Unlocking the Value of Nine Olive Leaf Varieties: A Dual Assessment of Phenolic Composition and Antioxidant Properties
Abstract
1. Introduction
2. Materials and Methods
2.1. Plant Material Sampling
2.2. Extraction Process
2.2.1. Soxhlet Extraction
2.2.2. Maceration Extraction
2.3. Extraction Yield
2.4. Determination of Total Phenolic Content
2.5. Determination of Total Flavonoid Content
2.6. Determination of Total Condensed Tannins
2.7. Antioxidant Activity Assays
2.7.1. DPPH Radical Scavenging Activity
2.7.2. ABTS Radical Cation Scavenging Activity
2.8. Statistical Analyses
3. Results
3.1. Combined Analyses of Variance (ANOVA)
3.2. Effects of Variety and Extraction Method on Phytochemical Composition and Antioxidant Capacity
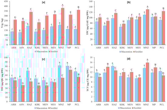
3.2.1. Phytochemical Composition of Olive Leaf Extracts
3.2.2. Antioxidant Activity of Maceration and Soxhlet Extracts
3.3. Multivariate Analyses
4. Discussion
4.1. Influence of Variety and Extraction Method on Phytochemical Composition and Antioxidant Capacity
4.2. Multivariate Analyses
4.3. Industrial and Valorization Implications
5. Conclusions
Author Contributions
Funding
Data Availability Statement
Acknowledgments
Conflicts of Interest
Abbreviations
| TPC | Total phenolic content |
| TFC | Total flavonoid content |
| TCT | Total condensed tannins |
| Y | Extraction yield |
| DPPH | 2,2-diphenyl-1-picrylhydrazyl |
| ABTS | 2,2′-azino-bis (3-ethylbenzothiazoline-6-sulfonic acid) |
| MAC | Maceration method |
| SOX | Soxhlet method |
| ARB | Arbequina |
| ASN | Arbosana |
| HAZ | Haouzia |
| KRK | Koroneiki |
| MEN | Menara |
| MES | Meslala |
| MNZ | Manzanilla |
| MP | Moroccan Picholine |
| PCL | Picual |
| PCA | Principal component analysis |
References
- Lama-Muñoz, A.; Contreras, M.D.M.; Espínola, F.; Moya, M.; Romero, I.; Castro, E. Content of phenolic compounds and mannitol in olive leaves extracts from six Spanish cultivars: Extraction with the Soxhlet method and pressurized liquids. Food Chem. 2020, 320, 126626. [Google Scholar] [CrossRef]
- Zhang, C.; Zhang, J.; Xin, X.; Zhu, S.; Niu, E.; Wu, Q.; Li, T.; Liu, D. Changes in phytochemical profiles and biological activity of olive leaves treated by two drying methods. Front. Nutr. 2022, 9, 854680. [Google Scholar] [CrossRef]
- El Yamani, M.; Sakar, E.H.; Boussakouran, A.; Rharrabti, Y. Leaf water status, physiological behavior and biochemical mechanism involved in young olive plants under water deficit. Sci. Hortic. 2020, 261, 108906. [Google Scholar] [CrossRef]
- Martínez-Navarro, M.E.; Kaparakou, E.H.; Kanakis, C.D.; Cebrián-Tarancón, C.; Alonso, G.L.; Salinas, M.R.; Tarantilis, P.A. Quantitative determination of the main phenolic compounds, antioxidant activity, and toxicity of aqueous extracts of olive leaves of Greek and Spanish genotypes. Horticulturae 2023, 9, 55. [Google Scholar] [CrossRef]
- Elhrech, H.; Aguerd, O.; El Kourchi, C.; Gallo, M.; Naviglio, D.; Chamkhi, I.; Bouyahya, A. Comprehensive review of Olea europaea: A holistic exploration into its botanical marvels, phytochemical riches, therapeutic potentials, and safety profile. Biomolecules 2024, 14, 722. [Google Scholar] [CrossRef] [PubMed]
- Elnahas, R.A.; Elwakil, B.H.; Elshewemi, S.S.; Olama, Z.A. Egyptian Olea europaea leaves bioactive extract: Antibacterial and wound healing activity in normal and diabetic rats. J. Tradit. Complement. Med. 2021, 11, 427–434. [Google Scholar] [CrossRef] [PubMed]
- De Oliveira, N.M.; Machado, J.; Chéu, M.H.; Lopes, L.; Criado, M.B. Therapeutic potential of olive leaf extracts: A comprehensive review. Appl. Biosci. 2024, 3, 392–425. [Google Scholar] [CrossRef]
- Sánchez-Monedero, A.; Santiago, R.; Díaz, I.; Rodríguez, M.; González, E.J.; González-Miquel, M. Efficient recovery of antioxidants from olive leaves through green solvent extraction and enzymatic hydrolysis: Experimental evaluation and COSMO-RS analysis. J. Mol. Liq. 2024, 408, 125368. [Google Scholar] [CrossRef]
- Cao, S.; Liang, J.; Chen, M.; Xu, C.; Wang, X.; Qiu, L.; Zhao, X.; Hu, W. Comparative analysis of extraction technologies for plant extracts and absolutes. Front. Chem. 2025, 13, 1536590. [Google Scholar] [CrossRef] [PubMed]
- Guex, C.G.; Reginato, F.Z.; Figueredo, K.C.; Da Silva, A.R.H.D.; Pires, F.B.; Jesus, R.D.S.; Lhamas, C.L.; Lopes, G.H.H.; Bauermann, L.D.F. Safety assessment of ethanolic extract of Olea europaea L. leaves after acute and subacute administration to Wistar rats. Regul. Toxicol. Pharmacol. 2018, 95, 395–399. [Google Scholar] [CrossRef]
- Chemat, F.; Abert Vian, M.; Fabiano-Tixier, A.S.; Nutrizio, M.; Režek Jambrak, A.; Munekata, P.E.S.; Lorenzo, J.M.; Barba, F.J.; Binello, A.; Cravotto, G. A review of sustainable and intensified techniques for extraction of food and natural products. Green Chem. 2020, 22, 2325–2353. [Google Scholar] [CrossRef]
- Huamán-Castilla, N.L.; Díaz Huamaní, K.S.; Palomino Villegas, Y.C.; Allcca-Alca, E.E.; León-Calvo, N.C.; Colque Ayma, E.J.; Zirena Vilca, F.; Mariotti-Celis, M.S. Exploring a sustainable process for polyphenol extraction from olive leaves. Foods 2024, 13, 265. [Google Scholar] [CrossRef]
- Lee, J.E.; Jayakody, J.; Kim, J.I.; Jeong, J.W.; Choi, K.M.; Kim, T.S.; Seo, C.; Azimi, I.; Hyun, J.; Ryu, B. The Influence of solvent choice on the extraction of bioactive compounds from Asteraceae: A comparative review. Foods 2024, 13, 3151. [Google Scholar] [CrossRef]
- Xiang, Z.; Liu, L.; Xu, Z.; Kong, Q.; Feng, S.; Chen, T.; Zhou, L.; Yang, H.; Xiao, Y.; Ding, C. Solvent effects on the phenolic compounds and antioxidant activity associated with Camellia polyodonta flower extracts. ACS Omega 2024, 9, 27192–27203. [Google Scholar] [CrossRef]
- De Leonardis, A.; Macciola, V.; Iftikhar, A. Present and future perspectives on the use of olive-oil mill wastewater in food applications. In Wastewater from Olive Oil Production; Souabi, S., Anouzla, A., Eds.; Springer International Publishing: Cham, Switzerland, 2023; pp. 85–105. [Google Scholar] [CrossRef]
- Jha, A.K.; Sit, N. Extraction of bioactive compounds from plant materials using combination of various novel methods: A review. Trends Food Sci. Technol. 2022, 119, 579–591. [Google Scholar] [CrossRef]
- Debs, E.; Abi-Khattar, A.-M.; Rajha, H.N.; Abdel-Massih, R.M.; Assaf, J.C.; Koubaa, M.; Maroun, R.G.; Louka, N. Valorization of olive leaves through polyphenol recovery using innovative pretreatments and extraction techniques: An updated review. Separations 2023, 10, 587. [Google Scholar] [CrossRef]
- Mechi, D.; Pérez-Nevado, F.; Montero-Fernández, I.; Baccouri, B.; Abaza, L.; Martín-Vertedor, D. Evaluation of Tunisian olive leaf extracts to reduce the bioavailability of acrylamide in Californian-Style black olives. Antioxidants 2023, 12, 117. [Google Scholar] [CrossRef]
- Kıralan, M.; Çengel, H.; Toptancı, İ.; Ramadan, M.F. Effect of olive leaf on physicochemical parameters, antioxidant potential and phenolics of Ayvalik olive oils at two maturity stages. OCL 2024, 31, 15. [Google Scholar] [CrossRef]
- Zhang, C.; Xin, X.; Zhang, J.; Zhu, S.; Niu, E.; Zhou, Z.; Liu, D. Comparative evaluation of the phytochemical profiles and antioxidant potentials of olive leaves from 32 cultivars grown in China. Molecules 2022, 27, 1292. [Google Scholar] [CrossRef] [PubMed]
- Talhaoui, N.; Taamalli, A.; Gómez-Caravaca, A.M.; Fernández-Gutiérrez, A.; Segura-Carretero, A. Phenolic compounds in olive leaves: Analytical determination, biotic and abiotic influence, and health benefits. Food Res. Int. 2015, 77, 92–108. [Google Scholar] [CrossRef]
- Martín-García, B.; De Montijo-Prieto, S.; Jiménez-Valera, M.; Carrasco-Pancorbo, A.; Ruiz-Bravo, A.; Verardo, V.; Gómez-Caravaca, A.M. Comparative extraction of phenolic compounds from olive leaves using a sonotrode and an ultrasonic bath and the evaluation of both antioxidant and antimicrobial activity. Antioxidants 2022, 11, 558. [Google Scholar] [CrossRef]
- Mir-Cerdà, A.; García-García, R.; Granados, M.; Sentellas, S.; Saurina, J. Exploring polyphenol content in olive leaf waste: Effects of geographical, seasonal and varietal differences. Microchem. J. 2025, 215, 114347. [Google Scholar] [CrossRef]
- Borghini, F.; Tamasi, G.; Loiselle, S.A.; Baglioni, M.; Ferrari, S.; Bisozzi, F.; Costantini, S.; Tozzi, C.; Riccaboni, A.; Rossi, C. Phenolic profiles in olive leaves from different cultivars in Tuscany and their use as a marker of varietal and geographical origin on a small scale. Molecules 2024, 29, 3617. [Google Scholar] [CrossRef] [PubMed]
- Olmo-García, L.; Bajoub, A.; Benlamaalam, S.; Hurtado-Fernández, E.; Bagur-González, M.G.; Chigr, M.; Mbarki, M.; Fernández-Gutiérrez, A.; Carrasco-Pancorbo, A. Establishing the phenolic composition of Olea europaea L. leaves from cultivars grown in Morocco as a crucial step towards their subsequent exploitation. Molecules 2018, 23, 2524. [Google Scholar] [CrossRef] [PubMed]
- El Adnany, E.M.; Elhadiri, N.; Mourjane, A.; Ouhammou, M.; Hidar, N.; Jaouad, A.; Bitar, K.; Mahrouz, M. Impact and optimization of the conditions of extraction of phenolic compounds and antioxidant activity of olive leaves (Moroccan picholine) using response surface methodology. Separations 2023, 10, 326. [Google Scholar] [CrossRef]
- Chaji, S.; Zenasni, W.; Ouaabou, R.; Ajal, E.A.; Lahlali, R.; Fauconnier, M.L.; Hanine, H.; Černe, M.; Pasković, I.; Merah, O.; et al. Nutrient and bioactive fraction content of Olea europaea L. leaves: Assessing the impact of drying methods in a comprehensive study of prominent cultivars in Morocco. Plants 2024, 13, 1961. [Google Scholar] [CrossRef] [PubMed]
- Abbas, S.; Idrissi, I.J.; Rouas, S.; Dehhaoui, M.; El Kamli, T.; Mokrini, F.; Bouchtaoui, E.M.; Ouazzani, N. Unveiling the seasonal and varietal effects on phenolic compounds of Moroccan olive leaves for effective valorization. Biomass 2025, 5, 69. [Google Scholar] [CrossRef]
- Khelouf, I.; Jabri Karoui, I.; Lakoud, A.; Hammami, M.; Abderrabba, M. Comparative chemical composition and antioxidant activity of olive leaves Olea europaea L. of Tunisian and Algerian varieties. Heliyon 2023, 9, e22217. [Google Scholar] [CrossRef]
- Ben Harb, M.; Abubshait, S.; Etteyeb, N.; Kamoun, M.; Dhouib, A. Olive leaf extract as a green corrosion inhibitor of reinforced concrete contaminated with seawater. Arab. J. Chem. 2020, 13, 4846–4856. [Google Scholar] [CrossRef]
- Jimenez, P.; Masson, L.; Barriga, A.; Chávez, J.; Robert, P. Oxidative stability of oils containing olive leaf extracts obtained by pressure, supercritical and solvent-extraction. Eur. J. Lipid Sci. Technol. 2011, 113, 497–505. [Google Scholar] [CrossRef]
- Singleton, V.L.; Orthofer, R.; Lamuela-Raventós, R.M. Analysis of total phenols and other oxidation substrates and antioxidants by means of Folin-Ciocalteu reagent. In Methods in Enzymology; Academic Press: San Diego, CA, USA, 1999; Volume 299, pp. 152–178. [Google Scholar] [CrossRef]
- Dewanto, V.; Wu, X.; Adom, K.K.; Liu, R.H. Thermal processing enhances the nutritional value of tomatoes by increasing total antioxidant activity. J. Agric. Food Chem. 2002, 50, 3010–3014. [Google Scholar] [CrossRef]
- Julkunen-Tiitto, R. Phenolic constituents in the leaves of northern willows: Methods for the analysis of certain phenolics. J. Agric. Food Chem. 1985, 33, 213–217. [Google Scholar] [CrossRef]
- Brand-Williams, W.; Cuvelier, M.E.; Berset, C. Use of a free radical method to evaluate antioxidant activity. LWT—Food Sci. Technol. 1995, 28, 25–30. [Google Scholar] [CrossRef]
- Re, R.; Pellegrini, N.; Proteggente, A.; Pannala, A.; Yang, M.; Rice-Evans, C. Antioxidant activity applying an improved ABTS radical cation decolorization assay. Free Radic. Biol. Med. 1999, 26, 1231–1237. [Google Scholar] [CrossRef]
- Šimat, V.; Skroza, D.; Tabanelli, G.; Čagalj, M.; Pasini, F.; Gómez-Caravaca, A.M.; Fernández-Fernández, C.; Sterniša, M.; Smole Možina, S.; Ozogul, Y.; et al. Antioxidant and antimicrobial activity of hydroethanolic leaf extracts from six Mediterranean olive cultivars. Antioxidants 2022, 11, 1656. [Google Scholar] [CrossRef] [PubMed]
- Medina, E.; Romero, C.; García, P.; Brenes, M. Characterization of bioactive compounds in commercial olive leaf extracts, and olive leaves and their infusions. Food Funct. 2019, 10, 4716–4724. [Google Scholar] [CrossRef] [PubMed]
- Guebebia, S.; Othman, K.B.; Yahia, Y.; Romdhane, M.; Elfalleh, W.; Hannachi, H. Effect of genotype and extraction method on polyphenols content, phenolic acids, and flavonoids of olive leaves (Olea europaea L. subsp. europaea). Int. J. Plant Based Pharm. 2021, 2, 17–24. [Google Scholar] [CrossRef]
- Da Rosa, G.S.; Vanga, S.K.; Gariepy, Y.; Raghavan, V. Comparison of microwave, ultrasonic and conventional techniques for extraction of bioactive compounds from olive leaves (Olea europaea L.). Innov. Food Sci. Emerg. Technol. 2019, 58, 102234. [Google Scholar] [CrossRef]
- Okoduwa, S.I.R.; Umar, I.A.; James, D.B.; Inuwa, H.M.; Habila, J.D. Evaluation of extraction protocols for anti-diabetic phytochemical substances from medicinal plants. World J. Diabetes 2016, 7, 605. [Google Scholar] [CrossRef]
- Zhang, Q.W.; Lin, L.G.; Ye, W.C. Techniques for extraction and isolation of natural products: A comprehensive review. Chin. Med. 2018, 13, 20. [Google Scholar] [CrossRef]
- Seabra, I.J.; Chim, R.B.; Salgueiro, P.; Braga, M.E.; De Sousa, H.C. Influence of solvent additives on the aqueous extraction of tannins from pine bark: Potential extracts for leather tanning. J. Chem. Technol. Biotechnol. 2018, 93, 1169–1182. [Google Scholar] [CrossRef]
- Cork, S.J.; Krockenberger, A.K. Methods and pitfalls of extracting condensed tannins and other phenolics from plants: Insights from investigations on Eucalyptus leaves. J. Chem. Ecol. 1991, 17, 123–134. [Google Scholar] [CrossRef]
- Panzella, L.; Napolitano, A. Condensed tannins, a viable solution to meet the need for sustainable and effective multifunctionality in food packaging: Structure, sources, and properties. J. Agric. Food Chem. 2022, 70, 751–758. [Google Scholar] [CrossRef] [PubMed]
- Dobrinčić, A.; Repajić, M.; Garofulić, I.E.; Tuđen, L.; Dragović-Uzelac, V.; Levaj, B. Comparison of different extraction methods for the recovery of olive leaves polyphenols. Processes 2020, 8, 1008. [Google Scholar] [CrossRef]
- Sánchez-Gutiérrez, M.; Bascón-Villegas, I.; Rodríguez, A.; Pérez-Rodríguez, F.; Fernández-Prior, Á.; Rosal, A.; Carrasco, E. Valorisation of Olea europaea L. olive leaves through the evaluation of their extracts: Antioxidant and antimicrobial activity. Foods 2021, 10, 966. [Google Scholar] [CrossRef] [PubMed]
- Ramos, A.L.C.C.; Mazzinghy, A.C.D.C.; Correia, V.T.D.V.; Nunes, B.V.; Ribeiro, L.V.; Silva, V.D.M.; Weichert, R.F.; De Paula, A.C.C.F.F.; De Sousa, I.M.N.; Ferreira, R.M.D.S.B.; et al. An integrative approach to the flavonoid profile in some plants’ parts of the Annona Genus. Plants 2022, 11, 2855. [Google Scholar] [CrossRef]
- Xiang, Q.; Wang, J.; Tao, K.; Huang, H.; Zhao, Y.; Jia, J.; Tan, H.; Chang, H. Optimization of phenolic-enriched extracts from olive leaves via ball milling-assisted extraction using response surface methodology. Molecules 2024, 29, 3658. [Google Scholar] [CrossRef]
- Bouaziz, M.; Chamkha, M.; Sayadi, S. Comparative study on phenolic content and antioxidant activity during maturation of the olive cultivar Chemlali from Tunisia. J. Agric. Food Chem. 2004, 52, 5476–5481. [Google Scholar] [CrossRef]
- De Mello-Andrade, J.M.; Fasolo, D. Polyphenol antioxidants from natural sources and contribution to health promotion. In Polyphenols in Human Health and Disease; Watson, R.R., Preedy, V.R., Zibadi, S., Eds.; Elsevier: Amsterdam, The Netherlands, 2014; pp. 253–265. [Google Scholar] [CrossRef]
- Kabbash, E.M.; Abdel-Shakour, Z.T.; El-Ahmady, S.H.; Wink, M.; Ayoub, I.M. Comparative metabolic profiling of olive leaf extracts from twelve different cultivars collected in both fruiting and flowering seasons. Sci. Rep. 2023, 13, 612. [Google Scholar] [CrossRef]
- Ghomari, O.; Sounni, F.; Massaoudi, Y.; Ghanam, J.; Drissi Kaitouni, L.B.; Merzouki, M.; Benlemlih, M. Phenolic profile (HPLC-UV) of olive leaves according to extraction procedure and assessment of antibacterial activity. Biotechnol. Rep. 2019, 23, e00347. [Google Scholar] [CrossRef]
- Ağçam, S.; Ozyilmaz, G. Investigation of antioxidant properties of olive leave extracts from Hatay by different extraction methods. Eurasian J. Biol. Chem. Sci. 2022, 5, 88–94. [Google Scholar] [CrossRef]
- López-Salas, L.; Expósito-Almellón, X.; Valencia-Isaza, A.; Fernández-Arteaga, A.; Quirantes-Piné, R.; Borrás-Linares, I.; Lozano-Sánchez, J. Eco-friendly extraction of olive leaf phenolics and terpenes: A comparative performance analysis against conventional methods. Foods 2025, 14, 3030. [Google Scholar] [CrossRef] [PubMed]
- Sordini, B.; Urbani, S.; Esposto, S.; Selvaggini, R.; Daidone, L.; Veneziani, G.; Servili, M.; Taticchi, A. Evaluation of the effect of an olive phenolic extract on the secondary shelf life of a fresh pesto. Antioxidants 2024, 13, 128. [Google Scholar] [CrossRef] [PubMed]
- Calvano, C.D.; Tamborrino, A. Valorization of olive by-products: Innovative strategies for their production, treatment and characterization. Foods 2022, 11, 768. [Google Scholar] [CrossRef]




| Source of Variation | Df | Y | TPC | TFC | TCT | DPPH | ABTS |
|---|---|---|---|---|---|---|---|
| Varieties (Var) | 8 | 8384.6 *** | 1332.11 *** | 900.46 *** | 15.30 *** | 125.03 *** | 1868.01 *** |
| Extraction Methods (EM) | 1 | 275,278.0 *** | 1064.55 *** | 277.98 *** | 0.49 | 98.85 *** | 668.52 *** |
| Var × EM | 8 | 1821.5 *** | 379.54 *** | 378.86 *** | 10.22 *** | 44.98 *** | 545.19 *** |
| Replicate | 2 | 28.5 | 0.36 | 0.10 | 1.05 | 0.28 | 33.87 |
| Residual | 34 | 6.5 | 0.22 | 0.04 | 0.39 | 0.05 | 2.44 |
| Total | 53 |
| Antioxidant Activity | ||||
|---|---|---|---|---|
| DPPH (IC50 μg/mL) (1) | ABTS (μg TE/mg DW) (2) | |||
| Varieties | Maceration | Soxhlet | Maceration | Soxhlet |
| ARB | 29.51 f | 23.10 f | 61.35 e | 77.40 f |
| ASN | 30.93 g | 25.33 h | 73.44 d | 89.48 d |
| HAZ | 23.34 c | 16.52 c | 99.69 b | 102.81 c |
| KRK | 31.93 h | 25.78 i | 60.31 e | 73.65 g |
| MEN | 29.93 f | 23.93 g | 74.60 d | 81.23 e |
| MES | 28.05 e | 20.93 e | 74.27 d | 89.69 d |
| MNZ | 15.28 b | 14.06 b | 115.52 a | 122.40 a |
| MP | 23.92 d | 19.49 d | 81.35 c | 105.10 c |
| PCL | 23.23 c | 19.20 d | 99.69 b | 114.48 b |
| Ascorbic Acid | 12.78 a | 12.78 a | − | − |
| Variables | TPC | TFC | TCT | DPPH | ABTS |
|---|---|---|---|---|---|
| Y | 0.599 ** | 0.131 | 0.109 | 0.496 * | 0.467 |
| TPC | 0.619 ** | 0.346 | 0.872 *** | 0.810 *** | |
| TFC | 0.425 | 0.543 * | 0.534 * | ||
| TCT | 0.602 ** | 0.525 * | |||
| DPPH | 0.901 *** |
Disclaimer/Publisher’s Note: The statements, opinions and data contained in all publications are solely those of the individual author(s) and contributor(s) and not of MDPI and/or the editor(s). MDPI and/or the editor(s) disclaim responsibility for any injury to people or property resulting from any ideas, methods, instructions or products referred to in the content. |
© 2025 by the authors. Licensee MDPI, Basel, Switzerland. This article is an open access article distributed under the terms and conditions of the Creative Commons Attribution (CC BY) license (https://creativecommons.org/licenses/by/4.0/).
Share and Cite
Boulfia, R.; Elmeknassia, M.; El Yamani, M.; Rharrabti, Y. Unlocking the Value of Nine Olive Leaf Varieties: A Dual Assessment of Phenolic Composition and Antioxidant Properties. Horticulturae 2025, 11, 1510. https://doi.org/10.3390/horticulturae11121510
Boulfia R, Elmeknassia M, El Yamani M, Rharrabti Y. Unlocking the Value of Nine Olive Leaf Varieties: A Dual Assessment of Phenolic Composition and Antioxidant Properties. Horticulturae. 2025; 11(12):1510. https://doi.org/10.3390/horticulturae11121510
Chicago/Turabian StyleBoulfia, Rachid, Mohammed Elmeknassia, Mohamed El Yamani, and Yahia Rharrabti. 2025. "Unlocking the Value of Nine Olive Leaf Varieties: A Dual Assessment of Phenolic Composition and Antioxidant Properties" Horticulturae 11, no. 12: 1510. https://doi.org/10.3390/horticulturae11121510
APA StyleBoulfia, R., Elmeknassia, M., El Yamani, M., & Rharrabti, Y. (2025). Unlocking the Value of Nine Olive Leaf Varieties: A Dual Assessment of Phenolic Composition and Antioxidant Properties. Horticulturae, 11(12), 1510. https://doi.org/10.3390/horticulturae11121510

