extraction—enhance yield, selectivity, and sustainability. Encapsulation strategies, including micro- and nanoencapsulation, are also explored as practical tools to protect propolis bioactives from degradation, improve solubility, and mask their strong taste, thereby ensuring higher bioavailability and consumer acceptability. Recent applications in the meat, dairy, beverage, bakery product, and edible film industries demonstrate propolis’ potential to extend shelf life, inhibit microbial growth, and enrich the nutritional and functional quality of these products. Nevertheless, challenges remain, particularly regarding standardization, allergenicity, dosage, and regulatory approval, which limit its widespread industrial adoption. Overall, Apis mellifera propolis represents a multifunctional natural ingredient that bridges traditional medicine with modern food science. Advances in extraction and encapsulation technologies are paving the way for the integration of this ingredient into functional foods, nutraceuticals, and sustainable food preservation systems, underscoring its value as a natural alternative to synthetic additives. Full article
Show Figures

Figure 1

22 pages, 3823 KB  
Article
Beyond Sight: The Influence of Opaque Glasses on Wine Sensory Perception
by George Ștefan Coman, Camelia Elena Luchian, Elena Cristina Scutarașu and Valeriu V. Cotea
Foods 2025, 14(18), 3231; https://doi.org/10.3390/foods14183231 - 17 Sep 2025
Viewed by 871
Abstract
International standards for wines with Protected Designation of Origin (PDO) require characterisation through both analytical and sensory criteria, although sensory evaluation remains inherently subjective, especially regarding organoleptic properties. This study examined paired Blanc de noir and red wines made from identical grape varieties [...] Read more.
International standards for wines with Protected Designation of Origin (PDO) require characterisation through both analytical and sensory criteria, although sensory evaluation remains inherently subjective, especially regarding organoleptic properties. This study examined paired Blanc de noir and red wines made from identical grape varieties to determine whether varietal traits remain perceptible regardless of the vinification method while also assessing the role of visual stimuli in influencing olfactory and gustatory perception. Controlled tastings were conducted using both transparent and opaque glassware, with experienced panellists recording sensory descriptors. Physicochemical parameters were measured using a Lyza 5000 analyser to confirm compliance with quality standards, while statistical analyses of sensory data were conducted using the XLSTAT–Basic, student-type user software. Results showed that the absence of visual cues did not mislead tasters in recognising core attributes; however, the winemaking method significantly affected descriptors linked to maceration, including flavour intensity, astringency, and red/dark fruit notes. Panellists distinguished between white and red wines at statistically significant levels, even without visual input, suggesting that vinification-related chemical composition primarily guided their perception. Direct correlations were observed between red winemaking descriptors and parameters such as pH, lactic acid, glycerol, and volatile acidity, while indirect correlations were found with malic acid and titratable acidity. The results highlight how winemaking methods, chemical composition, and sensory perception interact in defining varietal characteristics. Full article
(This article belongs to the Special Issue The Role of Taste, Smell or Color on Food Intake and Food Choice)
Show Figures

Figure 1

19 pages, 1089 KB  
Article
Eco-Friendly Extraction of Olive Leaf Phenolics and Terpenes: A Comparative Performance Analysis Against Conventional Methods
by Lucía López-Salas, Xavier Expósito-Almellón, Anderson Valencia-Isaza, Alejandro Fernández-Arteaga, Rosa Quirantes-Piné, Isabel Borrás-Linares and Jesús Lozano-Sánchez
Foods 2025, 14(17), 3030; https://doi.org/10.3390/foods14173030 - 29 Aug 2025
Cited by 3 | Viewed by 1221
Abstract
The present study focuses on recovering phenolic compounds and terpenes from olive leaves, which are generated as by-products during olive oil processing. To this end, conventional extraction/maceration (CE) and advanced extraction techniques such as subcritical water extraction (SWE), pressurized fluid extraction (PLE) and [...] Read more.
The present study focuses on recovering phenolic compounds and terpenes from olive leaves, which are generated as by-products during olive oil processing. To this end, conventional extraction/maceration (CE) and advanced extraction techniques such as subcritical water extraction (SWE), pressurized fluid extraction (PLE) and ultrasound-assisted extraction (UAE) were employed to compare and determine the most effective procedure. The phenolic and terpenoid composition of the extracts revealed a total of 33 compounds in HPLC-QTOF-MS analysis. According to these findings, the optimal extraction techniques for the maximum recovery of secoiridoids from olive leaves were PLE and UAE, with no significant difference between them (21.9891 ± 2.5521 mg/g DW and 21.0888 ± 1.3494 mg/g DW, respectively). Regarding to flavonoids, UAE was the most effective extraction technique, yielding 4.9837 ± 0.6739 mg/g DW. However, SWE recovered the highest amount of phenolic alcohols (7.4201 ± 0.9848 mg/g DW), which could be due to degradation of the secoiridoids during extraction. Conversely, UAE was more successful than the other techniques for the extraction of the terpene family (0.7373 ± 0.0601 mg/g DW). The present study therefore focuses on comparing different extraction techniques for revalorizing olive leaves as a source of bioactive compounds, specifically polyphenols and terpenes, due to their beneficial health properties. Full article
Show Figures

Figure 1

23 pages, 1138 KB  
Article
Phytochemical Profile, Antioxidant Capacity, and Photoprotective Potential of Brazilian Humulus Lupulus
by Gabriela Catuzo Canonico Silva, Fabiana Pereira Alves da Silva, Gabriel Augusto Rodrigues Beirão, José Júnior Severino, Mariane de Almeida Machado, Marina Pereira da Silva Bocchio Barbosa, Giulia Boito Reyes, Max Emerson Rickli, Ana Daniela Lopes, Ezilda Jacomassi, Maria Graciela Iecher Faria Nunes, João Paulo Francisco, Beatriz Cervejeira Bolanho Barros, Juliana Silveira do Valle, José Eduardo Gonçalves and Zilda Cristiani Gazim
Pharmaceuticals 2025, 18(8), 1229; https://doi.org/10.3390/ph18081229 - 20 Aug 2025
Cited by 1 | Viewed by 1050
Abstract
Background and Objectives: The cultivation of Humulus lupulus has been encouraged in Brazil, despite the country’s climate generally being unfavorable for its development. This study aimed to evaluate the chemical composition, antioxidant activity, and photoprotective potential of four H. lupulus varieties, Cascade, [...] Read more.
Background and Objectives: The cultivation of Humulus lupulus has been encouraged in Brazil, despite the country’s climate generally being unfavorable for its development. This study aimed to evaluate the chemical composition, antioxidant activity, and photoprotective potential of four H. lupulus varieties, Cascade, Columbus, Comet, and Nugget, cultivated in the northwestern region of Paraná State, Brazil. Methods: The varieties were grown in experimental plots. Crude extracts (CEs) of cones and leaves were obtained through dynamic maceration with solvent renewal (96% ethanol), followed by concentration in a rotary evaporator. Assays for sun protection factor (SPF), total phenolic content (TPC), total flavonoid content (TFC), ferric reducing antioxidant power (FRAP), 2.2-diphenyl-1-picrylhydrazyl (DPPH) radical scavenging activity, and 2.2′-azinobis-(3-ethylbenzothiazoline-6-sulfonic acid) (ABTS⁺) were performed to assess antioxidant activity. Chemical profiling was performed using UHPLC-MS/MS. Results: UHPLC-MS/MS analysis revealed the presence of phenolic and organic acids, flavonoids, phenolic aldehydes, alkaloids, and α-benzopyrone-type lactones, with high concentrations of rutin (>500 µg/g) in both cones and leaves. Total phenolic content ranged from 69.70 to 95.95 µg gallic acid equivalent/mg CE; flavonoids from 170.53 to 696.67 µg quercetin equivalent/mg CE; DPPH EC50 values ranged from 1.34 to 3.13 mg/mL; FRAP from 1.19 to 2.52 µM ferrous sulfate/mg; ABTS⁺ from 5.11 to 22.60 mM Trolox/mg CE; and SPF ranged from 16.02 to 39.48 in the CE of H. lupulus cones and leaves. Conclusions: These findings demonstrate that the cultivated varieties possess antioxidant and photoprotective properties, encouraging further studies to explore their potential applications. Full article
Show Figures

Graphical abstract

26 pages, 1955 KB  
Article
A Bioactive Emulgel Formulation of Equisetum telmateia Ehrh. Methanol Extract: Integrating Antioxidant Activity, Skin Enzyme Inhibition, and Permeation Kinetics
by Tuğba Buse Şentürk, Timur Hakan Barak, Emre Şefik Çağlar, Emine Saldamlı, Ebru Özdemir Nath and Zafer Ömer Özdemir
Gels 2025, 11(8), 662; https://doi.org/10.3390/gels11080662 - 20 Aug 2025
Cited by 1 | Viewed by 1711
Abstract
Equisetum telmateia Ehrh. (great horsetail) belongs to the Equisetaceae family and its aerial parts have been traditionally used for skin conditions and to achieve healthy and resilient skin, nails, and hair. This study aimed to evaluate the inhibition of skin-related enzymes by, the [...] Read more.
Equisetum telmateia Ehrh. (great horsetail) belongs to the Equisetaceae family and its aerial parts have been traditionally used for skin conditions and to achieve healthy and resilient skin, nails, and hair. This study aimed to evaluate the inhibition of skin-related enzymes by, the antioxidant capacity of, and the phytochemical composition of E. telmateia. Additionally, a novel emulgel was formulated from the main methanolic extract and characterized in terms of pH, viscosity, determination of content quantification, textural profile analysis, and spreadability. After the characterization studies, in vitro release and ex vivo permeation and penetration studies were performed. Firstly, the dried aerial parts of E. telmateia were macerated in methanol, followed by partitioning with solvents of increasing polarity: n-hexane, chloroform, ethyl acetate, and n-butanol. Antioxidant activity was assessed using DPPH, FRAP, CUPRAC, and TOAC assays, while enzyme inhibition was analyzed for collagenase, elastase, hyaluronidase, and tyrosinase. LC-MS/MS analysis identified 53 phytochemical compounds. Protocatechuic acid, the main phenolic compound, was quantitatively analyzed in each subfraction by HPTLC. The in vitro release studies showed sustained release of the reference substance (protocatechuic acid) and the kinetic modeling of the release was fitted to the Higuchi model. The ex vivo permeation and penetration studies showed that the formulation exhibited a retention of 3.06 ± 0.21 µg.cm−2 after 24 h, whereas the suspended extract demonstrated a skin retention of 1.28 ± 0.47 µg.cm−2. Both the extracts and the formulated emulgel exhibited inhibitory effects on skin-related enzymes. Our finding suggested that E. telmateia might be a valuable ingredient for wrinkle care and skin-regenerating cosmetics. Full article
(This article belongs to the Special Issue Properties and Structure of Plant-Based Emulsion Gels)
Show Figures

Figure 1

25 pages, 405 KB  
Article
Chemical Composition, Antioxidant and Antimicrobial Activity of Piper carpunya and Simira ecuadorensis: A Comparative Study of Four Extraction Methods
by María del Cisne Guamán-Balcázar, Diana Hualpa, Garlet Infante, Luis Luzuriaga, José Luis Riofrío, Anderli Jarro, Estefany Lopez, Verónica Salas-Gomez, Rómulo Salazar, Jorge F. Reyes and Miguel A. Meneses
Plants 2025, 14(16), 2526; https://doi.org/10.3390/plants14162526 - 14 Aug 2025
Viewed by 1850
Abstract
In this in vitro experimental study, we compared four extraction techniques -dynamic maceration (DME), ultrasound-assisted (UAE), microwave-assisted (MAE), and pressurized liquid extraction (PLE)- to obtain bioactive extracts from two native Ecuadorian plants, Piper carpunya and Simira ecuadorensis. The effect of extraction techniques was [...] Read more.
In this in vitro experimental study, we compared four extraction techniques -dynamic maceration (DME), ultrasound-assisted (UAE), microwave-assisted (MAE), and pressurized liquid extraction (PLE)- to obtain bioactive extracts from two native Ecuadorian plants, Piper carpunya and Simira ecuadorensis. The effect of extraction techniques was evaluated separately for each specie based on extraction yield, total phenolic content (TPC), antioxidant capacity (DPPH, ABTS, FRAP, and ORAC assays), antimicrobial activity, and chemical composition. All analyses were performed in triplicate and analyzed statistically (ANOVA, p < 0.05). UAE and MAE exhibited the highest extraction yield, while PLE provided extracts with the greatest TPC. However, UAE extracts, particularly for S. ecuadorensis, exhibited superior antioxidant capacity across assays. GC/MS analysis revealed alkanes as predominant constituents, along with minor phenolic and ester compounds. Antimicrobial activity was observed in both species, especially against Listeria monocytogenes and Pseudomonas aeruginosa, with UAE and MAE extracts being most effective. Compounds such as isoelemicin, phytol, and ethyl linolenate may contribute to the observed bioactivities. These findings highlight the potential of P. carpunya and S. ecuadorensis as natural sources of antioxidants and antimicrobials for food and pharmaceutical applications. Full article
Show Figures

Graphical abstract

16 pages, 1570 KB  
Article
Examining the Role of Extraction Techniques and Regional Variability in the Antioxidant and Phytochemical Composition of Juglans regia L. Septa
by Jurgita Luksiene, Augusta Zevzikoviene, Jurga Andreja Kazlauskaite, Mindaugas Marksa, Daiva Majiene and Andrejus Zevzikovas
Plants 2025, 14(16), 2524; https://doi.org/10.3390/plants14162524 - 13 Aug 2025
Cited by 1 | Viewed by 908
Abstract
Walnut septa, traditionally discarded as waste in walnut processing because they primarily serve a structural function in the walnut fruit, have recently gained attention for their potential abundance of phenolic compounds, suggesting their overlooked value. This study aimed to optimise extraction parameters to [...] Read more.
Walnut septa, traditionally discarded as waste in walnut processing because they primarily serve a structural function in the walnut fruit, have recently gained attention for their potential abundance of phenolic compounds, suggesting their overlooked value. This study aimed to optimise extraction parameters to maximise the extraction yield of bioactive compounds and explore regional variations in antioxidant activity and chemical composition of Juglans regia L. septa. The experimental variables included extraction methods (maceration, dynamic maceration, ultrasound processing, and reflux extraction), temperature, solvent type (methanol, acetone, and ethanol), and the percentage of water in the solvent. The optimal conditions were determined based on the total phenolic content—reflux extraction using 60% ethanol as a solvent for a duration of 60 min. Samples from 12 different regions in Lithuania, Armenia, and Ukraine were analysed for their phenolic and proanthocyanidin content and antioxidant activity using the CUPRAC method. The total phenolic content ranged from 131.55 to 530.92 mg of gallic acid equivalents per g of dry weight of plant material (mg GAE/g dw), while the proanthocyanidin content varied from 1.14 to 7.65 mg of (–)-epicatechin equivalents per g dry weight of plant material (mg EE/g dw). Among all the regions studied, the Šiauliai sample demonstrated the highest concentrations of phenolic compounds, proanthocyanidins, and antioxidant activity, with statistically significant differences compared to the other samples (p < 0.05). These findings demonstrate that walnut septa are a valuable source of phenolic compounds and antioxidants, with significant potential for developing natural nutraceuticals and antioxidant products. Full article
(This article belongs to the Section Phytochemistry)
Show Figures

Figure 1

15 pages, 640 KB  
Article
Bioactive Properties and Fatty Acid Profile of Seed Oil from Amomyrtus luma
by Claudia Giovagnoli-Vicuña, Rafael Viteri, Javiera Aparicio, Issis Quispe-Fuentes and Ady Giordano
Compounds 2025, 5(3), 31; https://doi.org/10.3390/compounds5030031 - 11 Aug 2025
Cited by 1 | Viewed by 903
Abstract
Amomyrtus luma (A. luma), a native Chilean tree species, produces fruits containing 1–3 non-edible seeds, which are typically discarded as waste during processing. This study evaluated the fatty acid composition and bioactive properties of A. luma seed oil obtained through maceration, [...] Read more.
Amomyrtus luma (A. luma), a native Chilean tree species, produces fruits containing 1–3 non-edible seeds, which are typically discarded as waste during processing. This study evaluated the fatty acid composition and bioactive properties of A. luma seed oil obtained through maceration, ultrasound extraction, and Soxhlet extraction, using hexane as the extraction solvent. Fatty acid methyl esters (FAMEs) were quantified using gas chromatography-flame ionization detection (GC–FID), revealing that linoleic acid was the most abundant (79.79–80.09%), followed by oleic acid (8.89–9.18%) and palmitic acid (7.29–7.40%), with no significant differences (p < 0.05) among extraction methods. However, extraction conditions significantly influenced the concentration of bioactive compounds, including total phenolics, flavonoids, tannins, lycopene, carotenoids, and antioxidant capacity, as determined through DPPH and FRAP assays. A strong correlation was observed between polyphenol content and antioxidant activity, particularly in maceration and ultrasound extraction, whereas Soxhlet extraction favored tocopherols and carotenoids due to the thermal degradation of polyphenols. Soxhlet extraction yielded the highest oil recovery, while ultrasound extraction preserved the highest levels of bioactive compounds and antioxidant capacity. No antimicrobial activity was detected against Staphylococcus aureus and Escherichia coli. These findings underscore the key role of extraction methods in determining the nutritional and functional quality of A. luma seed oil. Given its high unsaturated fatty acid content and bioactive potential, A. luma seed oil represents a promising ingredient for cosmetic and pharmaceutical applications, while contributing to waste valorization and sustainable resource utilization. Full article
(This article belongs to the Special Issue Compounds–Derived from Nature)
Show Figures

Figure 1

Back to TopTop