Biological Activities of Stachys rupestris, Development of S. rupestris Extract-Loaded Alginate Films as Wound Dressing
Abstract
1. Introduction
2. Results
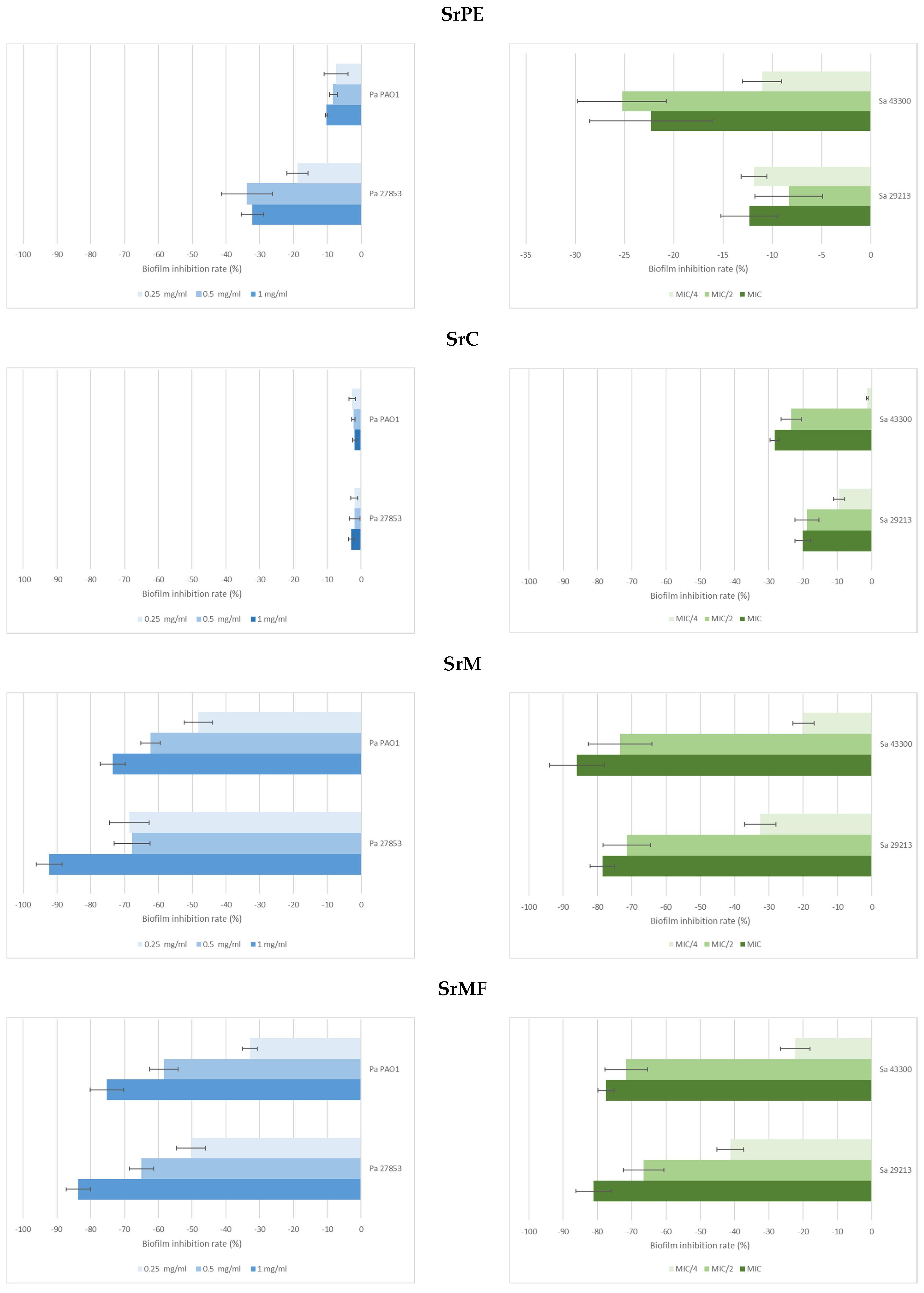
2.1. Antimicrobial Activity of S. rupestris Extracts and S. rupestris Extract-Loaded Film
2.2. Detection of Anti-Infective Effect in a C. elegans Model
2.3. HPLC-DAD Analysis of Phenolic Compounds
2.4. Cytotoxicity of SrM and SrMF
2.5. Characterization of the Alginate Film Formulations
3. Discussion
4. Materials and Methods
4.1. Procurement of the Plant Material
4.2. Preparation of S. rupestris Extracts
4.3. Antimicrobial Activity
4.3.1. Microorganisms
4.3.2. Agar Well Diffusion Method
4.3.3. Minimal Inhibitory Concentration (MIC) Determination for Bacteria
4.3.4. Minimal Inhibitory Concentration (MIC) Determination for Yeast
4.4. Effect of Samples on Biofilm Formation
4.5. Detection of Anti-Infective Effect in C. elegans Model
4.6. HPLC Analysis of Phenolic Compounds
4.7. Production of the Film Formulations
4.8. Characterization of the Film Formulations
4.9. Cytotoxicity of SrM, FF, and SrMF
5. Conclusions
Author Contributions
Funding
Institutional Review Board Statement
Informed Consent Statement
Data Availability Statement
Conflicts of Interest
References
- Lopes, A.I.; Pintado, M.M.; Tavaria, F.K. Plant-Based Films and Hydrogels for Wound Healing. Microorganisms 2024, 12, 438. [Google Scholar] [CrossRef]
- Saraiva, M.M.; Campelo, M.D.S.; Câmara Neto, J.F.; Lima, A.B.N.; Silva, G.A.; Dias, A.T.F.F.; Ricardo, N.M.P.S.; Kaplan, D.L.; Ribeiro, M.E.N.P. Alginate/polyvinyl alcohol films for wound healing: Advantages and challenges. J. Biomed. Mater. Res. B Appl. Biomater. 2023, 111, 220–233. [Google Scholar] [CrossRef]
- Gupta, A.; Kowalczuk, M.; Heaselgrave, W.; Britland, S.T.; Martin, C.; Radecka, I. The production and application of hydrogels for wound management: A review. Eur. Polym. J. 2019, 111, 134–151. [Google Scholar] [CrossRef]
- Imam, M.W.; Luqman, S. Unveiling the mechanism of essential oil action against skin pathogens: From ancient wisdom to modern science. Arch. Microbiol. 2024, 206, 347. [Google Scholar] [CrossRef]
- Ramírez, N.; Cassola, F.; Gambero, A.; Sartoratto, A.; Gómez Castellanos, L.M.; Ribeiro, G.; Ferreira Rodrigues, R.A.; Duarte, M.C.T. Control of pathogenic bacterial biofilm associated with acne and the anti-inflammatory potential of an essential oil blend. Microb. Pathog. 2024, 194, 106834. [Google Scholar] [CrossRef]
- Uberoi, A.; McCready-Vangi, A.; Grice, E.A. The wound microbiota: Microbial mechanisms of impaired wound healing and infection. Nat. Rev. Microbiol. 2024, 22, 507–521. [Google Scholar] [CrossRef] [PubMed]
- El-Sapagh, S.; Allam, N.G.; El-Sayed, M.N.E.-D.; El-Hefnawy, A.A.; Korbecka-Glinka, G.; Shala, A.Y. Effects of Silybum marianum L. Seed Extracts on Multi Drug Resistant (MDR) Bacteria. Molecules 2024, 29, 64. [Google Scholar] [CrossRef] [PubMed]
- Bharathi, D.; Lee, J. Recent Trends in Bioinspired Metal Nanoparticles for Targeting Drug-Resistant Biofilms. Pharmaceuticals 2025, 18, 1006. [Google Scholar] [CrossRef] [PubMed]
- Sahu, A.; Jain, S.; Junghare, M.; Mishra, A.; Ruhal, R. Biofilm-dispersal patterns in ESKAPE pathogens. Arch. Microbiol. 2025, 207, 194. [Google Scholar] [CrossRef]
- Stewart, P.S.; Costerton, J.W. Antibiotic resistance of bacteria in biofilms. Lancet 2001, 358, 135–138. [Google Scholar] [CrossRef]
- Raffa, R.B.; Iannuzzo, J.R.; Levine, D.R.; Saeid, K.K.; Schwartz, R.C.; Sucic, N.T.; Terleckyj, O.D.; Young, J.M. Bacterial communication (“quorum sensing”) via ligands and receptors: A novel pharmacologic target for the design of antibiotic drugs. J. Pharmacol. Exp. Ther. 2005, 312, 417–423. [Google Scholar] [CrossRef]
- Abass, S.; Parveen, R.; Irfan, M.; Malik, Z.; Husain, S.A.; Ahmad, S. Mechanism of antibacterial phytoconstituents: An updated review. Arch. Microbiol. 2024, 206, 325. [Google Scholar] [CrossRef]
- Venditti, A.; Bianco, A.; Nicoletti, M.; Quassinti, L.; Bramucci, M.; Lupidi, G.; Vitali, L.A.; Petrelli, D.; Papa, F.; Vittori, S.; et al. Phytochemical analysis, biological evaluation and micromorphological study of Stachys alopecuros subsp. divulsa endemic to central Apennines, Italy. Fitoterapia 2013, 90, 94–103. [Google Scholar] [CrossRef] [PubMed]
- Erdogan, E.A.; Everest, A.; De Martino, L.; Mancini, E.; Festa, M.; De Feo, V. Chemical composition and in vitro cytotoxic activity of the essential oils of Stachys rupestris and Salvia heldreichiana, two endemic plants of Turkey. Nat. Prod. Commun. 2013, 8, 1637–1640. [Google Scholar] [CrossRef]
- Erdoğan Eliuz, E.A.; Everest, A.; Serin, M.S. Antimicrobial activity of Stachys rupestris Montbret et Aucher ex Benth. and inactivation of the pathogens inoculated on lab-made skin by the essential oil. Int. J. Environ. Health Res. 2023, 33, 1749–1759. [Google Scholar] [CrossRef]
- Serbetçi, T.; Demirci, B.; Güzel, C.B.; Kültür, S.; Ergüven, M.; Baser, K.H. Essential oil composition, antimicrobial and cytotoxic activities of two endemic Stachys cretica subspecies (Lamiaceae) from Turkey. Nat. Prod. Commun. 2010, 5, 1369–1374. [Google Scholar] [CrossRef]
- Koutsaviti, A.; Milenković, M.; Tzakou, O. Antimicrobial activity of the essential oil of Greek endemic Stachys spruneri and its main component, isoabienol. Nat. Prod. Commun. 2011, 6, 277–280. [Google Scholar] [CrossRef]
- Davis, P.H.; Edmondson, J.R.; Mill, R.R.; Tan, K. Flora of Turkey and East Aegean Islands; Edinburgh University Press: Edinburgh, UK, 1988; Volume 7. [Google Scholar]
- Skaltsa, H.D.; Lazari, D.M.; Chinou, I.B.; Loukis, A.E. Composition and antibacterial activity of the essential oils of Stachys candida and S. chrysantha from southern Greece. Planta Med. 1999, 65, 255–256. [Google Scholar] [CrossRef]
- Chen, X.; Bahramimehr, F.; Shahhamzehei, N.; Fu, H.; Lin, S.; Wang, H.; Li, C.; Efferth, T.; Hong, C. Anti-aging effects of medicinal plants and their rapid screening using the nematode Caenorhabditis elegans. Phytomedicine 2024, 129, 155665. [Google Scholar] [CrossRef] [PubMed]
- Aderibigbe, B.A.; Buyana, B. Alginate in Wound Dressings. Pharmaceutics 2018, 10, 42. [Google Scholar] [CrossRef] [PubMed]
- Dong, M.; Jiao, D.; Zheng, Q.; Wu, Z.L. Recent progress in fabrications and applications of functional hydrogel films. J. Polym. Sci. 2023, 61, 1026–1039. [Google Scholar] [CrossRef]
- Li, S.; Renick, P.; Senkowsky, J.; Nair, A.; Tang, L. Diagnostics for wound infections. Adv. Wound Care 2021, 10, 317–327. [Google Scholar] [CrossRef] [PubMed]
- Sen, C.K. Human wound and its burden: Updated 2020 compendium of estimates. Adv. Wound Care 2021, 10, 281–292. [Google Scholar] [CrossRef] [PubMed]
- Sen, C.K. Human wound and its burden: Updated 2022 compendium of estimates. Adv. Wound Care 2023, 12, 657–670. [Google Scholar] [CrossRef]
- Deng, L.; Du, C.; Song, P.; Chen, T.; Rui, S.; Armstrong, D.G.; Deng, W. The role of oxidative stress and antioxidants in diabetic wound healing. Oxid. Med. Cell. Longev. 2021, 2021, 8852759. [Google Scholar] [CrossRef]
- Johnson, A.C.; Buchanan, E.P.; Khechoyan, D.Y. Wound infection: A review of qualitative and quantitative assessment modalities. J. Plast. Reconstr. Aesthet. Surg. 2022, 75, 1287–1296. [Google Scholar] [CrossRef] [PubMed]
- Zielińska, M.; Pawłowska, A.; Orzeł, A.; Sulej, L.; Muzyka-Placzyńska, K.; Baran, A.; Filipecka-Tyczka, D.; Pawłowska, P.; Nowińska, A.; Bogusławska, J.; et al. Wound microbiota and its impact on wound healing. Int. J. Mol. Sci. 2023, 24, 17318. [Google Scholar] [CrossRef]
- Qi, X.; Li, Y.; Xiang, Y.; Chen, Y.; Shi, Y.; Ge, X.; Zeng, B.; Shen, J. Hyperthermia-enhanced immunoregulation hydrogel for oxygenation and ROS neutralization in diabetic foot ulcers. Cell Biomater. 2025, 1, 100020. [Google Scholar] [CrossRef]
- Lan, Y.; Wang, Y.; Qi, X.; Cai, E.; Xiang, Y.; Ge, X.; Xu, H.; Chen, X.; Li, Y.; Shi, Y.; et al. A modified hyaluronic acid hydrogel with strong bacterial capture and killing capabilities for drug-resistant bacteria-infected diabetic wound healing. Int. J. Biol. Macromol. 2024, 279 Pt 3, 135301. [Google Scholar] [CrossRef]
- Divyashri, G.; Badhe, R.V.; Sadanandan, B.; Vijayalakshmi, V.; Kumari, M.; Ashrit, P.; Bijukumar, D.; Mathew, M.T.; Shetty, K.; Raghu, A.V. Applications of hydrogel-based delivery systems in wound care and treatment: An up-to-date review. Polym. Adv. Technol. 2022, 33, 2025–2043. [Google Scholar] [CrossRef]
- Ehterami, A.; Salehi, M.; Farzamfar, S.; Samadian, H.; Vaez, A.; Sahrapeyma, H.; Ghorbani, S. A promising wound dressing based on alginate hydrogels containing vitamin D3 cross-linked by calcium carbonate/d-glucono-δ-lactone. Biomed. Eng. Lett. 2020, 10, 309–319. [Google Scholar] [CrossRef] [PubMed]
- Liakos, I.; Rizzello, L.; Scurr, D.J.; Pompa, P.P.; Bayer, I.S.; Athanassiou, A. All-natural composite wound dressing films of essential oils encapsulated in sodium alginate with antimicrobial properties. Int. J. Pharm. 2014, 463, 137–145. [Google Scholar] [CrossRef]
- Mutlu, B.; Erci, F.; Çakir Koç, R. Production of alginate films containing Hypericum perforatum extract as an antibacterial and antioxidant wound dressing material. J. Bioact. Compat. Polym. 2022, 37, 134–148. [Google Scholar] [CrossRef]
- Khairan, K.; Hasan, M.; Idroes, R.; Diah, M. Fabrication and evaluation of polyvinyl alcohol/corn starch/patchouli oil hydrogel films loaded with silver nanoparticles biosynthesized in Pogostemon cablin Benth leaves’ extract. Molecules 2023, 28, 2020. [Google Scholar] [CrossRef]
- Candido, J.D.C.; Conceiçao, N.A.; Moreira, A.P.D.; Calçada, L.A.; Araújo, L.S.; dos Santos, R.A.; Middea, A.; Luchese, R.; Prudencio, E.R.; Castro, R.N.; et al. Alginate hydrogels incorporating neomycin or propolis as potential dressings for diabetic ulcers: Structure, swelling, and antimicrobial barrier properties. Polym. Adv. Technol. 2019, 30, 2623–2635. [Google Scholar] [CrossRef]
- Mantovska, D.I.; Zhiponova, M.K.; Petrova, D.; Alipieva, K.; Bonchev, G.; Boycheva, I.; Evstatieva, Y.; Nikolova, D.; Tsacheva, I.; Simova, S.; et al. Exploring the phytochemical composition and biological potential of Balkan endemic species Stachys scardica Griseb. Plants 2023, 13, 30. [Google Scholar] [CrossRef]
- Cellat, K.; Gül, Ş.; Everest, A. Investigation of the Etheric Oil Content of Stachys rupestris Montbret et Aucher ex Bentham Species in Mersin. Mersin Univ. Sch. Med. Lokman Hekim J. Hist. Med. Folk Med. 2011, 1, 58. [Google Scholar]
- Ugur, A.; Sarac, N.; Varol, O. Antimicrobial activities of the essential oils of endemic Stachys rupestris and Stachys amanica against multi-resistant bacteria. Indian J. Pharmacol. 2013, 45, 201–202. [Google Scholar] [CrossRef]
- Benali, T.; Bakrim, S.; Ghchime, R.; Benkhaira, N.; El Omari, N.; Balahbib, A.; Taha, D.; Zengin, G.; Hasan, M.M.; Bibi, S.; et al. Pharmacological insights into the multifaceted biological properties of quinic acid. Biotechnol. Genet. Eng. Rev. 2024, 40, 3408–3437. [Google Scholar] [CrossRef] [PubMed]
- Lu, L.; Zhao, Y.; Yi, G.; Li, M.; Liao, L.; Yang, C.; Cho, C.; Zhang, B.; Zhu, J.; Zou, K.; et al. Quinic acid: A potential antibiofilm agent against clinical resistant Pseudomonas aeruginosa. Chin. Med. 2021, 16, 72. [Google Scholar] [CrossRef] [PubMed]
- Bisso, B.N.; Jahan, H.; Dzoyem, J.P.; Choudhary, M.I. Quinic acid enhances kanamycin efficacy against methicillin-resistant Staphylococcus aureus biofilms. Microb. Pathog. 2025, 198, 107145. [Google Scholar] [CrossRef]
- Kernou, O.N.; Azzouz, Z.; Madani, K.; Rijo, P. Application of rosmarinic acid with its derivatives in the treatment of microbial pathogens. Molecules 2023, 28, 4243. [Google Scholar] [CrossRef]
- Ivanov, M.; Kostić, M.; Stojković, D.; Soković, M. Rosmarinic acid—Modes of antimicrobial and antibiofilm activities of a common plant polyphenol. S. Afr. J. Bot. 2022, 146, 521–527. [Google Scholar] [CrossRef]
- Taşkın, T.; Güler, E.M.; Şentürk, Ş.; Damar Çelik, D.; Arabacı, T.; Soyoğul Gürer, Ü. Cytotoxic activity-guided isolation from Achillea monocephala, and biological activities of its different extracts. Open Bioact. Compd. J. 2020, 8, 7–14. [Google Scholar] [CrossRef]
- Santana-Gálvez, J.; Cisneros-Zevallos, L.; Jacobo-Velázquez, D.A. Chlorogenic acid: Recent advances on its dual role as a food additive and a nutraceutical against metabolic syndrome. Molecules 2017, 22, 358. [Google Scholar] [CrossRef] [PubMed]
- Chen, K.; Peng, C.; Chi, F.; Yu, C.; Yang, Q.; Li, Z. Antibacterial and antibiofilm activities of chlorogenic acid against Yersinia enterocolitica. Front. Microbiol. 2022, 13, 885092. [Google Scholar] [CrossRef]
- Ivanov, M.; Novović, K.; Malešević, M.; Dinić, M.; Stojković, D.; Jovčić, B.; Soković, M. Polyphenols as inhibitors of antibiotic resistant bacteria—Mechanisms underlying rutin interference with bacterial virulence. Pharmaceuticals 2022, 15, 385. [Google Scholar] [CrossRef]
- Jaiswal, N.; Kumar, A. Identification, quantification, and bioactivity of Vitex negundo phenolic acids as efficacious anti-candidal and antibiofilm agents targeting Candida albicans. J. Mycol. Med. 2025, 35, 101550. [Google Scholar] [CrossRef]
- Çalışkan Salihi, E.; Gündüz, Z.; Baştuğ, A.S. Fast retention of isoniazid on organobentonite prepared using green chemistry approach: Contribution of the π interactions. Sep. Sci. Technol. 2019, 54, 2695–2705. [Google Scholar] [CrossRef]
- Çalışkan Salihi, E.; Wang, J.; Kabacaoğlu, G.; Kırkulak, S.; Šiller, L. Graphene oxide as a new generation adsorbent for the removal of antibiotics from waters. Sep. Sci. Technol. 2021, 56, 453–461. [Google Scholar] [CrossRef]
- Demirhan, K.; Bingol Ozakpinar, O.; Çalışkan Salihi, E. Green and one step modification of graphene oxide using natural substances. Fuller. Nanotub. Carbon Nanostruct. 2021, 29, 716–723. [Google Scholar] [CrossRef]
- Çalışkan Salihi, E.; Zarrabi, A.; Zarepour, A.; Gürboğa, M.; Hasan Niari Niar, S.; Özakpınar, Ö.B.; Wang, J.; Daştan, H.; Khosravi, A.; Šiller, L. Ambient pressure dried graphene oxide-silica composite aerogels as pharmaceutical nanocarriers. J. Sol-Gel Sci. Technol. 2025, 113, 548–558. [Google Scholar] [CrossRef]
- Wang, H.; Liu, J.; Fan, X.; Ren, J.; Liu, Q.; Kong, B. Fabrication, characterisation, and application of green crosslinked sodium alginate hydrogel films by natural crab-shell powders to achieve drug sustained release. LWT 2022, 171, 114147. [Google Scholar] [CrossRef]
- Rezvanian, M.; Ahmad, N.; Mohd Amin, M.C.I.; Ng, S.F. Optimization, characterization, and in vitro assessment of alginate-pectin ionic cross-linked hydrogel film for wound dressing applications. Int. J. Biol. Macromol. 2017, 97, 131–140. [Google Scholar] [CrossRef]
- Pelin, I.M.; Silion, M.; Popescu, I.; Rîmbu, C.M.; Fundueanu, G.; Constantin, M. Pullulan/Poly(vinyl alcohol) Hydrogels Loaded with Calendula officinalis Extract: Design and In Vitro Evaluation for Wound Healing Applications. Pharmaceutics 2023, 15, 1674. [Google Scholar] [CrossRef]
- Akbar, R.; Krishnamoorthi, R.; Mahalingam, P.U.; Kaviyadharshini, M.; Rajeswari, M.; Satheesh Kumar, K.; Rasmi, M.; Chung, Y.-K.; Fang, J.-Y. Unveiling the Anticancer Potential and Toxicity of Ganoderma applanatum Wild Mushroom Derived Bioactive Compounds: An In Vitro, In Vivo and In Silico Evaluation. Bioorg. Chem. 2025, 156, 108233. [Google Scholar]
- Acar, A.G.; Şahin, T.; Rayaman, P.; Ermanoğlu, M.; Taşkın, D.; Tatar, E.; Taşkın, T. Chemical Composition, In Vitro and In Silico Biological Activities of Nepeta sorgerae. Plant Biosyst. 2025, 159, 925–936. [Google Scholar] [CrossRef]
- Clinical and Laboratory Standards Institute (CLSI). Performance Standards for Antimicrobial Disk Susceptibility Tests; Approved Standard—Eleventh Edition; CLSI document M02-A11; Clinical and Laboratory Standards Institute: Wayne, PA, USA, 2012. [Google Scholar]
- Perez, C.; Pauli, M.; Bazerque, P. An Antibiotic Assay by the Agar-Well Diffusion Method. Acta Biol. Med. Exp. 1990, 15, 113–115. [Google Scholar]
- Clinical and Laboratory Standards Institute (CLSI). Methods for Dilution Antimicrobial Susceptibility Tests for Bacteria That Grow Aerobically; Approved Standard—Ninth Edition; CLSI document M07-A9; Clinical and Laboratory Standards Institute: Wayne, PA, USA, 2012. [Google Scholar]
- Clinical and Laboratory Standards Institute (CLSI). Performance Standards for Antifungal Susceptibility Testing of Yeasts, 3rd ed.; CLSI Supplement M27M44S; CLSI: Wayne, PA, USA, 2022. [Google Scholar]
- Dosler, S.; Karaaslan, E. Inhibition and destruction of biofilms by antibiotics and antimicrobial peptides. Peptides 2014, 62, 32–37. [Google Scholar] [CrossRef] [PubMed]
- Nostro, A.; Roccaro, A.S.; Bisignano, G.; Marino, A.; Cannatelli, M.A.; Pizzimenti, F.C.; Cioni, P.L.; Procopio, F.; Blanco, A.R. Effects of oregano, carvacrol and thymol on Staphylococcus aureus and Staphylococcus epidermidis biofilms. J. Med. Microbiol. 2007, 56, 519–523. [Google Scholar] [CrossRef]
- Zacchino, S.A.; Butassi, E.; Cordisco, E.; Svetaz, L.A. Hybrid combinations containing natural products and antimicrobial drugs that interfere with bacterial and fungal biofilms. Phytomedicine 2017, 37, 14–26. [Google Scholar] [CrossRef]
- Peterson, N.D.; Pukkila-Worley, R. Caenorhabditis elegans in high-throughput screens for anti-infective compounds. Curr. Opin. Immunol. 2018, 54, 59–65. [Google Scholar] [CrossRef]
- Scorzoni, L.; de Lucas, M.P.; Singulani, J.L.; de Oliveira, H.C.; Assato, P.A.; Fusco-Almeida, A.M.; Mendes-Giannini, M. Evaluation of Caenorhabditis elegans as a host model for Paracoccidioides brasiliensis and Paracoccidioides lutzii. Pathog. Dis. 2018, 76, fty004. [Google Scholar] [CrossRef] [PubMed]
- Wormbook. The Online Review of C. elegans Biology. Available online: https://www.wormbook.org/ (accessed on 30 September 2024).
- Taşkın, D.; Yılmaz, B.N.; Taşkın, T.; Omurtag, G.Z. The influence of different extraction methods/solvents on composition, biological activities and ADMET predictions of phenolics in Tribulus terrestris. Braz. Arch. Biol. Technol. 2021, 64, e21210249. [Google Scholar] [CrossRef]
- Pereira, R.; Mendes, A.; Bártolo, P. Alginate/Aloe vera hydrogel films for biomedical applications. Procedia CIRP 2013, 5, 210–215. [Google Scholar] [CrossRef]
- Hashem, H.M.; Motawea, A.; Kamel, A.H.; Bary, E.A.; Hassan, S.S. Fabrication and characterization of electrospun nanofibers using biocompatible polymers for the sustained release of venlafaxine. Sci. Rep. 2022, 12, 18037. [Google Scholar] [CrossRef] [PubMed]








| Agar Well Diffusion Test | Microdilution Test | ||||||||
|---|---|---|---|---|---|---|---|---|---|
| ZD (mm) | MIC (mg/mL)/MBC-MFC * (mg/mL) | ||||||||
| SrPE | SrC | SrM | DMSO (15%) | M/A | SrPE | SrC | SrM | DMSO (%) | |
| Staphylococcus aureus ATCC 43300 | 14.08 ± 0.31 | 11.36 ± 0.26 | 14.52 ± 0.33 | 0 | 34.18 ± 0.28/- | 0.03/0.12 | 0.12/0.94 | 0.03/0.94 | >7.5/>7.5 |
| Staphylococcus aureus ATCC 29213 | 12.46 ± 0.22 | 12.30 ± 0.12 | 12.76 ± 0.28 | 0 | 37.42 ± 0.32/- | 0.12/7.5 | 0.12/7.5 | 0.12/3.75 | >7.5/>7.5 |
| Staphylococcus epidermidis ATCC 12228 | 18.16 ± 0.09 | 13.99 ± 0.22 | 20.34 ± 0.32 | 0 | 55.44 ± 0.13/- | 0.12/3.75 | 0.47/1.88 | 0.12/0.94 | >7.5/>7.5 |
| Streptococcus mutans ATCC 25175 | 0 | 0 | 0 | 0 | 52.54 ± 0.19/- | - | - | - | >7.5/>7.5 |
| Enterococcus faecalis ATCC 29212 | 0 | 0 | 0 | 0 | 22.52 ± 0.10/- | - | - | - | >7.5/>7.5 |
| Cutibacterium acnes ATCC 11827 | 0 | 0 | 11.72 ± 0.16 | 0 | 64.78 ± 0.32/- | - | - | 0.12/0.47 | >7.5/>7.5 |
| Pseudomonas aeruginosa ATCC 27853 | 0 | 0 | 0 | 0 | 32.22 ± 0.11/- | - | - | - | >7.5%/>7.5 |
| Pseudomonas aeruginosa PAO1 | 0 | 0 | 0 | 0 | 30.29 ± 0.31/- | - | - | - | >7.5/>7.5 |
| Klebsiella pneumoniae ATCC 4352 | 0 | 0 | 0 | 0 | 36.23 ± 0.09/- | - | - | - | >7.5/>7.5 |
| Proteus vulgaris ATCC 13315 | 0 | 0 | 0 | 0 | 41.28 ± 0.21/- | - | - | - | >7.5/>7.5 |
| Salmonella typhimurium ATCC 25175 | 0 | 0 | 0 | 0 | 30.36 ± 0.33/- | - | - | - | >7.5/>7.5 |
| Acinetobacter baumannii ATCC 19606 | 0 | 0 | 9.61 ± 0.29 | 0 | 32.65 ± 0.35/- | - | - | 0.94/1.88 | >7.5/>7.5 |
| Escherchia coli ATCC 25922 | 0 | 0 | 0 | 0 | 32.34 ± 0.17/- | - | - | - | >7.5/>7.5 |
| Candida albicans ATCC 90028 | 12.47 ± 0.21 | 11.64 ± 0.11 | 8.20 ± 0.22 | 0 | -/23.98 ± 0.30 | 0.47/0.94 * | 0.47/0.94 * | 1.88/3.75 * | >3.75/>3.75 |
| ZD (mm) | ||||
|---|---|---|---|---|
| SrM | SrMF | FF | DMSO (15%) | |
| S. aureus ATCC 43300 | 19.27 ± 0.19 | 15.70 ± 0.16 | 0 | 0 |
| S. aureus ATCC 29213 | 19.01 ± 0.24 | 14.65 ± 0.20 | 0 | 0 |
| S. epidermidis ATCC 12228 | 22.65 ± 0.23 | 21.78 ± 0.11 | 0 | 0 |
| C. acnes ATCC 11827 | 17.42 ± 0.19 | 16.38 ± 0.22 | 0 | 0 |
| A. baumannii ATCC 19606 | 25.36 ± 0.12 | 24.56 ± 0.23 | 0 | 0 |
| C. albicans ATCC 90028 | 20.76 ± 0.18 | 19.87 ± 0.10 | 0 | 0 |
| Biofilm Inhibitory Rate (%) | ||||||||||||
|---|---|---|---|---|---|---|---|---|---|---|---|---|
| SrPE | SrC | SrM | DMSO | |||||||||
| Concentration (mg/mL) | 1* | 0.5 | 0.25 | 1* | 0.5 | 0.25 | 1* | 0.5 | 0.25 | 1% | 0.5% | 0.25% |
| P. aeruginosa ATCC 27853 | 32.18 ± 3.34 | 33.88 ± 7.52 | 18.84 ± 3.12 | 2.92 ± 0.89 | 1.95 ± 1.58 | 2.01 ± 1.04 | 92.28 ± 3.80 | 67.76 ± 5.29 | 68.60 ± 5.90 | 2.32 ± 1.45 | −1.66 ± 1.33 | −2.12 ± 2.02 |
| P. aeruginosa PAO1 | 10.3 ± 0.22 | 8.22 ± 1.18 | 7.45 ± 3.55 | 1.93 ± 0.61 | 2.31 ± 0.45 | 2.66 ± 0.96 | 73.56 ± 3.69 | 62.32 ± 2.85 | 48.23 ± 4.23 | 1.67 ± 1.86 | 2.01 ± 0.95 | −2.01 ± 1.12 |
| Concentration (mg/mL) | 0.12 (MIC) | 0.06 (MIC/2) | 0.03 (MIC/4) | 0.12 (MIC) | 0.06 (MIC/2) | 0.03 (MIC/4) | 0.12 (MIC) | 0.06 (MIC/2) | 0.03 (MIC/4) | 0.24% | 0.12% | 0.06% |
| S. aureus ATCC 29213 | 12.3 ± 2.89 | 8.32 ± 3.45 | 11.85 ± 1.32 | 20.1 ± 2.32 | 18.9 ± 3.45 | 9.5 ± 1.65 | 78.56 ± 3.58 | 71.45 ± 6.89 | 32.56 ± 4.56 | 3.41 ± 2.01 | 2.56 ± 1.22 | 3.13 ± 0.93 |
| Concentration (mg/mL) | 0.03 (MIC) | 0.015 (MIC/2) | 0.008 (MIC/4) | 0.12 (MIC) | 0.06 (MIC/2) | 0.03 (MIC/4) | 0.03 (MIC) | 0.015 (MIC/2) | 0.008 (MIC/4) | 0.24% | 0.12% | 0.06% |
| S. aureus ATCC 43300 | 22.32 ± 6.23 | 25.23 ± 4.52 | 11.02 ± 1.98 | 28.36 ± 1.36 | 23.5 ± 2.98 | 1.3 ± 0.23 | 85.98 ± 7.98 | 73.36 ± 9.28 | 19.9 ± 3.12 | 1.91 ± 1.23 | −2.01 ± 1.09 | 2.61 ± 2.13 |
| Biofilm Inhibitory Rate (%) | ||||
|---|---|---|---|---|
| SrMF | DMSO (1%) | |||
| P. aeruginosa ATCC 27853 | 83.65 ± 4.12 | 65.01 ± 3.62 | 50.38 ± 4.23 | 2.01 ± 1.35 |
| P. aeruginosa PAO1 | 75.18 ± 5.01 | 58.39 ± 4.19 | 32.85 ± 2.19 | 2.31 ± 2.11 |
| S. aureus ATCC 29213 | 81.11 ± 5.21 | 66.54 ± 5.88 | 41.28 ± 3.88 | −2.54 ± 1.45 |
| S. aureus ATCC 43300 | 77.49 ± 2.37 | 71.65 ± 6.18 | 22.37 ± 4.31 | −1.76 ± 1.21 |
| Life Span of C. elegans (Day) | |||||
|---|---|---|---|---|---|
| Control | SrPE | SrC | SrM | DMSO (1%/0.24%) | |
| P. aeruginosa ATCC 27853 | 22.33 ± 1.53 | 21.33 ± 1.53 * | 24.33 ± 2.51 * | 19.66 ± 2.08 * | 23.12 ± 1.12 */22.28 ± 1.10 * |
| S. aureus ATCC 29213 | 23.33 ± 2.08 | 23.33 ± 2.08 * | 21.66 ± 1.51 * | 25.66 ± 1.84 * | 22.18 ± 1.32 */23.42 ± 1.34 * |
| Compounds | µg Analyte/mg Extract |
|---|---|
| Quinic acid | 8.65 ± 1.18 |
| Rosmarinic acid | 7.77 ± 0.23 |
| 8-OH salvigenin | 3.81 ± 0.09 |
| Chlorogenic acid | 3.54 ± 0.51 |
Disclaimer/Publisher’s Note: The statements, opinions and data contained in all publications are solely those of the individual author(s) and contributor(s) and not of MDPI and/or the editor(s). MDPI and/or the editor(s) disclaim responsibility for any injury to people or property resulting from any ideas, methods, instructions or products referred to in the content. |
© 2025 by the authors. Licensee MDPI, Basel, Switzerland. This article is an open access article distributed under the terms and conditions of the Creative Commons Attribution (CC BY) license (https://creativecommons.org/licenses/by/4.0/).
Share and Cite
Rayaman, E.; Taşkın, T.; Çalışkan Salihi, E.; Hasan Niari Niar, S.; Taşkın, D.; Ekentok Atıcı, C.; Kılıç, Ö.; Rayaman, P.; Özçelik, P.; Elçioğlu, H.K. Biological Activities of Stachys rupestris, Development of S. rupestris Extract-Loaded Alginate Films as Wound Dressing. Pharmaceuticals 2025, 18, 1868. https://doi.org/10.3390/ph18121868
Rayaman E, Taşkın T, Çalışkan Salihi E, Hasan Niari Niar S, Taşkın D, Ekentok Atıcı C, Kılıç Ö, Rayaman P, Özçelik P, Elçioğlu HK. Biological Activities of Stachys rupestris, Development of S. rupestris Extract-Loaded Alginate Films as Wound Dressing. Pharmaceuticals. 2025; 18(12):1868. https://doi.org/10.3390/ph18121868
Chicago/Turabian StyleRayaman, Erkan, Turgut Taşkın, Elif Çalışkan Salihi, Shalaleh Hasan Niari Niar, Duygu Taşkın, Ceyda Ekentok Atıcı, Ömer Kılıç, Pervin Rayaman, Pelin Özçelik, and Hatice Kübra Elçioğlu. 2025. "Biological Activities of Stachys rupestris, Development of S. rupestris Extract-Loaded Alginate Films as Wound Dressing" Pharmaceuticals 18, no. 12: 1868. https://doi.org/10.3390/ph18121868
APA StyleRayaman, E., Taşkın, T., Çalışkan Salihi, E., Hasan Niari Niar, S., Taşkın, D., Ekentok Atıcı, C., Kılıç, Ö., Rayaman, P., Özçelik, P., & Elçioğlu, H. K. (2025). Biological Activities of Stachys rupestris, Development of S. rupestris Extract-Loaded Alginate Films as Wound Dressing. Pharmaceuticals, 18(12), 1868. https://doi.org/10.3390/ph18121868

